Role of membrane proteins β- and α-structures in plasmalemm structure change
- Authors: Mokrushnikov P.V.1, Rudyak V.Y.1,2
-
Affiliations:
- Novosibirsk State University of Architecture and Civil Engineering (Sibstrin)
- Institute of Thermophysics
- Issue: Vol 90, No 1 (2025)
- Pages: 87-106
- Section: Articles
- URL: https://ogarev-online.ru/0320-9725/article/view/287145
- DOI: https://doi.org/10.31857/S0320972525010064
- EDN: https://elibrary.ru/CPSLIG
- ID: 287145
Cite item
Abstract
Changes in the structure of plasma membranes affect the functions of membranes and cells. Some of these changes can lead to the development of pathologies of the body, which makes it actually to study the effect of changes in the structure of membranes on their functions. It has now been established that when stress hormones and androgens interact with plasma membranes, their structure changes. At the same time, interactions between proteins and lipids change in plasmalemmas, and a fixed quasi-periodic network of protein-lipid domains associated with the cytoskeleton is formed. The initiators of the formation of protein-lipid domains are membrane proteins, which have changed their secondary structure during the interaction of the membrane with hormones. However, it is still unclear exactly what changes in the secondary structure of membrane proteins contribute to the formation of protein-lipid domains around them. The aim of this work was to establish these secondary structures of membrane proteins. To achieve this goal, changes in the structure of membranes during their interaction with dehydroepiandrosterone, cortisol, androsterone, testosterone, and adrenaline were studied. In this work, a fluorescent method for measuring the relative microviscosity of membranes using a pyrene probe was used to study changes in the membrane structure. The change in the secondary structure of membrane proteins during structural transitions in membranes was studied by measuring the IR absorption spectra of membranes. It has been established that the initiators of the appearance of protein-lipid domains in plasma membranes are membrane proteins, in which, after interaction with hormones, the proportion of β-structures increases. At the same time, the appearance of new α-helices in membrane proteins does not enhance the attraction between membrane proteins and protein-lipid domains are not formed. On the contrary, the appearance of a large number of α-helices in membrane proteins can lead to a decrease in the microviscosity of the lipid bilayer.
Full Text
Принятые сокращения: ДЭА – дегидроэпиандростерон; Df – интенсивность возбуждения собственной флуоресценции мембранных белков; F – интенсивность испускания собственной флуоресценции мембранных белков; I – интенсивность испускания флуоресценции мембран; L – относительная микровязкость мембран; Lo и Ld – жидко-упорядоченное и -неупорядоченное состояния липидов соответственно.
ВВЕДЕНИЕ
Изменение структуры плазматических мембран влияет на функции мембран и клеток. Под изменением структуры плазматических мембран понимается изменение вторичной, третичной и четвертичной структур мембранных белков, фаз липидного бислоя, перераспределение белков и липидов по бислою, изменение морфологии мембран. Некоторые из этих изменений могут приводить к развитию патологий организма. С другой стороны, развитие тех или иных патологий может вызывать изменения в структуре плазмалемм. Таким образом, изучение влияния изменения структуры плазматических мембран на их функции актуально не только с точки зрения фундаментальной науки, но и чрезвычайно важно с практической точки зрения.
Хорошей моделью для исследования влияния изменения структуры плазматических мембран на их функции является мембрана эритроцита, которую можно легко выделить и которая имеет строение, подобное многим другим плазматическим мембранам. Изучению этой модели посвящено много работ. Например, описание возрастных изменений структуры мембран эритроцитов представлено в обзорах Боровской и др. [1] и Боронихиной и др. [2]. Основными факторами, повреждающими структуру эритроцитов и нарушающими их жизнедеятельность, являются активные формы кислорода, воздействию которых эритроциты постоянно подвергаются при 4-месячном функционировании в кровотоке. Следствиями окислительного стресса являются: нарушение водно-электролитного баланса стареющих эритроцитов; уменьшение их объёма, площади поверхности и отношения площадь/объём; увеличение концентрации гемоглобина и вязкости цитоплазмы. Всё это ведёт к разрушению цитоскелета и его связей с плазмалеммой, снижению возможности мембраны деформироваться в микрокапиллярах и способности красной клетки выполнять свои функции [1, 2].
Ранее проведены исследования влияния изменения структуры плазматических мембран на их функции на примере взаимодействия гормонов стресса и андрогенов с мембранами эритроцитов, при котором происходит изменение структуры последних [3–5]. При этом в плазмалеммах меняются взаимодействия между белками и липидами. Около мембранных белков, изменивших свою вторичную структуру, образуется неподвижная квазипериодическая сеть белок-липидных доменов, связанная с цитоскелетом [3–5]. В образовавшихся доменах липиды находятся в жидко-упорядоченном состоянии (Lo), между доменами липиды находятся в жидко-неупорядоченном состоянии (Ld) [3–5].
В результате таких структурных изменений меняется поле механических напряжений в плазматической мембране, что ведёт к появлению складчатости мембраны [6–8], изменению функций мембран и красных клеток. Например, при увеличении концентрации гормонов во взвеси мембран эритроцитов происходит увеличение микровязкости мембран и увеличение механических напряжений сжатия в них [9]. Из-за этого активность Na+,K+-ATPазы этих мембран при увеличении концентрации гормонов во взвеси сначала увеличивается, достигает максимума, затем начинает уменьшаться [9]. В результате меняются концентрации ионов Na+ и K+ на внутренней и внешней сторонах мембраны, меняются как разность электрохимических потенциалов на внутренней и внешней сторонах мембраны, так и дзета-потенциал эритроцита, что влияет на его прохождение по микрокапиллярному руслу [10, 11].
При прохождении эритроцитов по микрокапиллярному руслу, когда на его мембрану действуют одновременно механические поперечные усилия сжатия и продольные усилия растяжения, в жирнокислотных хвостах фосфолипидов могут возникать кинки-солитоны. Как показано в работе Mokrushnikov et al. [12], эти кинки-солитоны могут усиливать перенос молекул газа через мембрану.
Квазипериодическая сеть белок-липидных доменов, появившаяся в плазматической мембране в результате структурных изменений, представляет собой неоднородности, в которых коэффициент диффузии липидов ниже, чем в среднем по мембране. В результате меняется характер латеральной диффузии липидов вдоль цитоплазматической мембраны. В однородной мембране она представляет собой простую броуновскую диффузию. После появления сети белок-липидных доменов она становится нелинейной, могут появиться промежутки времени, когда вместе с диффузией существует и адвекция [13].
Инициаторами образования белок-липидных доменов в плазматической мембране являются мембранные белки, которые поменяли свою вторичную структуру при взаимодействии мембран с гормонами [3–5]. Вместе с тем всё ещё не ясно, какие именно изменения во вторичной структуре мембранных белков способствуют образованию вокруг них белок-липидных доменов. Целью данной работы является установление этих изменений во вторичной структуре мембранных белков.
Для достижения поставленной цели в представленной работе in vitro исследуются изменения структуры мембран эритроцитов крыс при связывании их с дегидроэпиандростероном (ДЭА), кортизолом, андростероном, тестостероном и адреналином. Возникающие при этом изменения структуры мембранных белков исследовали с помощью измерения собственной флуоресценции мембранных белков. Изменения структуры липидного бислоя мембран изучали с применением флуоресцентного метода измерения микровязкости мембран с помощью зонда пирен. Изменение вторичной структуры мембранных белков исследовали методом измерения поглощения мембранами ИК-излучения.
С помощью измерения зависимости микровязкости мембран от концентрации гормона во взвеси мембран определяли гормоны, взаимодействие с которыми вело к образованию в мембранах сети белок-липидных доменов. Также определяли гормон, взаимодействие с которым не вело к образованию в мембранах сети белок-липидных доменов. Далее, анализируя результаты ИК-спектроскопии мембран эритроцитов, находили различия в изменении вторичной структуры мембранных белков при взаимодействии мембран с этими гормонами. Сопоставляя полученные результаты, удалось выявить вторичную структуру мембранных белков, которая способствует образованию белок-липидных доменов в плазматической мембране.
МАТЕРИАЛЫ И МЕТОДЫ
Выделение мембран эритроцитов. Основным материалом для проведения экспериментов являлись мембраны эритроцитов крыс. В представленной работе для их выделения использовали метод Доджа, который представляет собой осмотический гемолиз эритроцитов и отмывку мембран в гипотоническом буфере [14]. Мембраны эритроцитов крыс получали по следующей методике. Самцы крыс линии Wistar подвергались декапитации под лёгким нембуталовым наркозом. Крысы имели возраст 3 месяца, вес – 250–300 г. Полученную свежесобранную кровь разбавляли вдвое изотоническим фосфатным буфером (рН 7,4), содержащим 44 мМ КН2РО4 и 136 мМ Na2НРО4. После этого проводили осаждение красных клеток с помощью центрифугирования в течение 10 мин при 4 °С и 330 g (rср 6 см). Надосадочную жидкость сливали, и процедуру промывки повторяли ещё 2 раза. Мембраны эритроцитов были получены после гемолиза эритроцитов в гипотоническом фосфатном буфере (рН 7,4), содержащем 2,75 мM KH2РО4 и 8,5 мM Na2НРО4. Мембраны осаждали центрифугированием в течение 10 мин при 4 °С и 5500 g (rср 6 см), надосадочную жидкость сливали. Процедуру повторяли 4 раза. Получение и хранение мембран производили при 4 °C.
Методика исследования препарата мембран. На стекло светового микроскопа «Биомед-6» («Биомед», Россия) для наблюдения в проходящем свете методом фазового контраста наносили каплю препарата. После добавления в центр препарата иммерсионного масла при увеличении 1000× проводили исследование образца.
Выделение из мембран эритроцитов липидов. Для анализа спектра испускания собственной флуоресценции мембран необходимы данные о спектре испускании собственной флуоресценции липидов мембран. Для этого из мембран эритроцитов крыс выделяли липиды по следующей методике. Готовили смесь хлороформа и взвеси мембран в объёмном соотношении 10/1. После встряхивания содержимого пробирки удаляли белковый осадок фильтрацией. Чтобы удалить остатки белков из надосадочной жидкости, добавляли дистиллированную воду в соотношении 1/10. После встряхивания в течение 5 мин смесь центрифугировали в течение 10 мин при 4 °С и 870 g (rср 6 см). В результате центрифугирования происходит разделение на две фазы: верхнюю (водную), содержащую белок, и нижнюю (органическую), содержащую липидную фракцию. Верхнюю фазу вместе с остальным белковым осадком удаляли пипеткой; процедуру удаления белков повторяли 2 раза. Полученный осадок представлял собой мембранные липиды. Взвесь липидов из шприца впрыскивали в фосфатный гипотонический буфер, в котором они образовывали липосомы. К этой взвеси липосом добавляли гормоны в необходимой концентрации и проводили измерения спектров испускания и возбуждения собственной флуоресценции гормонов и липидов.
