Current distribution and ecological-phytocoenotic characteristic of the invasive species imratiens glаndulifеrа rоulе in the southern urals
- Authors: Abramova L.M.1, Golovanov Y.M.1
-
Affiliations:
- South-Ural Botanical Garden-Institute – Sub-division of the Ufa Federal Research Centre of the Russian Academy of Sciences
- Issue: No 6 (2024)
- Pages: 409-417
- Section: Articles
- URL: https://ogarev-online.ru/0367-0597/article/view/272912
- DOI: https://doi.org/10.31857/S0367059724060019
- EDN: https://elibrary.ru/VYYEII
- ID: 272912
Cite item
Full Text
Abstract
Abstract – The distribution of the invasive species Impatiens glandulifera in the Southern Urals (Republic of Bashkortostan) is considered. The species is wild from ornamental culture and actively naturalizes in shady coastal and anthropogenic ecotopes, mainly in forest-steppe and nemoral-forest zones of the Urals. Sixty-two localities of the species in 28 districts of the republic have been identified. Cenoses with its dominance have been described within the Epilobietea angustifolii class, association Calystegio sepium–Impatientetum glanduliferae, two subassociations C. s.–I. g. menthetosum longifolii and C. s.–I. g. arctietosum tomentosi and five variants. Using ecological scales, ecological preferences and leading factors influencing the differentiation of communities with the participation of species were determined: mechanical composition, structure, soil richness, moisture, and climate continentality.
Full Text
Изучение инвазий чужеродных видов растений, формирование вторичных ареалов и экологический вред, наносимый их вторжением, – актуальнейшая проблема современной экологии [1–3]. На территории Российской Федерации инвазионные процессы наиболее активно развиваются в европейской части страны, где проживает 78% населения и сосредоточены основные транспортные пути [4]. Южный Урал, расположенный на границе Европы и Азии, относится к регионам с высоким уровнем нарушенности природных экосистем и наличием транспортных коридоров, по которым происходит занос чужеродных видов. Другим вектором инвазий в современный период является широкое привлечение разнообразных декоративных растений в практику озеленения населенных пунктов. При этом достаточно благоприятные и разнообразные экологические условия поселений позволяют многим чужеродным видам натурализоваться в антропогенных или нативных сообществах [5]. Исследования показывают, что процессы инвазий в Южно-Уральском регионе активизировались в XXI в. [6–8], что определяет актуальность их изучения.
Одним из новых чужеродных видов, расширяющих ареал в Республике Башкортостан, составляющей основную часть территории Южного Урала, является Impatiens glandulifera Royle (Balsaminaceae). Вид включен в Черные книги Средней России [9], Сибири [10], топ-100 инвазионных растений России [11] и Европы [12].
Impatiens glаndulifеrа – инвазионный однолетник, родина которого – западные Гималаи. В естественном ареале произрастает на высотах от 1800 до 4000 м над ур.м. Широко известен как агрессивный чужеродный вид в умеренных областях Европы, Азии, Северной Америке и Новой Зеландии [13–15]. К настоящему времени I. glandulifera зарегистрирован в 35 европейских странах, из которых в 25 – как натурализовавшийся вид [16]. Во вторичном ареале вид вселяется в основном в прибрежные влажные местообитания, где представляет опасность для биоразнообразия, обнаруживается также в теневых лесах, реже в рудеральных экотопах [17].
Изучение распространения, особенностей биологии сообществ с участием вида проводили многие исследователи в разных регионах мира [18–22]. Определено, что I. glandulifera встречается в большом диапазоне высот и географических широт, а также в разнообразных типах сообществ. При этом воздействие на естественные растительные сообщества разные авторы оценивают неоднозначно: одни отмечают его сильное негативное влияние на естественную растительность [22, 23], другие – слабое воздействие на биоразнообразие местообитаний [13], связанное с благоприятными условиями окружающей среды и разделением экологических ниш между инвайдером и местными доминантами.
Экспансия I. glandulifera в России началась в 70-х гг. XX в. На данный момент вид широко распространен во всех областях Средней России [19], на Южном Урале отнесен к наиболее агрессивным инвазионным видам, расселяющимся по естественным местообитаниям [24]. Российские ученые также проводят исследования различных аспектов биологии I. glandulifera [25–28], в том числе антэкологии, семенной продуктивности, микроэволюционных процессов в инвазионных популяциях.
