Wild animals and vehicles – analysis of development of a conflict: case of sverdlovsk region
- Authors: Korytin N.S.1, Markov N.I.1, Kuznetsov A.K.2, Bergman I.Y.1
-
Affiliations:
- Institute of Plant and Animal Ecology, Ural Branch, Russian Academy of Sciences
- Department for the Protection, Control and Regulation of the Use of Wildlife of the Sverdlovsk Region
- Issue: No 6 (2024)
- Pages: 446-456
- Section: Articles
- URL: https://ogarev-online.ru/0367-0597/article/view/272926
- DOI: https://doi.org/10.31857/S0367059724060058
- EDN: https://elibrary.ru/VYNXIV
- ID: 272926
Cite item
Full Text
Abstract
Abstract –The dynamics of the number of road accidents with wild animals in the Sverdlovsk region for the period from 2012 to 2022 was analyzed. The species composition of the animals is sharply shifted towards pair-horned ungulates. The increase in the number of collisions with roe deer and moose is faster than the increase in the number of species by an average of 3.1 times. The seasonal peak of incidents occurs in May-July for moose and Siberian roe deer and in October for wild boar. A strong correlation was found between the number of road incidents, roe deer and moose numbers and vehicle density on roads. The rate of increase in animal populations is 31 and 33% (for roe deer and moose, respectively) of the rate of increase in the number of accidents, while the rate of increase in vehicle density on roads is 7.5–9.9%. It is suggested that the impact of animal population growth on the change in the number of accidents is higher than the impact of the change in traffic intensity.
Full Text
Антропогенная трансформация местообитаний и эксплуатация промысловых видов животных влекут за собой значительные последствия для экосистем. В частности, происходят изменения видового состава организмов, плотности их населения, поведения и направлений перемещений. Действие части антропогенных факторов может приводить к увеличению плотности населения некоторых видов, но большая их часть приводит к негативным последствиям [1‒4]. К такого рода воздействиям относится строительство транспортных магистралей, результатом чего может быть нарушение исторических путей перемещений животных, но в первую очередь их гибель на дорогах. Столкновения транспортных средств с дикими животными носят характер прямого конфликта, поскольку нередко одновременно погибают и люди. В связи с этим становится очевидной необходимость детального изучения данного процесса, оценки роли различных факторов и разработки мер по снижению степени напряженности конфликта.
Изучению этой проблемы уделяется большое внимание в регионах с высокой плотностью населения человека и соответственно с развитой дорожной сетью, в первую очередь в странах Европы и США [5‒17 и др.]. Рост исследовательского интереса к трендам и причинам дорожно-транспортных происшествий (далее ‒ ДТП) с участием диких животных отражается в числе публикаций: если в период с 1979 по 1999 гг. было опубликовано всего около 30 статей, то в последние два десятилетия ежегодно публикуется от 10 до 80 работ [12]. В России публикаций на эту тему пока совсем немного [18‒22]. В Свердловской области было проведено одно подобное исследование [23]. Таким образом, можно констатировать существенный дефицит информации о динамике и причинах столкновений с дикими животными в России. Необходимость изучения проблемы также диктуется ростом числа ДТП [24].
В большинстве исследований биологические факторы и параметры, характеризующие транспортную сеть и интенсивность движения, определены как одинаково важные предикторы вероятности ДТП с дикими животными [12]. Показана высокая значимость вида животного, особенностей рельефа и окружающей дорогу растительности [9]. Выявлена связь между числом инцидентов и скоростью движения транспортного средства вблизи населенных пунктов, а также между числом ДТП и особенностями двигательной активности крупных млекопитающих [25]. В частности, показано [25], что переходы лосей через дорогу зависят от сезона, времени суток, а также от индивидуальных особенностей животных. В то же время нам не известны работы, которые бы отвечали на вопрос: что же оказывает большее влияние на динамику числа происшествий с дикими животными – рост их численности или характеристики автотранспорта? Очевидно, что ответ на этот вопрос не может быть дан в глобальном масштабе – вклад факторов может варьировать в зависимости от природных и экономических характеристик отдельных территорий (регионов). Поэтому в нашей работе мы обращаемся к проблеме на примере Свердловской области – одного из крупнейших регионов Урала, обладающего высоким разнообразием природных условий и развитой транспортной инфраструктурой. Насколько нам известно, данное исследование – первый в России опыт количественного анализа связи динамики происшествий с факторами, потенциально влияющими на вероятность столкновений. К последним мы относим численность собственно диких животных, число автотранспортных средств и протяженность дорожной сети.
Цель нашего исследования ‒ дать комплексную оценку состояния проблемы “дикие животные – автотранспорт” на примере Свердловской области. В частности, показать динамику во времени числа ДТП и видовой состав животных ‒ участников столкновений. Особое внимание уделить оценке относительного влияния природных (численность животных) и антропогенных (число автотранспортных средств и протяженность дорожной сети) факторов на изменение числа аварий с представителями дикой фауны за 11-летний период.
РАЙОН ИССЛЕДОВАНИЙ
Свердловская область – крупнейший регион Урала, расположенный на границе Европы и Азии – занимает бо́льшую часть средней и примерно половину северной части Уральских гор, а также западную окраину Западно-Сибирской низменности. Ее площадь равна 194 226 км², что сопоставимо с площадью некоторых европейских стран. Протяженность с севера на юг – 660 км, а с запада на восток – 560 км. Климат континентальный, средняя температура января –17 оC, июля +17 оC; количество осадков – около 500 мм в год. Растительность: хвойные и смешанные леса, на крайнем юго-востоке участки лесостепи. Леса занимают 82.3% территории области. Фауна млекопитающих насчитывает 66 видов [26] и представляет собой типичный лесной комплекс. Свердловская область является одним из важнейших промышленных регионов России – доминируют черная и цветная металлургия, а также важным транспортным узлом – через нее проходят железнодорожные, автомобильные и воздушные трассы общероссийского значения. Густота железнодорожной и автодорожной сетей превосходит средние по стране показатели [27].
