The influence of long-term housing in overcrowding on the social behavior of rats and the expression of genes associated with neuroinflammation
- Authors: Pavlova I.V.1, Broshevitskaya N.D.1, Potekhina A.A.1, Shvadchenko A.M.1
-
Affiliations:
- Institute of Higher Nervous Activity and Neurophysiology, Russian Academy of Sciences
- Issue: Vol 89, No 9 (2024)
- Pages: 1532-1545
- Section: Articles
- URL: https://ogarev-online.ru/0320-9725/article/view/281230
- DOI: https://doi.org/10.31857/S0320972524090054
- EDN: https://elibrary.ru/JJWUXS
- ID: 281230
Cite item
Full Text
Abstract
The effect of long-term housing in overcrowding on the social behavior of adult male Wistar rats was studied. From 30 to 180 postnatal day (PND) the rats lived in standard conditions for 5 individuals (360 cm2 per rat, group of STD), or in crowded conditions for 15 individuals in cages (120 cm2 per rat, group of CROW). Starting from 100 PND, the behavior of rats was studied in social preference test, social dominance tube test and in the resident intruder test for aggressive behavior. After decapitation of rats by 180 PND, brain samples from the amygdala, dorsal hippocampus, ventromedial hypothalamus and medial prefrontal cortex were taken for subsequent analysis of the expression of IL-1β, TNF, TGF-β1, IL-6 mRNA genes using a real-time polymerase chain reaction. Compared with the STD group, rats of CROW group had a shorter interaction time with a social object in the social preference test. Males of the CROW group had more wins in the tube test compared to the STD group, as well as more attacks in the resident intruder test. The expression of IL-1β in the hippocampus and medial prefrontal cortex was significantly increased in the rats of the CROW group, as well as the expression of TGF-β1 in the hippocampus, amygdala and prefrontal cortex was increased. The social stress of overcrowding led to an increase in social dominance, aggressiveness and decreased sociability. Changes in social behavior in the CROW rats were accompanied by an increase in the expression of the proinflammatory cytokine IL-1β and the anti-inflammatory cytokine TGF-β1 in a number of brain structures, which can be considered, respectively, as a manifestation of neuroinflammation and compensatory processes.
Full Text
Принятые сокращения: НСО – несоциальный объект; ПНД – постнатальный день; СКУЧ – скученные условия; СО – социальный объект; СТАНД – стандартные условия содержания; TGF-β1 – трансформирующий ростовой фактор бета-1; TNF – фактор некроза опухоли.
ВВЕДЕНИЕ
Известно, что хронический психосоциальный стресс является фактором риска в развитии различных психопатологий, включая расстройства, связанные с тревогой и депрессией. У людей широко распространено социальное тревожное расстройство, основными симптомами которого являются социальный страх и избегание социальных ситуаций [1]. Для изучения этиологии и патофизиологии социального тревожного расстройства и разработки новых подходов для его терапевтического лечения были разработаны различные модели психосоциального стресса на животных, такие как, например, социальная нестабильность (social instability), социальное поражение (social defeat), хроническое подчиненное содержание (chronic subordinate colony housing), социальное поражение/перенаселенность (social defeat/overcrowding) и ряд других [1, 2, 3]. Содержание в условиях повышенной скученности используется в ряде моделей в сочетании с другими стрессирующими факторами, однако последствия только скученности для формирования социального поведения мало изучены.