В регионе Южного Урала I. glandulifera начал расселение позднее, чем в Средней России. Одичавшие единичные растения находили в 1980-е гг. в г. Уфе в оврагах и вдоль небольших речек. Позднее он появился и в других населенных пунктах Республики Башкортостан. Активизация экспансии “гималайского бальзама” стала наблюдаться лишь в начале XXI в. В настоящее время вид активно натурализуется в естественных и антропогенных экотопах северных, северо-восточных и центральных районов республики: в бореально-лесной, широколиственно-лесной и лесостепной зонах, редко встречается в степной зоне [29]. Включен в «Черную книгу флоры Республики Башкортостан» [30], инвазионный статус – 2.
Цель данной работы – изучение современного распространения, типов сообществ и экологических характеристик I. glandulifera в экосистемах Южного Урала в пределах Республики Башкортостан.
МАТЕРИАЛ И МЕТОДЫ
Область исследований – Южный Урал – по природным условиям можно разделить на западную Предуральскую часть, горно-лесную зону и восточную Зауральскую часть. Исследования были проведены в пределах трех регионов Республики Башкортостан: северной, северо-восточной и центральной частей Предуралья, которые значительно различаются по природно-климатическим характеристикам. Для Южного Урала характерен континентальный климат с резко выраженной разницей зимних и летних температур. Для северной, северо-восточной и центральной частей региона Предуралья характерен умеренно холодный влажный климат, для южной части – полузасушливый. Основные физико-географические параметры исследуемых зон приведены в табл. 1.
Таблица 1. Физико-географическая характеристика районов исследования
Регион | Среднемного-летние осадки, мм | Коэф-фициент увлажнения | Среднемного- летняя температура, °С | Гидротер-мический коэффициент | Природная зона |
Северное и Северо-восточное Предуралье | 500–550 | 0.5–0.6 | 2.0–2.5 | 1.00–1.15 | Бореально-лесная, неморально-лесная |
Южное Предуралье | 400–500 | 0.4–0.6 | 2.5–3.0 | 0.85–1.00 | Лесостепная, степная |
Исследования выполнены в 2018–2021 гг. в период массового цветения I. glandulifera. Поиск локалитетов проводился маршрутным методом в подходящих для произрастания вида местообитаниях в населенных пунктах разного размера. В выявленных локалитетах было выполнено 53 геоботанических описания сообществ с участием I. glandulifera в различных типах местообитаний (берега водоемов, низины, рудеральные местообитания). Размер пробной площади варьировал от 5 до 25 м2, площадка могла быть квадратной или ленточной формы (если сообщество располагалось по берегу водоема), размер ее зависел от однородности и величины сообщества. Классификация сообществ проведена методом Браун-Бланке [31].
Экологические режимы сообществ определены с помощью средневзвешенных значений по оптимумным экологическим шкалам Э. Ландольта [34] с использованием программного обеспечения IBIS [35]. Для выявления закономерностей экологической дифференциации сообществ с участием исследуемого инвазионного вида и их основных видов применен метод Detrended correspondence analysis (DCA-ординация) с использованием пакета программ CANOCO 4.5 [36]. Диапазоны значений экологических факторов рассчитаны в пакете PAST 2.17 и визуализированы с помощью инструмента Boxplot [37].
РЕЗУЛЬТАТЫ ИССЛЕДОВАНИЙ
На настоящий момент на территории Южного Урала в пределах Республики Башкортостан I. glandulifera встречен в 62 локалитетах (рис. 1). Наибольшие площади инвазии характерны для крупных сельских населенных пунктов и городов неморально-лесной и лесостепной природных зон республики. В степной и горно-лесной зонах вид практически не встречается: в первом случае ввиду засушливого климата, во втором, на наш взгляд, – из-за отсутствия постоянных источников заноса. Вид произрастает главным образом по берегам небольших ручьев и рек в населенных пунктах, образуя довольно большие по площади заросли. Также встречается на свалках и в других рудеральных местообитаниях при относительно благоприятном уровне увлажнения. Большие площади инвазии I. glandulifera отмечаются в пределах особо охраняемой территории – геопарка “Янгантау” на северо-востоке республики, где вид обнаружен в лесном овраге.
Рис. 1. Распространение I. glаndulifеrа в Республике Башкортостан.
