Influence of the Invasive Earthworm Eisenia nana (Lumbricidae) on the Content of Water-Soluble Forms of Cations (NH4+, K+, Na+, Mg2+, Ca2+) in Soil
- Authors: Babiy K.A.1, Knyazev S.Y.1, Solomatin D.V.1, Golovanova E.V.1
-
Affiliations:
- Omsk State Pedagogical University
- Issue: No 4 (2023)
- Pages: 302-310
- Section: Articles
- URL: https://ogarev-online.ru/0367-0597/article/view/139196
- DOI: https://doi.org/10.31857/S0367059723040030
- EDN: https://elibrary.ru/RQARAP
- ID: 139196
Cite item
Full Text
Abstract
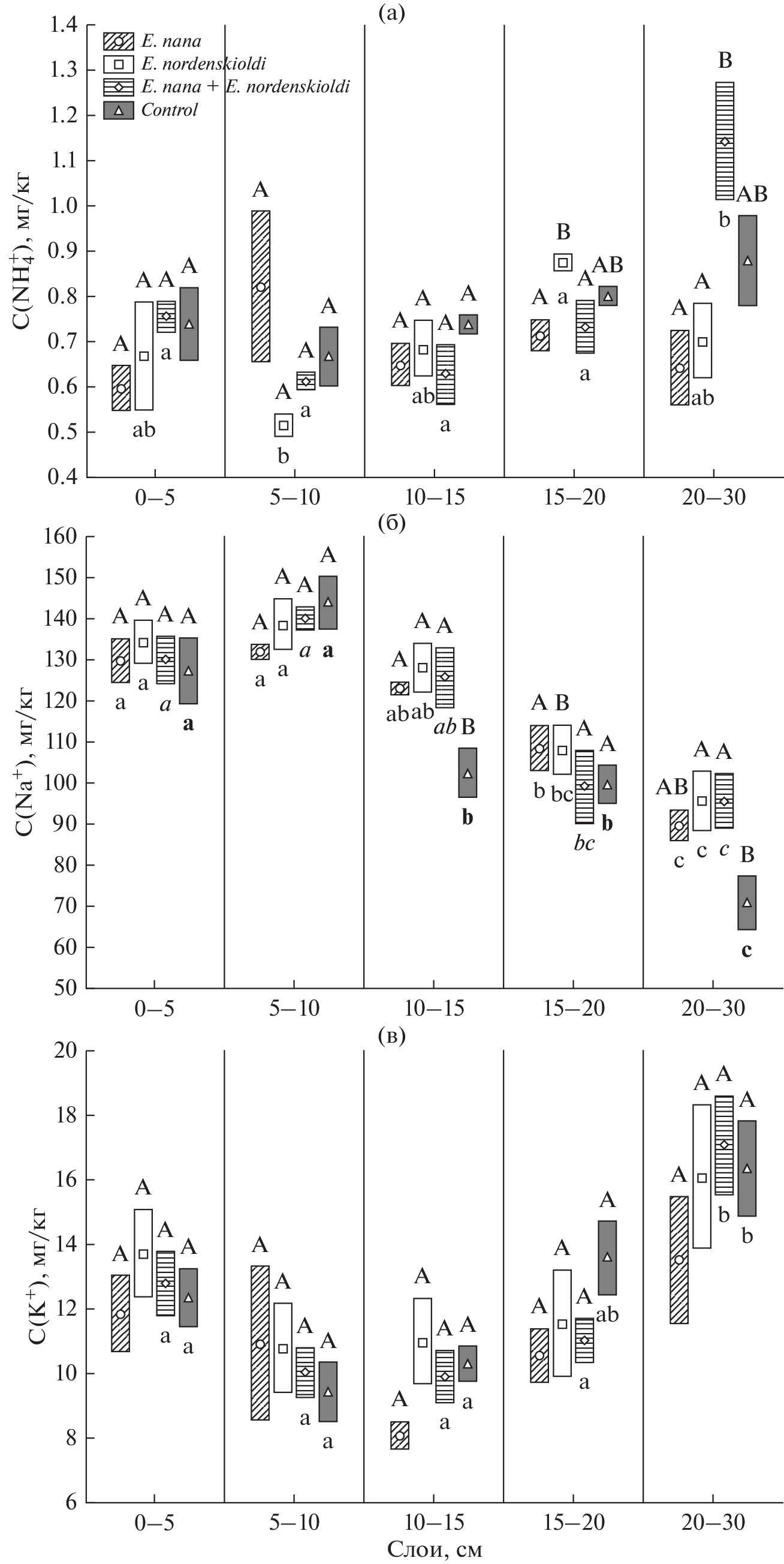
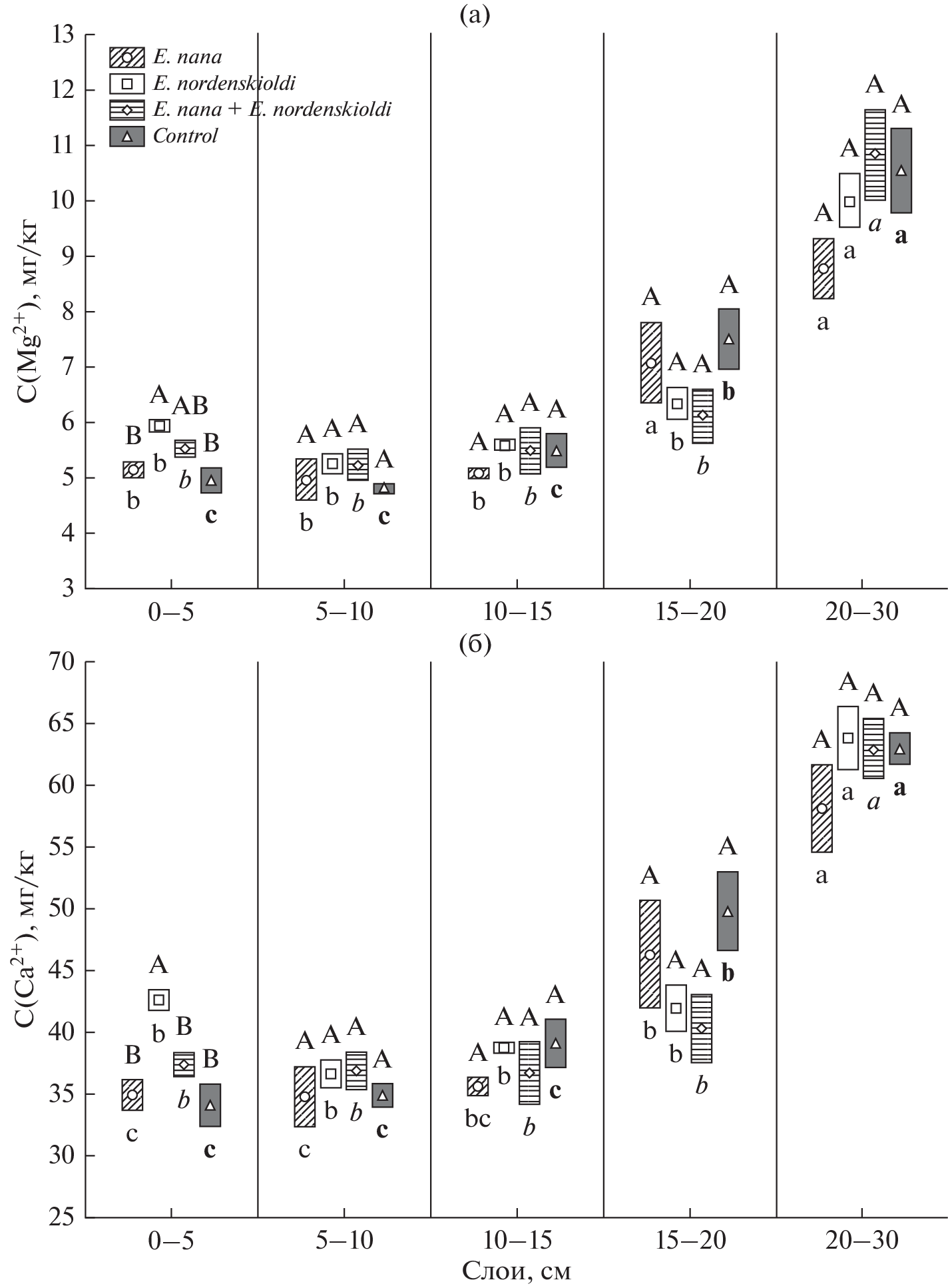
Using a field simulation experiment in mesocosms, the influence of epi-endogeic earthworms was assessed, invasive E. nana and native E. nordenskioldi (in monopopulations and when kept together), on the availability of cations (NH4+, K+, Na+, Mg2+, Ca2+) in soil. A significant effect of both species on the increase in the content of sodium ions in the 10–15 cm soil layer relative to the control without worms, differences between the E. nana and E. nordenskioldi monovariants in the content of magnesium and calcium ions in the 0–5 cm layer, and a significant effect of the interaction of species on an increase in the availability of ammonium in the 20–30 cm layer.
About the authors
K. A. Babiy
Omsk State Pedagogical University
Email: labinvert@omgpu.ru
Omsk, Russia
S. Yu. Knyazev
Omsk State Pedagogical University
Email: labinvert@omgpu.ru
Omsk, Russia
D. V. Solomatin
Omsk State Pedagogical University
Email: labinvert@omgpu.ru
Omsk, Russia
E. V. Golovanova
Omsk State Pedagogical University
Author for correspondence.
Email: labinvert@omgpu.ru
Omsk, Russia
References