Методика измерения собственной флуоресценции мембранных белков. В представленной работе измеряли зависимости интенсивности собственной флуоресценции мембранных белков (F) на длине волны 332 нм при длине волны возбуждения 281 нм от удельной концентрации гормонов во взвеси мембран эритроцитов. Удельная концентрация гормона во взвеси мембран эритроцитов вычисляется по формуле:
c = Ch/Cpep, (1)
где Сh – молярная концентрация гормона во взвеси, Cрep – массовая концентрация мембранных белков во взвеси [15].
Массовую концентрацию мембранных белков (Срep) определяли методом Варбурга и Кристиана по изменению оптической плотности взвеси [16]. В разных пробах она менялась от 0,050 мг/мл до 0,250 мг/мл. В представленной работе в экспериментальных результатах грубые ошибки отсутствуют, систематические ошибки исключены, а неисключённая систематическая погрешность (НСП) оценки любой измеряемой величины ничтожно мала по сравнению с доверительными границами случайной погрешности оценки измеряемой величины. Делалось три измерения массовой концентрации белка (Cpep) в одной и той же взвеси. По распределению Стьюдента вычисляли оценку и доверительные границы погрешности оценки Cpep. Доверительные границы погрешности оценки Cpep в относительной форме равны ± 2% при доверительной вероятности 0,95.
В работе использовались гормоны производства фирмы «Sigma-Aldrich», США. Гормоны, кроме адреналина, предварительно растворяли в смеси диметилсульфоксид–этанол (1/1 по объёму). Концентрация каждого гормона в исходном маточном растворе составляла 1 мМ. При необходимости данный раствор разбавлялся фосфатным гипотоничным буфером до нужной концентрации. Раствор адреналина с концентрацией 1 мкМ предварительно готовили в гипотоническом фосфатном буфере. Далее, этот маточный раствор добавлялся в образец для получения нужной концентрации гормона (с) в образце. Доверительные границы погрешности оценки молярной концентрации гормонов (Сh) в относительной форме равны ± 2% при доверительной вероятности 0,95. В представленной работе используется формула для вычисления доверительной границы погрешности оценки измеряемой величины А при косвенных измерениях (2), согласно рекомендациям Государственной системы обеспечения единства измерений [17]:
, (2)
где Ã = f (ã1,…,ãm) – результат измерения Ã в точке (ã1,…,ãm); f (a1,…,am) – нелинейная функциональная зависимость измеряемой величины А от измеряемых аргументов ai; ∂f/∂ai – первая производная от функции f по аргументу ai, вычисленная в точке (ã1,…,ãm); Δ(ãi) – доверительная граница погрешности оценки аргумента ai.
Используя формулы (1) и (2), можно вычислить доверительные границы погрешности оценки измерения удельной концентрации гормонов (с) в относительной форме, которые равны ± 3%.
Если мембранные белки взаимодействуют с гормонами, происходит изменение их конформации. Меняется микроокружение около радикалов мембранных белков, меняются спектры возбуждения и испускания собственной флуоресценции мембранных белков. Измерения этих спектров проводили на спектрофлуориметре SHIMADZU RF-5301(PC)SCE («SHIMADZU», Япония). В кварцевую кювету размером 1 × 1 × 4 см вносили 3 мл гипотонического фосфатного буфера, содержащего 2,75 мM KH2РО4 и 8,5 мM Na2НРО4 (рН 7,4), мембраны эритроцитов и необходимое количество гормонов. Кювету с образцом помещали в термостат спектрофлуориметра на 10 мин. Выход температуры в кювете на стационарный режим контролировался электронным термометром. Во всех экспериментах температура в кювете была (36,0 ± 0,1) °С. После выхода температуры в кювете на стационарный режим снимался спектр испускания в диапазоне 300 нм ≤ λ ≤ 400 нм при длине волны возбуждения 281 нм. При этом максимум интенсивности испускания приходился на длину волны 332 нм. Среднее значение максимума интенсивности собственной флуоресценции мембран получали графически после непрерывного измерения в течение 4 мин; спектральная ширина щелей – 1,5/10. Далее, из максимума интенсивности флуоресценции мембран с гормонами вычитали интенсивность флуоресценции липидов с гормонами на длине волны 332 нм (при длине волны возбуждения 281 нм) и получали интенсивность собственной флуоресценции мембранных белков F, инкубированных с гормонами. Измерения интенсивностей собственной флуоресценции F при каждом значении концентрации гормона (с) во взвеси проводили три раза. Используя распределение Стьюдента, вычисляли оценку F при каждом значении концентрации гормона (с) во взвеси и доверительные границы погрешности F с доверительной вероятностью 0,95. Доверительные границы погрешности оценки F в относительной форме оказались равны ± 3%.
Строили зависимость величины тушения собственной флуоресценции мембранных белков, определяемой по формуле (3), от удельной концентрации гормонов (с):
(3)
где Fmax – интенсивность собственной флуоресценции мембранных белков, когда во взвеси нет гормонов; ΔF – величина тушения флуоресценции мембранного белка, выраженная в долях от Fmax. Чем выше ΔF, тем больше тушение флуоресценции мембранного белка.
При взаимодействии адреналина с мембранами измеряли интенсивность возбуждения собственной флуоресценции мембран при λ = 228 нм и длине волны испускания 332 нм. Далее, из этой интенсивности возбуждения флуоресценции мембран вычитали интенсивность возбуждения флуоресценции липидов с адреналином при λ = 228 нм (длина волны испускания – 332 нм) и получали интенсивность возбуждения флуоресценции мембранных белков (Df), инкубированных с адреналином. Измерения интенсивностей возбуждения собственной флуоресценции мембранных белков (Df) при каждом значении концентрации гормона (с) во взвеси проводили три раза. Используя распределение Стьюдента, вычисляли оценку Df при каждом значении концентрации гормона (с) во взвеси и доверительные границы погрешности Df с доверительной вероятностью 0,95. Доверительные границы погрешности оценки Df в относительной форме оказались равны ± 3%.
По формуле (3) находили величину тушения возбуждения флуоресценции мембранных белков (ΔDf), заменяя в ней Fmax на Dfmax и F на Df, где Dfmax – интенсивность возбуждения флуоресценции мембранных белков, когда во взвеси нет гормонов. Строили зависимость величины тушения возбуждения флуоресценции мембранных белков от удельной концентрации гормонов (с). По распределению Стьюдента, используя формулы (2) и (3), вычисляли оценки и доверительные границы погрешности оценки (ΔF) и (ΔDf), которые равны ± 4% при доверительной вероятности 0,95.
По трём независимым измерениям, используя графики зависимости ΔF(с) и (ΔDf), графически определяли оценку максимального тушения собственной флуоресценции мембранных белков ΔFmax, определяли сF – удельную концентрацию гормонов, при которой наступает максимум тушения флуоресценции; оценку максимального тушения возбуждения собственной флуоресценции мембранных белков ΔDfmax, определяли cD – удельную концентрацию гормонов, при которой наступает максимум тушения возбуждения флуоресценции мембранных белков. Используя распределение Стьюдента, получали доверительные границы погрешности измерения этих величин при доверительной вероятности 0,95. Доверительные границы погрешности измерения ΔDfmax и ΔFmax в относительной форме равны ± 5%. Доверительные границы погрешности оценки сF и cD в относительной форме равны ± 6%. Случайные погрешности возникали из-за того, что сF и cD определялись из пересечения двух прямых на графиках ΔF(с) и ΔD(с), аппроксимирующих экспериментальные результаты. Поскольку экспериментальные результаты определены с некоторой погрешностью, то и угол наклона этих прямых тоже определён с некоторой погрешностью, и, следовательно, значения сF и cD также определяются с некоторой погрешностью. Оценку различий между выборками проводили с использованием непараметрического U-критерия Манна–Уитни. Различия считали статистически значимыми при р < 0,05.
Методика измерения относительной микровязкости мембран эритроцитов флуоресцентным методом с помощью зонда пирен. Измерения микровязкости мембран эритроцитов проводили по методике, изложенной в работе Dembo et al. [18], на спектрофлуориметре SHIMADZU RF-5301(PC)SCE. Опытный образец в виде взвеси готовили следующим образом. В кварцевую кювету размером 1 × 1 × 4 см вносили 3 мл гипотонического фосфатного буфера (рН 7,4), содержащего 2,75 мM KH2РО4 и 8,5 мM Na2НРО4, взвесь мембран эритроцитов, необходимое количество гормонов, флуоресцентный зонд пирен. Предварительно пирен разводили в этаноле: его исходная концентрация составляла 1,5 мМ, а концентрация в кювете составляла 7,76 мкМ. Все компоненты взвеси до использования хранились при 4 °С.
Кювету с образцом помещали в термостат спектрофлуориметра на 10 мин, после этого проводили измерения его спектра испускания собственной флуоресценции при температуре 36 °С. Перед тем как поставить кювету с образцом в термостат спектрофлуориметра, её энергично встряхивали в течение 1 мин. Для измерения флуоресценции мембран, инкубированных с другим количеством гормонов, каждый раз готовили новую пробу. Это связано с тем, что пирен способствует быстрой деградации мембран эритроцитов.
Строго говоря, микровязкость определяется через коэффициент диффузии в данном случае флуоресцентного зонда пирен в биологической мембране. Скорость поступательной диффузии зонда определяется микроструктурой его непосредственного окружения, поэтому и пользуются термином «микровязкость». Практически под этим понимается некоторый эквивалент: он соответствует вязкости однородной среды, в которой зонд двигался бы с той же скоростью, с которой он движется в реальной мембране [15]. Другими словами, микровязкость показывает, с каким сопротивлением встречается зонд при движении внутри мембраны. Отсюда понятно, что в зависимости от метода измерения подвижности, характера зонда и глубины его локализации в мембране значения микровязкости могут варьироваться. Тем не менее данный параметр является важнейшим для идентификации структурных изменений в биомембране [15].
