Plasma Distribution in a Column of a Low-Pressure Microwave Discharge Sustained by a Standing Surface Wave
- Authors: Zhukov V.I.1, Karfidov D.M.1
-
Affiliations:
- Prokhorov General Physics Institute, Russian Academy of Sciences
- Issue: Vol 49, No 8 (2023)
- Pages: 779-788
- Section: OSCILLATIONS AND WAVES IN PLASMA
- URL: https://ogarev-online.ru/0367-2921/article/view/139586
- DOI: https://doi.org/10.31857/S0367292123600462
- EDN: https://elibrary.ru/HZHVBO
- ID: 139586
Cite item
Full Text
Abstract
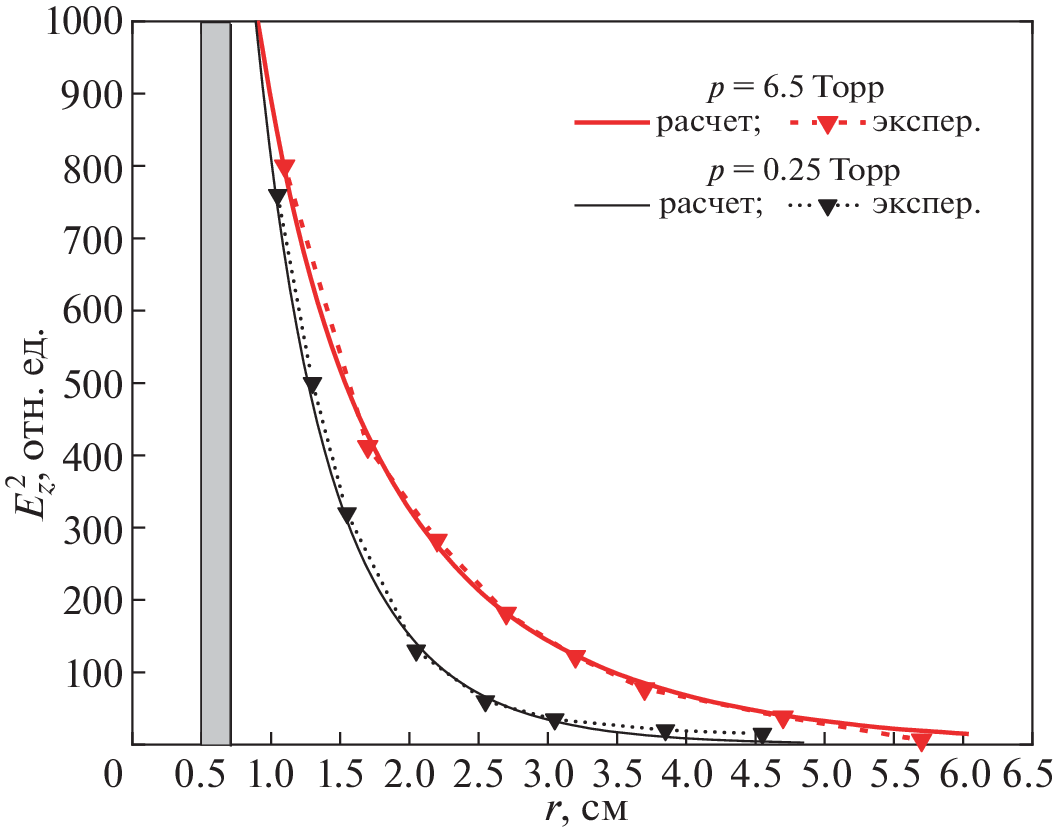
The structure of a low-pressure microwave discharge sustained by a standing surface electromagnetic wave (SEW) in a quartz tube filled with argon was studied. The standing wave was formed using a set of two flat metal mirrors, which formed an open SEW resonator. The plasma density profile and structure of the electromagnetic field of the SEW were studied in the pressure range from 0.25 to 10 Torr. The excitation of the standing wave allowed us to independently study the longitudinal Ez and transverse Er components of the SEW electric field vector. It was confirmed experimentally that the oscillation phases of the components of the SEW are shifted by π. The excitation of the standing wave in the plasma column leads to the formation of local minimums and maximums of plasma density, whose period equals half the wavelength of the surface wave. At the same time, the spatial period of density modulation is close to the distribution of the Ez component of the standing SEW. It was shown that the formation time of the modulated structure of plasma density is close to the characteristic time of diffusion, while the degree of modulation increases with increasing pressure. It was shown experimentally that it is possible to produce a plasma column with plasma density modulation nemax/nemin ≈ 5 and a length of about 10 wavelengths.
About the authors
V. I. Zhukov
Prokhorov General Physics Institute, Russian Academy of Sciences
Email: zhukov.vsevolod@physics.msu.ru
119991, Moscow, Russia
D. M. Karfidov
Prokhorov General Physics Institute, Russian Academy of Sciences
Author for correspondence.
Email: zhukov.vsevolod@physics.msu.ru
119991, Moscow, Russia
References
- Schluter H., Shivarova A. // Physics Reports. 2007. V 443. № 4–6. P. 121–255. https://doi.org/10.1016/j.physrep.2006.12.006
- Sommerfeld A. // Ann. der Physik und Chem. 1899. Vol. 67. № 2. P. 233.
