Parameterization of Water Transparency in Natural Water Bodies
- Authors: Golosov S.D.1, Zverev I.S.1, Terzhevik A.Y.2
-
Affiliations:
- Institute of Limnology, Russian Academy of Sciences, a Structural Department of the St. Petersburg Federal Research Center, Russian Academy of Sciences, 196105, St. Petersburg, Russia
- Institute of Water Problems of the North, Karelian Research Center, Russian Academy of Sciences, 185910, Petrozavodsk, Russia
- Issue: Vol 50, No 5 (2023)
- Pages: 613-621
- Section: ИССЛЕДОВАНИЯ ПРОЦЕССОВ ВЗАИМОДЕЙСТВИЯ СУШИ С АТМОСФЕРОЙ И ГИДРОЛОГИЧЕСКИХ ПОСЛЕДСТВИЙ ИЗМЕНЕНИЯ КЛИМАТА
- URL: https://ogarev-online.ru/0321-0596/article/view/140802
- DOI: https://doi.org/10.31857/S0321059623600163
- EDN: https://elibrary.ru/RZJKLT
- ID: 140802
Cite item
Full Text
Abstract
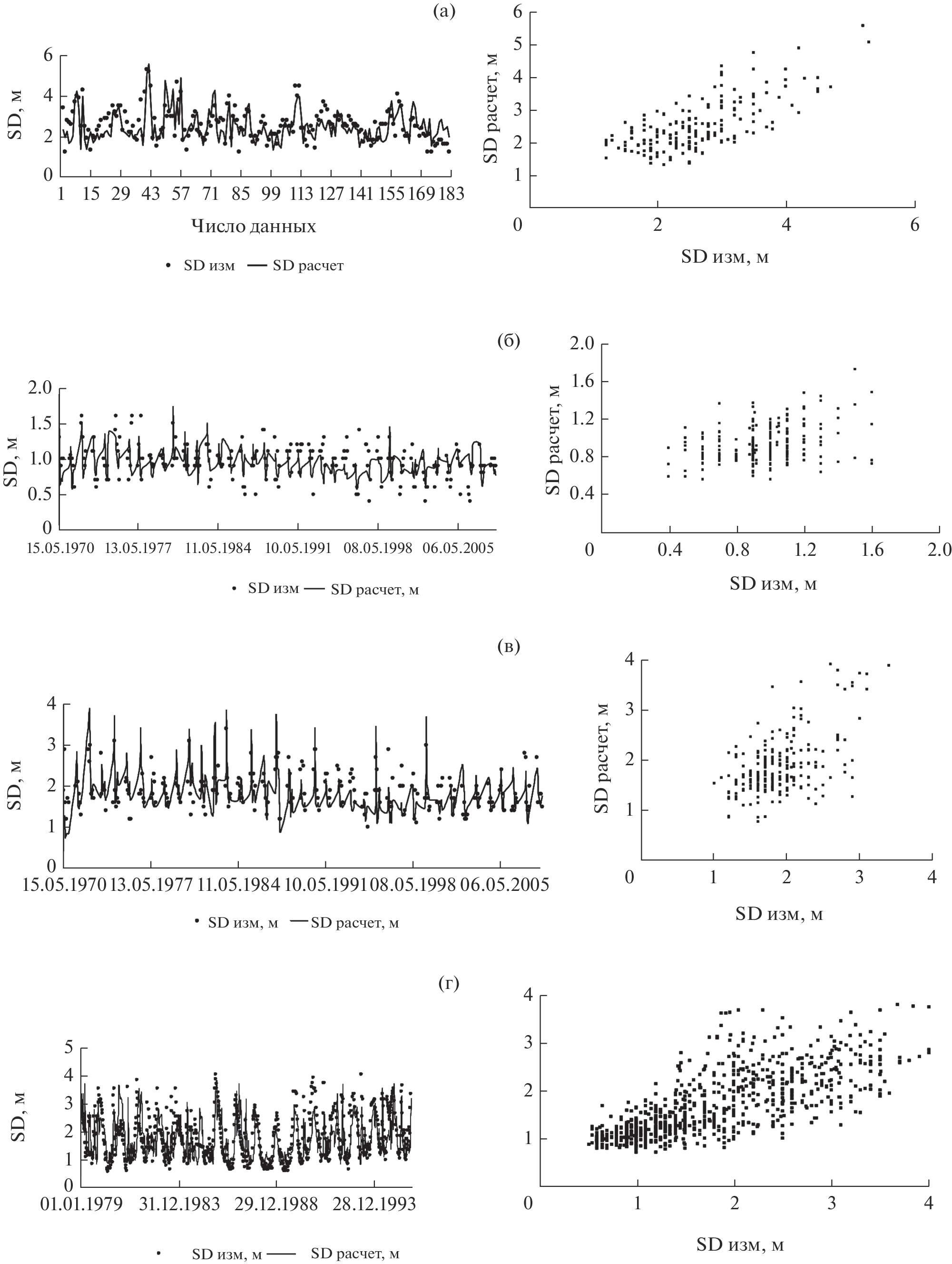
A new parameterization is presented to describe the space and time variations of Secchi depth depending on the integral phytoplankton biomass and surface water temperature. The parameterization was verified against field data in lakes with different types of physiographic and chemical–biological characteristics—from deep oligotrophic northern regions of Lake Ladoga to shallow hypereutrophic Pskovskoe Lake. The results of verification show that the new parameterization can be used for solving a wide range of either hydrothermodynamic or hydrobiological problems. In particular, in the simulation of the thermal regime of water bodies, the proposed parameterization can be used to evaluate the coefficient of extinction of solar radiation. In the development of models to describe aquatic ecosystem functioning, the new parameterization can be used to evaluate the thickness of the trophogenic layer and phytoplankton primary production.
About the authors
S. D. Golosov
Institute of Limnology, Russian Academy of Sciences, a Structural Department of the St. Petersburg Federal Research Center, Russian Academy of Sciences, 196105, St. Petersburg, Russia
Email: sergey_golosov@mail.ru
Россия, 196105,
Санкт-Петербург