Есть данные, что при скученности, как и при других моделях психосоциального стресса, происходит уменьшение социальной мотивации. Так, например, в условиях скученности мыши линии С57BL/6 и японские макаки демонстрировали социальное избегание в трехкамерном тесте на социальность [4]. В смешанной модели «социальное поражение/скученность» также наблюдали уменьшение предпочтения социального объекта [2] и даже его избегание [3, 5] в тесте на социальное предпочтение/избегание. О появлении социальной патологии при скученности свидетельствуют данные о каннибализме и детоубийстве, нарушении в сексуальной мотивации при неконтролируемом размножении большой колонии мышей в замкнутом объеме [6, 7]. Влияние скученности на агрессивное поведение и социальное доминирование изучено в меньшей степени. Однако было показано, что число агрессивных атак, совершаемых доминантами и подчиненными, увеличивалось по мере возрастания числа мышей в колонии, при этом максимальное число мышей достигало 8 [8] или 12 в клетке [9]. Мало вероятно, что такие условия можно рассматривать в качестве повышенной скученности и что животные испытывали при этом стресс. При стрессе социальной нестабильности (чередование периодов социальной изоляции и скученности) также происходило увеличение агонистических взаимодействий [10]. В колониях мышей большого размера (9–12 самцов) в течение 21 дня было обнаружено от пяти до шести изменений в доминировании, которое оценивали по числу совершенных агрессивных атак на соседей по клетке [9]. В настоящее время для оценки социального доминирования успешно применяется тест в трубе [11], который позволяет сравнить доминантные свойства животных из разных популяций. Следует признать, что влияние повышенной скученности на социальное поведение крыс изучено недостаточно, но в то же время такие исследования имеют высокую актуальность. Цель нашей работы заключалась в сопоставлении социального поведения крыс в стандартных условиях содержания (СТАНД, 5 крыс в клетке, 360 см2 на животное) и в условиях повышенной скученности (СКУЧ, 15 крыс в клетке, 120 см2 на животное). Известно, что при такой степени скученности у животных увеличивается в крови содержание маркерa стресса кортикостерона [12–15], уменьшается экспрессия гена противовоспалительного цитокина (интерлейкина-4 (IL-4)) и увеличивается экспрессия провоспалительного цитокина (IL-17) [16]. У животных в скученных условиях возникает хроническое воспаление кишечника и изменяется состав кишечной микробиоты [14]. Однако не известно, приводит ли содержание в скученных условиях к нейровоспалению, т.е. увеличивается ли экспрессия провоспалительных цитокинов в различных структурах мозга. Исходя из этого, целью работы был также анализ экспрессии м-РНК генов про- и противовоспалительных цитокинов в различных структурах мозга. Наибольший интерес вызывал ряд структур, участвующих в механизмах социального поведения [17]. Прежде всего, это миндалина и вентромедиальный гипоталамус, имеющие непосредственное отношение к агрессивному поведению [18], а также медиальная префронтальная кора, определяющая социальное доминирование [19], и гиппокамп, остро реагирующий на различные стрессирующие воздействия благодаря наличию большого числа глюкокортикоидных рецепторов [20].
В задачи данной работы входило: во-первых, сопоставление поведения взрослых крыс групп СТАНД и СКУЧ в тесте на социальное предпочтение, в тесте на социальное доминирование в трубе и на агрессивное поведение в тесте «резидент–интрудер»; во-вторых, проведение анализа экспрессии генов провоспалительных цитокинов (IL-1β, фактора некроза опухоли (TNF), IL-6) и противовоспалительного цитокина (трансформирующего ростового фактора бета-1, TGF-β1) в медиальной префронтальной коре, дорзальном гиппокампе, вентромедиальном гипоталамусе и миндалине.
МАТЕРИАЛЫ И МЕТОДЫ
Животные. В экспериментах использовали 30 крыс-самцов Вистар в возрасте 30–180 постнатальных дней (ПНД) развития. Крысята были выведены в виварии ИВНД и НФ от родителей (12 пар), полученных из филиала «Столбовая» ФГБУН НЦБМТ ФМБА, Россия. На 25 ПНД крысят отсаживали от матери, и в дальнейшем животных содержали в виварии при обычном 12-часовом световом режиме в свободном доступе к воде и стандартному корму. В экспериментах соблюдали принципы гуманности, изложенные в директивах Европейского сообщества (2010/63/ЕU) и положения ИВНД и НФ РАН о работе с экспериментальными животными.
