Heavy metals in birch leaves during reduction of emissions from a large copper smelter
- Authors: Belskaya E.A.1, Zamshina G.A.1
-
Affiliations:
- Institute of Plant and Animal Ecology, Ural Branch of the Russian Academy of Sciences
- Issue: No 6 (2023)
- Pages: 446-452
- Section: Articles
- URL: https://ogarev-online.ru/0367-0597/article/view/232842
- DOI: https://doi.org/10.31857/S0367059723060112
- EDN: https://elibrary.ru/VCHTDF
- ID: 232842
Cite item
Full Text
Abstract
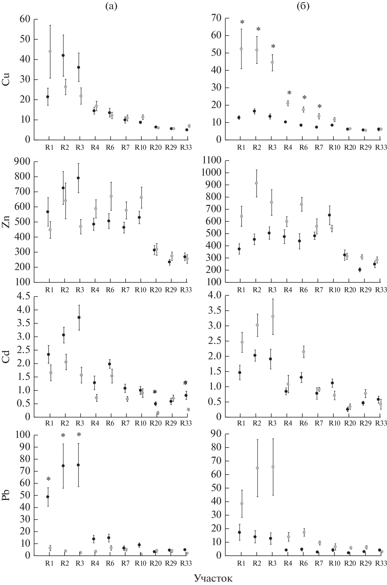
The concentrations of heavy metals Cu, Zn, Cd, and Pb in the leaves of Betula pubescens were analyzed at 10 sites along the pollution gradient near the Middle Ural copper smelter. The studies were carried out during the period of moderate emissions (2009) and after their reduction to a minimum (2019). Leaf samples were collected in early and late summer. Cu and Cd showed a strong negative correlation with the distance to the smelter. The interannual differences are most pronounced for Pb, the concentration of which significantly decreased in 2019 at the sites closest to the smelter compared to 2009. In both years, the concentrations of metals in the leaves increased towards the end of the growing season.
Keywords
About the authors
E. A. Belskaya
Institute of Plant and Animal Ecology, Ural Branch of the Russian Academy of Sciences
Email: belskaya@ipae.uran.ru
Ekaterinburg, Russia
G. A. Zamshina
Institute of Plant and Animal Ecology, Ural Branch of the Russian Academy of Sciences
Author for correspondence.
Email: belskaya@ipae.uran.ru
Ekaterinburg, Russia
References
- Everett J.L., Day C.L., Reynolds D. Comparative survey of lead at selected sites in the British Isles in relation to air pollution // Food Cosmet. Toxicol. 1967. V. 5. P. 29−35.
- Weiss P., Offenthaler I., Öhlinger R., Wimmer J. Higher plants as accumulative bioindicators // Bioindicators and biomonitors, principles, concepts and applications / Eds. Markert B.A., Breure A.M., Zechmeister H.G. Amsterdam: Elsevier, 2003. P. 465–500. https://doi.org/10.1016/S0927-5215(03)80143-1
- Tomašević M., Aničić M., Jovanović Lj. et al. Deciduous tree leaves in trace elements biomonitoring: A contribution to methodology // Ecol. Indicators. 2011. V. 11. P. 1689–1695. https://doi.org/10.1016/j.ecolind.2011.04.017
- Hoodaji M., Ataabadi M., Najafi P. Biomonitoring of airborne heavy metal contamination // Air pollution – monitoring, modelling, health and control / Ed. Khare M. Rijeka: InTechOpen, 2012. P. 97–122.
- Есенжолова А.Ж., Панин Н.С. Биоиндикационная способность листьев древесных и кустарниковых насаждений для оценки загрязнения среды тяжелыми металлами в зоне действия металлургического комплекса // Экология и промышленность России. 2013. № 7. С. 49–53.
- Little P. A study of heavy metal contamination of leaf surfaces // Environ. Pollut. 1973. V. 5. № 3. P. 159–172. https://doi.org/10.1016/0013-9327(73)90085-2
- Лицуков С.Д., Акинчин А.В. Транслокация тяжелых металлов в системе почва—растение. Белгород: Изд-во БелГСХА, 2013. 201 с.
- Коротеева Е.В., Веселкин Д.В., Кудрявцева Н.Б. и др. Накопление тяжелых металлов в разных органах березы повислой возле Карабашского медеплавильного комбината // Агрохимия. 2015. № 3. С. 88–96.
- Медведев И.Ф., Деревягин С.С. Тяжелые металлы в экосистемах. Саратов: Ракурс, 2017. 178 с.