I. S. Zverev
Institute of Limnology, Russian Academy of Sciences, a Structural Department of the St. Petersburg Federal Research Center, Russian Academy of Sciences, 196105, St. Petersburg, Russia
Email: sergey_golosov@mail.ru
Россия, 196105,
Санкт-Петербург
A. Yu. Terzhevik
Institute of Water Problems of the North, Karelian Research Center, Russian Academy of Sciences, 185910, Petrozavodsk, Russia
Author for correspondence.
Email: sergey_golosov@mail.ru
Россия, 185910, Петрозаводск
References
- Бульон В.В. Первичная продукция планктона внутренних водоемов. Л.: Наука, 1983. 149 с.
- Винберг Г.Г. Первичная продукция водоемов. Минск, 1960. 329 с.
- Ерлов Н.Г. Оптика моря. Л.: Гидрометеоиздат, 1980. 248 с.
- Ладога / Под ред. В.А. Румянцева, С.А. Кондратьева. СПб.: Нестор-История, 2013. 468 с.
- Минеева Н.М. Первичная продукция планктона в водохранилищах Волги. Ярославль: Принтхаус, 2009. 279 с.
- Минеева Н.М. Растительные пигменты в воде Волжских водохранилищ. М.: Наука, 2004, 156 с.
- Минеева Н.М. Содержание фотосинтетических пигментов в водохранилищах Верхней Волги (1994–2003 гг.) // Биология внутренних вод. 2006. №1. С. 31–40.
- Одум Ю. Основы экологии. М.: Мир, 1975. 740 с.
- Секи Х. Органические вещества в водных экосистемах. Л.: Гидрометеоиздат, 1986. 199 с.
- Трифонова И.С. Экология и сукцессия озерного фитопланктона. Л.: Наука, 1990. 178 с.
- Хатчинсон Д. Лимнология. М.: Прогресс, 1969. 591 с.
- Хендерсон-Селлерс Б. Инженерная лимнология. Л.: Гидрометеоиздат, 1987. 335 с.
- Buiteveld H. A model for calculation of diffuse light attenuation (PAR) and Secchi depth // Neth. J. of Aquat. Ecol.1995. № 29. P. 55–65.
- Bukata R.P., Jerome J.H., Kondratyev K.Y., Pozdnyakov D.V. Optical Properties and Remote Sensing of Inland and Coastal Waters. CRC Press. 1995. 362 p.
- Carlson R.E. A trophic state index for lakes // Limnol. Oceanogr. 1977. № 22. P. 361.
- Davies-Colley R.J., VantW.N., Smith D.G. Colour and Clarity of Natural Waters: Science and Management of Optical Water Quality. Caldwell, New Jersey: Blackburn Press, 2003. 310 p.
