Purmorphamine Affects Anxiety-Like Behavior and Expressions of Hedgehog Pathway Components in Rat Brain after Withdrawal
- Authors: Peregud D.I.1,2, Shirobokova N.I.2, Kvichansky A.A.2, Stepanichev M.Y.2, Gulyaeva N.V.2,3
-
Affiliations:
- Serbsky National Medical Research Center for Psychiatry and Drug Addiction
- Institute of Higher Nervous Activity and Neurophysiology of the Russian Academy of Sciences
- Research and Clinical Center for Neuropsychiatry of Moscow Healthcare Department
- Issue: Vol 89, No 11 (2024)
- Pages: 1856-1869
- Section: Articles
- URL: https://ogarev-online.ru/0320-9725/article/view/282281
- DOI: https://doi.org/10.31857/S0320972524110087
- EDN: https://elibrary.ru/IKNTUB
- ID: 282281
Cite item
Full Text
Abstract
The Hedgehog (Hh) pathway underlies fetal alcohol syndrome during prenatal alcohol exposure. The involvement of Hh in the mechanisms of alcohol consumption in adulthood remains obscure. We aimed to investigate a role of Hh cascade in voluntary ethanol drinking, anxiety-like behavior during early abstinence and changes in expressions of Hh cascade components in brain regions. Intermittent access to 20% ethanol in a two-bottle choice procedure has been used to model voluntary alcohol drinking in Wistar male rats. Purmorphamine, an activator of the Hh cascade that exhibits Smoothened (Smo) receptor agonist properties, was administered systemically at a dose of 5 mg/kg before drinking sessions from 16 to 20. Purmorphamine had no effect on the level of ethanol preference, but the group with access to alcohol and receiving purmorphamine showed a change in anxiety-like behavior during early withdrawal period. Alcohol consumption affected Sonic hedgehog (Shh) and Patched (Ptch) mRNA content only in the amygdala. In the group that had access to ethanol and received purmorphamine, Shh mRNA levels in the amygdala were negatively correlated with time spent in the open arms of the elevated plus maze in the test of anxiety-like behavior. Thus, it was demonstrated for the first time that alterations of the Hh cascade by purmorphamine administration does not affect voluntary alcohol drinking, but Hh is possibly involved in the formation of anxiety during early withdrawal through specific changes in Hh cascade components in the amygdala.
Keywords
Full Text
Принятые сокращения: ТПП – тревожно-подобное поведение; Gli – транскрипционный фактор; Hh – секреторный белок Hedgehog; Ptch – трансмембранный белок Patched; Shh – белок Sonic hedgehog; Smo – рецептор Smoothened, ассоциированный с G-белками.
ВВЕДЕНИЕ
Секретируемые лиганды Hedgehog (Hh) играют ключевую роль в эмбриогенезе, функционировании стволовых клеток, а также принимают участие в поддержании гомеостаза тканей за счет регенерации в ответ на повреждение [1]. У млекопитающих известны три белка семейства: Sonic hedgehog (Shh), Desert hedgehog (Dhh) и Indian hedgehog (Ihh), при этом наиболее изучены функции Shh. Сигнальный каскад Hh представляет собой многокомпонентную цепь молекулярных событий, которая зависит от ряда факторов [2]. Далее, описана упрощенная модель активации соответствующего пути. В неактивном состоянии трансмембранный белок Patched (Ptch) блокирует рецептор, ассоциированный с G-белками – Smoothened (Smo); i) при активации каскада лиганд Hh связывается с Ptch; ii) в результате чего снимается ингибирующее влияние на Smo; iii) Smo запускает внутриклеточный каскад, который в результате активирует транскрипционный фактор Gli и последующую экспрессию генов-мишеней [2].
В связи с тем, что каскад Hh играет определяющую роль в пролиферации и дифференцировке клеток, нарушения в этом каскаде являются частью онкогенеза, что определяет интерес к этой системе при разработке фармакологических средств терапии злокачественных новообразований [3]. В настоящее время разработаны и одобрены к применению препараты, ингибирующие каскад Hh, которые используются при лечении некоторых видов рака. Тем не менее каскад Hh имеет важное значение для функционирования ЦНС. Помимо того, что белки Hh являются классическими морфогенами и опосредуют эмбриональное развитие ЦНС, они напрямую или опосредованно регулируют нейрогенез, рост аксонов и нейропластичность в зрелом мозге [4]. Белки Hh также участвуют в формировании реакции нервной ткани на окислительный стресс и воспаление [5]. Нарушение функционирования сигнальных каскадов, опосредованных Hh, связывают с развитием таких заболеваний нервной системы, как аутизм, депрессия, деменция, инсульт, эпилепсия, нейродегенеративные и демиелинизирующие заболевания [6]. В связи с этим поиск и создание агентов, способных оказывать влияние на данную систему, является перспективным направлением в разработке средств фармакологической коррекции заболеваний ЦНС [6].
Среди прочих соединений, которые могут оказывать влияние на путь Hh, привлекает внимание дериват пурина пурморфамин. Проявляя свойства агониста рецептора Smo, он запускает канонический каскад Hh, сопровождающийся активацией транскрипционного фактора Gli [7]. Пурморфамин демонстрирует эффективность при системном введении в ряде экспериментальных моделей заболеваний ЦНС. В моделях ишемии мозга на мышах пурморфамин ослабляет повреждение ткани мозга, а также развитие сопутствующего неврологического дефицита [8] и нарушений памяти [9]. Пурморфамин ослабляет проявления нейротоксичности пропионовой кислоты и бромистого этидия у крыс, включая нейродегенерацию, нарушения двигательной активности и обучения в водном лабиринте Морриса, а также развитие депрессивно-подобного поведения [10, 11].
Потребление алкоголя сопровождается комплексом адаптационных процессов на клеточном и молекулярном уровнях, что может лежать в основе перехода от контролируемого процесса к злоупотреблению и развитию зависимости, которая характеризуется абстинентными нарушениями [12]. Мезокортиколимбические структуры головного мозга, прежде всего фронтальная кора, амигдала, гиппокамп и стриатум, являются основными анатомическими субстратами, регулирующими различные аспекты воздействия алкоголя и формирования зависимости [13, 14]. Нейропластические процессы сопровождают чрезмерное потребление алкоголя, а также формирование зависимости [15, 16], и исследование молекулярных механизмов данного процесса остается одним из приоритетных направлений нейронауки.
Хорошо известно, что каскад Hh вовлечен в нарушения развития элементов костной ткани и ЦНС при пренатальном воздействии алкоголя, являясь одним из молекулярных звеньев, лежащих в основе фетального алкогольного синдрома [17, 18]. Тем не менее до сих пор роль Hh в регуляции потребления алкоголя и сопутствующих нарушений поведения в зрелом возрасте остается неизвестной, несмотря на актуальность и перспективность подобных исследований. Имеются косвенные указания на то, что каскад Hh может являться частью механизма, регулирующего потребление алкоголя и сопутствующие изменения функционирования ЦНС. В частности, было продемонстрировано, что экспрессия Ptch в гиппокампе крыс при ранней абстиненции зависит от паттерна потребления алкоголя в модели прерывистого доступа к 20%-ному раствору этилового спирта в режиме свободного выбора [19]. В данной модели крысы демонстрируют способность повышать уровень потребляемого алкоголя в достаточно высоких количествах (до 10 г/кг в сутки), что может соответствовать клинической картине при чрезмерном употреблении алкоголя [20]. Примечательно, что прерывистый доступ позволяет достичь потребления крысами большего количества алкоголя по сравнению с протоколами, использующими непрерывный доступ к раствору этанола [20]. При этом в период отмены до 72 ч, но не на более поздних сроках, могут отмечаться нарушения памяти, развитие тревожности и депрессивно-подобных симптомов, которые сопровождаются изменениями в ЦНС на молекулярном уровне [20]. На этой же модели потребления алкоголя было выявлено значительное повышение уровня Shh в гиппокампе и стриатуме крыс при ранней абстиненции, получавших миметик нейротрофического фактора мозга 7,8-дигидроксифлавон и имевших доступ к алкоголю, по сравнению с животными, имевшими только доступ к алкоголю [21].