Разнообразие природных сообществ и фауны региона в сочетании с высокими темпами развития экономики, в частности транспортной отрасли [27], делает его удобным полигоном для изучения проблемы “дикие животные – автомобильный транспорт”. Выбор Свердловской области определяется также и тем, что в регионе имеется стандартизованная система сбора сведений о столкновениях транспортных средств с дикими животными.
МАТЕРИАЛ И МЕТОДЫ
Материал. В работе использовали сведения из базы данных о зарегистрированных случаях дорожно-транспортных происшествий с участием диких животных, созданной Департаментом по охране, контролю и регулированию использования животного мира Свердловской области. Число столкновений было сопоставлено с численностью основных видов охотничьих животных в регионе по данным зимних маршрутных учетов (далее – ЗМУ). Сведения о дорожной сети были взяты из транспортной статистики Росстата (https://rosstat.gov.ru/statistics/transport). В частности, сведения о протяженности дорог в Свердловской области в 2012–2022 гг. получили из таблицы “Протяженность и характеристики автомобильных дорог общего пользования (с 2006 г.)” [28].
Динамика транспортного потока по дорогам Свердловской области была оценена через изменение числа легковых и грузовых автомобилей в регионе в 2012–2022 гг. Информация по грузовым автомобилям получена из таблицы “Количество грузовых автомобилей и пассажирских автобусов по видам топлива в организациях всех видов экономической деятельности (с 2010 г.)” [29]. Сведения по легковым автомобилям были взяты из транспортной статистики Росстата (https://rosstat.gov.ru/statistics/transport) “Количество собственных легковых автомобилей на 1000 человек населения (с 2000 г.)” [29]. Пассажирские автобусы не были включены нами в общее число автомобилей, так как основная их доля сосредоточена на городских территориях, где ДТП с дикими животными происходят очень редко. Для каждого года число легковых автомобилей на 1000 человек было умножено на N/1000, где N – численность населения Свердловской области в соответствующий год [30]. В итоге было получено абсолютное число легковых автомобилей в Свердловской области за период 2012–2022 гг. Поскольку в качестве предикторов были взяты только сведения о состоянии автомобильных дорог и автотранспорта, из статистики ДТП были исключены сведения о происшествиях на железных дорогах.
Методы. В анализ были включены следующие показатели: Ni – общее число ДТП с участием диких копытных животных (лось, кабан, косуля) в год i; Nij – число ДТП с участием диких копытных (лось, кабан, косуля) в год i в месяц j; Pл, Pк – численность соответственно лося и косули до данным ЗМУ; Аi – число грузовых и легковых автомобилей в Свердловской области в год i; Di – протяженность дорог в Свердловской области в год i.
Кроме абсолютных, анализировали изменение относительных показателей: Ñл, Ñк – доля погибших в ДТП особей (доля числа участвовавших в ДТП особей соответственно лося, косули от численности этих видов, Ni /Pi); Аi /Di – число автомобилей, приходящихся на 1 км дороги (условная плотность) в конкретном году.
Под изменением интенсивности движения на дорогах Свердловской области за 11-летний период мы понимаем изменение по годам показателя Ai, а также Ai /Di.
Расчет скорости роста численности копытных и числа ДТП. Для приведения изменений во времени анализируемых показателей к сопоставимым и безразмерным значениям использовали одну из формул оценки скорости роста численности животных [31]:
, (1)
где N – натуральный логарифм численности (Pл, Pк), числа ДТП (Nл, Nк); t – порядковый номер года; n – число лет.
Статистический анализ выполнен в среде R (version 4.0.4) [32]. Влияние вида животного и месяца гибели на изменение числа ДТП было установлено с использованием дисперсионного анализа (пакет stats). Анализ тесноты связи числа происшествий с численностью животных, числом автомобилей и протяженностью дорог проводили с помощью корреляционного анализа (использовали коэффициент корреляции Пирсона). Зависимость доли пострадавших в ДТП животных от интенсивности движения (индексов Ai и Ai /Di) ‒ с помощью построения простых линейных моделей (пакет stats). Расчет коэффициентов конкордации Кендалла выполнен в пакете DescTools [33]. Построение “ящиков с усами” (boxplot) выполнено в пакете stats. На протяжении исследуемого периода все независимые переменные (численность животных, число автомобилей, плотность автодорог) менялись однонаправленно – в большую сторону, поэтому корреляция между ними была высокая и статистически значимая (r > 0.61, p < 0.05), что не позволило включать их в многофакторную регрессионную модель. В связи с этим были построены простые линейные модели. В качестве зависимой переменной была взята относительная доля пострадавших в ДТП животных Ñi, что позволило учесть эффект численности животных. Рассматривали две модели зависимости доли пострадавших в ДТП животных от разных предикторов:
(2)
где Ñi – число пострадавших в ДТП животных (косуля или лось) от общей их численности в области по годам учета, ос/ос; Ai – число зарегистрированных автомобилей в области по годам учета, шт;
(3)
где Ñi– число пострадавших в ДТП животных (косуля или лось) от общей их численности в области по годам учета, ос/ос; Ai /Di – число автомобилей на 1 км дороги или условная плотность автомобилей на дорогах области по годам учета, шт/км.
РЕЗУЛЬТАТЫ
Видовой состав и динамика столкновений по годам. В период с 2012 по 2022 г. на автомобильных дорогах Свердловской области было зафиксировано 1831 столкновение с дикими животными. За рассматриваемый период число ДТП увеличилось со 102 случаев в 2012 г. до 349 случаев в 2022 г., т. е. более чем в 3.4 раза (рис. 1). В относительном выражении доля таких инцидентов выросла с 1.9% до 13.1% общего числа ДТП с пострадавшими [24].