На 30 ПНД крысят помещали в различные условия содержания, в которых они находились до окончания экспериментов. Половину крыс содержали в стандартных условиях по 5 особей в клетках размером 53 × 34 × 17 см (360 см2 площади на крысу, группа СТАНД). Другая половина проживала в условиях повышенной скученности – 15 особей в клетке такого же размера (120 см2 на крысу, группа СКУЧ). Животные, содержавшиеся в условиях скученности, не испытывали недостатка в корме и воде, смена опилок в клетке проводилась каждый день. В каждой группе крыс могло находиться максимум две крысы из одного помета.
Тестирование социального предпочтения проводили на 100–120 ПНД в прямоугольной камере размером 120 × 80 × 35 см, с которой крысы были предварительно ознакомлены. Посередине около двух противоположных коротких стенок камеры располагались цилиндры (диаметр – 20 см) со стенками, сделанными из металлической сетки. Один цилиндр оставался пустым («несоциальный объект», НСО), в другой цилиндр («социальный объект», СО) помещали незнакомую крысу того же пола и такого же возраста, как и тестируемая крыса. Уровень освещенности камеры достигал 40–50 лк. Поведение крыс регистрировали в течение 5 мин. Построение треков движения крысы и их анализ проводили с помощью программы Etho Vision («Noldus», Нидерланды). Анализировали число и длительность взаимодействий с СО и НСО (нос крысы непосредственно вблизи стенки сетчатого цилиндра), пройденную дистанцию, скорость и время движения, число выходов в центр камеры (квадрат размером 26 × 26 см в центре камеры), число болюсов и уринаций. Рассчитывали коэффициент предпочтения цилиндров:
Кпредп. = (ТвСО – ТвНСО)/(ТвСО + ТвНСО), (1)
где ТвСО – время взаимодействия с социальным объектом; ТвНСО – время взаимодействия с несоциальным объектом. Положительные коэффициенты свидетельствовали о предпочтении СО, отрицательные – НСО.
Социальное доминирование оценивали на 120–130 ПНД при помощи тестирования в трубе из прозрачного оргстекла длиной 150 см с внутренним диаметром 6 см. Эксперимент проводили в течение двух дней. В первый день животные исследовали новую обстановку, при этом крысы проходили по трубе в обоих направлениях, во второй день проводили само тестирование. За день до начала эксперимента крыс взвешивали и формировали пары одного веса (с точностью до 20 г), при этом одна крыса была из группы СТАНД, другая – из группы СКУЧ. Иерархический ранг крысы в домашней клетке до экспериментов не определяли и не учитывали при формировании пар. Во время тестирования крыс одновременно запускали с разных концов трубы, чтобы животные двигались друг другу навстречу. «Победителем» считали то животное, которое смогло оттеснить оппонента назад и выйти с противоположного конца трубы. У каждой пары было две попытки, при этом каждую крысу запускали с разных концов трубы. Если в течение 2 мин не выявлялся «победитель», результат считали ничейным. Процент побед рассчитывали по формуле:
Число побед/число попыток × 100%. (2)
Поведение регистрировали на цифровую видеокамеру Logitech C270 HD Webcam («Logitech», Китай). Анализировали число и латентный период побед у крыс в группах СТАНД и СКУЧ, а также подсчитывали число толканий, отступлений и наступлений, совершенных каждой крысой во время теста в соответствии с методикой, описанной в работе Fan et al. [21].
