“Аномальное” воздействие освещения на пробой в длинной разрядной трубке в ксеноне
- Authors: 1, 1, 1
-
Affiliations:
- Санкт-Петербургский государственный университет
- Issue: Vol 49, No 9 (2023)
- Pages: 924-934
- Section: LOW TEMPERATURE PLASMA
- URL: https://ogarev-online.ru/0367-2921/article/view/139592
- DOI: https://doi.org/10.31857/S0367292123600759
- EDN: https://elibrary.ru/ZFHUHM
- ID: 139592
Cite item
Full Text
Abstract
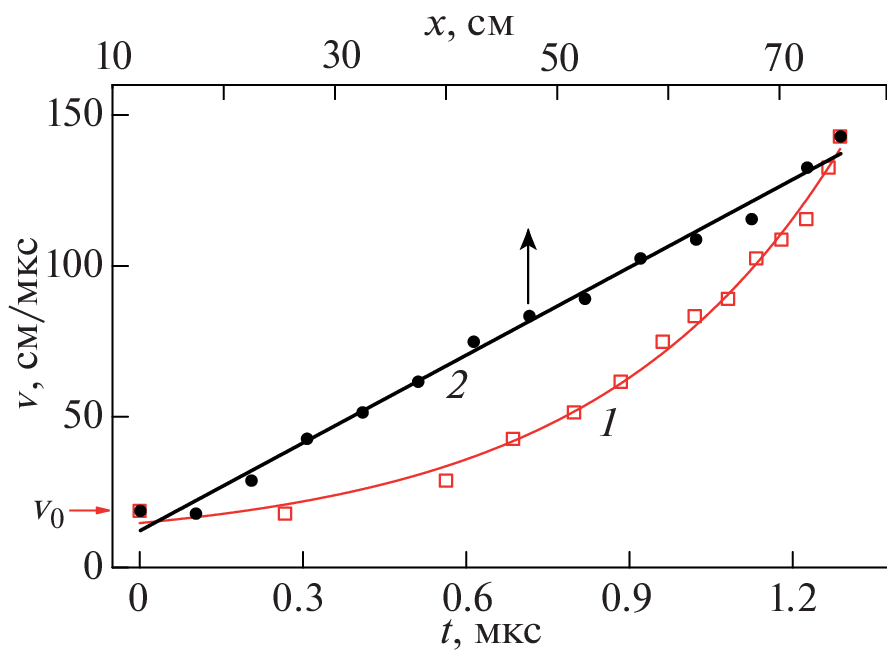
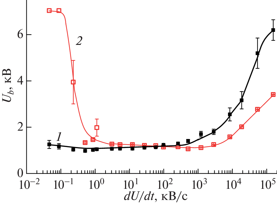
Исследован процесс электрического пробоя в разрядной трубке длиной 80 см и внутренним диаметром 1.5 см (так называемой “длинной разрядной трубке”) в ксеноне при давлении 1 Торр. Пробой осуществлялся положительными импульсами с линейно растущим передним фронтом крутизной dU/dt порядка 10–1–105 кВ/с. Измерялось напряжение пробоя в темноте и при освещении разрядной трубки люминесцентными лампами, светодиодами или диодным лазером. Воздействие освещения на напряжение пробоя зависит от крутизны фронта. При dU/dt > 100 кВ/с напряжение падает, при dU/dt < 100 кВ/с – растет. При 0.1–1 кВ/с этот рост достигает шести раз. Исследована зависимость наблюдаемого эффекта от интенсивности излучения, его длины волны и положения освещаемой области поверхности трубки. Предпробойная волна ионизации ведет себя в этих условиях необычно: ее скорость и интенсивность излучения фронта растут при ее движении. В качестве механизма наблюдаемых явлений рассматривается фотодесорбция электронов с поверхности трубки, в результате которой стенка вблизи анода приобретает положительный заряд. Это приводит к повышению пробойного напряжения и ускоренному движению волны ионизации. Проведены дополнительные эксперименты, подтверждающие наличие в этих условиях стеночного заряда в прианодной области.
Keywords
About the authors
Санкт-Петербургский государственный университет
Email: y.ionikh@spbu.ru
Россия, Санкт-Петербург
Санкт-Петербургский государственный университет
Email: y.ionikh@spbu.ru
Россия, Санкт-Петербург
Санкт-Петербургский государственный университет
Author for correspondence.