Рис. 1. Динамика общего числа ДТП с дикими животными в Свердловской области за период 2012‒2022 гг.
Зафиксированы столкновения (по убыванию числа случаев) с сибирской косулей (Capreolus pygargus), лосем (Alces alces), кабаном (Sus scrofa), медведем (Ursus arctos), лисицей (Vulpes vulpes), зайцем-беляком (Lepus timidus), тетеревом (Lyrurus tetrix) – 924, 767, 126, 7, 4, 2, 1 соответственно. Бóльшая часть ДТП приходится на инциденты с копытными млекопитающими. Из зарегистрированных за период 2012–2022 гг. столкновений с дикими животными 99% (1817 из 1831) составляют происшествия с копытными (лось, косуля, кабан), из них большинство (1691) – с косулей и лосем (рис. 2). Если для косули и лося число ДТП за рассматриваемый период существенно выросло (в 4.5 и 3.1 раза соответственно), то для кабана оно меняется слабо.
Рис. 2. Динамика ДТП с дикими копытными млекопитающими в Свердловской области: а – косуля; б – лось; в – кабан.
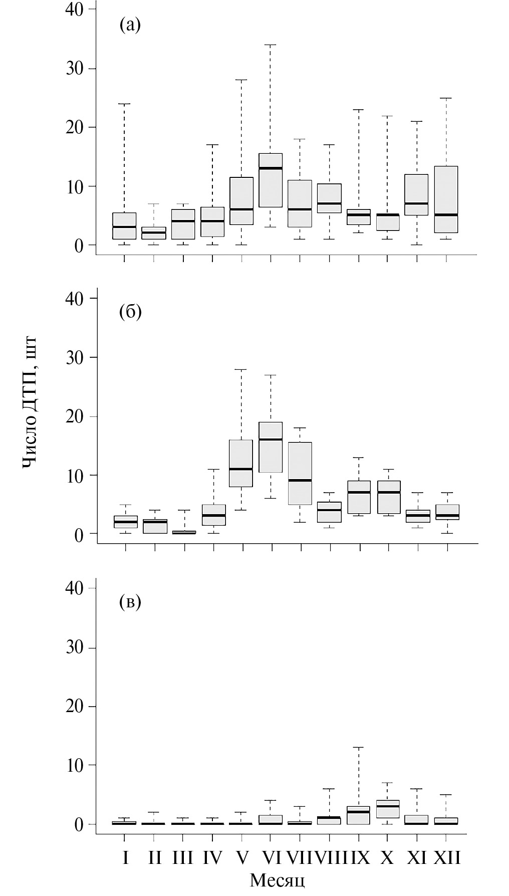
Динамика столкновений по сезонам. Число столкновений в течение года существенно различается как по месяцам, так и по видам копытных млекопитающих. Как правило, минимальное число происшествий наблюдается в феврале–марте, максимальное – в июне (рис. 3). Результаты двухфакторного дисперсионного анализа показывают статистически значимое влияние следующих факторов: месяц (F11;360 = 9.96; p < 0.001), вид копытного животного (F2;360 = 68.02; p < 0.001), а также их взаимодействия (F22;360 = 3.51; p < 0.001).
Рис. 3. Сезонная динамика абсолютного числа ДТП с копытными млекопитающими: а – косуля; б – лось; в – кабан. Линия, прямоугольник и усы обозначают медиану, межквартильный размах и диапазон значений (минимум – максимум) соответственно.
Сезонная динамика числа ДТП за ряд лет оказывается наиболее устойчивой для лося: минимальное число столкновений отмечено в марте, максимальное – в основном в июне (коэффициент конкордации Кендалла (Wt) равен 0.78). Для косули и кабана согласованность низкая: Wt = 0.35 и 0.28 соответственно, минимум происшествий регистрируется в первом квартале года, максимум – в июне (косуля) и сентябре–октябре (кабан). Во всех случаях согласованность статистически значима (p < 0.001). Максимум числа столкновений у косули и лося совпадает и приходится на июнь (16.1% и 21.6% случаев ДТП соответственно), а у кабана пик приходится на октябрь (более 25%), и он существенно выше, чем у лося и косули. В среднем за рассматриваемый период в ДТП попадает 0.20% косуль и 0.16% лосей от их общей численности, различия между видами статистически незначимы (F 1;20 = 1.4; p = 0.24).
Основное число происшествий приходится на косулю и лося (1691 случай или более 92%), в связи с чем именно эти два вида мы будем рассматривать в следующих разделах работы.
Влияние факторов (корреляционный и регрессионный анализы). Рост числа ДТП происходил как на фоне увеличения численности косули и лося, так и на фоне роста числа автомобилей и протяженности автомобильных дорог. Изменение этих показателей представлено на рис. 4 и 5.
Рис. 4. Изменение численности копытных млекопитающих (1 ‒ лось, 2 ‒ косуля) в Свердловской области в 2012‒2022 гг.
Рис. 5. Изменение числа автомобилей (1) и протяженности дорог (2) в Свердловской области в 2012‒2022 гг.
Коэффициенты корреляции рассматриваемых показателей с количеством инцидентов оказались очень высокими: корреляция числа ДТП с численностью животных статистически значима (p < 0.05) и равна 0.85 для косули и 0.95 для лося; корреляция числа столкновений с числом автомобилей статистически значима (p < 0.05) и составила 0.83 для косули и 0.97 для лося; корреляция числа ДТП с протяженностью дорог составила 0.41 для косули и 0.64 для лося – статистическая значимость в первом случае составила p = 0.21, во втором p = 0.035; корреляция числа ДТП с условной плотностью автомобилей (Ai /Di) оказалась равной 0.65 для косули и 0.56 для лося – статистическая значимость составила p = 0.03 в первом случае и p = 0.07 во втором.