Тест «резидент–интрудер». Внутривидовое агрессивное поведение оценивали у крыс на 150–180 ПНД при помощи теста «резидент–интрудер», перед которым для устранений последствий агонистических взаимодействий внутри домашней клетки крыс содержали в социальной изоляции в течение четырех дней в индивидуальных клетках размером 30 × 45 × 20 см. Во время теста в домашнюю клетку к резиденту подсаживали взрослую незнакомую более молодую (2,5–3 мес.) и меньшую по весу крысу-интрудера того же пола и проводили видеорегистрацию поведения обеих крыс в течение 10 мин с помощью цифровой видеокамеры Logitech C270 HD Webcam. Тест проходил в затемненной комнате с уровнем освещенности 20–25 лк. При этом фиксировали следующие параметры агрессивного поведения: 1) латентный период и число нападений, инициируемых резидентом, которые заканчивались либо позой подчинения интрудера на спине, либо дракой; 2) число и латентный период стоек напротив оппонента (боксирование); 3) случаи агрессивного груминга со стороны резидента, сопровождающиеся вокализацией интрудера. Кроме того, подсчитывали число и длительность преследований интрудера с аногенитальным обнюхиванием, за которым часто следовали агрессивные действия резидента. Подсчитывали также число «сексуальных атак» со стороны резидента, которые, согласно данным литературы [22], можно рассматривать как проявление социального доминирования. Сексуальные атаки выражались во взбирании резидента на интрудера сзади, после чего следовал груминг гениталий.
Количественная полимеразная цепная реакция в реальном времени. Образцы ткани дорзального гиппокампа, миндалины, медиальной префронтальной коры, вентромедиального гипоталамуса 8 животных из каждой группы отбирали после декапитации крыс на 180 ПНД. Для ПЦР-анализа отбирали крыс, поведение которых было наиболее характерно для каждой группы (СТАНД и СКУЧ), судя по результатам тестов на социальное доминирование в трубе и тесте «резидент–интрудер». За 3–5 мин до декапитации крыс наркотизировали с помощью хлоралгидрата (400 мг/кг, внутрибрюшинно) с целью минимизировать стрессирующее воздействие. Мозг вынимали, промывали в ледяном изотоническом растворе NaCl, на определенных уровнях мозга в соответствии с атласом мозга крысы [23] с помощью хирургической ложечки (размер 2,5 × 7 мм) и скальпеля производили забор биоматериала из правого и левого полушарий мозга. Далее, выделенные структуры замораживали в жидком азоте и хранили при −80 °С.
Выделение РНК. К замороженным пробам добавляли по 1 мл реагента ExtractRNA («Евроген», Россия) и измельчали с помощью ручного гомогенизатора, после чего инкубировали 10 мин при комнатной температуре. Далее, образцы центрифугировали 10 мин (11 000 g) при 4 °С. Супернатант переносили в новые пробирки, добавляли 200 мкл хлороформа и перемешивали пробирки встряхиванием, после чего инкубировали 3 мин при комнатной температуре. Затем образцы центрифугировали 15 мин (16 000 g) при 4 °С. Водную фазу переносили в новые пробирки и добавляли 500 мкл изопропанола и 1 мкл полиакриламида, после чего содержимое пробирок перемешивали с помощью вортекса и инкубировали в течение 10 мин при комнатной температуре. Полученную смесь центрифугировали 20 мин при максимальный оборотах (19 000 g) при комнатной температуре. Полученный осадок дважды промывали 80%-ным этанолом с центрифугированием в течение 10 мин (19 000 g) также при комнатной температуре. После удаления этанола полученный осадок сушили на воздухе и растворяли в 12 мкл деионизированной воды. Полученный раствор инкубировали 5 мин при 55 °С. Концентрацию РНК измеряли с помощью NanoDrop 2000 («Thermo Fisher Scientific», США).
Оценку чистоты и качества нуклеиновых кислот делали с помощью спектрофотометрического измерения, исходя из соотношения поглощения при длинах волн 230, 260 и 280 нм. Для дальнейшего анализа были взяты образцы, значение поглощения которых находилось в пределах от 1,8 и выше для соотношения 260/280, и от 2 и выше – для соотношения 260/230. При несоответствии образца данным параметрам оценки чистоты образец подвергался повторному осаждению (с помощью NaCl) и выделению нуклеиновых кислот. В последующий анализ были взяты пробы РНК, которые соответствовали указанным ранее критериям оценки чистоты, и их концентрация составляла не менее 1000 нг на 9 мкл. Данное количество РНК (1000 нг) было использовано для дальнейшей обработки проб с помощью метода обратной транскрипции. Образцы РНК, не подходящие под данные критерии оценки, были исключены из дальнейшего анализа. После выделения РНК до проведения дальнейшей обработки и анализа экспериментальные пробы хранились при −80 °С.