- Kozlov M.V., Haukioja E., Bakhtiarov A.V., Stroganov D.N. Heavy metals in birch leaves around a nickel-copper smelter at Monchegorsk, Northwestern Russia // Environ Pollut. 1995. V. 90. №3. P. 291–299. https://doi.org/10.1016/0269-7491(95)00027-O
- Ветчинникова Л.В., Кузнецова Т.Ю., Титов А.Ф. Особенности накопления тяжелых металлов в листьях древесных растений на урбанизированных территориях в условиях севера // Труды КарНЦ РАН. 2013. № 3. С. 68–73.
- Zakrzewska M., Klimek B. Trace element concentrations in tree leaves and lichen collected along a metal pollution gradient near Olkusz (Southern Poland) // Bull. Hist. Chem. 2018. V. 100. P. 245–249. https://doi.org/10.1007/s00128-017-2219-y
- Heliövaara K., Väisänen R. Air pollution levels and abundance of forest insects // Acidification in Finland / Eds. Kauppi K. et al. Berlin: Springer, 1990. P. 447–467.
- Koricheva J., Haukioja E. Effects of air pollution on host plant quality, individual performance, and population density of Eriocrania miners (Lepidoptera: Eriocraniidae) // Environ. Entomol. 1992. V. 21. № 6. P. 1386–1392. https://doi.org/10.1093/ee/21.6.1386
- Ruohomaki K., Kaitaniemi P., Kozlov M. et al. Density and performance of Epirrita autumnata (Lepidoptera: Geometridae) along three air pollution gradients in northern Europe // J. Appl. Ecol. 1996. V. 33. № 4. P. 773–785. https://doi.org/10.2307/2404947
- Kozlov M.V., Zvereva E.L., Zverev V.E. Impacts of point polluters on terrestrial biota. Berlin etc.: Springer, 2009. 466 p. https://doi.org/10.1007/978-90-481-2467-1
- Бельская Е.А., Воробейчик Е.Л. Реакция филлофагов осины на выбросы Среднеуральского медеплавильного завода // Экология. 2013. № 2. С. 99–109. [Belskaya E.A., Vorobeichik E.L. Responses of leaf-eating insects feeding on aspen to emissions from the Middle Ural copper smelter // Russ. J. Ecol. 2013. V. 44. № 2. P. 108−117.] https://doi.org/10.1134/S1067413613020045
- Бельская Е.А., Воробейчик Е.Л. Изменение трофической активности филлофагов березы в градиенте загрязнения выбросами Среднеуральского медеплавильного завода // Сиб. экол. журн. 2015. № 3. С. 486–495. [Belskaya E.A., Vorobeichik E.L. Changes in the trophic activity of leaf-eating insects in birch along the pollution gradient near the Middle Ural copper smelter // Contemp. Probl. Ecol. 2015. V. 8. № 3. P. 397−404.] https://doi.org/10.7868/S0367059713020042
- Smith P.N., Cobb G.P., Godard-Codding C. et al. Contaminant exposure in terrestrial vertebrates // Environ. Pollut. 2007. V. 150. P. 41–64. https://doi.org/doi.org/10.1016/j.envpol.2007.06.009
- Luyssaert S., Raitio H., Vervaeke P. et al. Sampling procedure for the foliar analysis of deciduous trees // J. Environ. Monit. 2002. V. 4. № 6. P. 858–864. https://doi.org/10.1039/B208404J
- Kozlov M.V. Sources of variation in concentrations of nickel and copper in mountain birch foliage near a nickel-copper smelter at Monchegorsk, north-western Russia: results of long-term monitoring // Environ. Pollut. 2005. V. 135. P. 91–99. https://doi.org/10.1016/j.envpol.2004.10.005
- Бельская Е.А. Динамика трофической активности филлофагов березы в период снижения атмосферных выбросов медеплавильного завода // Экология. 2018. № 1. С. 74–80. [Belskaya E.A. Dynamics of trophic activity of leaf-eating insects on birch during reduction of emissions from the Middle Ural copper smelter // Russ. J. Ecol. 2018. V. 49. № 1. P. 87−92.] https://doi.org/10.7868/S0367059718010092
- Воробейчик Е.Л., Трубина М.Р., Хантемирова Е.В. и др. Многолетняя динамика лесной растительности в период сокращения выбросов медеплавильного завода // Экология. 2014. № 6. С. 448–458. [Vorobeichik E.L., Trubina M.R., Khantemirova E.V. et al. Long-term dynamic of forest vegetation after reduction of copper smelter emissions // Russ. J. Ecol. 2014. V. 45. № 6. P. 498–507]. https://doi.org/10.7868/S0367059714060158
- Государственный доклад о состоянии и об охране окружающей среды Свердловской области (2019) [Электронный ресурс]. – URL: https://ipae.uran.ru/library/publications_pdf/gos_doklady (дата обращения 27.12.2022).