Построенные регрессионные модели показывают статистически значимое положительное влияние числа автомобилей на долю пострадавших в ДТП животных. Коэффициенты детерминации доли пострадавших в ДТП животных с абсолютным числом автомобилей (модель 1) весьма высоки (рис. 6). Коэффициенты детерминации второй регрессионной модели (с условной плотностью автомобилей) существенно ниже (лось: R2 = 0.27; косуля: R2 = 0.36), причем уровень значимости (p) влияния условной плотности автомобилей на число ДТП с лосем несколько выше 0.05 (рис. 7).
Рис. 6. Зависимость числа пострадавших в ДТП животных (в % от общей численности) от числа автомобилей (Ai): а – косуля (y = ‒5.22e-1 + 4.47e-7*x, R2 = 0.55, p < 0.001); б – лось (y = ‒2.19e-1 + 2.32e-7*x, R2 = 0.86, p < 0.001). Показаны исходные значения, линия регрессии и 95%-ный доверительный интервал.
Рис. 7. Зависимость числа пострадавших в ДТП животных (в % от общей численности) от числа автомобилей, приходящихся на 1 км дороги (Ai /Di): a ‒ косуля (y = ‒6.37e-1+1.57e-2*x, R2 = 0.36, p = 0.03); б ‒ лось (y = ‒1.66e-1+6.03e-3*x, R2 = 0.27, p = 0.058). Показаны исходные значения, линия регрессии и 95%-ный доверительный интервал.
Влияние факторов (анализ скоростей роста). Несколько иной подход, основанный на оценках скоростей роста показателей (r), приведен в табл. 1. Рост численности обоих видов происходит приблизительно с одной скоростью, но у косули она оказалась незначительно выше.
Таблица 1. Скорости роста численности, числа ДТП с лосем и косулей и условной плотности автомобилей
Показатели, r | Лось | Косуля |
Скорость роста численности, Pi | 0.045 | 0.055 |
Скорость роста числа ДТП, Ni | 0.135 | 0.178 |
Скорость роста условной плотности автомобилей, Ai /Di | 0.013 | 0.013 |
Скорость роста числа столкновений у лося превышает скорость роста его численности в 3.0 раза, а у косули – в 3.2 раза. Сопоставляя скорости роста численности (Pi) и числа инцидентов (Ni), мы можем предполагать, что обусловленный ростом численности вида рост числа инцидентов составляет около 31–33% общего числа случаев ДТП. Скорость роста условной плотности автомобилей (Ai /Di), рассчитанная по той же формуле (1), оказалась равной 0.013 (см. табл. 1). В относительном выражении доля этого фактора в скорости роста ДТП с косулей можно оценить как 7%, с лосем – 10%.
ОБСУЖДЕНИЕ
Число столкновений с дикими животными в Свердловской области за последние 11 лет выросло в 3.4 раза. Этот показатель в целом соответствует ранее представленным в литературе сведениям для других регионов. В Норвегии число ДТП с копытными млекопитающими выросло за период с 1987 по 1993 гг. (8 лет) в 2.3 раза, а за последние 30–40 лет число лосей, погибших при столкновении с поездами и автомобилями, увеличилось в 10 раз [34]. В Швеции за период с 1970 по 1980 гг. количество столкновений с лосями увеличилось примерно в 6.6 раза (с 902 инцидентов до 5951) [35]. В другом исследовании показано [34], что в 1989–1993 гг. в этой стране число ДТП с косулей выросло с 15 000 до 50 000 инцидентов (т. е. в 3.3 раза), тогда как количество аварий с лосем оставалось на уровне 4000–5000 случаев.
Схожие темпы роста числа ДТП с кабаном и косулей (соответственно 3-кратный и 2.4-кратный рост за 10-летний период) приводят также T. Cserkecz и J. Farkas [36] для Венгрии. При этом многие авторы [7, 34, 36] упоминают о том, что увеличение числа происшествий с дикими животными было выше интенсивности роста их численности. Так, ежегодное количество инцидентов в Финляндии увеличивалось с ростом численности лосей и интенсивности трафика, а удвоение численности приводило к почти трехкратному увеличению числа ДТП [7]. В нашем случае численность лося за 11-летний период выросла в 1.6 раза, а число столкновений – в 3.1 раза, т. е. почти двукратно относительно прироста численности. С другой стороны, в Швеции (период с 1970 по 1999 гг.) темп увеличения числа столкновений совпадал с темпом роста численности как лося, так и косули [35]. В Свердловской области популяция косули за тот же период выросла в 1.6 раза, а число инцидентов на дорогах – в 4.5 раза, т. е. почти трехкратно относительно прироста численности.
Интересно было также сравнить скорости роста процессов увеличения численности животных и числа ДТП. В нашем случае скорость роста числа аварий превышала скорость роста численности в 3 раза у лося и в 3.2 раза у косули. На основе отношения скоростей роста вклад увеличения численности в рост числа ДТП можно ориентировочно оценить для лося в 33%, а для косули – в 31%. Влияние скорости увеличения плотности автомобилей на дорогах на динамику числа аварий, оцененное аналогичным образом, существенно меньше. Это позволяет предполагать, что на рассматриваемом промежутке времени увеличение числа ДТП было обусловлено в большей степени биологическими, а не антропогенными факторами. Отметим, что на фоне очень высоких корреляций между численностью животных и количеством инцидентов на дорогах вклады факторов, оцененные на основе скоростей роста, представляются невысокими. Это свидетельствует о большом числе других случайных и неслучайных факторов, действующих на локальном уровне в определении вероятности ДТП. К таким факторам можно отнести состояние дороги на конкретном участке, погодные условия, техническое состояние транспортного средства, поведение водителя. Влияние такого рода факторов не имеет существенного значения для анализа ситуации в выбранном нами пространственном региональном масштабе. Сделать точный вывод о вкладе изменения численности животных и трафика в увеличение числа аварий представляется невозможным, так как скорости роста исследованных индексов могут существенно варьировать на разных временны́х промежутках, однако обращает на себя внимание то, что в целом наши оценки совпадают с тенденциями, описанными в литературе [7].
