Dusty Plasma under Conditions of Glow Discharge in Magnetic Field of up to 2.5 T
- Authors: Dzlieva E.S.1, Dyachkov L.G.2, Karasev V.Y.1, Novikov L.A.1, Pavlov S.I.1
-
Affiliations:
- St. Petersburg State University
- Joint Institute for High Temperatures, Russian Academy of Sciences
- Issue: Vol 49, No 1 (2023)
- Pages: 7-11
- Section: ПЫЛЕВАЯ ПЛАЗМА
- URL: https://ogarev-online.ru/0367-2921/article/view/139517
- DOI: https://doi.org/10.31857/S0367292122600947
- EDN: https://elibrary.ru/KMUWYK
- ID: 139517
Cite item
Full Text
Abstract
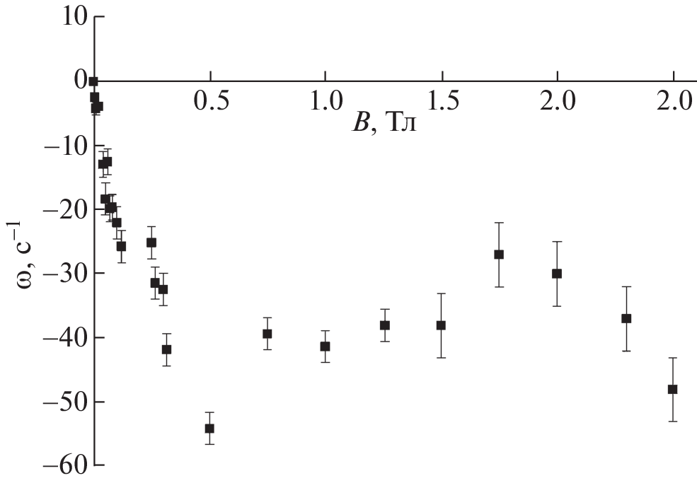
Under conditions of glow discharge in the strong magnetic field, three-dimensional dust structures were created in the He, Ne, and Ar working gases in three types of dust traps (in standing stratum, in the region of current channel narrowing, and in the region of nonuniform magnetic field). These structures are stable in the fields of the order of 2 T. In all traps, the rotation dynamics have been studied of horizontal (perpendicular to the magnetic field) cross sections of dust structures, their angular velocities has been measured, and the nonuniform angular velocity distributions in the dust structure volumes have been measured. For the first time, for the trap in the region of current channel narrowing, the data are presented in the range of magnetic inductions of up to 2.5 T. Such magnetic fields correspond to the Ne+ ion magnetization parameter of approximately 2 and the ion cyclotron radius comparable to the shielding distance. In the fields higher than 1.5 T, the angular velocity of the structure rotation increased to 50 s–1, which is a record-breaking fast rotation of dusty plasma. For each of the traps under study, the geometrical features of the dust structures are described.
About the authors
E. S. Dzlieva
St. Petersburg State University
Email: v.karasev@spbu.ru
199034, St. Petersburg, Russia
L. G. Dyachkov
Joint Institute for High Temperatures, Russian Academy of Sciences
Email: v.karasev@spbu.ru
127412, Moscow, Russia
V. Yu. Karasev
St. Petersburg State University
Email: v.karasev@spbu.ru
199034, St. Petersburg, Russia
L. A. Novikov
St. Petersburg State University
Email: v.karasev@spbu.ru
199034, St. Petersburg, Russia
S. I. Pavlov
St. Petersburg State University
Author for correspondence.
Email: v.karasev@spbu.ru
199034, St. Petersburg, Russia
References
- Chen F.F. Introduction to Plasma Physics and Controlled Fusion. N.Y.: Plenum Press,1984.
- Голант В.E., Жилинский A.П., Сахаров И.Е. Основы физики плазмы. М.: Атомиздат, 1977. 384 с.
- Merlino R.L., Barkan A., Thompson C., D’Angelo N. // Phys. Plasmas. 1998. V. 5. P. 1607.
- Фортов В.Е., Храпак А.Г., Храпак С.А., Молот-ков В.И., Петров О.Ф. // УФН. 2004. Т. 174. С. 495.
- Комплексная и пылевая плазма / Ред. Фортов В.Е., Морфил Г.Е. М.: Физматлит, 2012. 444 с.
- Tsytovich V.N., Morfill G.E., Vladimirov S.V., Tho-mas H.M. Elementary Physics of complex plasmas. Berlin; New York: Springer, 2008.
- Chen F.F. Electric probes. Plasma diagnostic techniques. N.Y.: Academic Press, 1965.
