Chemical composition of plant leaves as a functional sign of the formation of alpine plant communities
- Authors: Onipchenko V.G.1, Zamaletdinova K.N.1, Makarov M.I.1, Kadulin M.S.1, Malysheva T.I.1, Klink G.V.2, Poloshevets T.V.1, Elumeeva T.G.1
-
Affiliations:
- Lomonosov Moscow State
- Institute for Information Transmission Problems named after. A.A. Kharkevich
- Issue: No 6 (2023)
- Pages: 407-415
- Section: Articles
- URL: https://ogarev-online.ru/0367-0597/article/view/232832
- DOI: https://doi.org/10.31857/S0367059723060069
- EDN: https://elibrary.ru/BMNTTJ
- ID: 232832
Cite item
Full Text
Abstract
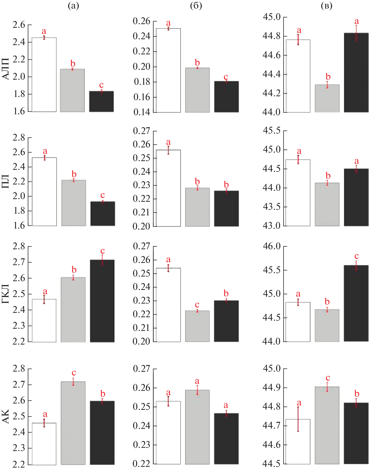
The content of C, N, P and the N:P and C:N ratios in plant leaves were studied in four alpine phytocenoses of the northwestern Caucasus to find out 1) how much the species found in them differ in chemical composition from random samples from the local flora; 2) how important the values of these characteristics are for dominance; 3) how phylogenetically conservative they are. The leaves of plants of alpine heaths and variegated fescue meadows contain less, and leaves of geranium-kopec meadows and alpine carpets contain more nitrogen compared to a random sample. Dominants of productive geranium-penny meadows contain more nitrogen than non-dominant species; for other communities, the opposite dependence is noted. Components of all communities, except alpine carpets, contain less phosphorus in their leaves compared to a random sample. The dominant species of alpine heaths contain less, and geranium-penny meadows contain more phosphorus in their leaves compared to non-dominant species. The C:N ratio in leaves is higher than random in species of alpine heaths and variegated fescue meadows and lower in other communities. The dominant species have higher C:N ratios compared to the others in all communities, except for geranium-penny meadows. The N:P ratio was higher than random in species of all communities except variegated fescue meadows. All characters except the C:N ratio have significant phylogenetic signal.
About the authors
V. G. Onipchenko
Lomonosov Moscow State
Email: vonipchenko@mail.ru
Moscow, Russia
K. N. Zamaletdinova
Lomonosov Moscow State
Email: vonipchenko@mail.ru
Moscow, Russia
M. I. Makarov
Lomonosov Moscow State
Email: vonipchenko@mail.ru
Moscow, Russia
M. S. Kadulin
Lomonosov Moscow State
Email: vonipchenko@mail.ru
Moscow, Russia
T. I. Malysheva
Lomonosov Moscow State
Email: vonipchenko@mail.ru
Moscow, Russia
G. V. Klink
Institute for Information Transmission Problems named after. A.A. Kharkevich
Email: vonipchenko@mail.ru
Moscow, Russia
T. V. Poloshevets
Lomonosov Moscow State
Email: vonipchenko@mail.ru
Moscow, Russia
T. G. Elumeeva
Lomonosov Moscow State
Author for correspondence.
Email: vonipchenko@mail.ru
Moscow, Russia
References
- Fisher R.A. The genetical theory of natural selection. 1st ed. Oxford: Clarendon, 1930. 308 p.
- Violle C., Navas M.-L., Vile D. et al. Let the concept of trait be functional! // Oikos. 2007. V. 116. № 5. P. 882–892.
- Garnier E., Navas M.-L., Grigulis K. Plant functional diversity. Oxford: Oxford Univ. Press, 2016. 231 p.
- Cornelissen J.H.C., Lavorel S., Garnier E. et al. A handbook of protocols for standardized and easy measurements of plant functional traits worldwide // Austral. J. Bot. 2003. V. 51. № 4. P. 335–380.