Email: y.ionikh@spbu.ru
Россия, Санкт-Петербург
References
- Thomson J.J. Researches in Electricity and Magnetism. Oxford: Clarendon, 1893. P. 115.
- Bartholomeyczeyk W. // Ann. Phys. 1939. B. 36. S. 485
- Недоспасов А.В., Новик А.Е. // ЖТФ. 1960. Т. 30. С. 1329.
- Ионих Ю.З. // Физика плазмы. 2020. Т. 46. С. 928.
- Ионих Ю.З., Мещанов А.В., Иванов Д.О. // ЖТФ. 2019. Т. 89. С. 1009.
- Pejović M.M., Ristić G.S., Karamarković J.P. // J. Phys. D: Appl. Phys. 2002. V. 35. P. R91.
- Meshchanov A.V., Ivanov D.O., Ionikh Y.Z., Shishpanov A.I. // J. Phys. D: Appl. Phys. 2018. V. 51. P. 335202.
- Bošan Dj.A., Radović M.K., Krompotić Dj.M. // J. Phys. D: Appl. Phys. 1986. V. 19. P. 2343.
- Bošan Dj.A., Jovanović T.V., Krompotić Dj.M. // J. Phys. D: Appl. Phys. 1997. V. 30. P. 3096.
- Jovanović T.V., Bošan Dj.A., Krompotić Dj.M., Rado-vić M.K. // J. Phys. D: Appl. Phys. 1998. V. 31. P. 3249.
- Pejović M.M., Ristić G.S., Petrović Z.Lj. // J. Phys. D: Appl. Phys. 1999. V. 32. P. 1489.
- Hamamoto M. // Japan. J. Appl. Phys. 2006. V. 45. P. L172.
- Hamamoto M. // Japan. J. Appl. Phys. 2006. V. 45. P. L175.
- Hamamoto M., Kai S., Haizaki T., Ishibashi M. // Proc. 28th Int. Conf. Phenomena in Ionized Gases. Prague, Czech Republic. 2007. P. 1973.
- Шишпанов А.И., Ионих Ю.З., Мещанов А.В. // Оптика и спектр. 2016. Т. 120. С. 929.
- Мещанов А.В., Ионих Ю.З., Шишпанов А.И., Калинин С.А. // Физика плазмы. 2016. Т. 42. С. 936.
- Shishpanov A.I., Meshchanov A.V., Kalinin S.A., Ionikh Y.Z. // Plasma Sources Sci. Technol. 2017. V. 26. 065017.
- Meshchanov A.V., Ivanov D.O., Ionikh Y.Z., Shishpa-nov A.I. // J. Phys. D: Appl. Phys. 2018. V. 51. 335202.
- Nie L., Xian Y., Lu X., Ostrikov K. // Phys. Plasmas. 2017. V. 24. P. 043502.
- Минц Р.И., Мильман И.И., Крюк В.И. // УФН. 1976. Т. 119. С. 749.
- Golubovskii Yu.B., Maiorov V.A., Behnke J., Behnke J.F. // J. Phys. D: Appl. Phys. 2002. V. 35. P. 751.
- Li M., Li C., Zhan H., Xu J., Wanga X. // Appl. Phys. Lett. 2008. V. 92. 031503.
- Meshchanov A.V., Shishpanov A.I., Bazhin P.S., Ionikh Y.Z. // Plasma Sources Sci. Technol. 2022. V. 31. 114010.
- Калинин С.А., Мещанов А.В., Шишпанов А.И., Ионих Ю.З. // Физика плазмы. 2018. Т. 44. С. 298.
- Gendre M.F., Haverlag M., Kroesen G.M.W. // J. Phys. D: Appl. Phys. 2010. V. 43. P. 234004.
- Калинин С.А., Капитонова М.А., Матвеев Р.М., Мещанов А.В., Ионих Ю.З. // Физика плазмы. 2018. Т. 44. С. 870.
- https://www.lighting.philips.ru/prof/lamps/fluorescent-lamps-and-starters/tl-d/tldstd/928025405451_EU/product.
Supplementary files