- Lavelle P., Decaens T., Aubert M. et al. Soil invertebrates and ecosystem services // European J. of Soil Biology. 2006. V. 42. P. 3–15. https://doi.org/10.1016/j.ejsobi.2006.10.002
- Blouin M., Hodson M.E., Delgado E.A. et al. A review of earthworm impact on soil function and ecosystem services // European J. of Soil Science. 2013. V. 64. P. 161–182. https://doi.org/10.1111/ejss.12025
- Bohlen P.J., Scheu S., Hale C.M. et al. Non-native invasive earthworms as agents of change in northern temperate forests // Frontiers in Ecology and the Environment. 2004. V. 2. P. 427–435. https://doi.org/10.2307/3868431
- Eisenhauer N. The action of an animal ecosystem engineer: identification of the main mechanisms of earthworm impacts on soil microarthropods // Pedobiologia. 2010. V. 53. P. 343–352. https://doi.org/10.1016/j.pedobi.2010.04.003
- Ferlian O., Eisenhauer N., Aguirrebengoa M. et al. Invasive earthworms erode soil biodiversity: a meta-analysis // Journal of Animal Ecology. 2018. V. 87. P. 162–172. https://doi.org/10.1111/1365-2656.12746
- Richardson J.B., Johnston M.R., Herrick B.M. Invasive earthworms Amynthas tokioensis and Amynthas agrestis alter macronutrients (Ca, Mg, K, P) in field and laboratory forest soils // Pedobiologia. 2022. V. 91–92. 150 804. https://doi.org/10.1016/j.pedobi.2022.150804
- Resner K., Yoo K., Sebestyen S.D. et al. Invasive earthworms deplete key soil inorganic nutrients (Ca, Mg, K, and P) in a northern hardwood forest // Ecosystems. 2015. V. 18. № 1. P. 89–102. https://doi.org/10.1007/s10021-014-9814-0
- Chang C.-H., Marie Bartz L.C., Brown G. et al. The second wave of earthworm invasions in North America: biology, environmental impacts, management and control of invasive jumping worms // Biological Invasions. 2021. V. 23. P. 3291–3322. https://doi.org/10.1007/s10530-021-02598-1