Как указано выше, Hh принимает участие в реализации различных типов поведения. Применительно к потреблению алкоголя и сопутствующих отклонений важно, что активация каскада Hh в экспериментальных моделях способна ослаблять проявления обсессивно-компульсивного расстройства [22], а также оказывает анксиолитическое действие [23, 24]. Абстиненция после хронического потребления алкоголя среди прочего может проявляться развитием тревожно-подобных расстройств [25, 26], однако связь каскада Hh и этого типа поведения в контексте отмены алкоголя ранее не исследовалась.
На основании данных литературы и собственных исследований мы предположили, что активация сигнального каскада Hh может модифицировать потребление алкоголя и/или поведение в раннем абстинентном периоде. Таким образом, основной целью работы явилось исследование роли пурморфамина в потреблении алкоголя в модели прерывистого доступа к 20%-ному раствору этилового спирта в режиме свободного выбора и развитии тревожно-подобного поведения (ТПП) после отмены алкоголя у крыс. Поскольку повышение экспрессии элементов сигнального пути Hh считается молекулярным маркером активации каскада во многих типах клеток [3], в рамках поставленной цели мы оценивали регионарную специфичность изменения уровня мРНК Shh, Ptch, Smo и Gli в ключевых мезокортиколимбических отделах головного мозга крыс.
МАТЕРИАЛЫ И МЕТОДЫ
Животные. Работа была проведена с использованием крыс-самцов Wistar, полученных из филиала «Столбовая» ФГБУН «Научный центр биомедицинских технологий ФМБА» (Московская обл., Россия). Перед началом эксперимента средняя масса тела животных составляла 288 ± 4 г (возраст – 12 недель). Адаптационный период от момента поступления в виварий до введения в эксперимент составлял не менее 7 дней. Крыс содержали в индивидуальных клетках в условиях вивария при искусственном 12-часовом цикле освещения и постоянной температуре (21–23 °С) со свободным доступом к воде и гранулированному корму.
Дизайн эксперимента. Схема эксперимента и количество животных в группах представлены на рис. 1.
Рис. 1. Схема эксперимента. В работе использовали модель прерывистого доступа к 20%-ному раствору этилового спирта в условиях свободного выбора, согласно которой раствор спирта предъявляли совместно с водой на период 24 ч с последующей заменой спирта водой на 24 ч. Активатор каскада Hh, проявляющий свойства агониста рецептора Smo, пурморфамин вводили системно в дозе 5 мг/кг перед 16–20 сеансами предъявления алкоголя. Потребление алкоголя регистрировали в течение 20 сеансов предъявления, затем алкоголь отменяли. Тревожно-подобное поведение оценивали в открытом поле и приподнятом крестообразном лабиринте через сутки и двое суток после отмены алкоголя соответственно. На третий день после отмены алкоголя оценивали уровень мРНК элементов сигнального каскада Shh, Ptch, Smo и Gli во фронтальной коре, амигдале, гиппокампе и стриатуме
Прерывистый доступ к 20%-ному раствору этилового спирта. Модель прерывистого доступа к 20%-ному раствору этилового спирта в условиях свободного выбора была реализована согласно протоколу, предложенному Simms et al. [27] в 2008 г. В опытной группе 20%-ный раствор этилового спирта и воду предъявляли крысам одновременно в двух сосудах на период 24 ч. Крысы могли свободно выбирать жидкость для питья и самостоятельно определять количество выпитого. Экспозицию осуществляли в течение 20 сеансов, при этом чередуя положение сосудов в клетке. Перерывы между сеансами составляли 24 ч, в течение которых крысам предъявляли два сосуда с питьевой водой. Контрольная группа имела постоянный доступ к двум емкостям с водой. Сеанс предъявления раствора этанола начинался в темную фазу искусственного освещения. Сосуды и животных взвешивали каждый раз перед и после сеанса предъявления. Уровень предпочтения спирта воде рассчитывали по отношению объема потребленного раствора спирта за сеанс (сутки) к общему объему потребленной жидкости и выражали в процентах.
Введение пурморфамина. Пурморфамин (ab120933; «Abcam», США) в виде суспензии, содержащей 10% диметилсульфоксида, 40% ПЭГ-400 и 50% изотонического раствора хлорида натрия, вводили внутрибрюшинно в дозе 5 мг/кг (3 мл/кг) за 1 ч перед предъявлением раствора этанола (с 16 по 20 сеанс). Ранее было продемонстрировано, что пурморфамин при системном введении в дозе 5 мг/кг оказывает активность в отношении различных типов поведения у крыс [10, 11, 22]. Растворитель в объеме 3 мл/кг вводили животным, не получавшим пурморфамин. Накануне первого введения пурморфамина животные, которым предъявлялся этанол, были рандомизированы на основании предпочтения этанола воде за последние 5 сеансов. Были сформированы четыре экспериментальные группы: 1) группа «Контроль», которая имела постоянный доступ к двум емкостям с водой; 2) группа «Контроль + пурморфамин», представляющая собой контрольную группу, получавшую инъекции пурморфамина; 3) группа «Этанол», которой предоставлялся выбор 20%-ного раствора алкоголя, согласно описанной выше модели; и 4) группа «Этанол + пурморфамин», которой вводили пурморфамин перед предъявлением раствора этанола.
Поведение в открытом поле. Двигательную активность и тревожно-подобные нарушения поведения оценивали в открытом поле. Тестирование животных проводили в круглой арене белого цвета «Открытое поле для крыс» (TS0501-R; ООО «НПК Открытая Наука», Россия) диаметром 97 см и высотой стенок 42 см. Арена была поделена на три равных концентрических зоны (центр, середина и периферия). Освещенность арены составляла 500 люкс. Крыс помещали в центральную зону и позволяли исследовать арену в течение 5 мин. После каждого тестирования арену очищали 20%-ным раствором этилового спирта. Поведение животных регистрировали цифровой монохромной видеокамерой DMK 23GV024 GigE («The Imaging Source Europe GmbH», Германия) и анализировали с помощью программного обеспечения Ethovision XT11 («Noldus», Нидерланды). Оценивали пройденную дистанцию, скорость передвижения, время нахождения и число заходов в центр арены.
Поведение в приподнятом крестообразном лабиринте. Для оценки тревожно-подобных нарушений поведения использовали тест «Приподнятый крестообразный лабиринт». Установка «Приподнятый крестообразный лабиринт» для крыс (TS0502-R3; ООО «НПК Открытая Наука», Россия) состояла из 4-х рукавов (50 × 14 см), крестообразно расходящихся от центральной площадки (14 × 14 см): двух открытых, имеющих бортик по периметру высотой 1 см, и перпендикулярно к ним расположенных двух закрытых рукавов, со стенками высотой 30 см по периметру и открытым верхом. Лабиринт был поднят на высоту 50 см от пола и установлен таким образом, что его открытые рукава освещались так же, как и вся экспериментальная комната, в то время как закрытые рукава были затемнены. Освещенность установки составляла 500 люкс. Животное помещали на центральную площадку носом к открытому рукаву, и на протяжении 5 мин его поведение регистрировали цифровой монохромной видеокамерой DMK 23GV024 GigE. После каждого тестирования установку очищали 20%-ным раствором этилового спирта. Поведение животных анализировали с помощью программного обеспечения Ethovision XT11. Оценивали пройденную дистанцию, скорость передвижения, число заходов и время, проведенное в рукавах лабиринта, а также число свешиваний и вытягиваний.
