Влияние столкновений электронов на электромагнитные моды плазмы, образованной при многофотонной ионизации инертного газа
- Авторы: Вагин К.Ю.1, Урюпин С.А.1
-
Учреждения:
- Физический институт им. П.Н. Лебедева РАН
- Выпуск: Том 49, № 9 (2023)
- Страницы: 903-917
- Раздел: КОЛЕБАНИЯ И ВОЛНЫ В ПЛАЗМЕ
- URL: https://ogarev-online.ru/0367-2921/article/view/139583
- DOI: https://doi.org/10.31857/S0367292123600711
- EDN: https://elibrary.ru/XAIRRB
- ID: 139583
Цитировать
Полный текст
Аннотация
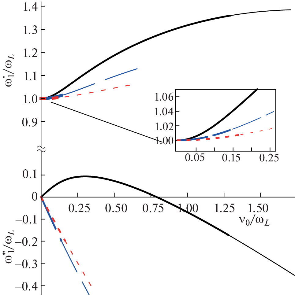
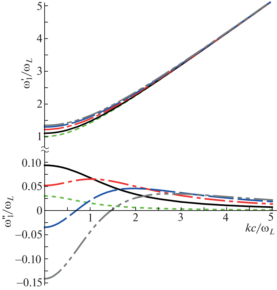
Исследованы электромагнитные моды в слабоионизованной плазме, образованной при многофотонной ионизации атомов инертного газа, в котором имеет место эффект Рамзауэра–Таундсенда. Показано, что при сравнительно небольшой энергии фотоэлектронов порядка 1 эВ возможно усиление электромагнитных волн. Усиление возможно как в случае редких столкновений фотоэлектронов с нейтральными атомами, так и при частотах столкновений большой плазменной частоты электронов. При энергиях фотоэлектронов несколько больших 1 эВ возможно развитие апериодической неустойчивости с инкрементом, величина которого сравнима с плазменной частотой электронов. Представлен детальный аналитический и численный анализ влияния столкновений фотоэлектронов с нейтральными атомами на закон дисперсии электромагнитной волны и инкременты неустойчивостей.
Ключевые слова
Об авторах
К. Ю. Вагин
Физический институт им. П.Н. Лебедева РАН
Email: vagin@sci.lebedev.ru
Россия, Москва
С. А. Урюпин
Физический институт им. П.Н. Лебедева РАН
Автор, ответственный за переписку.
Email: vagin@sci.lebedev.ru
Россия, Москва
Список литературы
- Тимофеев А.В. // Физика плазмы. 2012. Т. 38. С. 87. [Timofeev A.V. // Plasma Phys. Rep. 2012. V. 38. P. 79. doi: 10.1134/S1063780X11120099.]
- Delone N.B., Krainov V.P. // JOSA B. 1991. V. 8. P. 1207. https://doi.org/10.1364/JOSAB.8.001207
- McNaught S.J., Knauer J.P., Meyerhofer D.D. // Phys. Rev. Lett. 1997. V. 78. P. 626. https://doi.org/10.1103/PhysRevLett.78.626
- Leemans W.P., Clayton C.E., Mori W.B., Marsh K.A., Kaw P.K., Dyson A., Joshi C., Wallace J.M. // Phys. Rev. A. 1992. V. 46. P. 1091. https://doi.org/10.1103/PhysRevA.46.1091
- Мур В.Д., Попруженко С.В., Попов В.С. // ЖЭТФ. 2001. Т. 119. С. 893. [Mur V.D., Popruzhenko S.V., Po-pov V.S. // JETP. 2001. V. 92. P. 777. doi: 10.1134/1.1378169.]
- Huang C.K., Zhang C.J., Marsh K.A., Clayton C.E., Joshi C. // Plasma Phys. Control. Fusion. 2020. V. 62. P. 024011. https://doi.org/10.1088/1361-6587/ab61df
- Agostini P., Fabre F., Mainfray G., Petite G., Rah-man N.K. // Phys. Rev. Lett. 1979. V. 47. P. 1127. https://doi.org/10.1103/PhysRevLett.42.1127
- Petite G., Agostini P., Yergeau F. // JOSA B. 1987. V. 4. P. 765.
- Muller H.G., van Linden van den Heuvell H.B., Agos-tini P., Petite G., Antonetti A., Franco M., Migus A. // Phys. Rev. Lett. 1988. V. 60. P. 565. https://doi.org/10.1103/PhysRevLett.60.565
- Fabre F., Agostini P., Petite G., Clement M. // J. Phys. B: Atom. Mol. Phys. 1981. V. 14. P. L677. https://doi.org/10.1088/0022-3700/14/21/007
- Gontier Y., Rahman N.K., Trahin M. // EPL. 1988. V. 5. P. 595. https://doi.org/10.1209/0295-5075/5/7/004
- Marchenko T., Muller H.G., Schafer K.J., Vrak-king M.J.J. // J. Phys. B: At. Mol. Opt. Phys. 2010. V. 43. P. 185001. https://doi.org/10.1088/0953-4075/43/18/185001
- Li M., Liu Y., Liu H., Yang Y., Yuan J., Liu X., Deng Y., Wu C., Gong Q. // Phys. Rev. A. 2012. V. 85. P. 013414. https://doi.org/10.1103/PhysRevA.85.013414
- Zhang L., Miao Z., Zheng W., Zhong X., Wu C. // Chemical Physics. 2019. V. 523. P. 52.https://doi.org/10.1016/j.chemphys.2019.04.005
- Вагин К.Ю., Урюпин С.А. // ЖЭТФ. 2010. Т. 138. С. 757. [Vagin K.Y., Uryupin S.A. // JETP. 2010. V. 111. P. 670. doi: 10.1134/S1063776110100195.]
