2D- и 3D-моделирование потоков нейтральных частиц из плазмы, регистрируемых анализатором нейтральных частиц на стеллараторе Л-2М
- Authors: 1, 1, 1, 1
-
Affiliations:
- ФИЦ “Институт общей физики им. А.М. Прохорова РАН”
- Issue: Vol 49, No 11 (2023)
- Pages: 1070-1077
- Section: СТЕЛЛАРАТОРЫ
- URL: https://ogarev-online.ru/0367-2921/article/view/233128
- DOI: https://doi.org/10.31857/S0367292123600693
- EDN: https://elibrary.ru/HIZQRT
- ID: 233128
Cite item
Full Text
Abstract
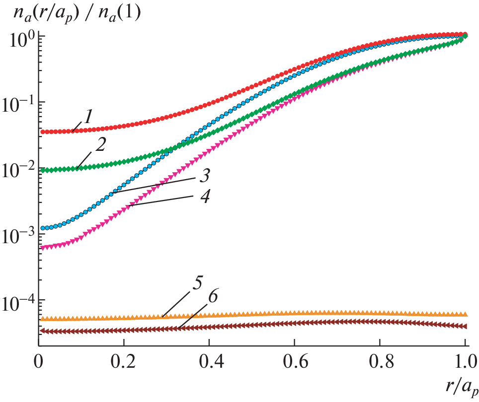
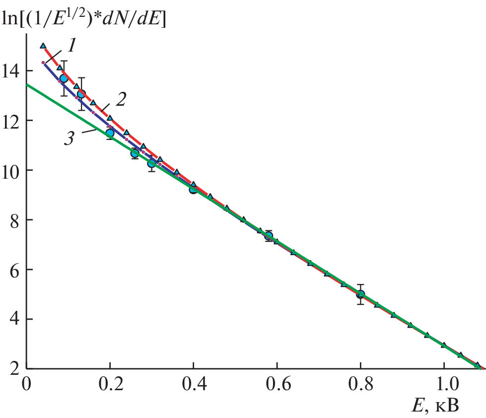
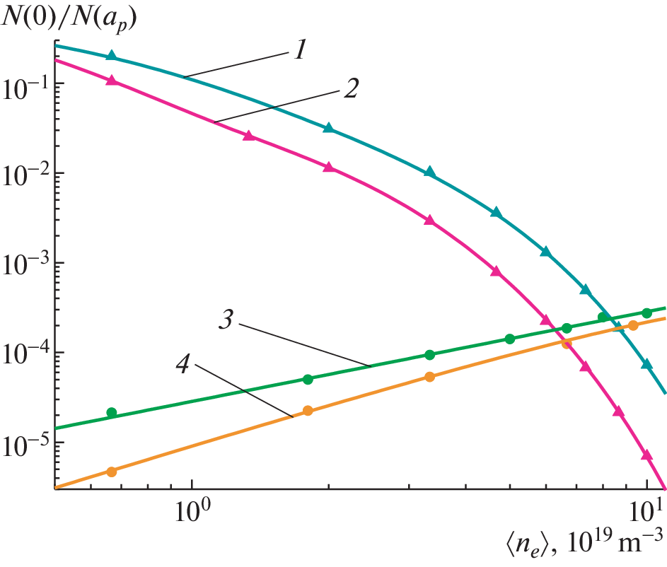
Выполнено 2D- и 3D-моделирование проникновения нейтральных частиц в плазму с параметрами, соответствующими режиму омического нагрева в стеллараторе Л-2М, и проведено сравнение результатов моделирования. Получены радиальные распределения плотности нейтралов в плазменном шнуре и модельные энергетические спектры потока атомов перезарядки, вылетающих из плазмы. Для условий омического нагрева в стеллараторе Л-2М определены значения плотностей плазмы, выше которых необходимо учитывать при моделировании процессы рекомбинации. Сравнение модельных энергетических спектров потока атомов перезарядки, вылетающих из плазмы, с экспериментальными данными позволило построить радиальные распределения плотности нейтралов в абсолютных единицах. При этом расчетное значение плотности нейтралов в центре плазменного шнура составило около 1015 м–3, что на четыре порядка меньше плотности заряженных частиц 1019 м–3.