Основной путь расселения – “бегство” из мест культивирования (садов, приусадебных участков, частных домов). Нередко расселение вида начинается с мест, где выбрасываются садовые отходы, особенно если они находятся вблизи ручьев и рек. Распространение семян происходит гидро-, антропо- и автохорно. Экспансия вида в речных системах обусловлена способностью семян к распространению по водным путям, поскольку они могут переноситься плавно текущей водой (в осадке), и сухими плавучими семенами. Растения или их фрагменты также переносятся с почвой или потоками воды, а благодаря способности к укоренению в узлах легко приживаются во влажной среде. Эвтрофные и влажные прибрежные местообитания оптимальны для натурализации I. glandulifera, но вид способен расти и в относительно сухих местообитаниях, поскольку образует густой полог, препятствующий иссушению почвы.
Синтаксономический анализ, проведенный на основе 53 геоботанических описаний ценозов, показал, что выявленные сообщества относятся к двум синтаксонам класса Epilobietea angustifolii – ассоциации Calystegio sepium–Impatientetum glanduliferae и ее двум субассоциациям C. s. – I. g. menthetosum longifolii и C. s. – I. g. arctietosum tomentosi. В рамках этих синтаконов выделены соответствующие варианты, отражающие экологические условия и степень нарушенности в конкретных местообитаниях. Синтаксономическая схема сообществ с доминированием I. glandulifera и их описание представлены ниже.
Класс Epilobietea angustifolii Tx. et Preising ex von Rochow 1951
Порядок Convolvuletalia sepium Tx. ex Moor 1958
Союз Senecionion fluviatilis Tx. ex Moor 1958
Ассоциация Calystegio sepium–Impatientetum glanduliferae Hilbig 1972
Субассоциация C. s. – I. g. menthetosum longifolii subass. nov. prov.:
- Вариант Equisetum fluviatile
- Вариант Bidens tripartita
- Вариант Deschampsia cespitosa
Субассоциация C. s. – I. g. arctietosum tomentosi subass. nov. prov.:
- Вариант typica
- Вариант Acer negundo
Сообщества ассоциации Calystegio sepium–Impatientetum glanduliferae приурочены к берегам водоемов в населенных пунктах. Общее проективное покрытие варьирует от 80 до 100%. Разнообразие сообществ в пределах ассоциации выражено в двух субассоциациях, отражающих степень увлажнения и нарушения ценозов.
Сообщества субассоциации C. s. – I. g. menthetosum longifolii приурочены к менее нарушенным и более влажным субстратам. В пределах субассоциации выделены три варианта: Equisetum fluviatile, Bidens tripartita и Deschampsia cespitosa. Сообщества первого варианта приурочены к заболоченным низинам и характеризуются высоким постоянством видов класса Phragmito–Magnocaricetea (Equisetum fluviatile, Mentha arvensis, Stachys palustris). Сообщества вариантов Bidens tripartita и Deschampsia cespitosa встречаются по берегам рек и ручьев. Для варианта Bidens tripartita характерны несколько нарушенные местообитания по берегам водоемов в городах и крупных сельских населенных пунктах. Характерными видами являются Epilobium adenocaulon, E. hirsutum, Lycopus europaeus, Mentha longifolia, Rumex confertus и др. Ценозы варианта Deschampsia cespitosa отмечаются в основном по берегам водоемов в небольших населенных пунктах, где они контактируют с влажными лугами порядка Molinietalia caeruleae класса Molinio–Arrhenatheretea, что отражается в присутствии во флористическом составе таких видов, как Agrostis stolonifera, Dactylis glomerata, Poa trivialis, Ranunculus repens и др.
Ценозы субассоциации C. s. – I. g. arctietosum tomentosi приурочены в основном к сильно нарушенным местообитаниям – свалкам в низинах и оврагах, у заборов и строений близ мест культивирования. Для сообществ субассоциации характерно присутствие синантропных видов растений: Arctium tomentosum, Carduus crispus, Chelidonium majus, Elytrigia repens, Geum urbanum, Leonurus quinquelobatus и др. Общее проективное покрытие варьирует от 70 до 100%. Разнообразие сообществ выражено в двух вариантах: typicа и Acer negundo. Ценозы варианта Acer negundo описаны в городах на хорошо увлажненных сильно нарушенных местообитаниях: свалках мусора, оврагах и др. Ценозы варианта typica отмечаются в менее нарушенных местообитаниях в сельских населенных пунктах.
Ординационный анализ (рис. 2) подтвердил флористическую дифференциацию сообществ, а в табл. 2 приведены значения коэффициента корреляции расчетных значений эколого-ценотического статуса сообществ с двумя осями DCA-ординации.