- Díaz S., Cabido M. Vive la différence: Plant functional diversity matters to ecosystem processes // Trends Ecol. Evol. 2001. V. 16. № 11. P. 646–655.
- Pérez-Harguindeguy N., Díaz S., Garnier E. et al. New handbook for standardized measurement of plant functional traits worldwide // Austral. J. Bot. 2013. V. 61. № 3. P. 167–234.
- Webb C.O., Ackerly D.D., McPeek M.A., Donoghue M.J. Phylogenies and community ecology // Annu. Rev. Ecol. Syst. 2002. V. 33. P. 475–505
- Watanabe T., Broadley M.R., Jansen S. et al. Evolutionary control of leaf element composition in plants // New Phytologist. 2007. V. 174. № 3. P. 516–523.
- Körner C. Alpine plant life. 2nd ed. Berlin: Springer, 2003. 337 p.
- Reich P.B., Oleksyn J. Global patterns of plant leaf N and P in relation to temperature and latitude // Proc. Natl. Acad. Sci. USA. 2004. V. 101. № 30. P. 11 001–11 006.
- Han W., Fang J., Guo D., Zhang Y. Leaf nitrogen and phosphorus stoichiometry across 753 terrestrial plant species in China // New Phytol. 2005. V. 168. № 2. P. 377–385.
- Song L., Fan J., Harris W. et al. Adaptive characteristics of grassland community structure and leaf traits along an altitudinal gradient on a subtropical mountain in Chongqing, China // Plant Ecol. 2012. V. 213. № 1. P. 89–101.
- Kichenin E., Wardle D.A., Peltzer D.A. et al. Contrasting effects of plant inter- and intraspecific variation on community-level trait measures along an environmental gradients // Funct. Ecol. 2013. V. 27. № 5. P. 1254–1261.
- Yang X., Huang Z., Zhang K., Cornelissen J.H.C. C : N : P stoichiometry of Artemisia species and close relatives across northern China: unravelling effects of climate, soil and taxonomy // J. Ecol. 2015. V. 103. № 4. P. 1020–1031.
- Dvorský M., Altman J., Kopecký M. et al. Vascular plants at extreme elevations in eastern Ladakh, northwest Himalayas // Plant Ecol. Diver. 2016. V. 8. № 4. P. 571–584.
- Zhao N., He N., Wang Q. et al. The altitudal patterns of leaf C : N : P stoichiometry are regulated by plant growth form, climate and soil on Changbai Mountain, China // PLOS ONE. 2014. V. 9. e95-196. https://doi.org/10.1371/journal.pone.0095196
- Bloom A.A., Exbrayat J.-F., van der Velde I.R. et al. The decadal state of the terrestrial carbon cycle: Global retrievals of terrestrial carbon allocation, pools, and resistance times // Proc. Natl. Acad. Sci. USA. 2016. V. 113. № 5. P. 1285–1290.
- Doležal J., Dvorský M., Kopecký M. et al. Vegetation dynamics at the upper elevational limit of vascular plants in Himalaya // Sci. Rep. 2016. V. 6. № 24881. https://doi.org/10.1038/srep24881
- Koerselman W., Meuleman A.F.M. The vegetation N : P ratio: a new tool to detect the nature of nutrient limitation // J. Appl. Ecol. 1996. V. 33. № 6. P. 1441–1450.
- Guiz J., Hillebrand H., Borer E.T. et al. Long-term effects of plant diversity and composition on plant stoichiometry // Oikos. 2016. V. 125. № 5. P. 613–621.
- Soudzilovskaia N.A., Onipchenko V.G., Cornelissen J.H.C., Aerts R. Biomass production, N : P ratio and nutrient limitation in a Caucasian alpine tundra plant community // J. Veg. Sci. 2005. V. 16. № 4. P. 399–406.
- Novotny A.M., Schade J.D., Hobbie S.E. et al. Stoichiometric response of nitrogen-fixing and non-fixing dicots to manipulations of CO2, nitrogen, and diversity // Oecologia. 2007. V. 151. № 4. P. 687–696.