Перед измерением спектра испускания флуоресценции пирена в мембранах с добавленными к взвеси мембран гормонами получали спектр испускания флуоресценции мембран с добавленными к взвеси мембран гормонами, но без добавления пирена (длина волны возбуждения – 281 нм); спектральная ширина щелей – 1,5/5. В результате получали значения I393(c), I468(c) – интенсивности флуоресценции мембран, инкубированных с гормонами с удельной концентрацией с во взвеси, при длине волны излучения 393 и 468 нм соответственно. I393(0), I468(0) – интенсивности флуоресценции мембран, когда во взвеси мембран нет гормонов и пирена, при длине волны излучения 393 и 468 нм соответственно. Для исключения систематической погрешности интенсивности флуоресценции I393, I468 вычитали из интенсивностей флуоресценции образцов F393, F468 для повышения точности измерения относительной микровязкости мембран (L). При длине волны возбуждения, равной 337 нм, и спектральной ширине щелей 1,5/3 интенсивности флуоресценции мембран и гормонов на длинах волн испускания 393 и 468 нм были близки к нулю, ими можно было пренебречь при расчётах микровязкости мембран.
Далее, готовили образцы с пиреном и проводили измерения спектров испускания мембран с добавлением гормонов и пирена. По результатам измерения строили зависимости относительной микровязкости (L) липидного бислоя по формуле, приведённой в монографии Добрецова [15], от удельной концентрации c гормонов во взвеси:
L = η(c)/η(0), (4)
где η(c), η(0) – микровязкости мембран при добавлении во взвесь гормонов с удельной концентрацией c и без добавления гормона соответственно.
Для области липид-липидного взаимодействия относительную микровязкость липидного бислоя L вычисляли по формуле, приведённой в монографии Добрецова [15]:
L = η(c)/η(0) = (F393(c)·F468(0))/(F468(c)·F393(0)), (5)
где F468(c), F468(0) – интенсивности флуоресценции образца при λ = 468 нм при удельной концентрации гормона (с) во взвеси и при отсутствии гормона во взвеси соответственно; F393(c), F393(0) – интенсивности флуоресценции образца при λ = 393 нм при удельной концентрации гормона (с) во взвеси и при отсутствии гормона во взвеси соответственно. Длина волны возбуждения – 337 нм; спектральная ширина щелей – 1,5/3.
Относительную микровязкость L для области белок-липидного взаимодействия вычисляли по формуле:
L = η(c)/η(0) = (F393(c) − I393(c))·(F468(0) − I468(0))/[(F468(c) − I468(c))·(F393(0) – I393(0))], (6),
где I393, I468 – интенсивности флуоресценции мембран с гормоном без пирена при λ = 393 нм и λ = 468 нм соответственно. Длина волны возбуждения – 281 нм; спектральная ширина щелей – 1,5/5.
Измерения микровязкости липидного бислоя при каждом значении концентрации гормона во взвеси проводили три раза; используя распределение Стьюдента, вычисляли оценку и доверительные границы погрешности оценки относительной микровязкости липидного бислоя (L) при каждом значении концентрации гормона во взвеси с доверительной вероятностью 0,95. Используя формулы (5), (6), формулу вычисления погрешности при косвенных измерениях (2), получили доверительные границы погрешности оценки относительной микровязкости L мембран в относительной форме, которые равны ± 6%, с доверительной вероятностью 0,95. Доверительные границы погрешности оценки сmах в относительной форме равны ± 10%. Они складывались из погрешностей определения концентраций гормонов во взвеси и случайных погрешностей при определении сmах, аналогично погрешности определения сF. Доверительные границы погрешности оценки Lmах равны ± 6%. Оценку различий между выборками проводили с использованием непараметрического U-критерия Манна–Уитни. Различия считали статистически значимыми при р < 0,05.
Методика измерения поглощения мембранами электромагнитного излучения с помощью ИК-спектроскопии. Для снятия ИК-спектров сначала по описанной выше методике получали взвесь мембран эритроцитов крыс. Далее, в кювету с флюоритовой подложкой вносили 60 мкл этой взвеси мембран в 1 мМ К,Na-фосфатном буфере (рН 7,35). После этого к данному объёму добавляли ещё 30 мкл того же буфера и 1 мкл маточного раствора гормона. Концентрация гормона в маточном растворе – 1 мМ. Полученную взвесь перемешивали и инкубировали в течение 10 мин при температуре 16 °С. Для уменьшения поглощения ИК-излучения ОН-группами воды взвесь подсушивали. Кювету располагали строго горизонтально на специальном столике вакуумной установки. Плёнку мембран эритроцитов для снятия их ИК-спектров готовили в кювете путём медленного испарения воды из взвеси мембран в течение 180 мин в слабом вакууме при давлении порядка 0,1 атмосферы (~0,5·104 Па) и температуре 4 °С. Не все молекулы воды удаляются при этом из плёнки. В ней остаются молекулы воды, связанные с мембранными липидами и белками, так что плёнка не получается абсолютно сухой. В результате мембраны в плёнке сохраняют свои структуры, которые они имели во взвеси.
После приготовления плёнки кювету ставили в оптическую камеру ИК-спектрометра, продували камеру с кюветой сухим воздухом при комнатной температуре в течение 30 мин, а затем включали сканирование прибора. ИК-спектры поглощения (А) теней эритроцитов крыс снимали на двухлучевом спектрометре Specord-M80 («Carl Zeiss», Германия). Во всех экспериментах, наряду с получением спектров опытного образца (плёнка из мембран и гормонов), выполняли и спектроскопирование контрольного образца (плёнка из одних только мембран без гормонов) относительно флюоритовой подложки. Проводилось три независимых измерения ИК-спектра одного и того же образца.
РЕЗУЛЬТАТЫ ИССЛЕДОВАНИЯ
Исследование препарата мембран. Прежде чем проводить измерения, необходимо продемонстрировать, что именно представляет собой препарат мембран, выделенных согласно данной методике. Необходимо выяснить, что это: везикулы или липосомы, где встроенные в мембраны белки остались после выделения примерно в том же состоянии, что и в составе плазмалеммы эритроцитов? Или это обрывки мембран? Или это смесь липидных капель и белков в растворе? Для этого взвесь мембран эритроцитов, полученную по описанной выше методике, разводили в 10 раз, и каплю полученной взвеси наносили на предметное стекло светового микроскопа «Биомед-6» для наблюдения в проходящем свете методом фазового контраста. После добавления в центр препарата иммерсионного масла при увеличении 1000× на предметном стекле были видны овалы правильной формы размером 6–7 мкм, что соответствует размерам эритроцитов крыс. Таким образом, полученный препарат представляет собой взвесь крысиных эритроцитов, из которых удалён гемоглобин. При этом у большинства эритроцитов сохранились и внутренние цитоскелеты, и прикреплённые к ним плазматические мембраны.
Исследование зависимости интенсивности собственной флуоресценции мембранных белков от удельной концентрации гормонов во взвеси. Ранее группой под руководством Ю.А. Владимирова было установлено, что белки плазматических мембран имеют собственную флуоресценцию [15, 19]. Однако, кроме белков, плазматические мембраны имеют в своём составе и липиды. Поэтому сначала были проведены измерения интенсивности собственной флуоресценции мембранных липидов и гормонов. Взвесь липидов, выделенных из мембран по описанной выше методике, из шприца впрыскивали в фосфатный гипотонический буфер, в котором они образовывали липосомы. Концентрация липидов соответствовала их концентрации при измерении спектра испускания собственной флуоресценции мембранных белков. К этой взвеси липосом добавляли по отдельности гормоны дегидроэпиандростерон, кортизол, андростерон, тестостерон в таких же концентрациях, как при измерении спектра испускания собственной флуоресценции мембран, инкубированных с этими гормонами. Проводили измерения спектров испускания собственной флуоресценции взвеси липидов с гормонами при тех же параметрах, что и измерения спектров испускания собственной флуоресценции мембран. Величины собственной флуоресценции взвесей липидов с гормонами в диапазоне 300 нм ≤ λ ≤ 400 нм были постоянными для каждого гормона, не зависели от его концентрации, были незначительными и не превышали 4% от величины собственной флуоресценции мембран. При дальнейших расчётах величины собственной флуоресценции мембранных белков эти постоянные величины вычитались из величины собственной флуоресценции мембран.
На рис. 1, а дана зависимость величины тушения собственной флуоресценции мембранных белков эритроцитов (ΔF) на длине волны 332 нм (длина волны возбуждения – 281 нм) от удельной концентрации (c) добавленного в кювету гормона кортизол. Максимум тушения собственной флуоресценции ∆Fmax = (0,110 ± 0,006) отмечался при концентрации гормона в среде инкубации сF = (4,60 ± 0,28)·10−10 моль/мг белка (рис. 1, а).
Рис. 1. Зависимость величины тушения собственной флуоресценции мембранных белков эритроцитов ∆F от удельной концентрации c во взвеси кортизола (а) и дегидроэпиандростерона (б). ДЭА – дегидроэпиандростерон
На рис. 1, б дана зависимость величины тушения собственной флуоресценции мембранных белков эритроцитов (ΔF) на длине волны 332 нм (длина волны возбуждения – 281 нм) от удельной концентрации ДЭА. Максимум тушения собственной флуоресценции ∆Fmax = (0,103 ± 0,005) отмечался при концентрации ДЭА в среде инкубации сF = (1,80 ± 0,11)·10−8 моль/мг белка (рис. 1, б). На рис. 1 видно, что при добавлении кортизола и ДЭА к взвеси мембран эритроцитов тушение собственной флуоресценции мембранных белков ΔF увеличивалось почти линейно, при концентрации гормона сF – достигало своего максимума, при дальнейшем увеличении концентрации гормона во взвеси ΔF изменялось слабо (рис. 1, а и б).
Подобные результаты дали измерения величины тушения собственной флуоресценции ΔF мембранных белков при инкубации мембран с тестостероном и андростероном (табл. 1). При инкубации мембран с адреналином измерялась зависимость величины тушения возбуждения флуоресценции ΔDf мембранных белков при λ = 228 нм (длина волны излучения – 332 нм) от концентрации адреналина. При добавлении адреналина к взвеси мембран эритроцитов ΔDf увеличивалась почти линейно вплоть до концентрации адреналина сD = (2,00 ± 0,12)·10−10 моль/мг белка. Значение максимума тушения интенсивности возбуждения флуоресценции ∆Dfmax = (0,150 ± 0,008). При дальнейшем увеличении концентрации адреналина величина ΔDf менялась слабо. Результаты измерений представлены в табл. 1.