Рис. 2. DCA-ординация синтаксонов с доминированием I. glandulifera. Собственные значения: ось 1 – 0.334; ось 2 – 0.277; 1–5 – номера вариантов согласно схеме растительных сообществ. Экологические параметры: dlan – механический состав и структура почвы, flan – увлажнение, hlan – содержание гумуса, klan – кон тинентальность климата, llan – освещенность, nlan – богатство почвы, rlan – кислотность почвы, tlan – термоклиматические условия.
Анализ значений коэффициента корреляции разных экологических факторов показал, что высокие значения коэффициента корреляции (r > 0.4) отмечены по первой оси (ось абсцисс) для следующих факторов: механический состав и структура почвы, богатство почв элементами минерального питания. Эти два фактора разнонаправлены. По второй оси (ось ординат) высокая корреляция отмечается для шкалы континентальности и увлажнения.
В нижней левой части диаграммы расположены сообщества варианта Equisetum fluviatile, субассоциации C. s. – I. g. menthetosum longifolii, ассоциации Calystegio sepium–Impatientetum glanduliferae. Эти ценозы встречаются в наиболее увлажненных местообитаниях, на сырых почвах по заболоченным низинам (F =3.9–4.2).
В левой верхней части диаграммы сосредоточены сообщества двух вариантов Bidens tripartita и Deschampsia cespitosa ассоциации Calystegio sepium–Impatientetum glanduliferae. Они занимают местообитания с относительно сухими или сырыми почвами, преимущественно по берегам водоемов в населенных пунктах (F = 1.9–3.9). В правой части диаграммы расположены ценозы субассоциации C. s. – I. g. arctietosum tomentosi, приуроченные к рудеральным местообитаниям – свалкам мусора в низинах. Почвы богаты азотом (N = 4.3–3.5), а также отличаются меньшими показателями механического состава и структуры (D = 4.3–3.6) по сравнению с сообществами субассоциации C. s. – I. g. menthetosum longifolii.
Наряду с ординационной диаграммой рис. 3 позволяет оценить экологическую амплитуду синтаксонов с доминированием Impatiens glandulifera (ниже рассмотрены экологические факторы только с высокой корреляцией по осям ординации). Наиболее широкой амплитудой по увлажнению (от относительно сухих до сырых почв) обладают сообщества субассоциации C. s. – I. g. menthetosum longifolii ассоциации Calystegio sepium–Impatientetum glanduliferae (F = 1.9–4.2). Из всех вариантов ассоциации наиболее увлажненные местообитания занимают сообщества варианта Equisetum fluviatile (со средним значением F = 3.9), характерные для влажных и сырых почв. В более сухих условиях фиксируются ценозы вариантов Mentha longifolia и Deschampsia cespitosa (средние значения F = 2.9– 3.0), отмечающиеся на почвах от средней сухости до влажных. Наименьшей амплитудой в пределах интерквартильного диапазона обладают ценозы варианта Acer negundo субассоциации C. s. – I. g. arctietosum tomentosi.
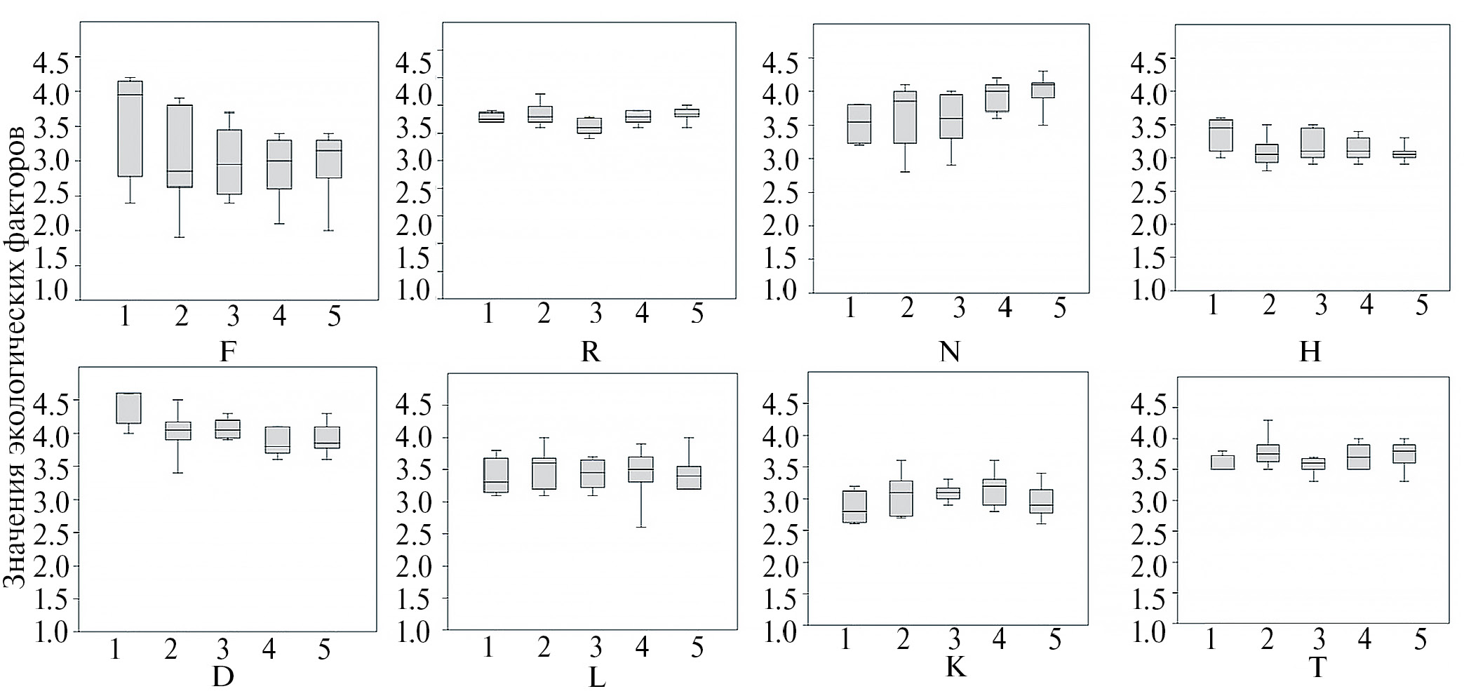