ПЦР. Животных декапитировали, вынимали головной мозг, промывали его в ледяном изотоническом растворе хлорида натрия и на льду выделяли области головного мозга, соответствующие фронтальной коре, амигдале, гиппокампу и стриатуму. До проведения исследования образцы тканей хранились при −80 °С. Суммарную РНК из образцов экстрагировали с использованием реагента ExtractRNA (#BC032; «Евроген», Россия). Для удаления примесей геномной ДНК образцы РНК обрабатывали 2,5 Ед. DNase I (#M0303; «NEB», США). Обратную транскрипцию проводили с помощью 100 Ед. обратной транскриптазы Protoscript II (#M0368; «NEB») в присутствии 0,5 мкг суммарной РНК, 1 мкМ Олиго(dT)15, а также 1 мкМ случайных декануклеотидов (#SB001 и #SB002 соответственно; «Евроген») в качестве праймеров. ПЦР проводили с использованием термоциклера CFX96 («Bio-Rad», США) в двух параллельных образцах в присутствии 2 пмоль синтетических олигонуклеотидов в качестве праймеров с помощью готовой смеси для ПЦР qPCRmix-HS SYBR (#PK147S; «Евроген»). Последовательности праймеров, использованных для амплификации Shh [28], Ptch и Smo [29], Gli [30], а также rpS18 [31], были описаны ранее. Относительный уровень мРНК оценивали с помощью сравнительного анализа [32].
Статистический анализ. Статистическую обработку и анализ результатов проводили при помощи пакета программ STATISTICA 8.0 («StatSoft Inc.», США) и Prism 8.0 («GraphPad Software Inc.», США). Критерий Шапиро–Уилка использовали для тестирования соответствия распределения значений переменных в исследованных выборках нормальному. Данные представлены в виде среднего арифметического ± ошибка среднего либо в виде медианы и межквартильного интервала. При расчете различий уровня предпочтения спирта воде при первом предъявлении от каждого последующего использовали модель со смешанными эффектами (модель ограниченного максимального правдоподобия) и критерий Даннета для множественного сравнения. При расчете значимости различий между зависимыми выборками использовали дисперсионный анализ (ANOVA) с повторными измерениями и тест Тьюки для множественного сравнения средних. При сравнении нескольких независимых выборок использовали двухфакторный ANOVA и тест Тьюки для множественного сравнения средних или ранговый дисперсионный анализ Краскела–Уоллиса и последующий post hoc анализ множественных сравнений с помощью теста Данна. Корреляционный анализ проводили, рассчитывая коэффициент корреляции Спирмана. Различия считались достоверными при значениях p < 0,05.
РЕЗУЛЬТАТЫ ИССЛЕДОВАНИЯ
Предпочтение раствора этанола воде. Использование модели со смешанными эффектами показало, что уровень предпочтения алкоголя воде значимо различается между сеансами (F = 2,453; p = 0,034). При этом, согласно критерию Даннета, животные демонстрировали повышение уровня предпочтения спирта воде, который после сеансов 7–9 и 12–13 был выше по сравнению с данным показателем после первого сеанса (рис. 2).
Рис. 2. Динамика предпочтения этанола воде в модели прерывистого доступа к 20%-ному раствору этанола в условиях свободного выбора. Данные представлены в виде среднего арифметического ± ошибка среднего. Достоверность различий от уровня предпочтения спирта воде после первого сеанса предъявления спирта (модель со смешанными эффектами и критерий Даннета для множественного сравнения): * p < 0,05; ** p < 0,005
Далее, исследовали эффект введения пурморфамина на предпочтение алкоголя воде (рис. 3). Согласно ANOVA с повторными измерениями, сеанс предъявления этанола оказывал значимый эффект на уровень предпочтения алкоголя воде (F(5,60) = 5,269; p < 0,001). При этом эффект введения пурморфамина отсутствовал (F(1,12) = 0,110; p = 0,745). Взаимодействие эффектов сеанса предъявления и введения пурморфамина также не оказывало значимое влияние на предпочтение этанола воде (F(5,60) = 0,237; p = 0,945).
Рис. 3. Влияние пурморфамина на предпочтение раствора этанола воде в модели прерывистого доступа в условиях свободного выбора. Р – рандомизация по уровню предпочтения за последние 5 сеансов перед началом серии введений пурморфамина. П – внутрибрюшинное введение пурморфамина в дозе 5 мг/кг за один час перед 16–20 сеансами предъявления этанола. Данные представлены в виде среднего арифметического ± ошибка среднего
Поведение в открытом поле. Через сутки после отмены алкоголя оценивали показатели ТПП в тесте «Открытое поле» (рис. 4). Ни время нахождения в центре арены (рис. 4, а; H(3,29) = 0,728; p = 0,867), ни число заходов в центр (рис. 4. б; H(3,29) = 0,605; p = 0,895) не различались между экспериментальными группами. Пройденная дистанция и скорость передвижения в открытом поле не различались между экспериментальными группами (данные не представлены).
Рис. 4. Влияние пурморфамина на тревожно-подобное поведение в открытом поле после реализации модели прерывистого доступа к этанолу в условиях свободного выбора. Пурморфамин вводили внутрибрюшинно в дозе 5 мг/кг за один час перед 16–20 сеансами предъявления этанола. Тест «Открытое поле» проводили через сутки после отмены алкоголя. а – Время нахождения в центральной зоне арены; б – число заходов в центральную зону арены. Данные представлены в виде медианы и межквартильного интервала
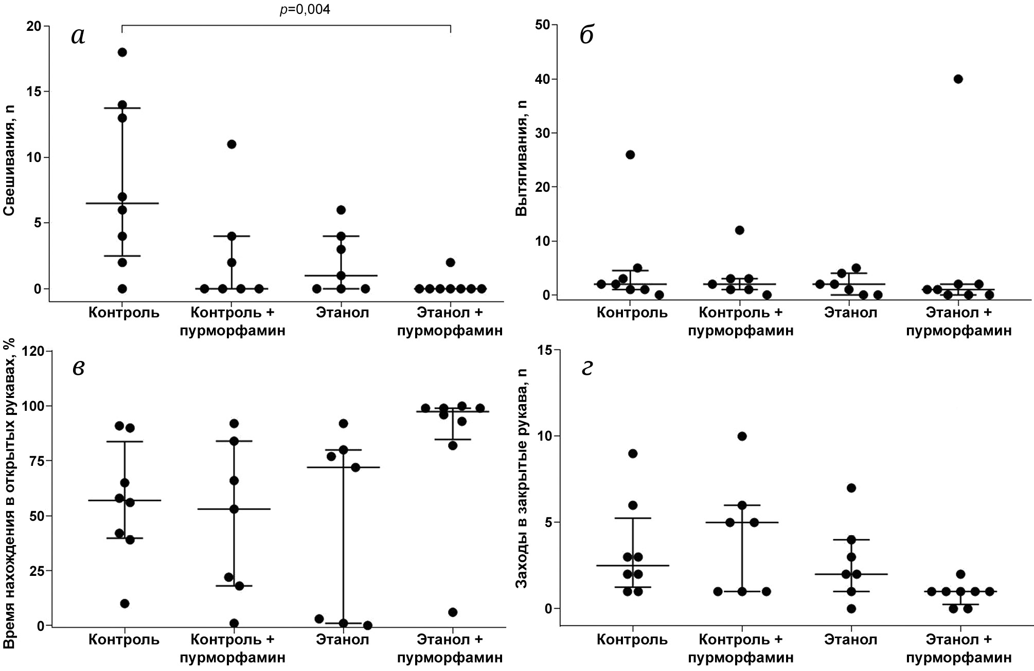
Поведение в приподнятом крестообразном лабиринте. Через двое суток после отмены алкоголя оценивали поведение в тесте «Приподнятый крестообразный лабиринт» (рис. 5). Согласно ранговому критерию Краскела–Уоллиса, экспериментальные группы различались по числу свешиваний (рис. 5, а; H(3,30) = 11,800; p = 0,008), времени нахождения в открытых рукавах (рис. 5, в; H(3,30) = 9,440; p = 0,024), числу заходов в закрытые рукава (рис. 5, г; H(3,30) = 8,121; p = 0,044), но не числу заходов в открытые рукава (данные не представлены; H(3,30) = 1,985; p = 0,576) и числу вытягиваний (рис. 5, б; H(3,30) = 1,604; p = 0,659). Последующий post hoc анализ множественных сравнений с помощью теста Данна показал, что число свешиваний в группе «Этанол + пурморфамин» было значимо ниже по сравнению с группой «Контроль» (рис. 5, а). Кроме того, в группе «Этанол + пурморфамин» наблюдалась тенденция (p < 0,1) к увеличению времени нахождения в открытых рукавах лабиринта по сравнению с группами «Контроль + пурморфамин» (p = 0,084) и «Этанол» (p = 0,053; рис. 5, в), а также снижения числа заходов в закрытые рукава лабиринта по сравнению группами «Контроль» (p = 0,088) и «Контроль + пурморфамин» (p = 0,095; рис. 5, г). Пройденная дистанция и скорость передвижения в приподнятом крестообразном лабиринте не различались между экспериментальными группами (данные не представлены).