Таблица 1. Результаты измерения флуоресценции мембран эритроцитов при их инкубации с различными гормонами
Гормон | ∆Fmax | сF, моль/мг белка |
ДЭА | 0,103 ± 0,005 | (1,80 ± 0,11)·10−8 |
Тестостерон | 0,180 ± 0,009 | (1,10 ± 0,10)·10−9 |
Кортизол | 0,110 ± 0,006 | (4,60 ± 0,28)·10−10 |
Адреналин | 0,150 ± 0,008* | (2,00 ± 0,12)·10−10 |
Андростерон | 0,060 ± 0,003 | (1,000 ± 0,060)·10−10 |
Примечание. Используемые сокращения: ∆Fmax – величины максимума тушения собственной флуоресценции мембранных белков; сF – удельные концентрации гормонов, при которых наступают максимумы тушения; * – измеряли максимум тушения интенсивности возбуждения флуоресценции (ΔDfmax) мембранных белков.
Значения ∆Fmax мембранных белков статистически значимо отличаются от ∆F этих белков, когда во взвеси мембран нет гормонов. Величина максимума снижения относительной интенсивности собственной флуоресценции мембранных белков (∆Fmax) и концентрация гормона (сF), при которых наступает максимум тушения, разные для разных гормонов (табл. 1). Когда мембранные белки взаимодействуют с гормонами, происходит изменение их конформации. Меняется микроокружение около радикалов мембранных белков, уменьшаются интенсивности испускания и возбуждения флуоресценции. При концентрации гормонов во взвеси большей, чем сF или сD, когда испускание или возбуждение флуоресценции почти перестаёт меняться, конформация мембранных белков и микроокружение вокруг них также перестаёт изменяться (рис. 1; табл. 1).
Результаты измерения микровязкости мембран. Одной из характеристик мембран, которая меняется при изменении её структуры, является микровязкость её липидного бислоя [15]. На рис. 2, а и б приведены зависимости относительной микровязкости (L) мембран эритроцитов от удельной концентрации кортизола и ДЭА соответственно. При взаимодействии мембран с кортизолом статистически значимое увеличение микровязкости липидного бислоя в белок-липидной области взаимодействия достигало 1,250 ± 0,075 по отношению к контрольным образцам, когда во взвесь мембран не добавлялся гормон (рис. 2, а; кривая 2). Она нарастала вплоть до концентрации гормона cmax = (4,60 ± 0,46)·10−10 моль/мг (рис. 2, а; кривая 2). Затем кривая микровязкости выходила на плато. Для области липид-липидных взаимодействий кривая микровязкости вела себя подобным образом, но увеличение было всего до 1,050 ± 0,063, значения микровязкости в этой области статистически значимо не отличались от таких же значений в контрольных образцах (рис. 2, а; кривая 1). Повышение микровязкости в липид-липидной области взаимодействий начиналось при большей концентрации кортизола (2,50 ± 0,25)·10−10 моль/мг белка и достигало меньшей величины, чем в области белок-липидных взаимодействий (рис. 2, а; кривые 1 и 2).
Рис. 2. Зависимость относительной микровязкости мембран (L) от удельной концентрации кортизола (а) и дегидроэпиандростерона (б). Кривая 1 – изменение относительной микровязкости в области липид-липидного взаимодействия; кривая 2 – изменение относительной микровязкости в области белок-липидного взаимодействия. ДЭА – дегидроэпиандростерон
Измерения микровязкости липидного бислоя в белок-липидной области взаимодействия, приведённые на рис. 2, являются ещё одним подтверждением, что в представленных экспериментах пирен внедрялся в мембраны, которые содержали мембранные белки. При длине волны возбуждения, равной 281 нм, в липидных бислоях, не содержащих белков, флуоресценция пирена не наблюдается [15]. В мембранах белки при длине волны возбуждения 281 нм флуоресцируют на длине волны 332 нм, что близко к длине волны максимума возбуждения флуоресценции пирена (336 нм). В представленных экспериментах молекулы пирена флуоресцировали при длине волны возбуждения 281 нм, что говорит о наличии мембранных белков в выделенных мембранах (рис. 2).
При сравнении рис. 1, а и 2, а видно, что диапазон концентрации кортизола во взвеси, при которой происходит изменение конформации мембранных белков, и диапазон концентрации кортизола, при которой микровязкость увеличивается и выходит на постоянное значение, совпадают. Это значит, что именно мембранные белки являются инициаторами структурного перехода в мембранах при их взаимодействии с кортизолом. При этом микровязкость липидного бислоя в области липид-липидного взаимодействия увеличилась на меньшую величину (рис. 2, а; кривая 1), чем около мембранных белков, поменявших свою конформацию в результате взаимодействия с кортизолом (рис. 2, а; кривая 2). Это значит, что липиды стали сильнее притягиваться к этим белкам, их поверхностная плотность (число липидов на единицу площади мембраны) увеличилась. Как следствие, около этих белков меняется структура липидного бислоя, липиды из жидко-неупорядоченного состояния переходят в жидко-упорядоченное (Ld → Lo). Образуются белок-липидные домены. Такое изменение структуры ведёт к большему увеличению микровязкости липидного бислоя в белок-липидных доменах. Между доменами липидный бислой остаётся в жидко-неупорядоченном состоянии (Ld), его микровязкость и поверхностная плотность меньше, чем в доменах.
Взаимодействие мембран с ДЭА происходит качественно иначе. Под влиянием этого гормона микровязкость липидного бислоя мембран увеличивалась всего лишь до 1,060 ± 0,064 по сравнению с контрольными образцами, к которым не добавляли гормон (рис. 2, б). Концентрация, при которой достигался максимум микровязкости, была равна cmax = (1,70 ± 0,17)·10−8 моль/мг белка (рис. 2, б). Кривые 1 и 2 на рис. 2, б очень близки, это говорит о том, что увеличение микровязкости липидного бислоя происходит на одну и ту же величину в белок-липидной и липид-липидной областях взаимодействия. Следовательно, в отличие от взаимодействия кортизола с мембранами, взаимодействие ДЭА с мембранами не ведёт к образованию белок-липидных доменов с разными поверхностными плотностями липидов в доменах и между доменами.
При взаимодействии мембран с андростероном, тестостероном и адреналином структура мембран меняется подобно взаимодействию мембран с кортизолом. В табл. 2 представлены результаты измерения микровязкости мембран эритроцитов при их инкубации с различными гормонами.
Таблица 2. Результаты измерения микровязкости мембран эритроцитов при их инкубации с различными гормонами
Гормон | Липид-липидная область взаимодействия | Белок-липидная область взаимодействия | ||
Lmах | cmax, моль/мг белка | Lmах | cmax, моль/мг белка | |
ДЭА | 1,060 ± 0,064 | (1,70 ± 0,17)·10−8 | 1,060 ± 0,064 | (1,70 ± 0,17)·10−8 |
Тестостерон | 1,150 ± 0,069 | (2,00 ± 0,20)·10−9 | 1,200 ± 0,072* | (1,10 ± 0,11)·10−9 |
Кортизол | 1,050 ± 0,063 | (4,60 ± 0,46)·10−10 | 1,250 ± 0,075* | (4,60 ± 0,46)·10−10 |
Адреналин | 1,200 ± 0,072* | (2,00 ± 0,20)·10−10 | 1,400 ± 0,084* | (2,00 ± 0,20)·10−10 |
Андростерон | 1,250 ± 0,075* | (3,00 ± 0,30)·10−10 | 1,500 ± 0,090* | (2,50 ± 0,25)·10−10 |
Примечание. Используемые сокращения: Lmах – максимальное увеличение микровязкости липидного бислоя при добавлении гормонов; сmах – удельная концентрация гормонов во взвеси эритроцитов, при которой микровязкость мембран достигает максимального значения; ДЭА – дегидроэпиандростерон. Значения Lmах и сmах даны для липид-липидных и белок-липидных областей взаимодействия. * р < 0,05 – статистически значимые различия по сравнению с соответствующим контролем, когда во взвесь мембран не добавлялся гормон.
При взаимодействии мембран с андростероном их микровязкость в белок-липидной области взаимодействия увеличивалась до Lmах = 1,500 ± 0,090 по отношению к исходному состоянию (р < 0,05; табл. 2). Она увеличивалась вплоть до концентрации cmax = (2,50 ± 0,25)·10−10 моль/мг белка, после чего не менялась. В липид-липидной области взаимодействия микровязкость увеличилась до Lmах = 1,250 ± 0,075 по отношению к исходному состоянию (р < 0,05). Увеличение происходило вплоть до концентрации cmax = (3,00 ± 0,30)·10−10 моль/мг белка (табл. 2). Изменение конформации мембранных белков происходило вплоть до концентрации андростерона (сF) во взвеси (1,000 ± 0,060)·10−10 моль/мг белка (табл. 1), которая меньше концентрации сmах андростерона во взвеси, при которой относительная микровязкость мембраны достигала максимального значения (табл. 2). Это значит, что при взаимодействии андростерона с мембранами в них образуются белок-липидные домены, и именно мембранные белки являются инициаторами этого структурного перехода.
При добавлении тестостерона микровязкость мембран в области белок-липидных взаимодействий увеличивалась почти до Lmах = (1,200 ± 0,072) (табл. 2). Увеличение микровязкости происходило до концентрации тестостерона во взвеси с мембранами, равной сmах = (1,10 ± 0,11)·10−9 моль/мг белка. В липид-липидной области взаимодействия микровязкость увеличивалась вплоть до концентрации сmах = (2,00 ± 0,20)·10−9 моль/мг белка и увеличилась до Lmах = (1,150 ± 0,069) по отношению к исходному состоянию (табл. 2). Отсюда следует, что, как и в случае с кортизолом и андростероном, при взаимодействии тестостерона с мембранами в них образуются белок-липидные домены. Сравнивая данные табл. 1 и 2, видно, что диапазон концентраций тестостерона, при которых происходили изменения конформации мембранных белков (сf) и увеличение микровязкости липидного бислоя в области белок-липидного взаимодействия сmах, совпадают. Таким образом, мембранные белки являются инициаторами образования в мембране белок-липидных доменов при взаимодействии мембран с тестостероном.