Рис. 3. Экологические факторы синтаксонов с доминированием I. glandulifera. Прямоугольниками показан интер- квартильный диапазон, включающий 25–75% значений, горизонтальные линии внутри прямоугольников – средние значения, вне прямоугольников – минимальные и максимальные значения.
Анализ фактора механического состава и структуры почвы показал, что различия в пределах интерквартильного диапазона в целом несущественны: от ценозов варианта Equisetum fluviatile субассоциации C. s. – I. g. menthetosum longifolii с максимальными значениями D = 4.6 до ценозов варианта typica субассоциации C. s. – I. g. arctietosum tomentosi с минимальными значениями D = 3.7 происходит укрупнение механических элементов почвы. Вероятно, это связано с накоплением различного мусора (строительного, бытового, растительных остатков) в местообитаниях I. glandulifera. С этим фактом можно связать и большие показатели фактора богатства почвы элементами минерального питания в пределах интерквартильного диапазона (N = 3.7–4.0) для синтаксонов субассоциации C. s. – I. g. arctietosum tomentosi. Такие сообщества характерны для местообитаний со среднебогатыми и богатыми почвами.
Для шкалы континентальности наиболее широкой амплитудой в пределах интерквартильного диапазона обладают сообщества вариантов Equisetum fluviatile и Mentha longifolia субассоциации C. s. – I. g. menthetosum longifolii (К = 2.6–3.2), характерные для регионов с субокеаническим климатом и избегающие экстремально континентальных районов. Они отмечаются по берегам водоемов в различных природных зонах Южного Предуралья.
ОБСУЖДЕНИЕ РЕЗУЛЬТАТОВ
Были рассмотрены распространение инвазионного вида I. glandulifera и экология сообществ, сформировавшихся в результате вселения чужеродного растения в местообитания разных типов растительности Южного Урала. Выявлено, что за последние 20 лет данный вид достаточно широко распространился в населенных пунктах северной, северо-восточной и центральной частей Предуралья (в общей сложности обнаружено 62 местообитания вида) и практически не встречается в степной и горно-лесной зонах. Основной вектор инвазии – “дичание” вида из декоративной культуры, т. е. интродукция человеком. Только одно местообитание расположено за пределами населенных пунктов – на особо охраняемой природной территории геопарк “Янгантау”.
Результаты анализа геоботанических описаний показали, что Impatiens glandulifera вселяется в пять типов сообществ класса Epilobietea angustifolii, при этом образует ассоциацию Calystegio sepium–Impatientetum glanduliferae с двумя субассоциациями и пятью вариантами. Растительные сообщества с преобладанием I. glandulifera описаны как на территории Средней России [38, 39 и др.], так и во многих странах Европы [40] в рамках ассоциации Calystegio sepium–Impatientetum glanduliferae, характерной для берегов водоемов и прочих хорошо увлажненных местообитаний. На территории Южного Урала вид образует сообщества не только в сходных условиях, но и зачастую в антропогенно нарушенных менее увлажненных местообитаниях свалок, что отражено в выделении специфической субассоциации.