Рис. 5. Влияние пурморфамина на поведение в приподнятом крестообразном лабиринте после реализации модели прерывистого доступа к этанолу в условиях свободного выбора. Пурморфамин вводили внутрибрюшинно в дозе 5 мг/кг за один час перед 16–20 сеансами предъявления этанола. Тест проводили через двое суток после отмены алкоголя. Ранговый критерий Краскела–Уоллиса и последующий post hoc анализ множественных сравнений с помощью теста Данна. а – Число свешиваний; б – число вытягиваний; в – время нахождения в отрытых рукавах лабиринта; г – число заходов в закрытые рукава лабиринта. Данные представлены в виде медианы и межквартильного интервала
Экспрессия Shh, Ptch, Smo и Gli в структурах мозга. Через трое суток после отмены алкоголя оценивали относительное содержание мРНК компонентов сигнального каскада Shh, Ptch, Smo и Gli во фронтальной коре, амигдале, гиппокампе и стриатуме (табл. 1). Согласно ANOVA, фактор «этанол» оказывал значимый эффект на относительный уровень Shh в амигдале, при этом эффект фактора «пурморфамин» и взаимодействие «этанол» × «пурморфамин» не достигали уровня значимости (табл. 1). Кроме того, фактор «этанол», но не фактор «пурморфамин» и взаимодействие «этанол» × «пурморфамин», также оказывал значимый эффект на относительный уровень Ptch в амигдале (табл. 1). Последующее множественное сравнение средних не выявило значимых различий между группами. Тем не менее необходимо отметить, что в группе «Этанол + пурморфамин» отмечалась тенденция (p < 0,1) снижения уровня мРНК Shh в амигдале по сравнению с группами «Контроль» (p = 0,068) и «Контроль + пурморфамин» (p = 0,062) (рис. 6). Вместе с тем в группе «Этанол + пурморфамин» уровень мРНК Shh в амигдале образовывал значимые обратные корреляционные отношения с временем нахождения в открытых рукавах приподнятого крестообразного лабиринта (r = −0,786; p = 0,036). Тогда как корреляция этих показателей в группах «Контроль» (r = 0,167; p = 0,693), «Контроль + пурморфамин» (r = −0,071; p = 0,879) и «Этанол» (r = 0,357; p = 0,432) не достигала уровня значимости. Значимых изменений уровня Ptch, Smo и Gli в амигдале, а также всех исследованных мРНК во фронтальной коре, гиппокампе и стриатуме обнаружено не было (табл. 1).
Рис. 6. Влияние пурморфамина на относительное содержание мРНК Shh в амигдале после реализации модели прерывистого доступа к этанолу в условиях свободного выбора. Пурморфамин вводили внутрибрюшинно в дозе 5 мг/кг за один час перед 16–20 сеансами предъявления этанола. Уровень мРНК оценивали с помощью ПЦР через трое суток после отмены алкоголя. Данные представлены в виде среднего арифметического ± ошибка среднего
Таблица 1. Относительное содержание мРНК компонентов сигнального каскада Shh в отделах головного мозга после реализации модели прерывистого доступа к этанолу в условиях свободного выбора
Отдел мозга | мРНК | Контроль, n = 8 | Контроль + пурморфамин, n = 7 | Этанол, n = 7 | Этанол + пурморфамин, n = 8 | ANOVA: F; p | ||
Этанол | Пурморфамин | Этанол × пурморфамин | ||||||
Фронтальная кора | Shh | 1,03 ± 0,11 | 1,17 ± 0,09 | 1,21 ± 0,14 | 1,03 ± 0,16 | 0,02; 0,89 | 0,02; 0,89 | 1,46; 0,24 |
Ptch | 1,03 ± 0,10 | 1,13 ± 0,08 | 1,08 ± 0,10 | 1,00 ± 0,16 | 0,11; 0,74 | 0,01; 0,91 | 0,69; 0,42 | |
Smo | 1,05 ± 0,13 | 1,10 ± 0,08 | 1,00 ± 0,12 | 1,03 ± 0,10 | 0,34; 0,57 | 0,17; 0,68 | 0,01; 0,92 | |
Gli | 1,09 ± 0,18 | 1,20 ± 0,22 | 1,54 ± 0,36 | 1,06 ± 0,26 | 0,32; 0,58 | 0,48; 0,49 | 1,24; 0,28 | |
Амигдала | Shh | 1,01 ± 0,04 | 1,02 ± 0,10 | 0,89 ± 0,07 | 0,76 ± 0,04 | 7,58; 0,01 | 0,76; 0,39 | 1,10; 0,30 |
Ptch | 1,02 ± 0,07 | 1,05 ± 0,06 | 0,93 ± 0,07 | 0,81 ± 0,11 | 4,28; 0,05 | 0,30; 0,59 | 0,90; 0,35 | |
Smo | 1,02 ± 0,07 | 1,10 ± 0,07 | 0,96 ± 0,06 | 0,94 ± 0,12 | 1,55; 0,22 | 0,10; 0,75 | 0,33; 0,57 | |
Gli | 1,22 ± 0,29 | 1,21 ± 0,14 | 1,04 ± 0,11 | 1,05 ± 0,27 | 0,60; 0,45 | 0,00; 0,99 | 0,00; 0,98 | |
Гиппокамп | Shh | 1,02 ± 0,08 | 0,86 ± 0,13 | 0,98 ± 0,07 | 0,85 ± 0,06 | 0,09; 0,77 | 2,82; 0,11 | 0,05; 0,83 |
Ptch | 1,03 ± 0,09 | 0,91 ± 0,13 | 0,97 ± 0,10 | 0,73 ± 0,08 | 1,29; 0,27 | 3,21; 0,08 | 0,34; 0,56 | |
Smo | 1,03 ± 0,09 | 0,99 ± 0,17 | 1,10 ± 0,13 | 0,82 ± 0,09 | 0,18; 0,68 | 1,82; 0,19 | 1,07; 0,31 | |
Gli | 1,05 ± 0,11 | 0,84 ± 0,23 | 0,92 ± 0,07 | 0,75 ± 0,07 | 0,69; 0,41 | 2,02; 0,17 | 0,02; 0,88 | |
Стриатум | Shh | 1,09 ± 0,16 | 1,43 ± 0,17 | 1,09 ± 0,17 | 1,28 ± 0,14 | 0,20; 0,66 | 2,76; 0,11 | 0,22; 0,64 |
Ptch | 1,05 ± 0,10 | 1,07 ± 0,09 | 1,12 ± 0,18 | 1,09 ± 0,07 | 0,17; 0,68 | 0,00; 0,98 | 0,04; 0,85 | |
Smo | 1,04 ± 0,10 | 0,95 ± 0,10 | 1,17 ± 0,19 | 1,03 ± 0,11 | 0,70; 0,41 | 0,78; 0,39 | 0,05; 0,83 | |
Gli | 1,17 ± 0,25 | 1,08 ± 0,11 | 1,13 ± 0,27 | 1,03 ± 0,12 | 0,05; 0,83 | 0,21; 0,65 | 0,00; 0,99 | |
Примечание: Полужирный шрифт – статистически значимые различия (двухфакторный ANOVA).
