Исследование кинетики быстрых электронов и параметров плазмы отрицательного свечения тлеющего разряда в гелии пониженного давления
- Authors: 1, 2
-
Affiliations:
- Казанский национальный исследовательский технический университет им. А.Н. Туполева – КАИ
- Санкт-Петербургский государственный университет
- Issue: Vol 49, No 7 (2023)
- Pages: 712-726
- Section: LOW TEMPERATURE PLASMA
- URL: https://ogarev-online.ru/0367-2921/article/view/139602
- DOI: https://doi.org/10.31857/S0367292123600024
- EDN: https://elibrary.ru/WYFDFH
- ID: 139602
Cite item
Full Text
Abstract
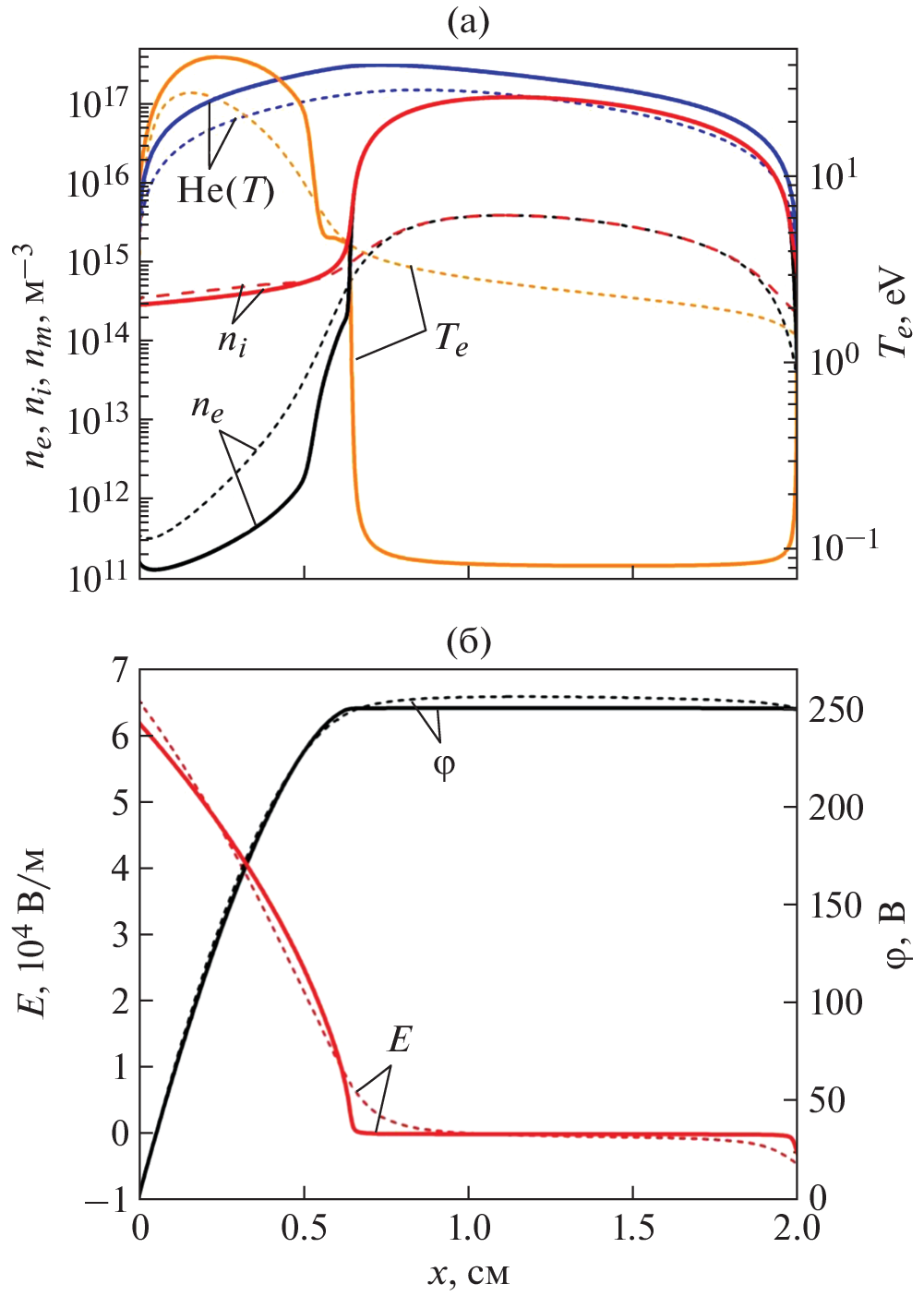
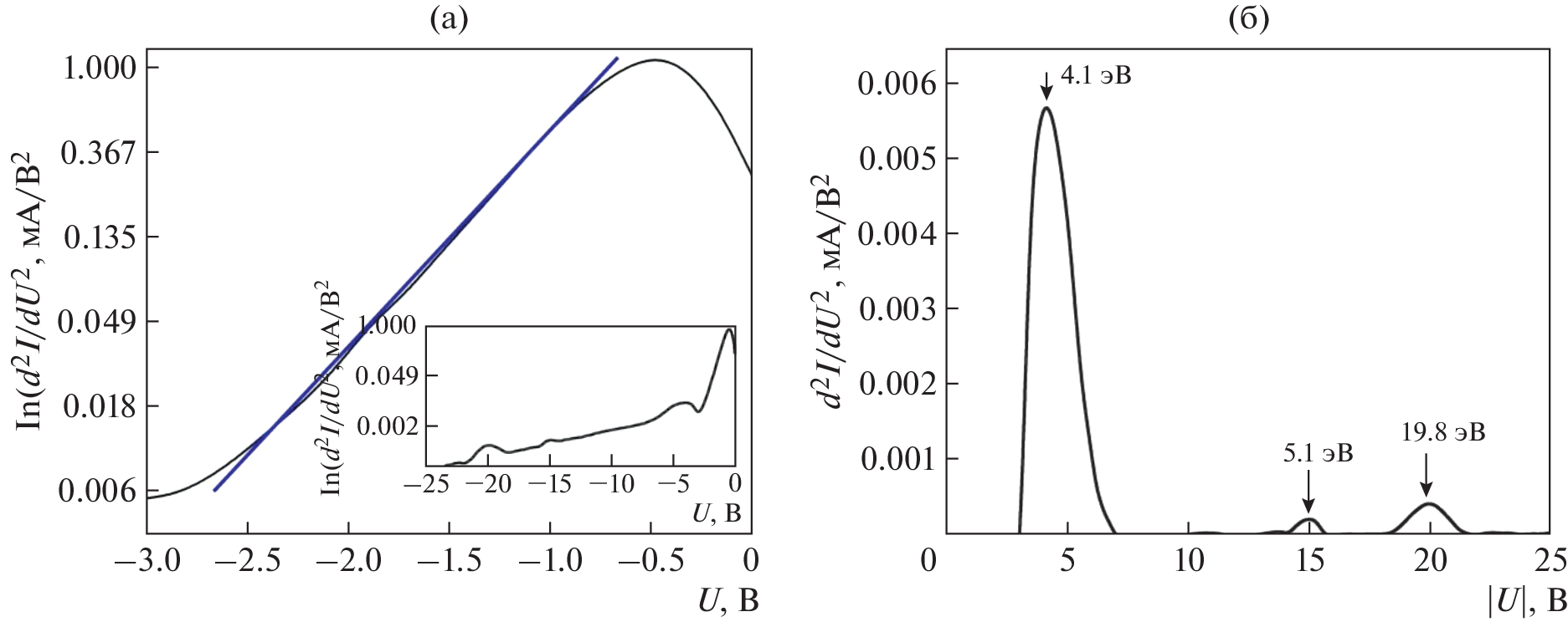
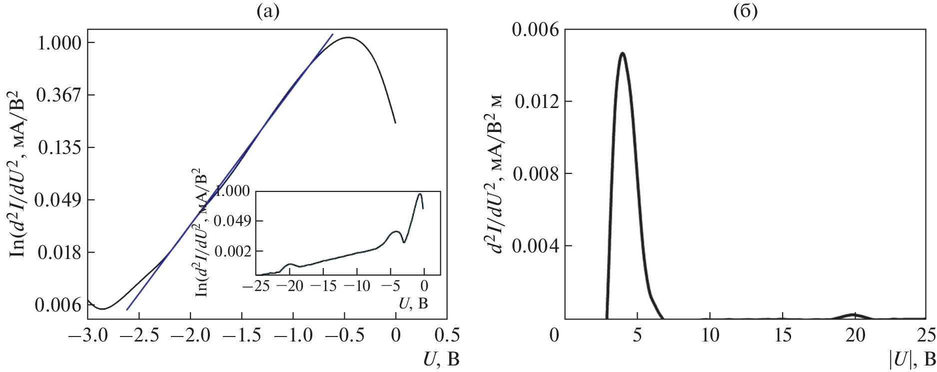
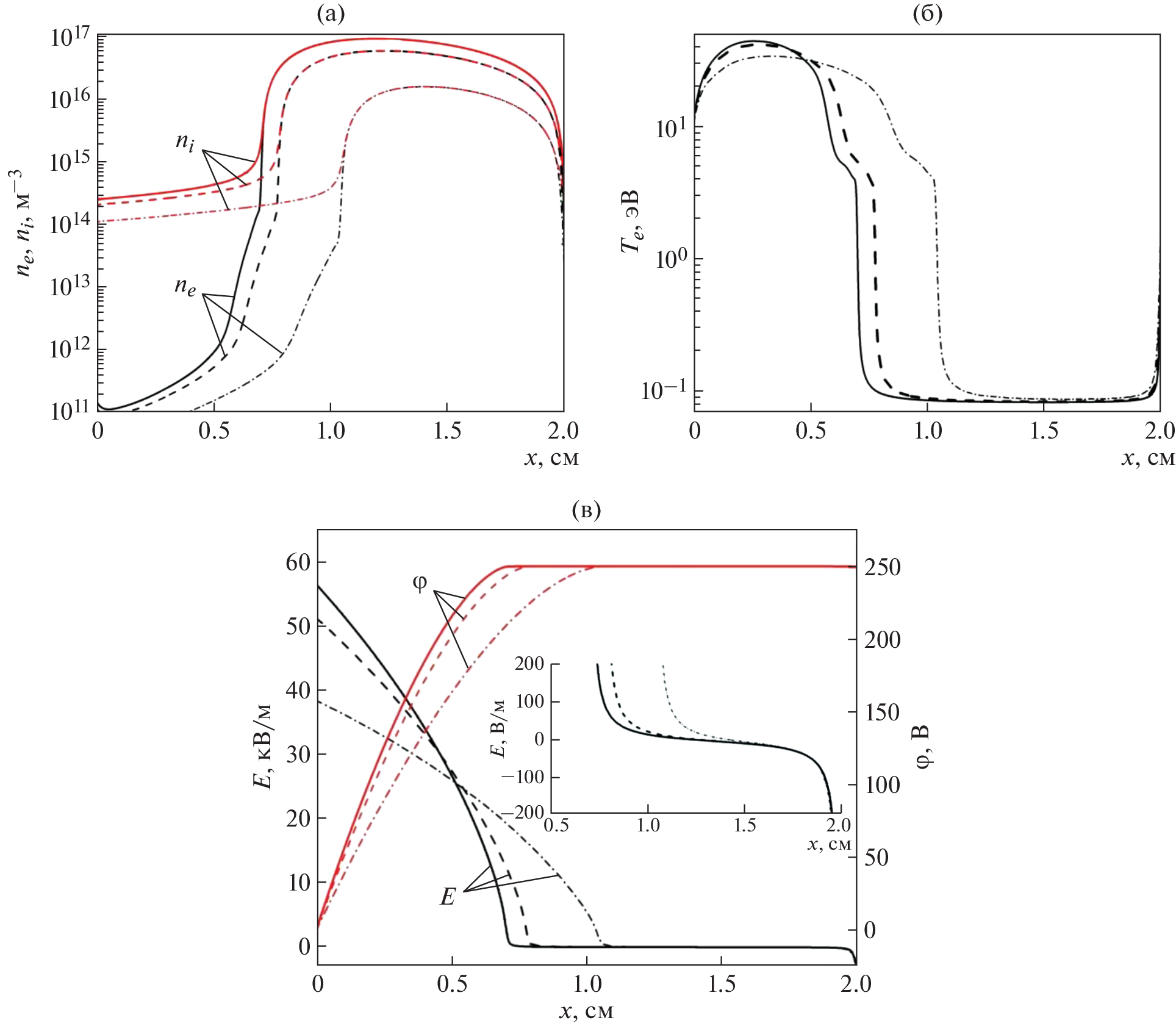
Представлены результаты численных исследований кинетики быстрых электронов и параметров плазмы в отрицательном свечении тлеющего разряда в гелии при низком давлении. Показано, что температура электронов в области отрицательного свечения является низкой и составляет десятые доли эВ. В рамках численных расчетов продемонстрировано формирование узких пиков на функции распределения электронов и зависимости дифференциального потока от энергии, связанных с быстрыми электронами, образовавшимися в реакциях пеннинговской ионизации. Результаты численных расчетов подтверждены результатами зондовой диагностики плазмы. Показана возможность определения концентрации возбужденных атомов гелия в плазме отрицательного свечения путем регистрации быстрых электронов, рожденных в результате реакций пеннинговской ионизации.