Успеху инвазии I. glandulifera в наших условиях, как и за рубежом, способствуют высокая конкурентная способность вида и аллелопатическое воздействие на сопутствующие виды растений, способствующее снижению роста аборигенных травянистых растений. Высокие плотные заросли I. glandulifera в местах его произрастания приводят также к изменению светового режима сообществ, что является причиной выпадения видов, требовательных к освещенности. Данный доминант может трансформировать под себя местообитания путем изменения физико-химических свойств почвы (например, большей увлажненности вследствие затенения и накопления слоя опада, увеличивающего богатство почв, и т. д.). Поэтому I. glandulifera можно считать эдификатором, ключевым видом или видом-трансформером.
Проведенный ординационный анализ позволил выявить экологические предпочтения и факторы, влияющие на дифференциацию сообществ с участием I. glandulifera. Основными факторами, определяющими распределение сообществ, являются механический состав, структура, богатство почв элементами минерального питания и увлажнение, а также континентальность климата.
На Южном Урале I. glandulifera произрастает в местообитаниях с почвами различного уровня увлажнения (от относительно сухих до сырых), при этом наиболее широкой амплитудой по увлажнению обладают сообщества субассоциации C. s. – I. g. menthetosum longifolii. Большая насыщенность почв азотом характерна для ценозов свалок – субассоциация C. s. – I. g. arctietosum tomentosi. Вид занимает полутеневые или относительно светлые местообитания. Для шкалы континентальности наиболее широкой амплитудой обладают сообщества субассоциации C. s. – I. g. menthetosum longifolii, характерной для интразональных сообществ водоемов.
Таким образом, в изученном регионе вид расширил свой эколого-ценотический диапазон и освоил не только хорошо увлажненные местообитания берегов водотоков, но и более сухие и рудерализованные ценозы свалок, что особенно характерно для территорий населенных пунктов. В целом данный вид далеко не исчерпал свой инвазионный потенциал и вполне способен как продвинуться далее на юг по увлажненным местообитаниям по берегам водоемов, так и в горно-лесную зону, где он может проникнуть в нарушенные теневые лесные сообщества, что показало нахождение его в лесном овраге в ООПТ геопарк “Янгантау”, а также в различные хорошо увлажненные местообитания в населенных пунктах, включая свалки мусора. Данный факт отмечается в горной части соседней Челябинской области, где вид культивировался продолжительное время. Менее вероятно обнаружение вида в зауральской части региона, где его вселение лимитирует засушливость климатических условий, приводящая к нередкому пересыханию небольших ручьев и речек в летний период, где он часто поселяется.
ВЫВОДЫ
- Impatiens glandulifera на Южном Урале выявлен в 62 локалитетах в неморально-лесной и лесостепной природных зонах Предуралья, в степной и горно-лесной зонах не обнаружен.
- Вид образует сообщества ассоциации Calystegio sepium–Impatientetum glanduliferae с двумя субассоциациями и пятью вариантами, которые различаются как по экологическим характеристикам, так и по степени антропогенной нарушенности местообитаний.
- Ведущими факторами, определяющими распределение сообществ с участием I. glandulifera, являются механический состав, структура, богатство почв элементами минерального питания и увлажнение, а также континентальность климата.
- Основной вектор инвазии – “дичание” вида из культуры.
- I. glandulifera следует считать ключевым видом, или видом-трансформером, поскольку он является выраженным доминантом во всех выявленных локалитетах.
Финансирование работы
Работа выполнена в рамках государственного задания ЮУБСИ УФИЦ РАН по теме АААА-А18-118011990151-7.
Соблюдение этических стандартов
В данной работе отсутствуют исследования человека или животных.
Конфликт интересов
Авторы данной работы заявляют, что у них нет конфликта интересов.
About the authors
L. M. Abramova
South-Ural Botanical Garden-Institute – Sub-division of the Ufa Federal Research Centre of the Russian Academy of Sciences
Author for correspondence.
Email: abramova571m@yandex.ru
Russian Federation, Ufa
Ya. M. Golovanov
South-Ural Botanical Garden-Institute – Sub-division of the Ufa Federal Research Centre of the Russian Academy of Sciences
Email: abramova571m@yandex.ru
Russian Federation, Ufa
References
- Hulme P.E. Biological invasions in Europe: drivers, pressures, states, impacts and responses // Biodiversity under threat. Cambridge, UK: Cambridge University Press. 2007. № 25. P. 96–103.