При взаимодействии мембран с адреналином в области белок-липидных взаимодействий происходило увеличение относительной микровязкости мембран (L) до Lmах = 1,400 ± 0,084 (р < 0,05; табл. 2). Она увеличивалась до концентрации адреналина сmах = (2,00 ± 0,20)·10−10 моль/мг белка, далее кривая микровязкости выходит на плато (табл. 2). В липид-липидной области взаимодействия микровязкость тоже увеличивалась вплоть до концентрации сmах = (2,00 ± 0,20)·10−10 моль/мг белка, но увеличивалась только до Lmах = 1,200 ± 0,072 по отношению к исходному состоянию (р < 0,05; табл. 2), что говорит об образовании в мембране белок-липидных доменов. Сравнивая данные табл. 1 и 2, видно, что диапазон концентраций адреналина, при которых происходили изменения конформации мембранных белков (сD) и увеличение микровязкости липидного бислоя в области белок-липидного взаимодействия (сmах), совпадают. Таким образом, мембранные белки являются инициаторами образования в мембране белок-липидных доменов при взаимодействии мембран с адреналином.
На основании полученных результатов можно сделать вывод, что при взаимодействии кортизола, андростерона, тестостерона и адреналина с мембранами структура плазмолемм меняется, в них образуется сеть белок-липидных доменов. В отличие от взаимодействия с этими гормонами, взаимодействие ДЭА с мембранами не ведёт к образованию белок-липидных доменов, а происходит равномерное увеличение поверхностной плотности липидного бислоя по всей мембране. Причину разного взаимодействия ДЭА и остальных гормонов (кортизола, андростерона, тестостерона, адреналина) с мембранами можно установить с помощью изучения изменения вторичной структуры мембранных белков при их взаимодействии с гормонами методом ИК-спектроскопии. Это сделано в следующем подразделе.
Результаты измерения поглощения мембранами инфракрасного излучения. Диагностика ИК-спектроскопии основывается на законе Бугера– Ламберта–Бера [20]. Измеряется поглощение образца:
A = ℓg(I0/I), (7)
где I0 – интенсивность электромагнитного излучения, попадающего в образец, I – интенсивность излучения, пропущенного образцом.
Измерив поглощение А, можно оценить концентрацию поглощающих центров (c0), которая связана с А соотношением:
A = εc0ℓ0, (8)
где ε – молярный коэффициент поглощения; ℓ0 – толщина образца.
При добавлении гормонов к мембранам изменяются взаимодействия между функциональными группами молекул белков и липидов мембраны. Между ними образуются новые водородные связи. Всё это приводит к сдвигам частот, на которых наблюдаются максимумы поглощения электромагнитного излучения функциональными группами, входящими в состав мембранных белков и липидов. Изменяется интенсивность этих полос поглощения, согласно формуле (8). Выделение полос поглощения, соответствующих разным функциональным группам молекул, проводилось по методикам, описанным в работах Yang et al. [20], Barth и Zscherp [21] и Носенко и др. [22].
При проведении трёх независимых измерений ИК-спектра одного и того же образца для каждого измерения проводилось вычисление второй производной ИК-спектра в области амид I с помощью программы OriginPro 2021. Эта вторая производная сглаживалась с помощью процедуры быстрого преобразования Фурье. Для удобства разложения вторые производные ИК-спектров умножались на (−1). После этого сглаженная вторая производная ИК-спектра разлагалась на отдельные полосы. Каждая полоса представляет собой функцию Гаусса со своим среднеквадратическим отклонением и математическим ожиданием, которые подбирались так, что сумма этих полос была равна второй производной ИК-спектра. По площадям отдельных полос в разложении второй производной спектра поглощения определялись доли вторичных структур мембранных белков. Используя распределение Стьюдента, определялись оценка и доверительные границы погрешности оценки долей вторичных структур мембранных белков при доверительной вероятности 0,95. Оценку различий между выборками проводили с использованием непараметрического U-критерия Манна–Уитни. Различия считали статистически значимыми при р < 0,05. Методика обработки спектров описана в работах Yang et al. [20], Носенко и др. [22].
Спектр поглощения контрольных образцов (мембран, не инкубированных с гормонами) приведён на рис. 3, а. На рис. 3, б приведено разложение второй производной спектра поглощения контрольных образцов в области частот амид I. На рис. 4, а приведён спектр поглощения мембран, инкубированных с кортизолом, его концентрация в плёнке c = (2,100 ± 0,063)·10−10 моль/мг белка. На рис. 4, б приведено разложение второй производной спектра поглощения образцов мембран, инкубированных с кортизолом (c = (2,100 ± 0,063)·10−10 моль/мг белка), в области частот амид I. На рис. 5, а приведён спектр поглощения мембран, инкубированных с ДЭА, его концентрация в плёнке с = (5,30 ± 0,16)·10−11 моль/мг белка. На рис. 5, б приведено разложение второй производной спектра поглощения образцов мембран, инкубированных с ДЭА (с = (5,30 ± 0,16)·10−11 моль/мг белка), в области частот амид I. На этих рисунках цифрами указаны номера полос, на которые разложены вторые производные спектров поглощения мембран. Указаны названия и доли в процентах вторичных структур мембранных белков, соответствующие этим полосам.
Рис. 3. ИК-спектр поглощения контрольных (без гормонов) образцов мембран эритроцитов крыс в диапазоне ν = 900–1800 см−1 (а); разложение второй производной ИК-спектра поглощения контрольных образцов мембран эритроцитов крыс в области частот амид I (б): 1 – β-лист (30,3%); 2 – 310 α-структура (18,2%); 3 – α-структура (37,1%); 4 – неупорядоченная структура (14,4%)
Рис. 4. ИК-спектр поглощения образцов мембран эритроцитов крыс, инкубированных с кортизолом (c = (2,100 ± 0,063)·10−10 моль/мг белка) в диапазоне ν = 900–1800 см−1 (а); разложение второй производной ИК-спектра поглощения образцов мембран эритроцитов крыс, инкубированных с кортизолом (c = (2,100 ± 0,063)·10−10 моль/мг белка) в области частот амид I (б): 1 – β-лист (5,6%); 2 – β-поворот (11%); 3 – 310 α-структура (31,6%); 4 – α-структура (24,2%); 5 – межмолекулярные β-листы (27%)
Рис. 5. ИК-спектр поглощения образцов мембран эритроцитов крыс, инкубированных с ДЭА (с = (5,30 ± 0,16)·10−11 моль/мг белка) в диапазоне ν = 900–1800 см−1 (а); разложение второй производной ИК-спектра поглощения образцов мембран эритроцитов крыс, инкубированных с ДЭА (с = (5,30 ± 0,16)·10−11 моль/мг белка) в области частот амид I (б): 1 – β-лист (15,6%); 2 – 310 α-структура (7,6%); 3 – α-структура (37,1%); 4 – неупорядоченная структура (35,5%); 5 – межмолекулярные β-листы (4,2%). ДЭА – дегидроэпиандростерон
В табл. 3 приведены характерные частоты спектров поглощения мембран эритроцитов крыс после их взаимодействия c ДЭА, андростероном, тестостероном, кортизолом и адреналином.
Таблица 3. Характерные частоты спектров поглощения мембран эритроцитов крыс после их взаимодействия со стероидными гормонами
Гормон и его концентрация с, моль/мг белка | Частоты валентных колебаний пептидной С=О-группы νCO, см−1 | Частоты деформационных колебаний пептидных NH-связей νNH, см−1 | Частоты валентных колебаний фосфолипидных С=О-связей νC=O, см−1 | Частоты валентных асимметричных колебаний фосфолипидных РО2-связей νРО2, см−1 | Частоты валентных симметричных колебаний фосфолипидных РО2-связей νРО2, см−1 | Частоты валентных колебаний фосфолипидных РОС-связей νP-O-C, см−1 | Частоты валентных колебаний СН-связей νCH, см−1 |
Контроль | 1686 1655,4 | 1546,9 | 1748 | 1236 | 1080 | 1056 | 2948 2930,8 2848 |
ДЭА (5,3·10–11) | 1654,9 | 1546,9 | 1746 | 1247,6 | 1088 | 1070,7 | 2956,3 2925,8 2851,8 |
Андростерон (5,5·10−11) | 1656 1635 1620 | 1545 | 1260 1240 | 1098 1088 | 2958 2928 2848 | ||
Тестостерон (5,5·10−11) | 1684 1657 1632 | 1545 | 1739,4 | 1247 1236 | 1100 1088 | 1065 1056 | 2956,4 2924 2850 |
Кортизол (2,1·10−10) | 1656,0 1620 | 1550 1540,2 | 1734 | 1239 | 1083,7 | 1044,0 | 2962 2925 2852 |
Адреналин (2·10−10) | 1686 1656 1646 | 1544 1525 | 1740 | 1256 1248 1236 | 1096 1080 | 1070 1060 1044 | 2956 2924 2852 |
На рис. 3, а приведён спектр поглощения контрольных образцов мембран (мембран, не взаимодействующих с гормонами). Анализ полосы амид I (рис. 3, б) показал, что, наряду с неупорядоченной структурой, доля которой в мембранных белках составляет (14,4 ± 1,0)%, в белках мембран эритроцитов крыс присутствуют α-спирали, доля которых в мембранных белках составляет (55,3 ± 2,6)%. Имеются также β-структуры, доля которых в мембранных белках составляет (30,3 ± 1,4)%. В полосе амид II, создаваемой деформационными колебаниями NН-связи, присущей β-структуре, есть максимум на 1546,9 см−1 (рис. 3, а; табл. 3). Мембранные фосфолипиды тоже имеют ряд характерных полос поглощения, в частности, для валентных колебаний С=О-связи – 1748 см−1, асимметричных колебаний РО2-связи – 1236 см−1, валентных колебаний Р–О–С-связи – 1056 см−1 (рис. 3, а; табл. 3). Необходимо отметить, что полоса максимума поглощения С=О-связи 1748 см−1 довольно узкая, это даёт основание предполагать, что фосфолипиды достаточно упорядочены на уровне сложноэфирных связей высших карбоновых кислот и глицерина (рис. 3, а).