- Вагин К.Ю., Романов А.Ю., Урюпин С.А. // Физика плазмы. 2012. Т. 38. С. 63. [Vagin K.Y., Romanov A.Y., Uryupin S.A. // Plasma Phys. Rep. 2012. V. 38. P. 57. doi: 10.1134/S1063780X11120117.]
- Вагин К.Ю., Урюпин С.А. // Физика плазмы. 2013. Т. 39. С. 759. [Vagin K.Y., Uryupin S.A. // Plasma Phys. Rep. 2013. V. 39. P. 674. doi: 10.1134/S1063780X13080060.]
- Вагин К.Ю., Урюпин С.А. // Физика плазмы. 2014. Т. 40. С. 468. [Vagin K.Y., Uryupin S.A. // Plasma Phys. Rep. 2014. V. 40. P. 393. doi: 10.1134/S1063780X14040096.]
- Vagin K.Yu., Uryupin S.A. // Phys. Lett. A. 2015. V. 379. P. 745. https://doi.org/10.1016/j.physleta.2014.12.025
- Вагин К.Ю., Урюпин С.А. // Физика плазмы. 2015. Т. 41. С. 808. [Vagin K.Y., Uryupin S.A. // Plasma Phys. Rep. 2015. V. 41. P. 744. doi: 10.1134/S1063780X15080103.]
- Donko Z., Dyatko N. // Eur. Phys. J. D. 2016. V. 70. P. 135. https://doi.org/10.1140/epjd/e2016-60726-4
- Vagin K.Y., Uryupin S.A. // J. Russ. Laser Res. 2016. V. 37. P. 473. https://doi.org/10.1007/s10946-016-9599-z
- Bogatskaya A.V., Gnezdovskaia N.E., Volkova E.A., Po-pov A.M. // Plasma Sources Sci. Technol. 2020. V. 29. P. 105016. https://doi.org/10.1088/1361-6595/aba110
- Богацкая А.В., Попов А.М. // Письма в ЖЭТФ. 2013. Т. 97. С. 453. [Bogatskaya A.V., Popov A.M. // JETP Lett. 2013. V. 97. P. 388. doi: 10.1134/S0021364013070035.]
- Bogatskaya A.V., Smetanin I.V., Volkova E.A., Po-pov A.M. // Laser and Particle Beams. 2015. V. 33. P. 17. https://doi.org/10.1017/S0263034614000755
- Vagin K.Yu., Uryupin S.A. // Plasma Sources Sci. Technol. 2020. V. 29. P. 035005. https://doi.org/10.1088/1361-6595/ab5e28
- Vagin K.Yu., Uryupin S.A. // Physics of Plasmas. 2020. V. 27. P. 112110. https://doi.org/10.1063/5.0023518
- Bogatskaya A.V., Volkova E.A., Popov A.M. // Phys. Rev. E. 2021. V. 104. P. 025202. https://doi.org/10.1103/PhysRevE.104.025202
- Hayashi M. // J. Phys. D: Appl. Phys. 1983. V. 16. P. 581. https://doi.org/0.1088/0022-3727/16/4/018
- Hayashi M. Bibliography of electron and photon cross sections with atoms and molecules published in the 20th century. Xenon: Tech. Rep.: : National Inst. for Fusion Science, 2003.
- Смирнов Б.М. Физика слабоионизованного газа: В задачах с решениями. М.: Наука, 1985. 424 c. [Smirnov B.M. Physics of ionized gases. New York: John Wiley & Sons, 2001.]
- Vagin K.Yu., Mamontova T.V., Uryupin S.A. // Phys. Rev. A. 2020. V. 102. P. 023105. https://doi.org/10.1103/PhysRevA.102.023105
- Lorentz H.A. // Arch. neerl. 1905. V. 10. P. 336. (see also Lorentz H.A. Collected Papers (Martinus Nijhoff, The Hague, 1936), Vol. III.)
- Townsend J.S., Bailey V.A. // The London, Edinburgh, and Dublin Philosophical Magazine and Journal of Science. 1921. V. 42. P. 873.
- Ramsauer C. // Annalen der Physik. 1921. V. 369. P. 513.
- Brode R.B. // Reviews of Modern Physics. 1933. V. 5. P. 257.
Дополнительные файлы