- Rejmánek M., Richardson D.M., Pyšek P. Plant invasions and invasibility of plant communities // Vegetation Ecology. 2013. Р. 387–424.
- Pergl J., Pyšek P., Essl F. et al. Need for routine tracking of biological invasions // Conservation Biology. 2020. V. 34. P. 1311–1314. doi: 10.1111/cobi.13445
- Дгебуадзе Ю.Ю. Чужеродные виды в Голарктике: некоторые результаты и перспективы исследований // Российский журн. биол. инвазий. 2014. № 1. С. 2–8.
- Веселкин Д.В., Дубровин Д.И., Коржиневская А.А. и др. Уровни вторжения чужеродных растений в местообитаниях разных типов на Среднем Урале // Экология. 2023. № 4. С. 261–270. doi: 10.31857/S0367059723040121
- Абрамова Л.М. Новые данные по биологическим инвазиям чужеродных видов в Республике Башкортостан // Вестник АН РБ. 2014. Т. 19. № 4. С. 16–27.
- Abramova L.M. Expansion of invasive alien plant species in the Republic of Bashkortostan, the South Urals: analysis of causes and ecological consequences // Russ. J. of Ecology. 2012. V. 43. № 5. P. 352–357.
- Abramova L.M., Golovanov Yа.M. Invasions of Alien Plant Species in the South Urals: Current State of the Problem // The Fourth International Scientific Conference Ecology and Geography of Plants and Plant Communities. KnE Life Sciences. 2018. P. 1–9. doi: 10.18502/kls.v4i7.3213
- Виноградова Ю.К., Майоров С.Р., Хорун Л.В. Черная книга флоры Средней России. М.: ГЕОС, 2009. 494 с.
- Эбель А.Л., Стрельникова Т.О., Куприянов А.Н. и др. Черная книга флоры Сибири. Новосибирск: Гео. 2016. 439 с.
- Vinogradova Y., Pergl J., Hejda M. et al. Invasive alien plants of Russia: insights from regional inventories // Biological Invasions. 2020. V. 20. № 8. P. 1931–1943. doi: 10.1007/s10530-018-1686-3
- Coakley S., Petti C. Impacts of the invasive Impatiens glandulifera: lessons learned from one of Europe’s top invasive species // Biology. 2021. V. 10. № 7. P. 1–14. doi: 10.3390/biology10070619
- Hejda M., Pyšek P. What is the impact of Impatiens glandulifera on species diversity of invaded riparian vegetation? // Biological Conservation. 2006. № 132. P. 143–152. doi: 10.1016/j.biocon.2006.03.025
- Tanner R., Gange A.C. Himalayan balsam, Impatiens glandulifera: its ecology, invasion and management // Weed Research. 2020. V. 60. № 1. P. 4–7. doi: 10.1111/wre.12401
- Pattison Z, Vallejo-Marin M., Willby N. Riverbanks as battlegrounds: why does the abundance of native and invasive plants vary // Ecosystems. 2019. V. 22. № 3. P. 578–586. doi: 10.1007/s10021-018-0288-3
- Lambdon P. W., Roy D. B., Pyšek P. et al. Alien flora of Europe: species diversity, temporal trends, geographical patterns and research needs // Preslia. 2008. V. 80. № 2. P. 101–149.
- Čuda J., Skalova H., Pyšek P. Spread of Impatiens glandulifera from riparian habitats to forests and its associated impacts: insights from a new invasion // Weed Research. 2020. V. 60. P. 8–15. doi: 10.1111/wre.12400
- Pyšek P., Prach K. Invasion dynamics of Impatiens glandulifera – a century of spreading reconstructed // Biological Conservation. 1995. V. 74. № 1. P. 41–48. doi: 10.1016/0006-3207(95)00013-T
- Andrews M., Maule H.G., Mistry A. et al. Extension growth of Impatiens glandulifera at low irradiance: importance of nitrate and potassium accumulation // Annals of Botany. 2005. V. 95. № 4. P. 641.