Отметим, что пандемия COVID-19 не привела к снижению числа ДТП с дикими животными в Свердловской области, наоборот, число происшествий резко возросло именно в 2020–2022 гг. Это существенно отличается от картины, наблюдавшейся в США, Европе, Южной Корее и Австралии, где в период пандемии число случаев ДТП с дикими животными снизилось на 19–79% [37].
Соотношение видов среди жертв ДТП резко сдвинуто в сторону крупных млекопитающих – лося, косули, кабана, медведя. Полагаем, что в нашем случае факт преимущественного столкновения с крупными животными – это смещенная оценка, так как данные других исследователей [38, 39], как и собственные наблюдения авторов, говорят о том, что число сбитых лисиц может быть сопоставимо, например, с таковым для косули. По данным [40], индексы числа ДТП для многих представителей хищных, грызунов и зайцеобразных на юго-западе штата Вирджиния (США) были выше, чем для белохвостого оленя.
Сезонная динамика числа инцидентов с оленьими в Свердловской области в основном совпадает с результатами других исследователей. Максимальное число случаев фиксируется в мае–июне и минимальное – в январе–феврале [9, 12, 39, 41–43]. Подобная тенденция характерна также для хищных зверей [44] и некоторых птиц [40]. В то же время многие авторы (см. обзор [12]) отмечают, что наблюдается также осенний пик числа ДТП, который, впрочем, менее выражен по сравнению с весенне-летним.
В странах Фенноскандии (Финляндия, Швеция, Норвегия) максимум числа столкновений с лосями приходится на осенне-зимний период с небольшими различиями между странами [7]. W. Neumann et al. [45] изучали время пересечения дорог лосями и количество ДТП на севере Швеции и предположили, что осенне-зимний пик более вероятен из-за плохого освещения и дорожных условий, чем из-за увеличения перемещений лосей по дороге. Ограниченная видимость влияет на способность водителя обнаруживать копытных, переходящих дорогу [46], а расстояние обнаружения лосей в темное время суток может составлять в среднем всего около 100 м [47].
Нами осенний пик не был выявлен ни для лося, ни для косули. Исключением является кабан, для которого максимальный индекс числа ДТП наблюдается осенью. Такой же осенний пик числа столкновений с дикими свиньями показан для Италии [43], Чехии [9], Хорватии [48] и штата Джорджия в США [49].
Наличие второго (осеннего) пика числа происшествий с оленьими отмечено и в ряде регионов России [18, 21, 50], в том числе и в Свердловской области [23]. По нашим данным оказалось, что осенью и зимой число аварий снижается по сравнению с летними месяцами, несмотря на гон у копытных и сезонные миграции у лося. Это позволяет предполагать, что весенне-летний пик числа ДТП обусловлен не только повышением активности копытных, но и ростом транспортного потока в связи с увеличением светового дня и другими факторами. Еще одной причиной высокой активности животных в мае–июне могут быть весенние лесные пожары. В свою очередь малое число столкновений в январе–марте происходит в результате сезонного снижения как подвижности диких копытных, так и интенсивности транспортного потока.
ЗАКЛЮЧЕНИЕ
Выявленный нами рост числа ДТП с дикими копытными животными, скорость которого выше, чем скорости роста численности этих видов и числа автомобилей, свидетельствует о нарастании проблемы между интересами охотничьего хозяйства и развивающейся транспортной отрасли. Незначительный еще 10 лет назад конфликт в настоящее время приобретает существенные масштабы в Свердловской области – число столкновений с дикими животными в 2022 г. составило не менее 10% общего числа зарегистрированных ДТП с пострадавшими людьми. Ущерб популяциям животных относительно невелик – доли процента оцениваемой численности животных попадают в инциденты на дорогах. Ущерб для человека может быть выше – угроза здоровью и жизни участников дорожного движения, экономические затраты, связанные со страховыми выплатами, ремонтом транспортных средств и т. д.
Проблема дорожно-транспортных происшествий является частью проблемы сосуществования человека и биосферы, решение которой возможно только путем отыскания компромисса между техногенезом и сохранением основных свойств биосферы. Конкретное решение по поиску определенного баланса между числом столкновений с дикими животными и развитием дорожной сети заключается в снижении количества таких происшествий. Из-за незначительной остроты проблемы ДТП в Свердловской области (в сравнении с Европой) возможные первоначальные пути решения будут заключаться в изучении направлений миграций и сезонных кочевок, строительстве экодуков и подземных переходов в местах пересечения животными транспортных магистралей. Исследования показали, что экодуки и подземные переходы с ограждением уменьшают число ДТП с дикими животными [51] и позволяют крупным видам копытных [52–55] и более мелким животным [55, 56] безопасно переходить дорогу. Использование таких мер, как дорожные указатели, все еще являются относительно экспериментальными, и их эффективность сомнительна [6, 57–59].
Считаем, что нам удалось показать не только связь, но и масштаб влияния исследованных факторов. Увеличение числа инцидентов с лосем и косулей в основном происходит в результате роста численности этих видов и в значительно меньшей степени – за счет увеличения плотности автомобилей на дорогах. При этом, несмотря на высокие корреляции между проанализированными параметрами и переменными, вклады как биологического, так и антропогенного факторов, основанные на оценках скоростей роста, оказались относительно небольшими.