- Borges C.F.M., Airoldi V.T., Corat E.J., Moisan M., Schelz S., Guay D. // Journal of Applied Physics. 1996. V. 80. № 10. https://doi.org/10.1063/1.363600
- Moisan Michel, Karim Boudam, Denis Carignan, Danielle Kéroack, Pierre Levif, Jean Barbeau, Jacynthe Séguin, et al. // The European Physical Journal Applied Physics. 2013. V. 63. № 1. P. 10001. https://doi.org/10.1051/epjap/2013120510
- Istomin E.N., Karfidov D.M., Minaev I.M., Rukhad-ze A.A, Tarakanov V.P., Sergeichev K.F., Trefilov A.Yu. // Plasma Physics Reports. 2006. V. 32, № 5. P. 388–400. https://doi.org/10.1134/S1063780X06050047
- Zhao Jiansen, Zhen Sun, Yuxiang Ren, Lu Song, Shengzheng Wang, Wei Liu, Zhe Yu, and Yuhan Wei. // Journal of Physics D: Applied Physics. 2019. V. 52. № 29. https://doi.org/10.1088/1361-6463/ab1b0a
- Moisan M., Zakrzewski Z. // J. Phys. D: Appl. Phys. 1991. V. 24. P. 1025. https://doi.org/10.1088/0022-3727/24/7/001
- Moisan M., Shivarova A., Trivelpiece A.W. // Plasma Phys. 1982. V. 24. № 11. P. 1331. https://doi.org/10.1088/0032-1028/24/11/001
- Margot-Chaker J., Moisan M., Chaker M., Glaude V.M.M., Lauque P., Paraszczak J., Sauve G. // J. Appl. Phys. 1982. V. 66. № 9. P. 4134. https://doi.org/10.1063/1.343998
- Zhelyazkov I., Benova E., Atanassov V. // Journal of A-pplied Physics. 1986. V. 59. № 5. P. 1466–1472. https://doi.org/10.1063/1.336501
- Trivelpiece A.W. // The DP degree Thesis, California Institute of Technology, Pasadena, 1958.
- Rogers J., Asmussen J. // IEEE Trans. Plasma Sci. 1982. V. PS-10. № 1. P. 11. https://doi.org/0093-3813/82/0300-0011$00.75
- Wolinska-Szatkowska J. // J. Phys. D: Appl. Phys. 1988. V. 21. № 6. P. 937. https://doi.org/10.1088/0022-3727/21/6/012
- Rakem Z., Leprince P., Marec J. // Rev. Phys. Appl. (Paris). 1990. V. 25. № 1. P. 125. https://doi.org/10.1051/rphysap:01990002501012500
- Жуков В.И., Карфидов Д.М. // Физика плазмы. 2023. Т. 49. № 3. С. 260–269. https://doi.org/10.1134/S1063780X22601651
- Солнцев Г.С., Булкин П.С., Мокеев М.В., Цветко-ва Л.И. // Вестник Московского университета. 1997. Сер. 3. № 6. С. 36.
- Moisan M., Beaudry C., Leprince P. // Physics Letters A. 1974. V. 50. № 2. P. 125. https://doi.org/10.1016/0375-9601(74)90903-7
- Жуков В.И., Карфидов Д.М., Сергейчев К.Ф. // Физика плазмы. 2020. Т. 46. № 8. С. 1. https://doi.org/10.31857/S0367292120080120
- Moisan M., Levif P., Nowakowska H. // International Workshop “Microwave Discharges: Fundamentals and Applications” (MD): 3–7 September 2018, Zvenigorod, Russia: Proceedings. Moscow: Yanus-K, 2018.
- Cotrino J., Gamero A., Sola A., Saez M., Colomer V., Sanz-Medel A., Uria J.E. // Mikrochimica Acta. 1989. V. 99. № 3–6. P. 179. https://doi.org/10.1007/BF01244672
- Moisan M., Ferreira C.M., Hajlaoui Y., Henry D., Hubert J., Pantel R., Ricard A., Zakrzewski Z. // Revue de Physique Appliquée. 1982. V. 17. № 11. P. 707–27. https://doi.org/10.1051/rphysap:019820017011070700
- Cotrino J., Gamero A., Sola A., Colomer V. // Journal of Physics D: Applied Physics . 1988. V. 21. № 9. P. 1377–1383. https://doi.org/10.1088/0022-3727/21/9/010
- Кондратенко А.Н. // Поверхностные и объемные волны в ограниченной плазме. М.: Энергоатомиздат, 1985. С. 17.
- Nowakowska H., Lackowski M., Moisan M. // IEEE Trans. Plasma Sci. 2020. V. 48. № 6. P. 2106. https://doi.org/10.1109/TPS.2020.2995475
- Moisan M., Nowakowska H. // Plasma Sources Sci. Technol. 2018. V 27. № 7. 073001. https://doi.org/10.1088/1361-6595/aac528
- Moisan M., Ganachev I.P., Nowakowska H. // Physical Review E. 2022. V. 106. № 4. 045202. https://doi.org/10.1103/PhysRevE.106.045202
- Ferreira C.M., Moisan M. // Physica Scripta. 1988. V. 38. № 3. P. 382–399. https://doi.org/10.1088/0031-8949/38/3/008
Supplementary files