- Effler S.W., Gelda R.K., Bloomfield J.A., Johnson D.L. 2001. Modeling the effects of tripton on water clarity: Lake Champlain // J. Water Resour. Plan. Manage. −ASCE 127. 2001. P. 224– 234
- Effler S.W., Perkins M. Limnological and Engineering Analysis of a Polluted Urban Lake / Ed. S.W. Effler. New York: Springer Ser. Environ. Manage. Springer-Verlag, 1996. 832 p.
- Gieskes W.W.C., Veth C., Woehrmann A., Graefe M. Secchie disk visibility world record shattered // Eos. 1986. № 68. P. 123.
- Goericke R., Welschmeyer N.A. Response of Sargasso Sea phytoplankton biomass, growth rates and primary production to seasonally varying physical forcing // J. Plankton Res. 1998. V. 20. № 12. P. 2223–249. https://doi.org/10.1093/plankt/20.12.2223
- Golosov S., Zverev I., TerzhevikA. et al. On the parameterization of phytoplankton primary production in water ecosystem models // J. Phys. Conf. Ser. 2131 032079. 2021. https://doi.org/10.1088/1742-6596/2131/3/032079
- Hakanson L. Models to Predict Secchi Depth in Small Glacial Lakes // Aquat. Sci. 1995. № 57. P. 31–53.
- Hakanson L., Boulion V.V. A model to predict how individual factors influence Secchi depth variations among and within lakes // Int. Rev. Hydrobiol. 2003. № 88. P. 212–232.
- Hedström K.S. Technical manual for a coupled sea-ice/ocean circulation model. New Brunswick, NJ: Rutgers Univ. Rep., 2000. 110 p.
- Lee Z., Shang S., Du K., Lin G., Liu T., Zoffoli L. Estimating the transmittance of visible solar radiation in the upper ocean using Secchi disk observations // J. Geophys. Res.: Oceans. 2019. № 124. P. 1434–1444. https://doi.org/10.1029/2018JC014543
- LewisM.R., CarrM., Feldman G., Esaias W., McMclain C. Influence of penetrating solar radiation on the heat budget of the equatorial Pacific Ocean // Nature. 1990. № 347 (6293). P. 543–545. https://doi.org/10.1038/347543a0
- Margalef R. Typology of reservoirs // Verh. Int. Ver. Limnol. 1975. V. 19. № 3. P. 1847–1848.
- Mellor G.L. Users guide for a threedimensional, primitive equation, numerical ocean model. Princeton, NJ: Princeton Univ. Rep., 2002. 42 p.
- Oberhuber J.M. Simulation of the Atlantic circulation with a coupled sea ice-mixed layer-isopycnal general circulation model. Part I: Model description // J. Phys. Oceanogr. 1992. № 23. P. 808–829.
- Poole H.H., Atkins W.R.G. Photo-electric measurement of submarine illumination throughout the year // J. Mar. Biol. Assoc. 1929. № 16. P. 297–324.
- Talling J.F. Comparative laboratory and field studies of photosynthesis by a marine planktonic diatom // Limnol. Oceanogr. 1960. V. 5. № 1. P. 62–77.
- Sathyendranath S., Gouveia A.D., Shetye S.R., Ravindran P., Platt T. Biological control of surface temperature in the Arabian Sea // Nature. 1991. № 349 (6304). P. 54–56. https://doi.org/10.1038/349054a0
- Swift T.J., Perez-Losada J., Schladow S.G., Reuter J.E., Jassby A.D., Goldman C.R. Water clarity modeling in Lake Tahoe: Linking suspended matter characteristics to Secchi depth // Aquat. Sci. 2006. № 68. P. 1–15 https://doi.org/10.1007/s00027-005-0798-x
- Van Duin E.H.S., Blom G., Los F.J., Maffione R., Zimmerman R., Cerco C.F., Dortch M., Best E.P.H. Modeling underwater light climate in relation to sedimentation, resuspension, water quality and autotrophic growth // Hydrobiologia. 2001. № 444. P. 25–42.
- Weidemann A.D., Bannister T.T. Absorption and scattering coefficients in Irondequoit Bay // Limnol. Oceanogr. 1986. № 31. P. 567–583.
- Westlake D.F., Adams M.S., Bindloss M.E. et al. Primary production // The Functioning of Freshwater Ecosystems. IBP 22. Cambridge: Univ. Press, 1980. P. 141–246.
Supplementary files






