On Stationary Flow of Dense Plasma under Localized Energy Deposition
- Authors: Abramov I.S.1,2, Gospodchikov E.D.3, Shalashov A.G.3
-
Affiliations:
- Institute of Applied Physics, Russian Academy of Sciences
- Lobachevsky State University of Nizhny Novgorod
- Gaponov-Grekhov Institute of Applied Physics, Russian Academy of Sciences
- Issue: Vol 49, No 2 (2023)
- Pages: 143-153
- Section: PLASMA DYNAMICS
- URL: https://ogarev-online.ru/0367-2921/article/view/139520
- DOI: https://doi.org/10.31857/S0367292122601084
- EDN: https://elibrary.ru/NPIRMS
- ID: 139520
Cite item
Full Text
Abstract
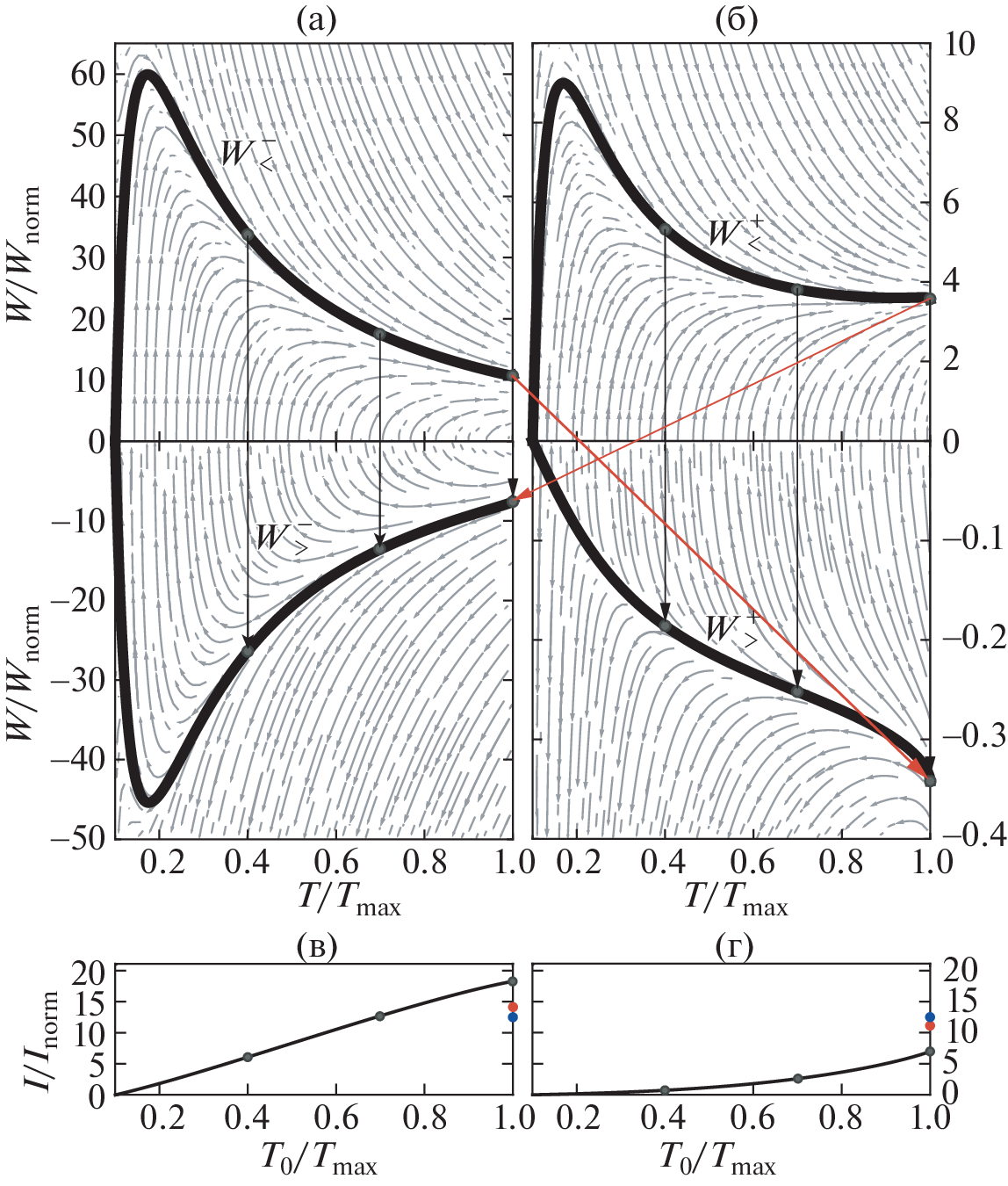
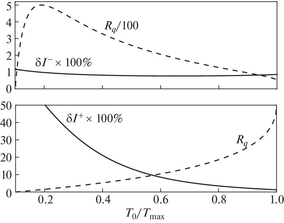
The paper presents a one-dimensional gas-dynamic model that gives an opportunity to establish the necessary conditions for the emergence and determine characteristics of a stationary flow of a compressible continuous medium with nonlinear thermal conductivity, an example of which is a fully or partially ionized plasma, in the presence of a localized heat source with a given power.