На рис. 4, а приведён ИК-спектр поглощения мембран эритроцитов крыс, проинкубированных с кортизолом. Удельная концентрация гормона в образце – (2,100 ± 0,063)·10−10 моль/мг белка. Известно, что кортизол является гидрофобным соединением, он плохо растворим в воде. Однако в его структуре присутствуют 3 ОН-группы (в положениях 11, 17 и 21) и 2 кетогруппы в положениях 3 и 20 [4], именно они принимают участие в образовании водородных связей с СО- и NH-группами мембранных белков и фосфолипидов. Это видно по смещению максимума поглощения валентных колебаний пептидной СО-связи 1655,4 → 1656 см−1, что свидетельствует о структурных переходах в мембранных белках. Появление полосы поглощения валентных колебаний СО-связи 1620 см−1 соответствует появлению межмолекулярных β-листов [20] (рис. 4, а и б). Расщепление полосы деформационных колебаний NH-связи 1546,9 → 1550 и 1540,2 см−1 тоже говорит о появлении новых водородных связей между пептидными группами СО и NH [21] и появлении новых β-структур в мембранных белках (рис. 4, а и б; табл. 3). Подтверждается этот вывод расчётом долей вторичных структур мембранных белков при взаимодействии мембран с гормонами (табл. 4).
Таблица 4. Влияние гормонов на содержание элементов вторичной структуры мембранных белков
Гормон и его концентрация (c), моль/мг белка | R – неупорядоченные структуры, % | α-спирали, % | β-структуры, % |
Контроль | 14,4 ± 1,0 | 55,3 ± 2,6 | 30,3 ± 1,4 |
ДЭА ((5,30 ± 0,16)·10−11) | 35,5 ± 1,6* | 44,7 ± 2,1* | 19,8 ± 1,0* |
Кортизол ((2,100 ± 0,063)·10−10) | < 0,1* | 55,9 ± 2,6 | 44,1 ± 2,1* |
Тестостерон ((5,50 ± 0,17)·10−11) | 9,8 ± 1,0* | 55,9 ± 2,7 | 34,3 ± 1,6* |
Адреналин ((2,000 ± 0,060)·10−10) | < 0,1* | 49,8 ± 2,2 | 50,2 ± 2,6* |
Примечание. * р < 0,05 – статистически значимые различия по сравнению с соответствующим контролем.
Из табл. 4 видно, что при взаимодействии мембран с кортизолом при его удельной концентрации во взвеси (2,100 ± 0,063)·10−10 моль/мг белка увеличивается доля β-структур (с (30,3 ± 1,4) до (44,1 ± 2,1)%), по сравнению с контрольными измерениями, и уменьшается доля неупорядоченных структур с (14,4 ± 1,0)% почти до нуля. Доля α-спиралей не меняется. Таким образом, в мембранах происходит переход неупорядоченная структура → β-структура. По сравнению с контрольными образцами произошло увеличение доли межмолекулярных β-листов с 0 до (27,4 ± 2,0)% (рис. 3, б и 4, б). Это указывает на агрегацию мембранных белков, которая способствует образованию белок-липидных доменов.
При взаимодействии кортизола с мембранами увеличивается и упорядоченность липидного бислоя. Об этом свидетельствует сдвиг полосы поглощения С=О-связи сложноэфирной группы фосфолипидов 1748 → 1734 см−1 (рис. 4, а; табл. 3). Сдвиг полосы поглощения симметричных валентных колебаний РО2-связи фосфолипидов 1080 → 1083,7 см−1 и сдвиг полосы асимметричных валентных колебаний РО2-связи 1236 → 1239 см−1 (рис. 4, а) связан с процессом дегидратации фосфолипидов в результате увеличения их упорядоченности [23]. При этом возрастает относительная микровязкость мембраны в белок-липидной области взаимодействия, по сравнению с контролем, до 1,050 ± 0,063; в области липид-липидного взаимодействия микровязкость не меняется (рис. 2, а). Таким образом, в мембране происходит образование белок-липидных доменов, в которых поверхностная плотность липидов выше, чем между доменами (рис. 2, а), за счёт образования белок-белковых сшивок и новых белок-липидных связей.
Гормоны андростерон, тестостерон и адреналин меняют структуру мембран подобным образом (табл. 3 и 4). Их взаимодействие вызывает сдвиг полос поглощения в полосе амид I и амид II (табл. 3), что свидетельствует об изменении вторичной структуры мембранных белков. Фиксируется увеличение интенсивности полосы поглощения валентных колебаний СО-связи 1620 см−1, что соответствует появлению межмолекулярных β-листов [22] (табл. 3). По сравнению с контролем, в мембранных белках увеличивается доля β-структур в результате перехода неупорядоченная структура → β-структура (табл. 4). Доля α-структур статистически достоверно не меняется (табл. 4).
При взаимодействии андростерона, тестостерона и адреналина с мембранами увеличивается упорядоченность липидного бислоя за счёт усиления белок-липидных и липид-липидных взаимодействий (табл. 3). При этом относительная микровязкость мембраны в белок-липидной области взаимодействия возрастает на бо́льшую величину, чем в области липид-липидного взаимодействия (табл. 2), что говорит об образовании в мембране белок-липидных доменов. Таким образом, увеличение во вторичной структуре мембранных белков доли β-структур ведёт к образованию в мембране белок-липидных доменов, в которых поверхностная плотность липидов выше, чем между ними.
По-другому взаимодействует с мембранами ДЭА. На рис. 5, а приведён ИК-спектр поглощения мембран эритроцитов крыс, проинкубированных с ДЭА. Концентрация гормона в плёнке равна (5,30 ± 0,16)·10−11 моль/мг белка; видно, что не произошло смещения полосы 1546,9 см−1, что присуще появлению новых β-структур белков. Действительно, из табл. 4 и рис. 5, б видно, что доля β-структур мембранных белков при взаимодействии мембран с ДЭА уменьшилась (с (30,3 ± 1,4) до (19,8 ± 1,0)%). При этом, по сравнению с контролем, увеличилась доля неупорядоченных структур (с (14,4 ± 1,0) до (35,5 ± 1,6)%). Доля α-спиралей уменьшилась с (55,3 ± 2,6) до (44,7 ± 2,1)%. Это значит, что при взаимодействии ДЭА с мембранами, в отличие от взаимодействия с кортизолом, андростероном, тестостероном и адреналином, в мембранных белках не происходил переход неупорядоченная структура → β-структура, а напротив, происходили переходы β-структура → неупорядоченная структура и α-спираль → неупорядоченная структура. Изменение конформации мембранных белков при этом подтверждается уменьшением интенсивности их собственной флуоресценции (рис. 1, б; табл. 1).
На увеличение упорядоченности липидного бислоя при взаимодействии ДЭА с мембранами указывают следующие результаты анализа ИК-спектров мембран. Наблюдается сдвиг полосы поглощения асимметричных валентных колебаний РО2-связи 1236 → 1247,6 см−1, который отражает дегидратацию фосфатных групп фосфолипидов (рис. 5, а; табл. 3). Кроме этого, появился сдвиг частоты С=О-связи фосфолипидов 1748 → 1732 см−1, интенсивность данной полосы также увеличилась (рис. 5, а; табл. 3). Однако увеличение упорядоченности липидного бислоя при его взаимодействии с ДЭА вело лишь к небольшому увеличению микровязкости бислоя (рис. 2, б; табл. 2). Самое главное, взаимодействие ДЭА с мембранами не вело к образованию белок-липидных доменов, а происходило равномерное увеличение поверхностной плотности липидного бислоя по всей мембране (рис. 2, б).
Таким образом, при взаимодействии мембран c андростероном, тестостероном, кортизолом и адреналином в мембранных белках происходило образование новых β-структур (рис. 3, 4; табл. 3 и 4). При увеличении концентрации этих гормонов во взвеси увеличение микровязкости в белок-липидной области взаимодействия было больше увеличения микровязкости липидного бислоя в липид-липидной области (рис. 2, а; табл. 2). Это значит, что увеличение поверхностной плотности липидов около мембранных белков больше, нежели в липид-липидной области взаимодействия. В мембране происходило образование белок-липидных доменов, в которых липидный бислой имеет бо́льшую поверхностную плотность, чем между доменами. При взаимодействии мембран с ДЭА в мембранных белках доли β-структур и α-спиралей уменьшались (рис. 5, а; табл. 3 и 4). При этом увеличение микровязкости мембран происходило равномерно по всей мембране (рис. 2, б; табл. 2), образования белок-липидных доменов не происходило.
ОБСУЖДЕНИЕ РЕЗУЛЬТАТОВ
Из данных, описанных в предыдущих разделах, следует, что при взаимодействии гормонов с мембранами за образование белок-липидных доменов в плазматических мембранах ответственны не α-спирали, а β-структуры мембранных белков, образующиеся при их взаимодействии. Связано это с тем, что, во-первых, появившиеся в результате изменения вторичной структуры мембранных белков β-структуры образуют межмолекулярные сшивки между мембранными белками (рис. 3, б и 4, б). В результате увеличения числа водородных связей между мембранными белками происходит их агрегация [24–26]. Таким образом, в мембране создаются кластеры из белков и окружающих их липидов. Во-вторых, в β-структуре мембранных белков алифатические боковые цепи незаряженных аминокислот располагаются напротив углеводородных цепей мембранных липидов, ароматические группы пептидов предпочитают взаимодействовать с карбонильными группами окружающих липидов, а полярные группы пептидов взаимодействуют с заряженными липидными головными группами [27, 28]. Это стимулирует притяжение липидов к белкам. В результате действия этих двух механизмов образуются белок-липидные домены, в которых липиды около мембранных белков совершают переход из жидко-неупорядоченного состояния в жидко-упорядоченное (Ld → Lo). Следствием появления доменов является увеличение микровязкости и поверхностной плотности липидного бислоя в доменах. Между доменами липидный бислой имеет меньшую микровязкость и поверхностную плотность.