- Freedman B., Hutchinson T.C. Pollutant inputs from the atmosphere and accumulations in soils and vegetation near a nickel-copper smelter at Sudbury, Ontario, Canada // Can. J. Bot. 2011. V. 58. P. 108–132. https://doi.org/10.1139/b80-014
- Лянгузова И.В. Динамика содержания никеля и меди в растениях сосновых лесов Кольского полуострова в условиях аэротехногенного загрязнения // Растит. ресурсы. 2008. Т. 44. Вып. 4. С. 91–98.
- Лянгузова И.В. Динамические тренды содержания тяжелых металлов в растениях и почвах при разном режиме аэротехногенной нагрузки // Экология. 2017. № 4. С. 250–260. [Lyanguzova I.V. Dynamic trends of heavy metal contents in plants and soil under different industrial air pollution regimes // Russ. J. of Ecol. 2017.V. 48. № 4. P. 311–320.] https://doi.org/ 10. 1134/ S1067413617040117.
- Kloke A., Sauerbeck D., Vetter H. The contamination of plants and soils with heavy metals and the transport of metals in terrestrial food chains // Changing metal cycles and human health / Ed. Nriagu J.O. Berlin: Springer, 1984. P. 113–141. https://doi.org/10.1007/978-3-642-69314-4_7
- Radojevic A.A., Serbula S.M., Kalinovic T.S. et al. Metal/metalloid content in plant parts and soils of Corylus spp. influenced by mining-metallurgical production of copper // Environ. Sci. Pollut. Res. 2017. V. 24. № 11. P. 10 326–10 340. https://doi.org/10.1007/s11356-017-8520-9
- Нестерков А.В. Поверхностное загрязнение луговых растений в период снижения атмосферных выбросов медеплавильного завода // Экология. 2019. № 4. С. 316–320. [Nesterkov A.V. Surface pollution of meadow plants during the period of reduction of atmospheric emissions from a copper smelter // Russ. J. Ecol. 2019. V. 50. № 4. P. 408–412.] https://doi.org/10.1134/S0367059719040127
- Мухачева С.В. Многолетняя динамика концентраций тяжелых металлов в корме и организме рыжей полевки (Myodes clareolus) в период снижения выбросов медеплавильного завода // Экология. 2017. № 6. С. 461–471. [Mukhacheva S.V. Long-term dynamics of heavy metal concentrations in the food and liver of bank voles (Myodes glareolus) in the period of reduction of emissions from a copper smelter // Russ. J. Ecol. 2017. V. 48. № 6. P. 559–568.] https://doi.org/10.7868/S0367059717060087
- Воробейчик Е.Л., Кайгородова С.Ю. Многолетняя динамика содержания тяжелых металлов в верхних горизонтах почв в районе воздействия медеплавильного завода в период сокращения объемов его выбросов // Почвоведение. 2017. № 8. С 1009–1024. https://doi.org/10.1134/S1064229317080130
- Сморкалов И.А., Воробейчик Е.Л. Почвенное дыхание лесных экосистем в градиентах загрязнения среды выбросами медеплавильных заводов // Экология. 2011. № 6. С. 429–435. [Smorkalov I.A., Vorobeichik E.L. Soil respiration of forest ecosystems in gradients of environmental pollution by emissions from copper smelters // Russ. J. Ecol. 2011. V. 42. № 6, P. 464–470.] https://doi.org/10.1134/S1067413611060166
- Pulford I.D., Watson C. Phytoremediation of heavy metal-contaminated land by trees–a review // Environ. Int. 2003. V. 29. P. 529–540. https://doi.org/10.1016/S0160-4120(02)00152-6
- Riddell-Black D. Heavy metal uptake by fast growing willow species // Willow vegetation filters for municipal wastewaters and sludges: A biological purification system /Eds.: Ansson P., Perttu K. Uppsala: Swedish Univ. of Agricultural Sci., 1994. P. 145–151.
- Ross S.M. Toxic metals: fate and distribution in contaminated ecosystems // Toxic metals in soil – plant systems / Ed. Ross S.M. Chicheer: Wiley, 1994. P. 189–243.
- Ehlin P.O. Seasonal variations in metal contents of birch // Geol. Foren. Stockh. Forh. 1982. V. 104. P. 63–67. https://doi.org/10.1080/11035898209454538
- Ветчинникова Л.В., Кузнецова Т.Ю., Титов А.Ф. Особенности накопления тяжелых металлов в листьях древесных растений на урбанизированных территориях в условиях севера // Труды Карел. НЦ РАН. 2013. № 3.С. 68–73.