ОБСУЖДЕНИЕ РЕЗУЛЬТАТОВ
Каскад Hh и потребление алкоголя. Вовлеченность Hh в механизмы потребления алкоголя и развития нарушений, сопутствующих хронической интоксикации в зрелом возрасте, не изучена. В настоящей работе впервые была проведена оценка влияния пурморфамина на потребление алкоголя половозрелыми крысами в условиях свободного выбора. Согласно полученным результатам, пурморфамин не оказывал значимого эффекта на предпочтение этанола воде. Тем не менее в этом контексте необходимо упомянуть данные литературы относительно эффективности пурморфамина в модели обсцессивно-компульсивного расстройства, которое может быть связано с формированием патологических форм потребления алкоголя. В частности, было продемонстрировано, что поведение, подобное обсцессивно-компульсивному, вызванное введением агониста серотониновых рецепторов 1А-подтипа в ядра шва, ослаблялось при системном введении пурморфамина [22]. Помимо прочего, в этой модели наблюдали снижение уровня Shh в цереброспинальной жидкости, плазме крови и ткани мозга, при этом пурморфамин, сам по себе не влияя на содержание Shh, нормализовал его уровень [22].
Каскад Hh и тревожно-подобное поведение. Тревожность – это типичное аффективное расстройство на фоне синдрома отмены алкоголя [25, 26]. В экспериментальных моделях потребление алкоголя в условиях свободного выбора, в том числе и на модели прерывистого доступа, сопровождается изменением ТПП. Показано, что после отмены прерывистого доступа к 20%-ному раствору этанола наблюдается выраженное ТПП как в открытом поле, так и в приподнятом крестообразном лабиринте у мышей [33] и крыс [34]. Однако некоторые группы исследователей не обнаружили влияния потребления алкоголя в условиях свободного выбора на ТПП. Так, предоставление доступа в условиях свободного выбора к 10%-ному раствору алкоголя на 4 ч в темную фазу суток в течение 12 дней не оказывает влияния на число заходов в центр открытого поля спустя 8 дней после отмены [35]. Не было зарегистрировано изменений поведения в приподнятом крестообразном лабиринте ни спустя сутки [36], ни спустя 1 неделю [37] после отмены процедуры прерывистого доступа к 20%-ному раствору этанола. Аналогично, непрерывный доступ к алкоголю в условиях свободного выбора не оказывал влияния на поведение в приподнятом крестообразном лабиринте [38]. Можно заключить, что к настоящему моменту есть достаточно противоречивые указания на то, что добровольное потребление алкоголя грызунами может модифицировать поведение в тестах, позволяющих оценивать уровень тревожности. В настоящей работе мы также не обнаружили изменений поведения после отмены алкоголя ни в открытом поле, ни в приподнятом крестообразном лабиринте.
Известно, что каскад Hh может составлять молекулярный механизм реализации ТПП. Прямое участие семейства белков Hh в регуляции поведения было продемонстрировано на мышах после генетического нокаута Dhh [39]. Подробно характеризуя разные формы поведения, включая двигательную активность, обучение и формирование памяти, а также тревожно- и депрессивно-подобные формы поведения, у самцов этой линии авторы обнаружили усиление депрессивно-подобного поведения в тесте вынужденного плавания и ТПП в питьевом конфликтном тесте Фогеля по сравнению с животными дикого типа [39]. В модели фетального алкогольного синдрома с использованием Danio rerio показано, что при экспозиции этанола в раннем эмбриогенезе повышенный уровень экспрессии Shh противодействует дисморфогенезу ЦНС и развитию ТПП на поздних сроках развития [40]. Условный нокаут Smo в нейральных стволовых клетках нарушает нейрогенез в зрелом гиппокампе, что сопровождается усилением тревожно- и депрессивно-подобного поведения, не влияя на двигательные способности или обучение [23].
В настоящей работе мы впервые продемонстрировали, что изменение поведения в приподнятом крестообразном лабиринте возможно, как следствие взаимодействия потребления алкоголя в условиях свободного выбора и системного введения пурморфамина, активирующего каскад Shh. Таким образом, полученные результаты в целом соответствуют концепции о том, что стимуляция каскада Hh проявляет «анксиолитические» свойства при условии доступа к алкоголю, о чем свидетельствует наличие статистической тенденции к увеличению времени, проводимого в открытых рукавах, и уменьшению заходов в закрытые рукава.
Биохимические маркеры активации каскада Hh в мозге и тревожно-подобное поведение при отмене алкоголя. В настоящей работе, согласно дисперсионному ANOVA, потребление алкоголя оказывало влияние только на содержание мРНК Shh и Ptch специфически в амигдале, т.е. было специфичным в отношении этой структуры мозга, отвечающей за формирование эмоций, связанных с тревогой. Поскольку стимуляция транскрипции генов, составляющих каскад Hh (прежде всего Ptch и Gli), считается маркером активации каскада Hh во многих типах клеток [3], включая глию [41] и нейроны [42, 43], мы ожидали увидеть их увеличение в отделах головного мозга животных, получавших пурморфамин. Вопреки ожиданиям, мы не зарегистрировали увеличения, напротив, очевидна статистическая тенденция к снижению мРНК Shh в группе животных, имевших доступ к алкоголю и получавших пурморфамин.
В экспериментальных моделях экспрессия компонентов сигнального каскада Hh в отделах мозга может отражать нейропротективные свойства некоторых соединений или их активность в отношении поведения, включая ТПП. При этом прямая фармакологическая активность данных веществ не обязательно связана с каскадом Hh.
Так, в модели хронического непредсказуемого стресса у крыс флаванон наригенин препятствовал развитию депрессивно-подобного поведения в тесте вынужденного плавания и когнитивных нарушений в водном лабиринте Морриcа, что сопровождалось нормализацией сниженного при стрессе содержания мРНК Shh и Gli в гиппокампе [44]. Также в модели хронического непредсказуемого стресса у крыс усиление тревожности сопровождалось снижением содержания мРНК Shh и Gli в гиппокампе, тогда как никотин способен нивелировать как нарушения поведения, так и изменения экспрессии [45].