- Baležentienė L. Phytotoxicity and allelopathic impact of Impatiens glandulifera // Biologija. 2018. V. 64. № 2. P. 153–159. doi: 10.6001/biologija.v64i2.3738
- Power G., Sa´nchez Vilas J. Competition between the invasive Impatiens glandulifera and UK native species: the role of soil conditioning and pre-existing resident communities // Biological Invasions. 2020. V. 22. №4. P. 1–11. doi: 10.1007/s10530-020-02202-y
- Hulme P. Bremner E. Assessing the impact of Impatiens glandulifera on riparian habitats: partitioning diversity components following species removal // Journal of Applied Ecology. 2006. № 43. P. 43–50. doi: 10.1111/j.1365-2664.2005.01102.x
- Cockel C.P., Gurnell A.M., Gurnell J. Consequences of the physical management of an invasive alien plant for riparian plant species richness and diversity // River Research and Applications. 2014. V. 30. № 2. P. 217–229. doi: 10.1002/rra.2633
- Абрамова Л.М., Рогожникова Д.Р., Голованов Я.М. и др. К биологии инвазионного вида Impatiens glandulifera Rоуlе (Balsaminaceae) в Республике Башкортостан // Российский журн. биол. инвазий. 2023. Т. 16. № 2. С. 3–15. doi: 10.35885/1996-1499-16-2-03-15
- Виноградова Ю.К. Микроэволюция недотроги желёзконосной (Impatiens glandulifera Royle) в процессе формирования вторичного ареала // Бюл. Главного ботан. сада. 2008. № 194. С. 3–18.
- Конусова О.Л., Михайлова С.И., Прокопьев А.С. и др. Антофильный комплекс чужеродного растения недотроги желёзконосной Impatiens glandulifera Royle (Magnoliopsida: Balsaminaceae) на территории г. Томска // Российский журн. биол. инвазий. 2016. Т. 9. № 2. С. 60–71.
- Меньшакова М.Ю. Вариабельность морфологической структуры Impatiens glandulifera Royle в различных климатических условиях // Естественные и технические науки. 2011. № 4(54). С. 149–151.
- Шуйская Е.А., Антипина Г.С. Семенная продуктивность и стратегия инвазионного вида недотроги железистой (Impatiens glandulifera Royle) в Карелии // Естественные и технические науки. 2009. № 2(40). С. 97–98.
- Мулдашев А.А., Голованов Я.М., Абрамова Л.М. Конспект адвентивных видов Республики Башкортостан. Уфа: Башкирская энциклопедия, 2017. 168 с.
- Абрамова Л.М., Голованов Я.М., Мулдашев А.А. Черная книга флоры Республики Башкортостан. М.: Тов-во науч. изд. КМК, 2021. 174 с.
- Braun-Blanquet J. Pflanzensoziologie. Grundzuge der Vegetationskunde. 3. Aufl. Wien; New York: Springer-Verlag, 1964. 865 s. DOI: 9.907/978-3-7091-819-2
- Roleček J., Tichy L., Zeleny D. et al. Modified TWINSPAN classification in which the hierarchy respects cluster heterogeneity // J. Veg. Sci. 2009. V. 20. P. 596–602.
- Tichý L. JUICE, software for vegetation classification // J. Veg. Sci. 2002. V. 13. № 3. P. 451–453. DOI: 9.1010/j.1654-193.2002.tb02069.x
- Landolt E. Okologische Zeigerwerts zur Sweizer Flora // Veroff. Geobot. Inst. ETH. Zurich. 1977. Ht. 64. S. 1–208.
- Зверев А.А. Информационные технологии в исследованиях растительного покрова: учеб. пособ. Томск: ТМЛ-Пресс, 2007. 304 с.
- Ter Braak C.J.F., Šmilauer P. Reference manual and CanoDraw for Windows User’s guide: Software for Canonical Commuhity Ordination (version 4.5). USA, N.Y., Ithaca: Microcomputer Power, 2002. 500 p.
- Hammer Ø., Harper D.A.T., Ryan P.D. PAST: Paleontological statistics software package for education and data analysis // Palaeontol. Electron. 2001. V. 4. № 1. P. 1–9.
- Арепьева Л.А. Синантропная растительность города Курска. Курск: Курский гос. ун-т. 2015. 203 с.
- Булохов А.Д., Ивенкова И.М., Панасенко Н.Н. Антропогенная растительность Брянской области. Брянск: РИСО БГУ, 2020. 309 с.
- Vegetace České republiky 2. Ruderální, plevelová, skalní a suťová vegetace (Vegetation of the Czech Republic 2. Ruderal, Weed and scree vegetation) / Еd. Chytrý M. Academia, Praha, 2009. 520 p.
Supplementary files