About the authors
Казанский национальный исследовательский технический университет им. А.Н. Туполева – КАИ
Author for correspondence.
Email: as.uav@bk.ru
Россия, Казань
Санкт-Петербургский государственный университет
Email: as.uav@bk.ru
Россия, Санкт-Петербург
References
- Mariotti D., Sankaran R.M. // J. Phys. D: Applied Phys. 2010. V. 43. P. 323001.
- Wang X., Zhou M., Jin X. // Electrochimica Acta. 2012. V. 83. P. 501.
- Andrade F.J., Shelley J.T., Wetzel W.C., Webb M.R., Gamez G., Ray S.J., Hieftje G.M. // Analytical Chemistry. 2008. V. 80. P. 2646.
- Schwartz A.J., Williams K.L., Hieftje G.M., Shelley J.T. // Analytica Chimica Acta. 2017. V. 950. P. 119.
- Райзер Ю.П. Физика газового разряда, М.: Интеллект, 2009.
- Кудрявцев А.А., Смирнов А.С., Цендин Л.Д. Физика тлеющего разряда. СПб.: Лань, 2010. 512 с.
- Trukhachev F.M., Boltnev R.E., Alekseevskaya A.A., Vasiliev M.M., Petrov O.F. // Phys. Plasmas. 2021. V. 28. P. 093701.
- Zobnin A.V., Usachev A.D., Petrov O.F., Fortov V.E. // Phys. Plasmas. 2014. V. 21. P. 113503.
- Суржиков С.Т. // Физика плазмы. 2022. Т. 48. С. 1102.
- Королев Ю.Д., Месяц Г.А. Физика импульсного пробоя газов. М.: Наука, 1991. 224 с.
- Tsendin L.D. // Plasma Sources Sci. Technology. 1995. V. 4. P. 200.
- Иванов Ю.А., Лебедев Ю.А., Полак Л.С. Методы контактной диагностики в неравновесной плазмохимии. М.: Наука, 1981. 142 с.
- Колоколов Н.Б., Благоев А.Б. // УФН. 1993. Т. 163. С. 55.
- Kolokolov N.B., Kudrjavtsev A.A., Blagoev A.B. // Physica Scripta. 1994. V. 50. P. 371.
- Демидов В.И., Колоколов Н.Б., Кудрявцев А.А. Зондовые методы исследования низкотемпературной плазмы. М.: Энергоатомиздат, 1996.
- Čermák V. // J. Chemical Phys. 1966. V. 44. P. 3781.
- Cermak V., Herman Z. // Chemical Phys. Lett. 1968. V. 2. P. 359.
- Schmeltekopf A.L., Fehsenfeld F.C. // J. Chemical Phys. 1970. V. 53. P. 3173.
- Čermák V., Ozenne J.B. // Internat. J. Mass Spectrometry Ion Phys. 1971. V. 7. P. 399.
- Čermák V. // J. Electron Spectroscopy Related Phenomena. 1976. V. 9. P. 419.
- Demidov V.I., Kolokolov N.B. //Soviet Phys. J. 1987. V. 30. P. 97.
- Смирнов Б.М. // УФН. 1981. Т. 133. С. 569.
- Kudryavtsev A., Pramatarov P., Stefanova M., Khro-mov N. // J. Instrumentation. 2012. V. 7. P. P07002.
- Zhou Ch., Yao J., Saifutdinov A.I., Kudryavtsev A.A., Yuan Ch., Zhou Zh. // Plasma Sources Sci. Technology. 2021. V. 30. P. 117001.