Понимание причин ДТП с животными – обязательное условие для разработки мер их предотвращения. В будущем представляется оправданным продолжение накопления всесторонних данных о происходящих ДТП и глубокий анализ взаимодействий в системе “автотранспорт – дикие животные” с учетом динамики социально-экономических факторов и разнообразных форм поведения животных.
Финансирование и благодарности
Исследование выполнено в рамках государственного задания № 122021000084-4. Авторы выражают искреннюю признательность сотрудникам и инспекторам Департамента по охране, контролю и регулированию использования животного мира Свердловской области за формирование базы данных по ДТП с дикими животными. Благодарим анонимных рецензентов за труд по рецензированию рукописи и советы по ее улучшению.
Конфликт интересов
Авторы подтверждают отсутствие конфликта интересов.
Соблюдение этических стандартов
Настоящая статья не содержит исследований с участием людей или живых животных в качестве экспериментальных объектов.
About the authors
N. S. Korytin
Institute of Plant and Animal Ecology, Ural Branch, Russian Academy of Sciences
Author for correspondence.
Email: nsk@ipae.uran.ru
Russian Federation, Ekaterinburg
N. I. Markov
Institute of Plant and Animal Ecology, Ural Branch, Russian Academy of Sciences
Email: nsk@ipae.uran.ru
Russian Federation, Ekaterinburg
A. K. Kuznetsov
Department for the Protection, Control and Regulation of the Use of Wildlife of the Sverdlovsk Region
Email: nsk@ipae.uran.ru
Russian Federation, Ekaterinburg
I. Ye. Bergman
Institute of Plant and Animal Ecology, Ural Branch, Russian Academy of Sciences
Email: nsk@ipae.uran.ru
Russian Federation, Ekaterinburg
References
- Наумов Н.П. Экология животных. М.: Высшая школа, 1963. 618 с.
- Алтухов Ю.П., Салменкова Е.А., Курбатова О.Л. и др. Динамика популяционных генофондов при антропогенных воздействиях / Под ред. Алтухова Ю.П. М.: Наука, 2004. 619 с. http://www.mce.biophys.msu.ru/eng/books/publisher32000/book38256/
- Хански И. Ускользающий мир: Экологические последствия утраты местообитаний. М.: Тов-во научн. изд. КМК, 2010. 340 с.
- Cardinale B.J., Duffy J.E., Gonzalez A. et al. Biodiversity loss and its impact // Nature. 2012. V. 486. P. 59–67. https://doi.org/10.1038/nature11148
- Gunson K.E., Mountrakis G., Quackenbush L.J. Spatial wildlife-vehicle collision models: A review of current work and its application to transportation mitigation projects // J. Environ. Manag. 2011. V. 92. № 4. P. 1074–1082. https://doi.org/10.1016/j.jenvman.2010.11.027
- Jägerbrand A.K., Antonson H. Driving behaviour responses to a moose encounter, automatic speedcamera, wildlife warning sign and radio message determinedin a factorial simulator study // Accid. Anal. Preven. 2016. V. 86. P. 229–238. https://doi.org/10.1016/j.aap.2015.11.004
- Niemi M., Rolandsen C.M, Neumann W. et al. Temporal patterns of moose-vehicle collisions with and without personal injuries // Accid. Anal. Preven. 2017. V. 98. P. 167–173. https://doi.org/10.1016/j.aap.2016.09.024
- Santos R.A., Mota-Ferreira M., Aguiar L.M. et al. Predicting wildlife road-crossing probability from roadkill data using occupancy-detection models // Sci. Total Environ. 2018. V. 642. P. 629–637. https://doi.org/10.1016/j.scitotenv.2018.06.107
- Bartonička T., Andrášik R., Dul’a M. et al. Identification of local factors causing clustering of animal-vehicle collisions // J. Wildl. Manag. 2018. V. 82. № 5. P. 940–947. https://doi.org/10.1002/jwmg.21467
- Bíl M., Andrášik R., Duľa M., Sedoník J. On reliable identification of factors influencing wildlife-vehicle collisions along roads // J. Environ. Manag. 2019. V. 237. P. 297–304. https://doi.org/10.1016/j.jenvman.2019.02.076
- Bíl M., Kubeček J., Andrášik R. Ungulate-vehicle collision risk and traffic volume on roads // Eur. J. Wildl. Res. 2020. V. 66. № 59. P. 1‒10. https://doi.org/10.1007/s10344-020-01397-8
- Pagany R. Wildlife-vehicle collisions ‒ Influencing factors, data collection and research methods // Biol. Conserv. 2020. V. 251. P. 1‒26. https://doi.org/10.1016/j.biocon.2020.108758
- Fernández-López J., Blanco-Aguiar J.A., Vicente J. et al. Can we model distribution of population abundance from wildlife-vehicles collision data? // Ecography. 2022. V. 2022. № 5. P. 1‒11. https://doi.org/10.1111/ecog.06113