Интоксикация крыс пропионовой кислотой или бромистым этидием сопровождается снижением Shh в головном мозге, при этом системное введение пурморфамина оказывает нейропротективный эффект в этих моделях, что сопровождается нормализацией уровня Shh [10, 11]. Хроническое системное введение агониста Smo SAG (Smoothened agonist), который является производным бензотиофена, ослабляло развившееся в результате содержания мышей на диете с высокой долей жиров в рационе ТПП в открытом поле и приподнятом крестообразном лабиринте [24]. При этом сам SAG, не влияя на Shh в неокортексе, нормализовал его сниженное содержание при этой диете [24]. Кроме того, системное введение пурморфамина мышам после окклюзии средней мозговой артерии снижает объем инфаркта и ослабляет развитие неврологического дефицита, что сопровождается снижением апоптотической гибели нейронов [8]. Интересно, что окклюзия средней мозговой артерии сопровождается повышением экспрессии мРНК компонентов каскада Shh, Ptch, Smo и Gli в неокортексе, однако пурморфамин, проявляя физиологическую активность, тем не менее не оказывал влияния на их экспрессию [8]. Таким образом, активность пурморфамина не обязательно отражается в изменении экспрессии элементов сигнального каскада Hh.
Согласно полученным результатам, поведение в крестообразном лабиринте так же, как и содержание Shh в амигдале, демонстрировали тенденцию к разнонаправленному изменению в группе «Этанол + пурморфамин». Эта закономерность подтверждается наличием обратной корреляции времени, проведенного в открытых рукавах лабиринта, и относительным содержанием мРНК Shh в амигдале только в этой группе животных. Амигдалоидный комплекс играет ключевую роль в формировании реакции на стрессовое воздействие и реализации тревожности [46–48]. Активность этой области мозга динамически изменяется в период отмены после хронической прерывистой интоксикации парами алкоголя и может быть связана с проявлениями отмены [49, 50]. Данных относительно функций Hh в амигдале достаточно мало, за исключением нескольких работ, в которых показана вовлеченность Hh в механизмы памяти. Так, выработка условной реакции страха при сочетании звукового сигнала и удара электрическим током сопровождается увеличением числа пролиферирующих клеток и уровня Shh, Ptch и Gli в амигдале у мышей [51]. При этом подавление Shh в митотических нейронах базолатеральной амигдалы посредством инъекции ретровируса с интерферирующими РНК ослабляет выработку условной реакции страха и нейрогенез [51]. Кроме того, Shh за счет регуляции нейрогенеза в амигдале регулирует затухание условной реакции страха со временем, поскольку оверэкспрессия Shh в амигдале стимулирует нейрогенез и ослабление реакции страха, тогда как интерферирующие РНК оказывают противоположный эффект [52].
ЗАКЛЮЧЕНИЕ
В настоящей работе впервые исследована активность пурморфамина в отношении потребления раствора этилового спирта крысами в условиях свободного выбора, а также поведения в открытом поле и приподнятом крестообразном лабиринте после отмены алкоголя. При том что пурморфамин не модифицировал предпочтения алкоголя воде, отмечалось изменение поведения в приподнятом крестообразном лабиринте после отмены алкоголя. Согласно полученным результатам, поведение в крестообразном лабиринте, так же как и содержание мРНК Shh, специфически в амигдале демонстрировали тенденцию к разнонаправленному изменению и образовывали обратную корреляцию только при условии сочетания доступа к алкоголю и введения пурморфамина. Полученные данные могут свидетельствовать об участии сигнального пути Shh в развитии амигдалярных механизмов эмоциональных нарушений, связанных с абстиненцией, однако для выяснения конкретных деталей этого участия должны быть проведены дальнейшие исследования.
Вклад авторов. Д.И. Перегуд – концепция, проведение экспериментов, анализ результатов, написание текста статьи, руководство проектом; Н.И. Широбокова – проведение экспериментов; А.А. Квичанский – проведение экспериментов; М.Ю. Степаничев – концепция, редактирование текста статьи; Н.В. Гуляева – концепция, окончательное редактирование статьи, общее руководство проектом.
Финансирование. Работа выполнена в рамках государственного задания Министерства образования и науки Российской Федерации «Нейрофизиологические и биохимические механизмы патологии нервной системы, нейродегенерация». Регистрационный номер: 1021062411628-8-3.1.4.
Конфликт интересов. Авторы заявляют об отсутствии конфликта интересов.
Соблюдение этических норм. Все манипуляции с животными проводили в соответствии с международными рекомендациями по проведению медико-биологических исследований с использованием животных (Guide for the Care and Use of Laboratory Animals: Eighth Edition. 2010), требованиями Европейской конвенции о защите позвоночных животных, используемых для экспериментов или в иных научных целях (Страсбург, 1986 c приложением от 15.06.2006), принципами надлежащей лабораторной практики (приказ Министерства здравоохранения РФ № 199н от 01.04.2016, ГОСТ Р 53434-2009), а также в соответствии с «Правилами работы с животными», утвержденными биоэтической комиссией Института.
About the authors
D. I. Peregud
Serbsky National Medical Research Center for Psychiatry and Drug Addiction; Institute of Higher Nervous Activity and Neurophysiology of the Russian Academy of Sciences
Author for correspondence.
Email: peregud_d@yahoo.com
Russian Federation, 119034, Moscow; 117485, Moscow
N. I. Shirobokova
Institute of Higher Nervous Activity and Neurophysiology of the Russian Academy of Sciences
Email: peregud_d@yahoo.com
Russian Federation, 117485, Moscow
A. A. Kvichansky
Institute of Higher Nervous Activity and Neurophysiology of the Russian Academy of Sciences
Email: peregud_d@yahoo.com
Russian Federation, 117485, Moscow
M. Yu. Stepanichev
Institute of Higher Nervous Activity and Neurophysiology of the Russian Academy of Sciences
Email: peregud_d@yahoo.com
Russian Federation, 117485, Moscow
N. V. Gulyaeva
Institute of Higher Nervous Activity and Neurophysiology of the Russian Academy of Sciences; Research and Clinical Center for Neuropsychiatry of Moscow Healthcare Department
Email: peregud_d@yahoo.com
Russian Federation, 117485, Moscow; 115419, Moscow
References
- Briscoe, J., and Thérond, P. P. (2013) The mechanisms of Hedgehog signalling and its roles in development and disease, Nat. Rev. Mol. Cell. Biol., 14, 416-429, https://doi.org/10.1038/nrm3598.
- Zhang, Y., and Beachy, P. A. (2023) Cellular and molecular mechanisms of Hedgehog signalling, Nat. Rev. Mol. Cell. Biol., 24, 668-687, https://doi.org/10.1038/s41580-023-00591-1.
- Jing, J., Wu, Z., Wang, J., Luo, G., Lin, H., Fan, Y., and Zhou, C. (2023) Hedgehog signaling in tissue homeostasis, cancers, and targeted therapies, Signal Transduct. Target Ther., 8, 315, https://doi.org/10.1038/s41392-023-01559-5.
- Chen, S. D., Yang, J. L., Hwang, W. C., and Yang, D. I. (2018) Emerging roles of sonic Hedgehog in adult neurological diseases: neurogenesis and beyond, Int. J. Mol. Sci., 19, 2423, https://doi.org/10.3390/ijms19082423.
- Yao, P. J., Petralia, R. S., and Mattson, M. P. (2016) Sonic Hedgehog signaling and hippocampal neuroplasticity, Trends Neurosci., 39, 840-850, https://doi.org/10.1016/j.tins.2016.10.001.
- Patel, S. S., Tomar, S., Sharma, D., Mahindroo, N., and Udayabanu, M. (2017) Targeting sonic hedgehog signaling in neurological disorders, Neurosci. Biobehav. Rev., 74, 76-97, https://doi.org/10.1016/j.neubiorev.2017.01.008.