- Greiner H.G., Kashian D.R., Tiegs S.D. Impacts of invasive Asian (Amynthas hilgendorfi) and European (Lumbricus rubellus) earthworms in a North American temperate deciduous forest // Biological Invasions. 2012. V. 14. № 10. P. 2017–2027. https://doi.org/10.1007/s10530-012-0208-y
- Marichal R., Martinez A.F., Praxedes C. et al. Invasion of Pontoscolex corethrurus (Glossoscolecidae, Oligochaeta) in landscapes of the Amazonian deforestation arc // Applied Soil Ecology. 2010. V. 46. P. 443–449. https://doi.org/10.1016/j.apsoil.2010.09.001
- Huang C.Y., González G., Hendrix P. Resource utilization by native and invasive earthworms and their effects on soil carbon and nitrogen dynamics in Puerto Rican soils // Forests. 2016. V. 7. 277. https://doi.org/10.3390/f7110277
- Felten D., Emmerling C. Earthworm burrowing behaviour in 2D terraria with single- and multi-species assemblages // Biology and Fertility of Soils. 2009. V. 45. P. 789–797. https://doi.org/10.1007/s00374-009-0393-8
- Ferlian O., Thakur M.P., Gonzalez A. et al. Soil chemistry turned upside down: A meta-analysis of invasive earthworm effects on soil chemical properties // Ecology. 2020.V. 101. № 3. e02936. https://doi.org/10.1002/ecy.2936
- Голованова Е.В. Дождевые черви Омской области // Труды Томского гос. ун-та. Сер. биол. 2010. Т. 275. С. 111–113.
- Голованова Е.В., Князев С.Ю., Бабий К.А., Цвирко Е.И. Распространение чужеродного вида дождевых червей Aporrectodea caliginosa в естественных местообитаниях Омской области // Познание и деятельность: от прошлого к настоящему: Сб. науч. тр. конф. Омск: Изд-во Омск. гос. пед. ун-та, 2020. С. 299–302.