- Gurumurthy K.M., Bansal P., Kockelman K.M. et al. Modelling animal-vehicle collision counts across large networks using a bayesian hierarchical model with time-varying parameters // Anal. Methods Accid. Res. 2022. V. 36. P. 1–19. https://doi.org/10.1016/j.amar.2022.100231
- Krukowicz T., Firlag K., Chrobot P. Spatiotemporal analysis of road crashes with animals in Poland // Sustainability. 2022. V. 14. № 3. P. 1–31. https://doi.org/10.3390/su14031253
- Perez-Guerra J., Gonzalez-Velez J., Murillo-Escobar J. et al. Prediction of areas with high risk of roadkill wildlife applying maximum entropy approach and environmental features: East Antioquia, Colombia // Landscape and Ecological Engineering. 2024. V. 20. P. 75–88. https://doi.org/10.1007/s11355-023-00581-7
- Laube P., Ratnaweera N., Wróbel A. et al. Analysing and predicting wildlife-vehicle collision hotspots for the Swiss Road Network // Landscape Ecology. 2023. V. 38. P. 1765–1783. https://doi.org/10.1007/s10980-023-01655-5
- Ирхина Е.С. Совершенствование системы природоохранных мероприятий на путях миграции лосей (на примере Ленинградской области): Вып. квалификац. работа магистра. СПб: СПбГУ, 2017. 50 с. https://core.ac.uk/download/pdf/217180794.pdf
- Селезнева А.В., Карев С.В. Решение проблемы дорожно-транспортных происшествий с участием диких животных // Научное обозрение. Педагогические науки. 2019. № 2‒3. С. 78‒82. https://www.elibrary.ru/item.asp?id=38214494
- Бобышев М.В., Чураев А.Ю., Спасик С.Е. Анализ причин дорожно-транспортных происшествий с участием лосей на территории Рузского района Московской области в 2015‒2020 гг. // Вестник РГАЗУ. 2020. № 34 (39). С. 20–27. https://www.elibrary.ru/item.asp?id=44244158
- Просеков А.Ю. Анализ дорожно-транспортных происшествий с участием косули и лося в Кузбассе // Охрана и рациональное использование животных и растительных ресурсов: Мат-лы междун. научно-практич. конф., приуроченной к 120-летию со дня рождения проф. В.Н. Скалона, в рамках ХII междун. научно-практич. конференции “Климат, экология, сельское хозяйство Евразии”. Ч. I. Молодежный, 2023. С. 195‒200. https://www.elibrary.ru/item.asp?id=54065075
- Селезнева А.В., Григорьева Т.Ю. Оценка эффективности мероприятий по снижению количества ДТП с участием диких животных // European J. of Natural History. 2020. № 2. P. 90–95. https://www.elibrary.ru/item.asp?id=42564365
- Конева О.В., Демидов Д.В. Состояние аварийности, связанной с наездом автотранспортных средств на диких животных по территории Свердловской области // Научное творчество молодежи – лесному комплексу России: Мат-лы XIX Всероссийской (национальной) научно-технич. конф. студентов и аспирантов. Ответственный за выпуск Малютина Л. В. Екатеринбург, 2023. С. 732–736.
- Ермолова М.В., Трошина Е.И. Количество дорожно-транспортных происшествий с пострадавшими по субъектам Российской Федерации (Электронный ресурс). https://rosstat.gov.ru/storage/mediabank/postrad.xls (дата обращения 30.08.2023).
- Neumann W., Ericsson G., Dettki H. et al. Difference in spatiotemporal patterns of wildlife road-crossings and wildlife-vehicle collisions // Biol. Conserv. 2012. V. 145. № 1. P. 70‒78. https://doi.org/10.1016/j.biocon.2011.10.011
- Млекопитающие Свердловской области: Cправочник-определитель / В.Н. Большаков и др. Екатеринбург: Екатеринбург, 2000. 240 с.
- Волкова И.Н. Проблемы и перспективы территориальной организации и территориального планирования региональной транспортной системы (на примере Свердловской области) // Вестник Удмуртского ун-та. Сер.: Биология и науки о Земле. 2022. Т. 32. Вып. 2. С. 192‒203.
- Трошина Е.И. Протяженность и характеристики автомобильных дорог общего пользования по субъектам Российской Федерации. https://rosstat.gov.ru›storage/mediabank/prot_avto_dor (дата обращения 30.08.2023).
- Ермолова М.В., Жукова А.В. Наличие транспортных средств по Российской Федерации. https://rosstat.gov.ru/statistics/transport (дата обращения 30.08.2023).
- Витрина статистических данных: численность постоянного населения в среднем за год (Электронный ресурс). https://showdata.gks.ru/report/278930/
- Коли Г. Анализ популяций позвоночных. М.: Мир, 1979. 362 с.
- R Core Team. R: a language and environment for statistical computing. https://www.R-project.org/. (дата обращения 01.09.2023).
- Signorell A., Aho K., Alfons A. et al. DescTools: Tools for descriptive statistics. R package version 0.99.23. https://andrisignorell.github.io/DescTools/ (дата обращения 01.09.2023).