About the authors
I. S. Abramov
Institute of Applied Physics, Russian Academy of Sciences; Lobachevsky State University of Nizhny Novgorod
Email: abramov@ipfran.ru
603950, Nizhny Novgorod, Russia; 603950, Nizhny Novgorod, Russia
E. D. Gospodchikov
Gaponov-Grekhov Institute of Applied Physics, Russian Academy of Sciences
Email: egos@ipfran.ru
603950, Nizhny Novgorod, Russia
A. G. Shalashov
Gaponov-Grekhov Institute of Applied Physics, Russian Academy of Sciences
Author for correspondence.
Email: egos@ipfran.ru
603950, Nizhny Novgorod, Russia
References
- Mansfeld D., Sintsov S., Chekmarev N., Vodopyanov A. // J. CO2 Util. 2020. V. 40. P. 101197.
- Sintsov S.V., Vodopyanov A.V., Viktorov M.E., Moroz-kin M.V. and Glyavin M.Yu. // J. Infrared Millim. Terahertz Waves. 2020. V. 41. P. 711.
- Vodopyanov A.V., Mansfeld D.A., Chekmarev N.V., Viktorov M.E., Nikolaev A.G., Yushkov G.Yu. // Proc. SPIE. 2020. V. 11582. P. 115820Z-1.
- Vodopyanov A.V., Sidorov A.V., Razin S.V., Dubinov I.D., Sintsov S.V., Proyavin M.D., Morozkin M.V., Fokin A.P., Glyavin M.Yu. // Proc. of 43rd Internat. Confer. on Infrared, Millimeter, and Terahertz Waves. 2018. P. 8510395.
- Shalashov A.G., Vodopyanov A.V., Abramov I.S., Sido-rov A.V., Gospodchikov E.D., Razin S.V., Chkhalo N.I., Salashchenko N.N., Glyavin M.Yu., and Golubev S.V. // Appl. Phys. Lett. 2018. V. 113. P. 153502.
- Thumm M. // J. Infrared Millim. Terahertz Waves. 2020. V. 41. P. 1.
- Glyavin M.Yu., Golubev S.V., Izotov I.V., Litvak A.G., Luchinin A.G., Razin S.V., Sidorov A.V., Skalyga V.A., and Vodopyanov A.V. // Appl. Phys. Lett. 2014. V. 105 P. 174101.
- Brown I.G.. The Physics and Technology of Ion Sources. WILEY-VCH Verlag GmbH and Co. KGaA, 2004.
- Bakshi V. EUV Lithography. Second Edition. Bellingnham, WA: SPIE, 2018.
- Райзер Ю.П. // Физика газового разряда. – 3-е изд. перераб. и доп. Долгопрудный: Издательский дом “Интеллект”, 2009. С. 537.
- Райзер Ю.П. // Письма в ЖЭТФ. 1970. Т. 11. С. 195.
- Герасименко М.В., Козлов Г.И., Кузнецов В.А. // Квантовая электроника. 1983. Т. 10. С. 709.
- Райзер Ю.П. // УФН. 1980. Т. 132. С. 549.
- Райзер Ю.П., Суржиков С.Т. // Квантовая электроника. 1984. Т. 11. С. 2301.
- Райзер Ю.П., Суржиков С.Т. // ТВТ. 1985. Т. 23. С. 29.
- Abramov I.S., Gospodchikov E.D., Shalashov A.G. // Phys. Rev. Applied. 2018. V. 10. P. 034065.
- Шалашов А.Г., Абрамов И.С., Голубев С.В., Господчиков Е.Д. // ЖЭТФ. 2016. Т. 150 (2). С. 254.
- Shalashov A.G., Golubev S.V., Abramov I.S., Gospodchikov E.D. AIP Conf. Proc. 2016. V. 1771 (1). P. 070001.
- Абрамов И.С., Господчиков Е.Д., Шалашов А.Г. // Изв. вузов. Радиофизика. 2015. Т. 58 (12). С. 1022.
- Chkhalo N.I., Salashchenko N.N., Golubev S.V., Mansfeld D., Vodopyanov A.V., Sjmaenok L. // J. Micro/ Nanolithogr. MEMS MOEMS. 2012. V. 11 (2). P. 021123.
- Боханов А.Ф., Зорин В.Г., Изотов И.В., Разин С.В., Сидоров А.В., Скалыга В.А. // Физика плазмы. 2007. Т. 33 (5). С. 387.
- Semenov V., Skalyga V., Smirnov A., Zorin V. // Rev. Sci. Instrum. 2002. V. 73 (2). P. 635.
- Golubev S.V., Razin S.V., Semenov V.E., Smirnov A.N., Vodopyanov A.V., Zorin V.G. // Rev. Sci. Instrum. 2000. V. 71 (2). P. 669.
- Соколова И.М. // ПМТФ. 1973. Т. 2. С. 80.
- Брагинский С.И. // Вопросы теории плазмы. Вып. 1. М.: Атомиздат, 1963. С. 183.
- Ландау Л.Д., Лифшиц Е.М. Теоретическая физика: Учебное пособие. В 10 т. Т. VI. Гидродинамика. 3‑е изд., перераб. М.: Наука. Гл. ред. физ.-мат. лит., 1986.
- Лойцянский Л.Г. // Механика жидкости и газа: Учеб. для вузов. 7-е изд., испр. М.: Дрофа, 2003. С. 120.
- Чукбар К.В. // ВАНТ. Сер. Термоядерный синтез. 2021. Т. 44 (3). С. 107.
Supplementary files