- Zhang Q., Liu Q., Yin H. et al. C : N : P stoichiometry of Ericaceae species in shrubland biomes across Southern China: influences of climate, soil and species identity // J. Plant Ecol. 2019. V. 12. № 2. P. 346–357.
- Onipchenko V.G. (ed.) Alpine ecosystems in the Northwest Caucasus. Dordrecht: Kluwer, 2004. 415 p.
- Онипченко В.Г., Зернов А.С. Сосудистые растения Тебердинского национального парка (Флора и фауна заповедников, вып. 99Б). М., 2022. 177 с.
- Онипченко В.Г. Фитомасса альпийских сообществ северо-западного Кавказа // Бюл. МОИП. Отд. биол. 1990. Т. 95. № 6. С. 52–62.
- Онипченко В.Г., Дудова К.В., Гулов Д.М. и др. Функциональные признаки листьев растений важны для формирования состава альпийских растительных сообществ // Журн. общ. биол. 2022. Т. 83. № 2. С. 127–137.
- Garnier E., Corte J., Billès G. et al. Plant functional markers capture ecosystem properties during secondary succession // Ecology. 2004. V. 85. № 9. P. 2630–2637.
- Благовещенский Ю.Н., Самсонова В.П., Дмитриев Е.А. Непараметрические методы в почвенных исследованиях. М.: Наука, 1987. 96 с.
- Jin Y., Qian H. V.PhyloMaker: an R package that can generate very large phylogenies for vascular plants // Ecography. 2019. V. 42. № 8. P. 1353–1359.
- R Core Team. R: A language and environment for statistical computing // R Foundation for Statistical Computing, Vienna, Austria, 2021. URL https://www.R-project.org/.
- Smith S.A., Brown J.B. Constructing a broadly inclusive seed plant phylogeny // Amer. J. Bot. 2018. V. 105. № 3. P. 302–314.
- Revell L.J. Phytools: An R package for phylogenetic comparative biology (and other things) // Methods Ecol. Evol. 2012. V. 3. № 2. P. 217–223.
- Макаров М.И., Онипченко В.Г., Малышева Т.И. и др. Симбиотическая азотфиксация бобовыми растениями альпийских экосистем: вегетационный эксперимент // Экология. 2021. № 1. С. 12–20. [Makarov M.I., Onipchenko V.G., Malysheva T.I. et al. Symbiotic nitrogen fixation by legumes in alpine ecosystems: a vegetation experiment // Russ. J. Ecol. 2021. V. 52. № 1. P. 9–17.]
- Гришина Л.А., Онипченко В.Г., Макаров М.И., Ванясин В.А. Изменения свойств горно-луговых альпийских почв северо-западного Кавказа в различных экологических условиях // Почвоведение. 1993. № 4. С. 5–13.
- Волков А.В. Зависимость свойств высокогорных почв от растительности и положения в рельефе // Высокогорные экосистемы Тебердинского заповедника: состав, структура и экспериментальный анализ механизмов организации / Труды Тебердинского заповедника. М., 1999. Вып. 15. С. 14–40.
- Mакаров М.И., Волков А.В., Малышева Т.И., Онипченко В.Г. Фосфор, азот и углерод в почвах субальпийского и альпийского поясов Тебердинского заповедника // Почвоведение. 2001. № 1. С. 62–71.
- Макаров М.И., Ермак А.А., Леошкина Н.А., Малышева Т.И. Сезонная динамика минерализации органических соединений азота и нитрификации в горно-луговых альпийских почвах Тебердинского заповедника // Состав и структура высокогорных экосистем Тебердинского заповедника / Труды Тебердинского заповедника. М., 2007. Вып. 27. С. 42–52.
- Chen Y., Han W., Tang L. et al. Leaf nitrogen and phosphorus concentrations of woody plants differ in responses to climate, soil and plant growth form // Ecography. 2013. V. 36. № 2. P. 178–184.
- Kaspari M., de Beurs K.M., Welti E.A.R. How and why plant ionomes vary across North American grasslands and its implications for herbivore abundance // Ecology. 2021. V. 102. № 10. e03459.
- Onipchenko V.G., Makarov M.I., Akhmetzhanova A.A. et al. Alpine plant functional group responses to fertilizer addition depend on abiotic regime and community composition // Plant Soil. 2012. V. 357. № 1–2. P. 103–115.
