Assessing Inundation Risks and Protection of Residential Territories in River Floodplains
- Authors: Belikov V.V.1, Borisova N.M.1, Rumyantsev A.B.1
-
Affiliations:
- Water Problems Institute, Russian Academy of Sciences, 119333, Moscow, Russia
- Issue: Vol 50, No 1 (2023)
- Pages: 39-52
- Section: ВОДНЫЕ РЕСУРСЫ И РЕЖИМ ВОДНЫХ ОБЪЕКТОВ
- URL: https://ogarev-online.ru/0321-0596/article/view/134838
- DOI: https://doi.org/10.31857/S0321059623010042
- EDN: https://elibrary.ru/EDJSXK
- ID: 134838
Cite item
Full Text
Abstract
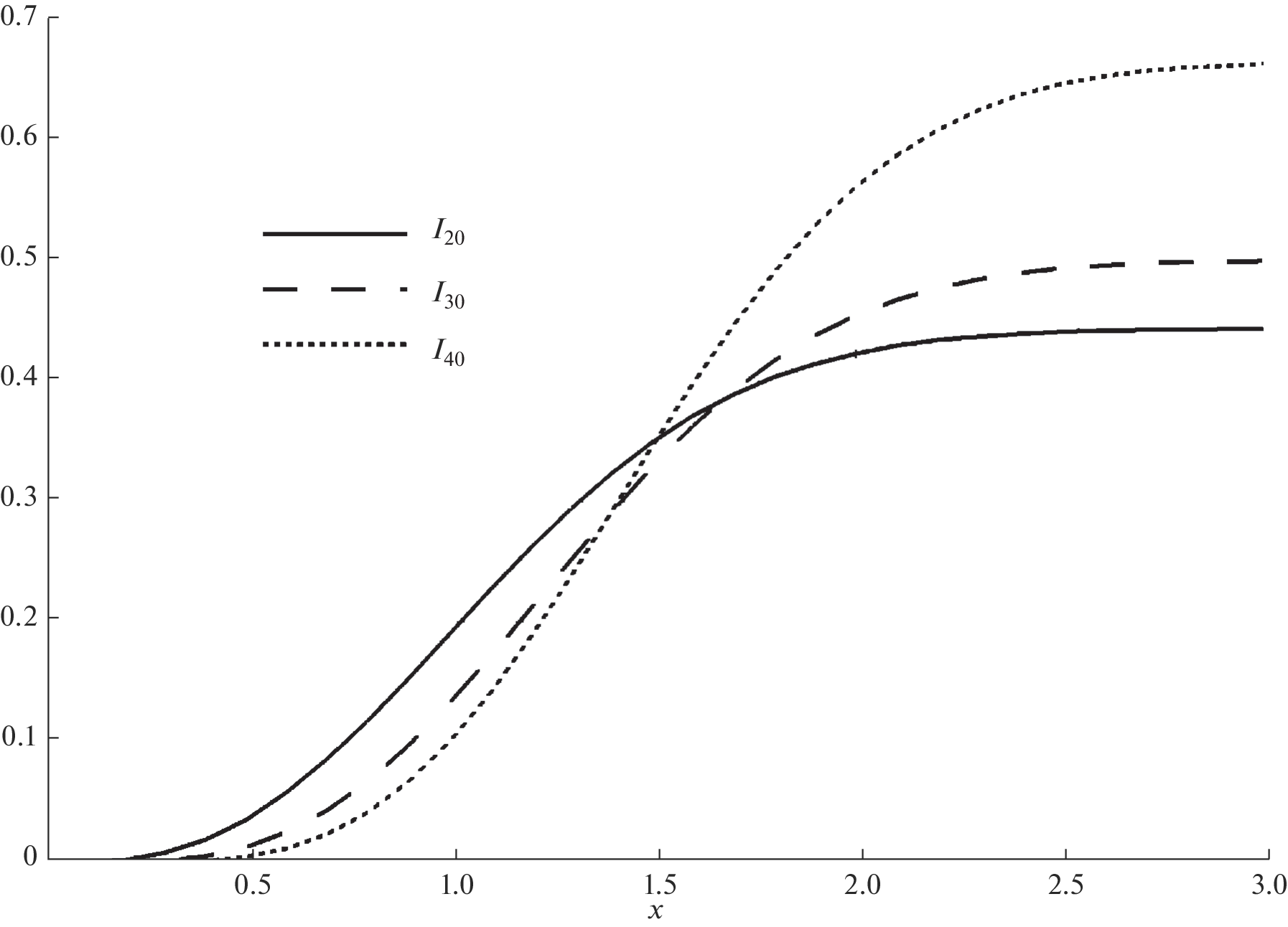
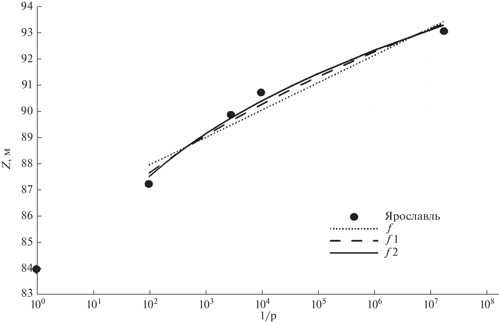
It is shown that the likely damage caused by inundation of residential areas and objects of higher hazard on river floodplains can be evaluated taking into account the inundation depth. A procedure of constructing inundation probability curves with the use of two-dimensional hydrodynamic models (based on the STREAM 2D CUDA software system (Russia)) and field observation data is considered. Data from hydrological gages in several rivers are used to show that the inundation recurrence curves can be approximated by some logarithmic functions. Formulas for determining the inundation risks of residential areas and integral risk characteristics are derived and substantiated. It is shown that, on the average for the objects considered in the study, the maximal risks correspond to inundation levels with exceedance probability of ~2%, and that the effective protection of residential areas in most cases should by designed for inundation levels with much smaller exceedance probability.