- Sinha, S., and Chen, J. K. (2006) Purmorphamine activates the Hedgehog pathway by targeting Smoothened, Nat. Chem. Biol., 2, 29-30, https://doi.org/10.1038/nchembio753.
- Chechneva, O. V., Mayrhofer, F., Daugherty, D. J., Krishnamurty, R. G., Bannerman, P., Pleasure, D. E., and Deng, W. (2014) A Smoothened receptor agonist is neuroprotective and promotes regeneration after ischemic brain injury, Cell Death Dis., 5, e1481, https://doi.org/10.1038/cddis.2014.446.
- Liu, D., Bai, X., Ma, W., Xin, D., Chu, X., Yuan, H., Qiu, J., Ke, H., Yin, S., Chen, W., and Wang, Z. (2020) Purmorphamine attenuates neuro-inflammation and synaptic impairments after hypoxic-ischemic injury in neonatal mice via shh signaling, Front. Pharmacol., 11, 204, https://doi.org/10.3389/fphar.2020.00204
- Rahi, S., Gupta, R., Sharma, A., and Mehan, S. (2021) Smo–Shh signaling activator purmorphamine ameliorates neurobehavioral, molecular, and morphological alterations in an intracerebroventricular propionic acid-induced experimental model of autism, Hum. Exp. Toxicol., 40, 1880-1898, https://doi.org/10.1177/ 09603271211013456.
- Prajapati, A., Mehan, S., Khan, Z., Chhabra, S., and Das Gupta, G. (2024) Purmorphamine, a Smo–Shh/Gli activator, promotes sonic hedgehog-mediated neurogenesis and restores behavioural and neurochemical deficits in experimental model of multiple sclerosis, Neurochem. Res., 49, 1556-1576, https://doi.org/10.1007/s11064023-04082-9.
- Egervari, G., Siciliano, C. A., Whiteley, E. L., and Ron, D. (2021) Alcohol and the brain: from genes to circuits, Trends Neurosci., 44, 1004-1015, https://doi.org/10.1016/j.tins.2021.09.006.
- Gilpin, N. W., and Koob, G. F. (2008) Neurobiology of alcohol dependence: focus on motivational mechanisms, Alcohol Res. Health, 31, 185-195.
- Abrahao, K. P., Salinas, A. G., and Lovinger, D. M. (2017) Alcohol and the brain: neuronal molecular targets, synapses, and circuits, Neuron, 96, 1223-1238, https://doi.org/10.1016/j.neuron.2017.10.032.
- Fein, G., and Cardenas, V. A. (2015) Neuroplasticity in human alcoholism: studies of extended abstinence with potential treatment implications, Alcohol Res., 37, 125-141.
- Loheswaran, G., Barr, M. S., Rajji, T. K., Blumberger, D. M., Le Foll, B., and Daskalakis, Z. J. (2016) Alcohol intoxication by binge drinking impairs neuroplasticity, Brain Stimul., 9, 27-32, https://doi.org/ 10.1016/j.brs.2015.08.011.
- Smith, S. M., Garic, A., Flentke, G. R., and Berres, M. E. (2014) Neural crest development in fetal alcohol syndrome, Birth Defects Res C Embryo Today, 102, 210-220, https://doi.org/10.1002/bdrc.21078.
- Ehrhart, F., Roozen, S., Verbeek, J., Koek, G., Kok, G., van Kranen, H., Evelo, C. T., and Curfs, L. M. G (2018) Review and gap analysis: molecular pathways leading to fetal alcohol spectrum disorders, Mol. Psychiatry, 24, 10-17, https://doi.org/10.1038/s41380-018-0095-4.
- Peregud, D., Stepanichev, M., and Gulyaeva, N. (2021) Expression of the hippocampal PTCH during early abstinence is associated with drinking patterns in a rat model of voluntary alcohol intake, Neuroreport, 32, 757-761, https://doi.org/10.1097/WNR.0000000000001646.
- Carnicella, S., Ron, D., and Barak, S. (2014) Intermittent ethanol access schedule in rats as a preclinical model of alcohol abuse, Alcohol, 48, 243-252, https://doi.org/10.1016/j.alcohol.2014.01.006.
- Peregud, D., Kvichansky, A., Shirobokova, N., Stepanichev, M., and Gulyaeva, N. (2022) 7,8-DHF enhances SHH in the hippocampus and striatum during early abstinence but has minor effects on alcohol intake in IA2BC paradigm and abstinence-related anxiety-like behavior in rats, Neurosci. Lett., 781, 136671, https://doi.org/ 10.1016/j.neulet.2022.136671.
- Gupta, R., Mehan, S., Sethi, P., Prajapati, A., Alshammari, A., Alharbi, M., Al-Mazroua, H. A., and Narula. A. S. (2022) Smo–Shh agonist purmorphamine prevents neurobehavioral and neurochemical defects in 8-OH-DPAT-induced experimental model of obsessive-compulsive disorder, Brain Sci., 12, 342, https://doi.org/10.3390/ brainsci12030342.
- Wang, J., Ware, K., Bedolla, A., Allgire, E., Turcato, F. C., Weed, M., Sah, R., and Luo, Y. (2022) Disruption of sonic hedgehog signaling accelerates age-related neurogenesis decline and abolishes stroke-induced neurogenesis and leads to increased anxiety behavior in stroke mice, Transl. Stroke Res., 13, 830-844, https://doi.org/10.1007/s12975-022-00994-w.
- Sun, D., Deng, J., Wang, Y., Xie, J., Li, X., Li, X., Wang, X., Zhou, F., Qin, S., and Liu, X. (2023) SAG, a sonic hedgehog signaling agonist, alleviates anxiety behavior in high-fat diet-fed mice, Brain Res. Bull., 195, 25-36, https://doi.org/10.1016/j.brainresbull.2023.01.014.
- Koob, G. F., and Volkow, N. D. (2010) Neurocircuitry of addiction, Neuropsychopharmacology, 35, 217-238, https://doi.org/10.1038/npp.2009.110.
- Ron, D., and Barak, S. (2016) Molecular mechanisms underlying alcohol-drinking behaviours, Nat. Rev. Neurosci., 17, 576-591, https://doi.org/10.1038/nrn.2016.85.
- Simms, J. A., Steensland, P., Medina, B., Abernathy, K. E., Chandler, L. J., Wise, R., and Bartlett, S. E. (2008) Intermittent access to 20% ethanol induces high ethanol consumption in Long-Evans and Wistar rats, Alcohol Clin. Exp. Res., 32, 1816-1823, https://doi.org/10.1111/j.1530-0277.2008.00753.x.
- Desouza, L. A., Sathanoori, M., Kapoor, R., Rajadhyaksha, N., Gonzalez, L. E., Kottmann, A. H., Tole, S., and Vaidya, V. A. (2011) Thyroid hormone regulates the expression of the sonic hedgehog signaling pathway in the embryonic and adult mammalian brain, Endocrinology, 152, 1989-2000, https://doi.org/10.1210/ en.2010-1396.
- Rajendran, R., Jha, S., Fernandes, K. A., Banerjee, S. B., Mohammad, F., Dias, B. G., and Vaidya, V. A. (2009) Monoaminergic regulation of Sonic hedgehog signaling cascade expression in the adult rat hippocampus, Neurosci. Lett., 453, 190-194, https://doi.org/10.1016/j.neulet.2009.02.034.
- Rivell, A., Petralia, R. S., Wang, Y. X., Clawson, E., Moehl, K., Mattson, M. P., and Yao, P. J. (2019) Sonic hedgehog expression in the postnatal brain, Biol. Open, 8, bio040592, https://doi.org/10.1242/bio.040592.