- Onipchenko V.G. The spatial structure of the alpine lichen heaths (ALH): hypothesis and experiments // Experimental investigation of alpine plant communities in the Northwestern Caucasus / Veröffentlichungen des Geobotanischen Institutes der ETH, Stiftung Rübel, Zürich, 1994. Ht. 115. P. 100–111.
- Онипченко В.Г., Дудова К.В., Ахметжанова А.А. и др. Какие стратегии растений способствуют их доминированию в альпийских сообществах? // Журн. общ. биол. 2020. Т. 81. № 2. С. 37–46.
- Onipchenko V.G., Blinnikov M.S., Gerasimova M.A. et al. Experimental comparison of competition and facilitation in alpine communities varying in productivity // J. Veg. Sci. 2009. V. 20. № 4. P. 718–727.
- Онипченко В.Г., Бостанова Ф.С., Токарева O.А. и др. Влияние выжигания ветоши на альпийские пестроовсяницевые луга северо-западного Кавказа // Журн. общ. биол. 2023. Т. 84. (в печати).
- Soininen E.M., Brathen K.A., Jusdado J.G.H. et al. More than herbivory: levels of silica-based defences in grasses vary with plant species, genotype and location // Oikos. 2013. V. 122. № 1. P. 30–41.
- Bon M.P., Inga K.G., Jonsdottir I.S. et al. Interactions between winter and summer herbivore affect spatial and temporal plant nutrient dynamics in tundra grassland communities // Oikos. 2020. V. 129. № 8. P. 1229–1240.
- Пьянков В.И., Иванов Л.А., Ламберс Х. Характеристика химического состава листьев растений бореальной зоны с разными типами экологических стратегий // Экология. 2001. № 4. С. 243–251. [Pyankov V.I., Ivanov L.A., Lambers H. Chemical composition of the leaves of plants with different ecological strategies from the boreal zone // Russ. J. Ecol. 2001. V. 32. № 4. P. 221–229.]
- Cornelissen J.H.C., Werger M.J.A., Castro-Diez P. et al. Foliar nutrients in relation to growth, allocation and leaf traits in seedlings of a wide range of woody plant species and types // Oecologia. 1997. V. 111. № 4. P. 460–469.
- Hawkesford M., Horst W., Kichey T. et al. Functions of macronutrients // Marschner’s mineral nutrition of higher plants. 3rd ed. Amsterdam e.a.: Elsevier AP, 2012. P. 135–189.
- Niu K., He J.-S., Lechowicz M.J. Foliar phosphorus content predicts species relative abundance in P-limited Tibetan alpine meadows // Perspectives Plant Ecol. Evol. Syst. 2016. V. 22. № 1. P. 47–54.
- Sardans J., Janssens I.A., Ciais P. et al. Recent advances and future research in ecological stoichiometry // Perspectives Plant Ecol. Evol. Syst. 2021. V. 50. № 125611. 24 p.
- Mayor J.R., Sanders N.J., Classen A.T. et al. Elevation alters ecosystem properties across temperate treelines globally // Nature. 2017. V. 542. № 7639. P. 91–95.
- Yan Z., Tian D., Han W. et al. An assessment on the uncertainty of the nitrogen to phosphorus ratio as a threshold for nutrient limitation in plants // Ann. Bot. 2017. V. 120. № 6. P. 937–942.
- Sardans J., Janssens I.A., Alonso R. et al. Foliar elemental composition of European forest tree species associated with evolutionary traits and present environmental and competitive conditions // Global Ecol. Biogeogr. 2015. V. 24. № 2. P. 240–255.
- Verboom G.A., Stock W.D., Cramer M.D. Specialization to extremaly low-nutrient soils limits the nutritional adaptability of plant lineages // Amer. Nat. 2017. V. 189. № 6. P. 684–699.
- Luong J.C., Holl K.D., Loik M.E. Leaf traits and phylogeny explain plant survival and community dynamics in response to extreme drought in a restored coastal grassland // J. Appl. Ecol. 2021. V. 58. № 8. P. 1670–1680.