- Yuan Ch., Kudryavtsev A.A., Saifutdinov A.I., Sysoev S.S., Stefanova M.S., Pramatarov P.M., Zhouet Z. // Phys. Plasmas. 2018. V. 25. P. 104501.
- Saifutdinov A.I., Sysoev S.S. // Plasma Sources Sci. Technology. 2021. V. 30. P. 017001.
- Zhou C., Yao J., Saifutdinov A.I., Kudryavtsev A.A., Yuan Ch., Ma G., Dou Zh., Cao. J., Ma M., Zhou Zh. // Plasma Sources Sci. Technology. 2022. V. 31. P. 107001.
- Fiala A., Pitchford L.C., Boeuf J.P. // Phys. Rev. E. 1994. V. 49. P. 5607.
- Derzsi A., Hartmann P., Korolov I., Karacsony J., Bano G., Donko Z. // J. Phys. D: Applied Phys. 2009. V. 42. P. 225204.
- Kutasi K., Hartmann P., Donkó Z. // J. Phys. D: Applied Phys. 2001. V. 34. P. 3368.
- Kutasi K., Hartmann P., Bano G., Donkó Z. // Plasma Sources Sci. Technology. 2005. V. 14. P. S1.
- Wilhelm J., Kind W. // Beiträge aus der Plasmaphysik. 1965. T. 5. S. 395.
- Грановский В.Л. Электрический ток в газе. М.-Л., 1952.
- Кудрявцев А.А., Морин А.В., Цендин Л.Д. // ЖТФ. 2008. Т. 78. С. 71.
- Rafatov I., Bogdanov E.A., Kudryavtsev A.A. // Phys. Plasmas. 2012. V. 19. P. 093503.
- Eliseev S.I., Bogdanov E.A., Kudryavtsev A.A. // Phys. Plasmas. 2017. V. 24. P. 093503.
- Eliseev S. // Phys. Plasmas. 2022. V. 29. P. 043504.
- Райзер Ю.П., Шнейдер М.Н. // ТВТ. 1991. Т. 29. С. 1041.
- Райзер Ю.П., Шнейдер М.Н. // ТВТ, 1997. Т. 35. С. 19.
- Райзер Ю.П., Шнейдер М.Н. // Физика плазмы. 1989. Т. 15. С. 318.
- Alves L.L., Gousset G., Ferreira C.M. // Phys. Rev. E. 1997. V. 55. P. 890.
- Fedoseev A.V., Sukhinin G.I. // Plasma Phys. Rep. 2004. V. 30. P. 1061.
- Yuan C., Bogdanov E.A., Eliseev S.I., Kudryavtsev A.A. // Phys. Plasmas. 2017. V. 24. P. 073507.
- Yuan C., Yao J., Bogdanov E.A., Kudryavtsev A.A., Zhou Z. // Physical Rev. E. 2020. V. 101. P. 031202.
- Chai Y., Yao J., Bogdanov E.A., Kudryavtsev A.A., Yuan C., Zhou Z. // Plasma Sources Sci. Technology. 2021. V. 30. P. 095006.
- Phelps database, private communication, www.lxcat.net, retrieved on August 15, 2021.
- https://www.lxcat.net/Biagi-v7.1, private communication, www.lxcat.net, retrieved on August 15, 2021.
- Graves D.B., Jensen K.F. // IEEE Transac. plasma sci. 1986. V. 14. P. 78.
- Fadeev S.A., Saifutdinov A.I. // Plasma Phys. Reports. 2017. V. 43. P. 1080.
- Alves L.L. // J. Phys.: Confer. Ser. 2014. V. 565. P. 012007.
- Saifutdinov A.I., Sysoev S.S. // Instruments Experimental Techniques. 2022. V. 65. P. 75.
- Godyak V.A., Demidov V.I. // J. Phys D: Applied Phys. 2011. V. 44. P. 233001.
- Каган Ю.М., Перель В.И. // УФН. 1963. Т. 81. С. 409.
- Лебедев Ю.А. Введение в зондовую диагностику плазмы пониженного давления. М.: МИФИ, 2003. 56 с.
- Chen F.F. // Phys. Plasma. 2001. V. 8. P. 3029.
- http://www.plasmasensors.com/
Supplementary files