About the authors
ФИЦ “Институт общей физики им. А.М. Прохорова РАН”
Author for correspondence.
Email: meshch@fpl.gpi.ru
Россия, Москва
ФИЦ “Институт общей физики им. А.М. Прохорова РАН”
Email: meshch@fpl.gpi.ru
Россия, Москва
ФИЦ “Институт общей физики им. А.М. Прохорова РАН”
Email: meshch@fpl.gpi.ru
Россия, Москва
ФИЦ “Институт общей физики им. А.М. Прохорова РАН”
Email: meshch@fpl.gpi.ru
Россия, Москва
References
- Du X.D., Van Zeeland M.A., Heidbrink W.W., Su D., Nu-cl. Fusion. 2018. V. 58, 082006. https://doi.org/10.1088/1741-4326/aac3a2
- Medley S.S., Roquemore A.L. Rev. Sci. Instrum. 2004. V. 75. P. 3625. https://doi.org/10.1063/1.1788859
- Tournianski M.R., Akers R.J., Carolan P.G., Kee-ling D.L. Plasma Phys. Control. Fusion. 2005. V. 47. P. 671. https://doi.org/10.1088/0741-3335/47/5/001
- Schneider P.A., Blank H., Geiger B., Mank K., Marti-nov S., Ryter F., Weiland M., Weller A., and the ASDEX Upgrade Team, Rev. Sci. Instum. 2015, V. 86, 073508. https://doi.org/10.1063/1.4926886
- Karpushov A.N., Duval B.P., Schlatter C., Afanasyev V.I., Chernyshev F.V. Rev. Sci. Instrum. 2006. V. 77, 033504. https://doi.org/10.1063/1.2185151
- Tang V., Liptac J., Parker R.R., Bonoli P.T., Fiore C.L., Granetz R.S., Irby J.H., Lin Y., Wukitch S.J., the Alcator C-Mod Team, Frenje J.A., Leiter R., Mcduffee S., Petrasso R.D. Rev. Sci. Instrum. 2006. V. 77, 083501. https://doi.org/10.1063/1.2238519
- Fontdecaba J.M., Petrov S.Y., Nesenevich V.G., Ros A., Chernyshev F.V., McCarthy K.J., Barcala J.M., Rev. Sci. Instrum. 2014. V. 85, 11E803. https://doi.org/10.1063/1.4886434
- Ongena J.P.H.E., Voitsekhovitch I., Edvard M., McCune D., Fusion Sci. Technol. 2012. V. 61. P. 180. https://doi.org/10.13182/FST12-A13505
- Миронов М.И., Чернышев Ф.В., Афанасьев В.И., Мельник А.Д., Наволоцкий А.С., Несеневич В.Г., Петров М.П., Петров С.Я. // Физика плазмы. 2021. Т. 47. С. 29. [M.I. Mironov, F.V. Chernyshev, V.I. Afanasyev, A.D. Melnik, A.S. Navolotsky, V.G. Nesenevich, M.P. Petrov, and S.Ya. Petrov, Plasma Phys. Rep. 47, 18 (2021). https://doi.org/10.1134/S1063780X21010104https://doi.org/10.31857/S0367292121010108
- Mironov M.I., Afanasyev V.I., Murari A., Santala M., Beaumont P., and JET-EFDA contributors, Plasma Phys. Control. Fusion. 2010. V. 52, 105008. https://doi.org/10.1088/0741-3335/52/10/105008
- Mitosinkova K., Melnik A., Tomes M., Stockel J., Jan-ky F., Komm M., Imrisek M., Hacek P., Varju J., and Weinzettl V., in Proceedings of the 1st EPS Conference on Plasma Diagnostics, Frascati, 2015, P. 074. https://doi.org/10.22323/1.240.0074.