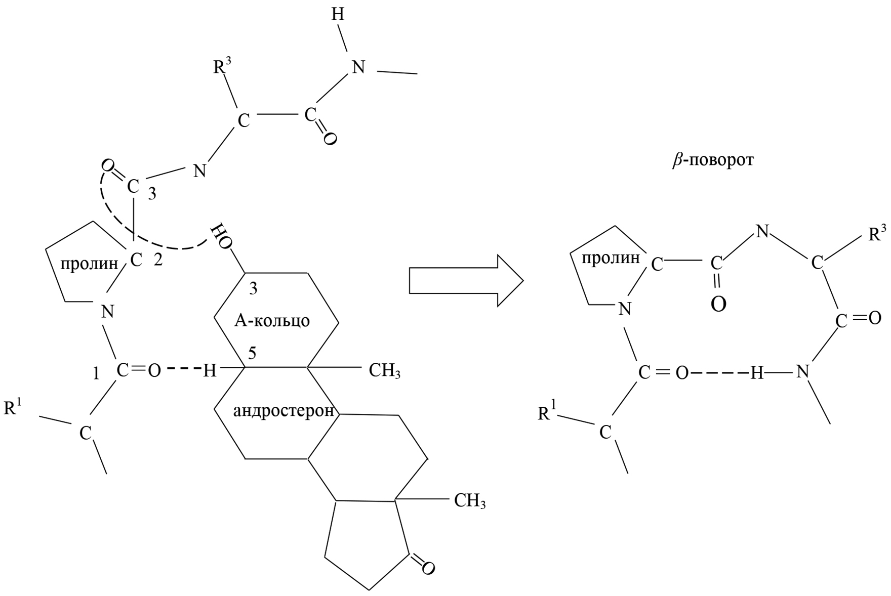
Каким образом некоторые гормоны способствуют образованию β-структур в мембранных белках? Рассмотрим взаимодействия с мембраной ДЭА и андростерона. Связывание андростерона с мембраной приводит к увеличению доли β-структур в мембранных белках (табл. 3) и образованию в мембране белок-липидных доменов (табл. 2). С другой стороны, при связывании ДЭА с мембранами эти домены не образовывались (табл. 2), поскольку доля β-структур в мембранных белках при этом уменьшалась (рис. 5, а; табл. 4). Причину такого различного взаимодействия ДЭА и андростерона с мембранами нужно искать в их структуре. Различие в структуре этих гормонов заключается лишь в том, что у андростерона к атому углерода в А-кольце в положении 5 присоединён водород, а у ДЭА он отсутствует [4]. Такое различие в строениях ДЭА и андростерона позволяет сформулировать механизм β-поворота в молекуле пептида. Можно заключить, что наличие у андростерона Н-группы у атома С5 способствует образованию таких связей с молекулой протеина, появление которых ведёт к образованию β-поворотов и созданию в молекуле β-структур. На рис. 6 показан механизм образования этого β-поворота. Здесь молекула андростерона присоединяется к молекуле пептида с помощью водородных связей (рис. 6, левая часть). Атом углерода, находящийся в А-кольце андростерона в положении 5, через присоединённую Н-группу образует водородную связь с СО-группой номер 1 в пептидной цепи (рис. 6, левая часть). Кроме этого, атом углерода в А-кольце андростерона в положении 3 через присоединённую ОН-группу образует водородную связь с СО-группой номер 3 в пептидной цепи (рис. 6, левая часть). В результате образования этих водородных связей происходит поворот С–С-связи между атомами 2 и 3 молекулы пептида. Этот поворот ведёт к β-повороту молекулы пептида (рис. 6, правая часть). В молекуле ДЭА, в которой нет Н-группы у атома С5 в А-кольце, не образуется водородная связь между этим С5-атомом и СО-группой номер 1 в пептидной цепи. В результате не происходит поворота С–С-связи между атомами 2 и 3 молекулы пептида, не возникает β-поворот молекулы пептида, вторичная β-структура молекулы белка не образуется.
Рис. 6. Механизм β-поворота и образования из пептидной нити β-структуры при помощи молекулы андростерона
Явления, подобные образованию белок-липидных доменов в плазматических мембранах, наблюдаются и в других случаях. Известно, например, что в тканях организма могут появляться белковые структуры, названные амилоидными фибриллами [29]. Они представляют собой уложенные в стопку антипараллельные β-структуры, направленные перпендикулярно оси фибриллы [30]. Процесс образования этих амилоидных фибрилл начинается с образования протофибриллярных образований, богатых β-структурами [29], подобно образованию белок-липидных доменов в мембранах, описанных выше. Образование нерастворимых фибрилл β-амилоида в тканях головного мозга сопровождает многие нейродегенеративные заболевания, такие как болезнь Альцгеймера, синдром Дауна [29].
Взаимодействие между белковыми нитями, свёрнутыми в α-спирали, имеет другой характер. На основании компьютерных расчётов свободной энергии спонтанной ассоциации трансмембранных α-спиралей показано, что липиды вносят более значительный вклад в энергию димеризации, в то время как контакты аминокислотных остатков часто являются невыгодными [31, 32]. Это значит, что α-спирали препятствуют агрегации белков и образованию в мембране белок-липидных доменов. В свою очередь, это препятствует увеличению микровязкости липидного бислоя. Более того, увеличение доли α-спиралей в мембранных белках может привести к уменьшению микровязкости липидного бислоя мембран. Известны соединения, которые при взаимодействии с мембраной уменьшают её микровязкость, т.е. разрыхляют липидный бислой. Таким соединением является, например, белок-транспортёр апо А-1 [33]. Ранее было показано, что нативный апо А-1, находясь в составе липопротеина высокой плотности (ЛПВП), имеет в своей вторичной структуре до 85% α-спиралей [34]. C помощью ЛПВП происходит обратный захват холестерина из клеток и дальнейший перенос его в печень [35, 36]. Для этого необходимо разрыхление липидного бислоя. Это явление было обнаружено при инкубации нативного апо А-1 с мембранами эритроцитов. Относительная микровязкость мембран при взаимодействии с нативным апо А-1 понижалась на 15% [33]. Понижение микровязкости происходило почти одинаково и в области липид-липидного взаимодействия, и в области белок-липидного взаимодействия [33]. Это обусловлено неспецифическим взаимодействием α-спиралей апо А-1 с белками и липидами мембраны, в результате которых происходит разрыв водородных связей между белками и липидами мембраны.
Явление разрыва водородных связей между молекулами при их взаимодействии с α-спиралями апо А-1 было открыто ранее группой под руководством академика Л.Е. Панина с помощью метода малоуглового рентгеновского рассеяния [37]. Было показано, что взаимодействие комплекса тетрагидрокортизол–апо А-1 и эукариотических ДНК приводит к разрыву водородных связей между парами азотистых оснований и образованию однонитевых структур ДНК [37]. Подобным образом и в цитоплазматической мембране апо А-1 разрывает водородные связи между мембранными белками и создаёт в них структурные переходы β-структуры → неупорядоченные структуры и α-спирали → неупорядоченные структуры, что ведёт к уменьшению взаимодействий между белками и липидами мембраны. Вследствие этого микровязкость липидного бислоя уменьшается [33].
Окислительно-модифицированный апо А-1 не меняет микровязкость мембран [33]. Причина существования качественно разных механизмов взаимодействий нативного и окислительно-модифицированного апо А-1 заключается в их разных вторичных структурах. Ранее в работе Дударева и др. [38] было установлено, что, по сравнению с нативной конформацией, в окислительно-модифицированном апо А-1 уменьшается доля α-спиралей с 48% до 31% и увеличивается доля β-структур с 33% до 49%. Образовавшиеся β-структуры окислительно-модифицированных белков апо А-1 усиливают взаимодействие между ними и липидами мембраны, создают новые водородные связи с функциональными группами фосфолипидов, компенсируя разрыв этих связей α-спиралями апо А-1. В результате микровязкость мембран при взаимодействии с ними окислительно-модифицированных апо А-1 не меняется [33].
Известно, что перспективными лекарствами для лечения болезни Альцгеймера являются молекулы, которые при взаимодействии с амилоидами фибрилл способны уменьшать в них долю β-структур или препятствовать образованию в них новых β-структур [39, 40]. Поскольку при неспецифическом взаимодействии α-спиралей нативных апо А-1 с мембранными белками доля β-структур в мембранных белках уменьшается за счёт разрыва водородных связей между пептидными нитями мембранных белков, то нативный апо А-1 может быть одним из кандидатов на лекарство для лечения и профилактики болезни Альцгеймера.
ЗАКЛЮЧЕНИЕ
Флуоресцентным методом измерения относительной микровязкости мембран с помощью зонда пирен было установлено, что при взаимодействии кортизола, андростерона, тестостерона и адреналина с мембранами структура плазмалемм меняется, в них образуется сеть белок-липидных доменов. В этих неподвижных доменах поверхностная плотность липидов выше, чем между доменами. В то же время при взаимодействии ДЭА с мембранами не происходило образования в мембранах белок-липидных доменов. Причину разного взаимодействия гормонов с мембранами удалось выяснить с помощью ИК-спектроскопии мембран. Оказалось, что при взаимодействии кортизола, андростерона, тестостерона и адреналина с мембранами происходило увеличение доли β-структур и уменьшение доли неупорядоченных структур в мембранных белках. Однако при взаимодействии ДЭА с мембранами происходило уменьшение долей β-структур и α-спиралей во вторичных структурах мембранных белков. Увеличивалась лишь доля неупорядоченных структур во вторичных структурах мембранных белков.
Таким образом, установлено in vitro, что инициаторами появления белок-липидных доменов в плазматических мембранах являются мембранные белки, в которых после взаимодействия с гормонами увеличивается доля β-структур. При этом появление новых α-спиралей в мембранных белках не усиливает взаимодействие между белками, белок-липидные домены не образуются. Напротив, появление большого числа α-спиралей в мембранных белках может привести к уменьшению микровязкости липидного бислоя.
Вклад авторов. В.Я. Рудяк, П.В. Мокрушников – концепция и руководство работой; П.В. Мокрушников – проведение экспериментов; В.Я. Рудяк, П.В. Мокрушников – обсуждение результатов исследования; П.В. Мокрушников – написание текста; В.Я. Рудяк – редактирование текста статьи.
Финансирование. Исследование выполнено при поддержке Российского научного фонда (грант № 20-19-00043).
Конфликт интересов. Авторы заявляют об отсутствии конфликта интересов.
Соблюдение этических норм. Все процедуры, выполненные в исследованиях с участием животных, соответствовали этическим стандартам учреждения, в котором проводились исследования, и утвержденным правовым актам РФ и международных организаций.
About the authors
P. V. Mokrushnikov
Novosibirsk State University of Architecture and Civil Engineering (Sibstrin)
Author for correspondence.
Email: pavel.mokrushnikov@bk.ru
Russian Federation, 630008 Novosibirsk
V. Ya. Rudyak
Novosibirsk State University of Architecture and Civil Engineering (Sibstrin); Institute of Thermophysics
Email: pavel.mokrushnikov@bk.ru
Russian Federation, 630008 Novosibirsk; 630090 Novosibirsk
References
- Боровская М. К., Кузнецова Э. Э., Горохова В. Г., Корякина Л. Б., Курильская Т. Е., Пивоваров Ю. И. (2010) Структурно-функциональная характеристика мембраны эритроцита и ее изменения при патологиях разного генеза, Бюллетень ВСНЦ СО РАМН, 3, 334-354.