- Golovanova E.V., Kniazev S.Y., Babiy K.A. et al. Dispersal of earthworms from the Rudny Altai (Kazakhstan) into Western Siberia // Ecologica Montenegrina. 2021. V. 45. P. 48–61. https://doi.org/10.37828/em.2021.45.9
- Shekhovtsov S.V., Shipova A.A., Poluboyarova T.V. et al. Delimitation of the Eisenia nordenskioldi complex (Oligochaeta, Lumbricidae) using transcriptomic data // Frontiers in Genetics. 2020. V. 11. e01508. https://doi.org/10.3389/fgene.2020.598196
- Бабий K.A., Князев С.Ю., Голованова Е.В., Абраменко А.С. Влияние экзотического Eisenia nana (Opisthopora, Lumbricidae) на катионный состав трех типов почв юга Западной Сибири (эксперимент в микрокосмах) // Russ. J. of Ecosystem Ecology. 2021. V. 6. № 3. https://doi.org/10.21685/2500-0578-2021-3-4
- Kampichler C., Bruckner A., Kandeler E. Use of enclosed model ecosystems in soil ecology: a bias towards laboratory research // Soil Biology and Biochemistry. 2001. V. 33. № 3. P. 269–275. https://doi.org/10.1016/S0038-0717(00)00140-1
- Ros M.B.H., Hiemstra T., van Groenigen J.W. et al. Exploring the pathways of earthworm-induced phosphorus availability // Geoderma. 2017. V. 303. P. 99–109. https://doi.org/10.1016/j.geoderma.2017.05.012
- IUSS Working Group WRB. World reference base for soil resources. International soil classification system for naming soils and creating legends for soil maps. World Soil Resources Reports. Rome: FAO, 2006. 145 p.
- Булыгина О.Н., Разуваев В.Н., Александрова Т.М. Описание массива данных суточной температуры воздуха и количества осадков на метеорологических станциях России и бывшего СССР (tttr). Свидетельство о государственной регистрации базы данных № 2014620942. URL: http://meteo.ru/data/ 162-temperature-precipitation#описание-массива-данных (Дата обращения 16.12.2022).