About the authors
V. V. Belikov
Water Problems Institute, Russian Academy of Sciences, 119333, Moscow, Russia
Email: borisovanm@mail.ru
Россия, 119333, Москва
N. M. Borisova
Water Problems Institute, Russian Academy of Sciences, 119333, Moscow, Russia
Email: borisovanm@mail.ru
Россия, 119333, Москва
A. B. Rumyantsev
Water Problems Institute, Russian Academy of Sciences, 119333, Moscow, Russia
Author for correspondence.
Email: borisovanm@mail.ru
Россия, 119333, Москва
References
- Алексюк А.И., Беликов В.В. Моделирование течений мелкой воды с областями обмеления и разрывами дна // Журн. вычислит. математики и матем. физ. 2017. Т. 57. № 2. С. 316–338.
- Алексюк А.И., Беликов В.В. Программный комплекс STREAM 2D CUDA для расчета течений, деформаций дна и переноса загрязнений в открытых потоках с использованием технологии CUDA (на графических процессорах NVIDIA) // Свид. гос. регистрации программы для ЭВМ № 2 017 660 266.
- Алексюк А.И., Малахов М.А., Беликов В.В. Решатель задачи Римана для уравнений мелкой воды с разрывным дном // Свид. гос. регистрации программы для ЭВМ № 2 020 660 617. 2020.
- Беликов В.В., Алексюк А.И. Модели мелкой воды в задачах речной гидродинамики. М.: РАН, 2020. 346 с. ISBN 978-5-907366-10-7
- Беликов В.В., Алексюк А.И., Борисова Н.М., Глотко А.В., Румянцев А.Б. Оценка изменения уровней затопления поймы Нижнего Дона под влиянием хозяйственной деятельности. Ретроспективное гидродинамическое моделирование // Вод. ресурсы. 2022. Т. 49. № 3.
- Беликов В.В., Алексюк А.И., Борисова Н.М., Норин С.В., Румянцев А.Б. Об определении отметок промплощадок атомных электростанций, расположенных в поймах рек // Гидротех. стр-во. 2019. № 3. С. 14–24.
- Беликов В.В., Норин С.В., Школьников С.Я. О прорыве дамб польдеров // Гидротех. стр-во. № 12. 2014. С. 25–34.
- Методика определения размера вреда, который может быть причинен жизни, здоровью физических лиц, имуществу физических и юридических лиц в результате аварии судоходных гидротехнических сооружений. Утверждена Приказом МЧС России и Минтранса России от 02.10.2007. № 528/143.
- Рекомендации Росатома. Стандарт организации. Объекты использования атомной энергии. Учет опасных природных процессов и явлений при выборе площадки размещения. АЭС СТО СРО-Г 60542954 00005 -2015.
- Румянцев А.Б., Беликов В.В. Оценка рисков воздействия экстремальных гидрометеорологических явлений и техногенных паводков на объекты повышенной опасности // Сб. науч. тр. Всерос. науч. конф. “Научное обеспечение реализации “Водной стратегии Российской Федерации на период до 2020 г.”. Петрозаводск, 2015. Т. 2. С. 38–44.
- Румянцев А.Б., Васильева Е.С., Беликов В.В. Интегральный подход к оценке и минимизации рисков затопления селитебных территорий // Сб. науч. тр. Всерос. науч. конф. с международ. участием “Научные проблемы оздоровления Российских рек и пути их решения”. М.: Студия Ф1, 2019. С. 253–258.
- СП 42.13330.2011 Градостроительство. Планировка и застройка городских и сельских поселений. Актуализированная редакция СНиП 2.07.01-89*. 2011.
- Aleksyuk A.I., Belikov V.V. The uniqueness of the exact solution of the Riemann problem for the shallow water equations with discontinuous bottom // J. Computational Physics. 2019. V. 390. P. 232–248. https://doi.org/10.1016/j.jcp.2019.04.001
- Aleksyuk A.I., Malakhov M.A., Belikov V.V. The exact Riemann solver for the shallow water equations with a discontinuous bottom // J. Computational Physics. V. 450. P. 110801. 2022. https://doi.org/10.1016/j.jcp.2021.110801
- Belikov V.V., Aleksyuk A.I., Borisova N.M., Vasilieva E.S., Norin S.V., Rumyantsev A.B. Justification of Hydrological Safety Conditions in Residential Areas Using Numerical Modelling // Water Resour. 2018. V. 45. Suppl. 1. P. S39–S49. ISSN 0097-8078. https://doi.org/10.1134/S0097807818050305
- Belikov V.V., Borisova N.M., Glotko A.V. Numerical Hydrodynamic 2D-Simulation of the Inundation of Tulun Town on the Iya R. during Flood 2019 // Water Resour. 2021. V. 48. № 5. P. 713–725. https://doi.org/10.1134/S0097807821040023
Supplementary files