- Chan P., Talbot L., Turian K. Electrical Probes in Stationary and Flowing Plasmas, Theory and Application. Berlin, Heidelberg, New York: Springer-Verlag, 1975.
- Sato N. // AIP Conf. Proc. 2002. V. 649. P. 66.
- Kaw P., Nishikawa K., Sato N. // Phys. Plasmas. 2002. V. 9. P. 387.
- Ishihara O., Kamimura T., Hirose K.I., Sato N. // Phys. Rev. E. 2002. V. 66. P. 046406.
- Schwabe M., Konopka U., Bandyopadhyay P., Morfill G.E. // Phys. Rev. Lett. 2011. V. 106. P. 215004.
- Thomas E. Jr, Lynch B., Konopka U., Merlino R.L., Rosenberg M. // Phys. Plasmas. 2015. V. 22. P. 030701.
- Choudhary M., Bergert R., Mitich S., Thoma M.H. // Phys. Plasmas. 2020. V. 27. P. 063701.
- Melzer A., Kruger H., Schutt S., Mulsow M. // Phys. Plasmas 2019. V. 26. P. 093702.
- Dzlieva E.S., Dyachkov L.G., Novikov L.A., Pavlov S.I., Karasev V.Yu. // Europ. Phys. Lett. 2018. V. 123. P. 15001.
- Karasev V.Yu., Dzlieva E.S., Pavlov S.I., Novikov L.A., Maiorov S.A. // IEEE Transac. Plasma Sci. 2018. V. 46. P. 727.
- Karasev V.Y., Dzlieva E.S., D’yachkov L.G., Novi-kov L.A., Pavlov S.I., Tarasov S.A. // Contr. Plasma Phys. 2019. V. 59. № 4–5. P. e201800136.
- Dzlieva E.S., Dyachkov L.G., Novikov L.A., Pavlov S.I., Karasev V.Yu. // Plasma Sources Sci. Technol. 2019. V. 28. P. 085020.
- Dzlieva E.S., Dyachkov L.G., Novikov L.A., Pavlov S.I., Karasev V.Yu. // Plasma Sources Sci. Technol. 2020. V. 29. P. 085020.
- Дзлиева Е.С., Новиков Л.А., Павлов С.И., Кара-сев В.Ю. // Письма ЖТФ. 2018. Т. 44. С. 66.
- Дзлиева Е.С., Карасев В.Ю., Павлов С.И. // Физика плазмы. 2016. Т. 42. С.142.
- Dzlieva E.S., Dyachkov L.G., Novikov L.A., Pavlov S.I., Karasev V.Yu. // Molecules. 2021. V. 26. P. 3788.
- Novikov L.A., Ermolenko M.A., Dzlieva E.S., Pavlov S.I., Plishchuk V.A., Karasev V.Yu. // J. Phys. Conf. Series. 2021. V. 1787. P. 012055.
- Pavlov S.I., Dzlieva E.S., Novikov L.A., Ivanov A.Yu., Yanitchin D.V., Plishchuk V.A., Karasev V.Yu. // J. Phys. Conf. Series. 2021. V. 1787. P. 012054.
- Недоспасов А.В. // УФН. 1975. Т. 116. С. 643.
- Nedospasov A.V. // Europ. Phys. Lett. 2013. V. 103. P. 25001.
- Dzlieva E.S., Karasev V.Yu., Pavlov S.I. // Europ. Phys. Lett. 2015. V. 110. P. 55002.
- Дзлиева Е.C., Ермоленко М.А., Карасев В.Ю., Пав-лов С.И., Новиков Л.А., Майоров С.А. // Письма ЖЭТФ. 2014. Т. 100. С. 801.
- Vasiliev M.M., D’yachkov L.G., Antipov S.N., Huijink R., Petrov O.F., Fortov V.E. // Europ. Phys. Lett. 2011. V. 93. P. 15001.
- Васильев М.М., Дьячков Л.Г., Антипов С.Н., Пет-ров О.Ф., Фортов В.Е. // Письма ЖЭТФ. 2007. Т. 86. С. 414.
- Abdirakhmanov A.R., Moldabekov Z.A., Kodanova S.K., Dosbolayev M.K., Ramazanov T.S. // IEEE Trans. Plasma Sci. 2019. V. 47. P. 3036.
- Абдирахманов А.Р., Карасев В.Ю., Дзлиева Е.С., Павлов С.И., Новиков Л.А., Досболаев М.К., Коданова С.К., Рамазанов Т.С. // ТВТ. 2021. Т. 59. С. 657.
- Майоров С.А. // Кр. сообщения по физике ФИАН. 2021. № 4. С. 18.
- Грановский В.Л. Электрический ток в газе. Установившийся ток. М.: Наука, 1971.
Supplementary files