- Боронихина Т. В., Ломановская Т. А., Яцковский А. Н. (2021) Плазмолемма эритроцитов и ее изменения в течение жизни клеток, Журн. Анат. Гистопатол., 10, 62-72.
- Mokrushnikov, P. V., Panin, L. E., and Zaitsev, B. N. (2015) The action of stress hormones on the structure and function of erythrocyte membrane, Gen. Physiol. Biophys., 34, 311-321.
- Мокрушников П. В., Панин Л. Е., Панин В. Е., Козельская А. И., Зайцев Б. Н. (2019) Структурные переходы в мембранах эритроцитов (экспериментальные и теоретические модели), Новосибирский государственный архитектурно-строительный университет (Сибстрин), Новосибирск.
- Mokrushnikov, P. V. (2019) In Lipid Bilayers: Properties, Behavior and Interactions (Mohammad Ashrafuzzaman, ed) Nova Science Publishers, New York, pp. 43-91.
- Мокрушников П. В. (2017) Механические напряжения в мембранах эритроцитов (теоретическая модель), Биофизика, 62, 330-335.
- Мокрушников П. В., Рудяк В. Я. (2023) Механическая модель образования складок на плазматической мембране, Докл. Акад. Наук Высш. Школы Российской Федерации, 59, 29-40.
- Panin, L. E., Mokrushnikov, P. V., Kunitsyn, V. G., Panin, V. E., and Zaitsev, B. N. (2011) Fundamentals of multilevel mesomechanics of nanostructural transitions in erythrocyte membranes and their destructions in interaction with stress hormones, Phys. Mesomech., 14, 167-177, https://doi.org/10.1016/j.physme.2011.08.008.
- Панин Л. Е., Мокрушников П. В. (2014) Воздействие андрогенов на активность Na+,K+-АТФазы эритроцитарных мембран, Биофизика, 59, 127-133.
- Куницын В. Г., Мокрушников П. В., Панин Л. Е. (2007) Механизм микроциркуляции эритроцита в капиллярном русле при физиологическом сдвиге pH, Бюлл. Сиб. Отдел. Росс. Акад. Мед. Наук, 5, 28-32.
- Мокрушников П. В. (2010) Влияние pH на поверхностное натяжение взвеси эритроцитов, Бюлл. Сиб. Отдел. Росс. Акад. Мед. Наук, 1, 38-46.
- Mokrushnikov, P. V., Rudyak, V. Ya., Lezhnev, E. V. (2021) Mechanism of gas molecule transport through erythrocytes’ membranes by kinks-solitons, Nanosystems Phys. Chem. Math., 12, 22-31, https://doi.org/10.17586/2220-8054-2021-12-1-22-31.
- Мокрушников П. В., Рудяк В. Я. (2023) Модель диффузии липидов в цитоплазматических мембранах, Биофизика, 68, 41-56.
- Dodge, J., Mitchell, C., and Hanahan, D. (1963) The preparation and chemical characteristics of hemoglobin-free ghosts of human erythrocytes, Arch. Biochem. Biophys., 100, 119-130, https://doi.org/10.1016/0003-9861(63)90042-0.
- Добрецов Г. Е. (1989) Флуоресцентные зонды в исследовании клеток, мембран и липопротеинов: монография, Наука, Москва.
- Dawson Rex, M. C., Elliot, D. C., Elliot, W. H., and Jones, K. M. (1986) Data for Biochemical Research, Clarendon Press, Oxford.
- ГСИ. Измерения косвенные. Определение результатов измерений и оценивание их погрешностей МИ 2083-90.
- Dembo, M., Glushko, V., Aberlin, M. E., and Sonenberg, M. (1979) A method for measuring membrane microviscosity using pyrene excimer formation. Application to human erythrocyte ghosts, Biochim. Biophys. Acta, 552, 201-211, https://doi.org/10.1016/0005-2736(79)90277-3.
- Владимиров Ю. А., Добрецов Г. Е. (1980) Флуоресцентные зонды в исследовании биологических мембран: монография, Наука, Москва.
- Yang, H., Yang, S., Kong, J., Dong, A., and Yu, S. (2015) Obtaining information about protein secondary structures in aqueous solution using Fourier transform IR spectroscopy, Nat. Protoc., 10, 382-396, https://doi.org/10.1038/nprot.2015.024.
- Barth, A., and Zscherp, C. (2002) What vibrations tell us about proteins, Quart. Rev. Biophys., 35, 369-430, https://doi.org/10.1017/S0033583502003815.
- Носенко Т. Н., Ситникова В. Е., Стрельникова И. Е., Фокина М. И. (2021) Практикум по колебательной спектроскопии, Изд. Университета ИТМО, СПб.
- Semenov, M. A., Bol’bukh, T. V., Kashpur, V. A., Maleyev, V. Ya., and Mrevlishvili, G. M. (1994) Hydration and stability of the β-form of LiDNA, Biophysics, 39, 47-54.
- Van Montfort, R., Slingsby, C., and Vierling, E. (2001) Structure and function of the small heat shock protein/alpha-crystallin family of molecular chaperones, Adv. Protein Chem., 59, 105-156, https://doi.org/10.1016/S0065-3233(01)59004-X.
- Vetri, V., D’Amico, M., Fodera, V., Leone, M., Ponzoni, A., Sberveglieri, G., and Militello, V. (2011) Bovine serum albumin protofibril-like aggregates formation: Solo but not simple mechanism, Arch. Biochem. Biophys., 508, 13-24, https://doi.org/10.1016/j.abb.2011.01.024.
- Sciandrone, B., Ami, D., D’Urzo, A., Angeli, E., Relini, A., Vanoni, M., Natalello, A., and Regonesi, M. E. (2023) HspB8 interacts with BAG3 in a “native-like” conformation forming a complex that displays chaperone-like activity, Protein Sci., 32, e4687, https://doi.org/10.1002/pro.4687.
- Killian, J. A., and von Heijne, G. (2000) How proteins adapt to a membrane-water interface, Trends Biochem. Sci., 25, 429-434, https://doi.org/10.1016/S0968-0004(00)01626-1.
- Montoyaa, M., and Gouaux, E. (2003) β-barrel membrane protein folding and structure viewed through the lens of α-hemolysin, Biochim. Biophys. Acta, 1609, 19-27, https://doi.org/10.1016/S0005-2736(02)00663-6.
- Довидченко Н. В., Леонова Е. И., Галзитская О. В. (2014) Механизмы образования амилоидных фибрилл, Усп. Биол. Хим., 54, 203-230.
- Sunde, M., and Blake, C. (1997) The structure of amyloid fibrils by electron microscopy and X-ray diffraction, Adv. Protein Chem., 50, 123-159, https://doi.org/10.1016/S0065-3233(08)60320-4.
- Кузнецов А. С., Дубовский П. В., Воронцова О. В., Феофанов А. В., Ефремов Р. Г. (2014) Взаимодействие линейных катионных пептидов с фосфолипидными мембранами и полимерами сиаловой кислоты, Биохимия, 79, 583-594.
- Ефремов Р. Г. (2015) Белки в мембранах: «хозяева» или гости? (по данным компьютерного эксперимента), Материалы VII Российского симпозиума «белки и пептиды». Новосибирск.
- Мокрушников П. В., Дударев А. Н., Ткаченко Т. А., Городецкая А. Ю., Усынин И. Ф. (2016) Влияние нативного и окислительно модифицированного аполипопротеина А-I на микровязкость липидного бислоя плазматической мембраны эритроцитов, Биол. Мембр., 33, 406-411, https://doi.org/10.7868/S0233475516060074.
- Ajees, A. A., Anantharamaiah, G. M., Mishra, V. K., Hussain, M. M., and Murthy, K. H. M. (2006) Crystal structure of lipid-free human apolipoprotein A-I, Proc. Natl. Acad. Sci. USA, 103, 2126-2131, https://doi.org/10.1073/pnas.0506877103.
- Acton, S., Rigotti, A., Landschulz, K.T., Xu, S., Hobbs, H.H., and Krieger, M. (1996) Identification of scavenger receptor SR-BI as a high density lipoprotein receptor, Science, 271, 518-520, https://doi.org/10.1126/science.271.5248.518.
- Ji, Y., Jian, B., Wang, N., Sun, Y., Moya, M. L., Phillips, M. C., Rothblat, G. H., Swaney, J.B., and Tall, A.R. (1997) Scavenger receptor BI promotes high density lipoprotein-mediated cellular cholesterol efflux, J. Biol. Chem., 272, 20982-20985, https://doi.org/10.1074/jbc.272.34.20982.
- Панин Л. Е., Тузиков Ф. В., Тузикова Н. А., Харьковский А. В., Усынин И. Ф. (1999) Влияние комплекса тетрагидрокортизол-аполипопротеин А-1 на биосинтез белка в гепатоцитах и на вторичную структуру эукариотических ДНК, Мол. Биол., 33, 673-678.
- Usynin, I. F., Dudarev, A. N., Miroshnichenko, S. M., Tkachenko, T. A., and Gorodetskaya, A. Yu. (2017) Effect of native and modified apolipoprotein A-I on DNA synthesis in cultures of different cells, Cell Technol. Biol. Med., 3, 247-251, https://doi.org/10.1007/s10517-017-3967-8.
- Bocharov, E. V., Okhrimenko, I. S., Volynsky, P. E., Pavlov, K. V., Zlobina, V. V., Bershatsky, Ya. V., Kryuchkova, A. K., Kuzmichev, P. K., and Efremov, R. G. (2024) Molecular interactions of β-amyloid peptides as disordered proteins and promising drugs based on D-enantiomeric peptides, in Bioinformatics of Genome Regulation and Structure/Systems Biology, Abstracts the 14th International Multiconference, Novosibirsk, https://doi.org/10.18699/bgrs2024-3.2-02.
- Бочаров, Э.В. (2024) Трансмембранный белок – предшественник β-амилоида в патогенезе болезни Альцгеймера и не только, Сборник тезисов докладов «VI Международной конференции ПОСТГЕНОМ’2024, XI Российского симпозиума «Белки и пептиды», Российско-китайского конгресса в области наук о жизни (ПСБ «Патриот», 29 октября–2 ноября 2024), стр. 263, М.: Издательство «Перо», [Электронное издание].
Supplementary files