- Peregud, D. I., Panchenko, L. F., and Gulyaeva, N. V. (2015) Elevation of BDNF exon I-specific transcripts in the frontal cortex and midbrain of rat during spontaneous morphine withdrawal is accompanied by enhanced pCreb1 occupancy at the corresponding promoter, Neurochem. Res., 40, 130-138, https://doi.org/10.1007/ s11064-014-1476-y.
- Pfaffl, M. W. (2001) A new mathematical model for relative quantification in real-time RT-PCR, Nucleic Acids Res., 29, e45, https://doi.org/10.1093/nar/29.9.e45.
- Wang, N., Liu, X., Li, X. T., Li, X. X., Ma, W., Xu, Y. M., Liu, Y., Gao, Q., Yang, T., Wang, H., Peng, Y., Zhu, X. F., and Guan, Y. Z. (2021) 7,8-Dihydroxyflavone alleviates anxiety-like behavior induced by chronic alcohol exposure in mice involving tropomyosin-related kinase B in the amygdala, Mol. Neurobiol., 58, 92-105, https://doi.org/10.1007/s12035-020-02111-0.
- Wang, X., Li, L., Bian, C., Bai, M., Yu, H., Gao, H., Zhao, J., Zhang, C., and Zhao, R. (2023) Alterations and correlations of gut microbiota, fecal, and serum metabolome characteristics in a rat model of alcohol use disorder, Front. Microbiol., 13, 1068825, https://doi.org/10.3389/fmicb.2022.1068825.
- Briones, T. L., and Woods, J. (2013) Chronic binge-like alcohol consumption in adolescence causes depression-like symptoms possibly mediated by the effects of BDNF on neurogenesis, Neuroscience, 254, 324-334, https:// doi.org/10.1016/j.neuroscience.2013.09.031.
- George, O., Sanders, C., Freiling, J., Grigoryan, E., Vu, S., Allen, C. D., Crawford, E., Mandyam, C. D., and Koob, G. F. (2012) Recruitment of medial prefrontal cortex neurons during alcohol withdrawal predicts cognitive impairment and excessive alcohol drinking, Proc. Natl. Acad. Sci. USA, 109, 18156-18161, https://doi.org/10.1073/pnas.1116523109.
- Nelson, N. G., Suhaidi, F. A., Law, W. X., and Liang, N. C. (2018) Chronic moderate alcohol drinking alters insulin release without affecting cognitive and emotion-like behaviors in rats, Alcohol, 70, 11-22, https://doi.org/ 10.1016/j.alcohol.2017.12.001.
- Stragier, E., Martin, V., Davenas, E., Poilbout, C., Mongeau, R., Corradetti, R., and Lanfumey, L. (2015) Brain plasticity and cognitive functions after ethanol consumption in C57BL/6J mice, Transl. Psychiatry, 5, e696, https://doi.org/10.1038/tp.2015.183.
- Umehara, F., Mishima, K., Egashira, N., Ogata, A., Iwasaki, K., and Fujiwara, M. (2006) Elevated anxiety-like and depressive behavior in Desert hedgehog knockout male mice, Behav. Brain Res., 174, 167-173, https://doi.org/ 10.1016/j.bbr.2006.07.022.
- Burton, D. F., Zhang, C., Boa-Amponsem, O., Mackinnon, S., and Cole, G. J. (2017) Long-term behavioral change as a result of acute ethanol exposure in zebrafish: Evidence for a role for sonic hedgehog but not retinoic acid signaling, Neurotoxicol. Teratol., 61, 66-73, https://doi.org/10.1016/j.ntt.2017.01.006.
- Gu, D., Wang, S., Zhang, S., Zhang, P., and Zhou, G. (2017) Directed transdifferentiation of Müller glial cells to photoreceptors using the sonic hedgehog signaling pathway agonist purmorphamine, Mol. Med. Rep., 16, 7993-8002. https://doi.org/10.3892/mmr.2017.7652.
- Yao, P. J., Petralia, R. S., Ott, C., Wang, Y. X., Lippincott-Schwartz, J., and Mattson, M. P. (2015) Dendrosomatic Sonic Hedgehog signaling in hippocampal neurons regulates axon elongation, J. Neurosci., 35, 16126-16141, https://doi.org/10.1523/JNEUROSCI.1360-15.2015.
- He, W., Cui, L., Zhang, C., Zhang, X., He, J., and Xie, Y. (2016) Sonic Hedgehog promotes neurite outgrowth of primary cortical neurons through up-regulating BDNF expression, Neurochem. Res., 41, 687-695, https:// doi.org/10.1007/s11064-015-1736-5.
- Tayyab, M., Farheen, S., Mabeena, M. M. P., Khanam, N., Mobarak Hossain, M., and Shahi, M. H. (2019) Antidepressant and neuroprotective effects of naringenin via Sonic Hedgehog-GLI1 cell signaling pathway in a rat model of chronic unpredictable mild stress, Neuromol. Med., 21, 250-261, https://doi.org/10.1007/ s12017-019-08538-6.
- Tayyab, M., Shahi, M. H., Farheen, S., Mabeena, M. M. P., Khanam, N., and Hossain, M. M. (2019) Exploring the potential role of sonic hedgehog cell signalling pathway in antidepressant effects of nicotine in chronic unpredictable mild stress rat model, Heliyon, 5, e01600, https://doi.org/10.1016/j.heliyon.2019.e01600.
- Graeff, F. G., Silveira, M. C., Nogueira, R. L., Audi, E. A., and Oliveira, R. M. (1993) Role of the amygdala and periaqueductal gray in anxiety and panic, Behav. Brain Res., 58, 123-131, https://doi.org/10.1016/ 0166-4328(93)90097-a.
- Silveira, M. C., Sandner, G., and Graeff, F. G. (1993) Induction of Fos immunoreactivity in the brain by exposure to the elevated plus-maze, Behav. Brain Res., 56, 115-118, https://doi.org/10.1016/0166-4328(93)90028-o.
- Möller, C., Wiklund, L., Sommer, W., Thorsell, A., and Heilig, M. (1997) Decreased experimental anxiety and voluntary ethanol consumption in rats following central but not basolateral amygdala lesions, Brain Res., 760, 94-101, https://doi.org/10.1016/s0006-8993(97)00308-9.
- Pleil, K. E., Lowery-Gionta, E. G., Crowley, N. A., Li, C., Marcinkiewcz, C. A., Rose, J. H., McCall, N. M., Maldonado-Devincci, A. M., Morrow, A. L., Jones, S. R., and Kash, T. L. (2015) Effects of chronic ethanol exposure on neuronal function in the prefrontal cortex and extended amygdala, Neuropharmacology, 99, 735-749, https:// doi.org/10.1016/j.neuropharm.2015.06.017.
- Smith, R. J., Anderson, R. I., Haun, H. L., Mulholland, P. J., Griffin, W. C. 3rd, Lopez, M. F., and Becker, H. C. (2020) Dynamic c-Fos changes in mouse brain during acute and protracted withdrawal from chronic intermittent ethanol exposure and relapse drinking, Addict. Biol., 25, e12804, https://doi.org/10.1111/adb.12804.
- Hung, H. C., Hsiao, Y. H., and Gean, P. W. (2014) Learning induces sonic hedgehog signaling in the amygdala which promotes neurogenesis and long-term memory formation, Int. J. Neuropsychopharmacol., 18, pyu071, https://doi.org/10.1093/ijnp/pyu071.
- Hung, H. C., Hsiao, Y. H., and Gean, P. W. (2015) Sonic hedgehog signaling regulates amygdalar neurogenesis and extinction of fear memory, Eur. Neuropsychopharmacol., 25, 1723-1732, https://doi.org/10.1016/ j.euroneuro.2015.07.005.
Supplementary files