- Перель Т.С. Распространение и закономерности распределения дождевых червей фауны СССР. М.: Наука, 1979. 272 с.
- Lê S., Josse J., Husson F. FactoMineR: An R package for multivariate analysis // J. of Statistical Software. 2008. V. 25. № 1. P. 1–18. https://doi.org/10.18637/jss.v025.i01
- Babiy K.A., Kniazev S.Yu., Golovanova E.V. et al. What determines ion content of Lumbricid casts: soil type, species, or ecological group? // Polish J. of Ecology. 2021. V. 69. № 2. P. 96–110. https://doi.org/10.3161/15052249PJE2021.69.2.003
- Frazao J., de Goede R.G.M., Capowiez Y., Pulleman M.M. Soil structure formation and organic matter distribution as affected by earthworm species interaction and crop residues placement // Geoderma. 2019. V. 338. P. 453–463. https://doi.org/10.1016/j.geoderma.2018.07.033
- Aira M., Pérez-Losada M., Crandall K. A., Domínguez J. Host taxonomy determines the composition, structure, and diversity of the earthworm cast microbiome under homogenous feeding conditions // FEMS Microbiology Ecology. 2022. V. 98. № 9. fiac093. https://doi.org/10.1093/femsec/fiac093
- Sapkota R., Santos S., Farias P. et al. Insights into the earthworm gut mult-kingdom microbial communities // Science of the Total Environment. 2020. V. 727. e138301. https://doi.org/10.1016/j.scitotenv.2020.138301
- Price-Christenson G.J., Johnston M.R., Herrick B.M., Yannarell A.C. Influence of invasive earthworms (Amynthas spp.) on Wisconsin forest soil microbial communities and soil chemistry // Soil Biology and Biochemistry. 2020. V. 149. 107955. https://doi.org/10.1016/j.soilbio.2020.107955
- Canti M.G., Piearce T.G. Morphology and dynamics of calcium carbonate granules produced by different earthworm species // Pedobiologia. 2003. V. 47. P. 511–521. https://doi.org/10.1078/0031-4056-00221
- Wu J., Zhang C., Xiao L. et al. Impacts of earthworm species on soil acidification, Al fractions, and base cation release in a subtropical soil from China // Environmental Science and Pollution Research. 2020. V. 27. № 27. P. 33446–33457. https://doi.org/10.1007/s11356-019-05055-8
- Uvarov A.V. Inter- and intraspecific interactions in lumbricid earthworms: Their role for earthworm performance and ecosystem functioning // Pedobiologia. 2009. V. 53. № 1. P. 1–27. https://doi.org/10.1016/j.pedobi.2009.05.001
- Kuzyakov Y., Blagodatskaya E. Microbial hotspots and hot moments in soil: Concept & review // Soil Biology Biochemistry. 2015. V. 83. P. 184–199. https://doi.org/10.1016/j.soilbio.2015.01.025
- Ahmed N., Al-Mutairi K.A. Earthworms effect on microbial population and soil fertility as well as their interaction with agriculture practices // Sustainability. 2022. V. 14. № 13. 7803. https://doi.org/10.3390/su14137803
- Kniazev S.Y., Kislyi A.A., Bogomolova I.N. et al. Territorial heterogeneity of the earthworm population (Opisthopora, Lumbricidae) of Omsk oblast and environmental factors: A quantitative assessment of the relationship // Contemporary Problems of Ecology. 2022. V. 15. P. 484–493. https://doi.org/10.1134/S1995425522050079
- Nguyen Tu T., Vidal A., Quénéa K. et al. Influence of earthworms on apolar lipid features in soils after 1 year of incubation // Biogeochemistry. 2020. V. 147. P. 243–258. https://doi.org/10.1007/s10533-020-00639-w
Supplementary files