- Balbin R., Tabares F., Tribaldos V., Petrov S., and TJ‑II Team, in Proceedings of the 30th EPS Conference on Controlled Fusion and Plasma Physics, St. Petersburg, 2003, ECA. 2003. V. 27A. P-1.23.
- Abrakov V.V., Akulina D.K., Andryukhina E.D., Bata-nov G.M., Berezhetskij M.S., Danilkin I.S., Donskaya N.P., Fedyanin O.I., Gladkov G.A., Grebenshchikov S.E., Harris J.H., Kharchev N.K., Kholnov Yu.V., Kolik L.V., Kovrizhnykh L.M. et al. Nucl. Fusion. 1997. V. 37. P. 233. https://doi.org/10.1088/0029-5515/37/2/I08
- Петров М.П. // Физика плазмы. 1976. Т. 2. С. 371. [M.P. Petrov, Sov. J. Plasma Phys. 2, 201 (1976).]
- Мещеряков А.И., Акулина Д.К., Батанов Г.М., Бережецкий М.С., Воронов Г.С., Гладков Г.А., Гребенщиков С.Е., Гринчук В.А., Гришина И.А., Колик Л.В., Ларионова Н.Ф., Летунов А.А., Логвиненко В.П., Петров А.Е., Пшеничников А.А. и др. // Физика плазмы. 2005. Т. 31. С. 496. [A.I. Meshcheryakov, D.K. Akulina, G.M. Batanov, M.S. Berezhetskii, G.S. Voronov, G.A. Gladkov, S.E. Grebenshchikov, V.A. Grinchuk, I.A. Grishina, L.V. Kolik, N.F. Larionova, A.A. Letunov, V.P. Logvinenko, A.E. Petrov, A.A. Pshenichnikov et al., Plasma Phys. Rep. 31, 452 (2005)]; https://doi.org/10.1134/1.1947330
- Днестровский Ю.Н., Костомаров Д.П. Математическое моделирование плазмы (Наука, Москва, 1993). [Y.N. Dnestrovskij and D.P. Kostomarov, Numerical Simulation of Plasmas (Springer-Verlag, Berlin, 1985; Nauka, Moscow, 1993)].
- Извозчиков А.Б., Петров М.П. // Физика плазмы. 1976. Т. 2. С. 212. [A.B. Izvozchikov and M.P. Petrov, Sov. J. Plasma Phys. 2, 117 (1976).]
- Мирнов С.В., Семенов И.Б., Атомная энергия. 1970. Т. 28. С. 129. [S.V. Mirnov and I.B. Semenov, Sov. At. Energy 28, 160 (1970). https://doi.org/10.1007/BF01162614
- Freeman R.L., Jones E.M., Report CIM-R-137 (Culham Laboratory, Abingdon, 1974).
- Гордеев Ю.С., Зиновьев А.Н., Петров М.П. Письма в ЖЭТФ. 1977. Т. 25. Вып. 4. С. 223–227. [Yu.S. Gor-deev, A.N. Zinov’ev, and M.P. Petrov, JETP. Lett. 25, 204 (1977).]
- Бережецкий М.С., Воронов Г.С., Гребенщиков С.Е., Извозчиков А.Б., Нечаев Ю.И., Сбитникова И.С., Федянин О.И., Хольнов Ю.В., Худолеев А.В., Шпи-гель И.С., Физика плазмы. 1978. Т. 4. С. 251. [M.S. Berezhetskii, G.S. Voronov, S.E. Grebenshchikov, A.B. Izvozchikov, Yu.I. Nechaev, I.S. Sbitnikova, O.I. Fedyanin, Yu.V. Khol’nov, A.V. Khudoleev, and I.S. Shpigel, Sov. J. Plasma Phys. 4, 138 (1978).]
Supplementary files