- Bruinderink Groot G.W.T.A., Hazebroek E. Ungulate traffic collisions in Europe // Conservation Biology. 1996. V. 10. № 4. P. 1059–1067. https://doi.org/10.1046/j.1523-1739.1996.10041059.x
- Seiler A. Trends and spatial patterns in ungulate-vehicle collisions in Sweden // Wildl. Biol. 2004. V. 10. № 4. P. 301‒313. https://doi.org/10.2981/wlb.2004.036
- Cserkecz T., Farkas J. Annual trends in the number of wildlife-vehicle collisions on the main linear transport corridors (highway and railway) of Hungary // North-West. J. Zool. 2015. V.11. № 1. P. 41–50. https://biozoojournals.ro/nwjz/content/v11n1/nwjz_141707_Cserkesz.pdf
- Raymond S., Spencer M., Chadwick E.A. et al. The impact of the COVID-19 lockdowns on wildlife-vehicle collisions in the UK // J. Anim. Ecol. 2023. V. 92. P. 1244–1255. https://doi.org/10.1111/1365-2656.13913
- Grilo C., Koroleva E., Andrášik R. et al. Roadkill risk and population vulnerability in European birds and mammals // Front. Ecol. Environ. 2020. V. 18. № 6. P. 323–328. https://doi.org/10.1002/fee.2216
- Raymond S., Schwartz A.L.W., Thomas R.J. et al. Temporal patterns of wildlife roadkill in the UK // PLoS ONE. 2021. V. 16. № 10. Art. e0258083. https://doi.org/10.1371/journal.pone.0258083
- Vance J.A., Smith W.H., Smith G.L. Species composition and temporal patterns of wildlife-vehicle collisions in southwest Virginia, USA // Human-Wildlife Interactions. 2018. V. 12. № 3. https://doi.org/10.26077/6a2c-cj16
- Lavsund S., Sandegren F. Moose-vehicle relations in Sweden: a review // Alces: A Journal Devoted to the Biology and Management of Moose. 1991. V. 27. P. 118‒126. https://www.alcesjournal.org/index.php/alces/article/view/1109
- Madsen A.B., Strandgaard H., Prang A. Factors causing traffic killings of roe deer Capreolus capreolus in Denmark // Wildl. Biol. 2002. V. 8. № 1. P. 55–61.https://doi.org/10.2981/wlb.2002.008
- Putzu N., Bonetto D., Civallero V. et al. Temporal patterns of ungulate-vehicle collisions in a subalpine Italian region // Ital. J. Zool. 2014. V. 81. № 3. P. 463–470.https://doi.org/10.1080/11250003.2014.945974
- Grilo C., Bissonette J.A., Santos-Reis M. Spatial-temporal patterns in Mediterranean carnivore road casualties: Consequences for mitigation // Biol. Conser. 2009. V. 142. № 2. P. 301‒313. https://doi.org/10.1016/j.biocon.2008.10.026
- Neumann W., Ericsson G., Dettki H. et al. Difference in spatiotemporal patterns of wildlife road-crossings and wildlife-vehicle collisions // Biol. Conserv. 2012. V. 145. № 1. P. 70‒78. https://doi.org/10.1016/j.biocon.2011.10.011
- Mastro L.L., Conover M.R., Frey S.N. Factors influencing a motorist’s ability to detect deer at night // Landsc. Urban Plann. 2010. V. 94. № 3‒4. P. 250‒254. https://doi.org/10.1016/j.landurbplan.2009.10.010
- Rodgers A.R., Robins P.J. Moose detection distances on highways at night // Alces: A Journal Devoted to the Biology and Management of Moose. 2006. V. 42. P. 75‒87. https://alcesjournal.org/index.php/alces/article/view/389
- Vrkljan J., Hozjan D., Barić D. et al. Temporal patterns of vehicle collisions with roe deer and wild boar in the Dinaric Area // Croat. J. For. Eng. 2020. V. 41. № 2. P. 347–358. https://hrcak.srce.hr/240283
- Psiropoulos J.L., Howe E., Mayer J.J. et. al. Characterization of recent wild pig-vehicle collisions in Georgia, USA // Mamm. Res. 2024. V. 69. P. 131–144. https://doi.org/10.1007/s13364-023-00724-z
- Печатнова Е.В., Подрезова А.Ю. Выявление основных особенностей аварийности, связанной с наездами на животных // Вестник КемРИПК. 2019. № 1. С. 103–107. https://www.elibrary.ru/download/elibrary_39158302 _44134194.pdf
- Shepherd B.J., Houck J., Lyon C. On the road again: A study valuing wildlife crossings for wetland mitigation on State Road 40 in Volusia County, Florida // Ecosphere. 2023. V. 14. № 6. Art. e4566. https://doi.org/10.1002/ecs2.4566
- Clevenger A.P., Waltho N. Factors influencing the effectiveness of wildlifeunderpasses in Banff National Park, Alberta, Canada // Conserv. Biol. 2000. V. 14. № 1. P. 47‒56. https://doi.org/10.1046/j.1523-1739.2000.00099-085.x
- Foster M.L., Humphrey S.R. Use of highway underpasses by Florida panthers and other wildlife // Wildl. Soc. Bull. 1995. V. 23. № 1. P. 95‒100. https://www.jstor.org/stable/3783202
- Dodd N.L., Gagnon J.W., Manzo A.L. et. al. Video surveillance to assess highway underpass use by elk in Arizona // J. Wildl. Manag. 2007. V. 71. № 2. P. 637‒645. https://doi.org/10.2193/2006-340
- Mata C., Hervas I., Herranz J. et al. Are motorway wildlife passages worth building? Vertebrate use of road-crossing structures on a Spanish motorway // J. Environ. Manag. 2008. V. 88. № 3. P. 407‒415. https://doi.org/10.1016/j.jenvman.2007.03.014
- Dodd C.K., Barichivich W.J., Smith L.L. Effectiveness of a barrier wall and culverts in reducing wildlife mortality on a heavily traveled highway in Florida // Biol Conserv. 2004. V. 118. № 5. P. 619‒631. https://doi.org/10.1016/j.biocon.2003.10.011
- Romin L.A., Bissonette J.A. Deer-vehicle collisions: status of state monitoring activities and mitigation efforts // Wildl. Soc. Bull. 1996. V. 24. № 2. P. 276‒283. https://www.jstor.org/stable/3783118
- D’Angelo G.J., D’Angelo J.G., Gallagher G.R. et al. Evaluation of wildlife warning reflectors for altering white-tailed deerbehavior along roadways // Wildl. Soc. Bull. 2006. V. 34. № 4. P. 1175‒1183. https://doi.org/10.2193/0091-7648(2006)34[1175:EOWWRF]2.0.CO;2
- Huijser M.P., McGowen P., Fuller J. et al. Wildlife-vehicle Collision Reduction Study. Report to U.S.Congress. U.S. Department of Transportation. Federal Highway Administration. 2007. Washington, D.C. p. 232. https://wafwa.org/wp-content/uploads/2021/04/2007-Report-to-Congress.pdf
Supplementary files