Обратная транскрипция. Перед обратной транскрипцией из полученной РНК удаляли следовые количества ДНК. На реакцию брали 1 мкг РНК, 1 мкл буфера для DNAse I (Mg2+) («Thermo Fisher Scientific»), 1 мкл DNAse I (1 ед./мкл) («Thermo Fisher Scientific») и доводили конечный объем смеси деионизированной водой до 11 мкл. Смесь инкубировали 30 мин при 37 °С. Для остановки реакции добавляли 1 мкл ЭДТА (50 мМ) и инкубировали 10 мин при 65 °С. Обратную транскрипцию проводили с помощью обратной транскриптазы MMLV («Евроген») по инструкции производителя, используя смесь случайных (dN10)-праймеров и oligo-dT15-праймеров в присутствии ингибитора РНКаз (RiboCare; «Евроген»). Полученные пробы разводили в 16 раз для проведения ПЦР в реальном времени.
ПЦР в реальном времени. Для проведения ПЦР в реальном времени на одну пробу брали: 4 мкл образца; по 0,56 мкл прямого и обратного праймера (10 мкМ); 2,8 мкл смеси qPCRmix-HS SYBR + LowROX («Евроген») и доводили до общего объема (14 мкл) деионизированной водой. Денатурация проходила при температуре 95 °С в течение 15 с, отжиг праймеров длился 30 с и элонгация при 72 °С – в течение 30 с. Общее количество циклов всех реакций было равно 40. Для каждого образца наносили по 2 повтора.
Для проведения реакции использовали амплификатор CFX 384 Real Time PCR («Bio-Rad», США).
Подбор последовательности всех праймеров производили с помощью программы PrimerSelect, подбор температуры отжига проводили в программе perlprimer (табл. 1).
Таблица 1. Последовательности использованных праймеров и температуры отжига
Ген | Прямой | Обратный | t °С |
TGF-β1 | GCG CCT GCA GAG ATT CAA GTC AAC | TCA GGC GTA TCA GTG GGG GTC A | 65 |
TNF | GTC CAA CTC CGG GCT CAG AAT | ACT CCC CCG ATC CAC TCA G | 65 |
IL-1β | TCT GTG ACT CGT GGG ATG AT | CAC TTG TTG GCT TAT GTT CTG TC | 61 |
IL-6 | GCC ACT GCC TTC CCT ACT TCA C | GAC AGT GCA TCA TCG CTG TTC ATA C | 63 |
YWHAZ | TTG AGC AGA AGA CGG AAG G | GAA GCA TTG GGG ATC AAG AA | 63 |
HPRT | CGT CGT GAT TAG TGA TGA TGA AC | CGT CGT GAT TAG TGA TGA TGA AC | 65 |
Исследовали экспрессию мРНК следующих генов: Transforming growth factor beta 1 (TGF-β1), tumor necrosis factor (TNF), Interleukin-1 beta (IL-1β), Interleukin-6 (IL-6), tyrosine 3-monooxygenase/tryptophan 5-monooxygenase activation protein zeta (YWHAZ), Hypoxanthine guanine phosphoribosyltransferase (HPRT).
Обработка данных. Относительный уровень экспрессии каждого гена рассчитывался, с помощью метода ΔCt по формуле 2−ΔCt:
∆Ct = Ct (исследуемого гена) −
− Ct (значения внутреннего контроля), (3)
где Ct – минимальный пороговый цикл гена в экспоненциальной фазе амплификационной кривой [24].
Для всех исследованных генов проводили также ПЦР в реальном времени с отрицательными контролями проб. Образцы, где разница между циклом, на котором поднимается сама проба и ее отрицательный контроль была меньше 6, исключались из анализа.
Статистическая обработка результатов. Для обработки результатов использовали стандартную программу STATISTICA 8.0. Распределение исследованных параметров было проверено на нормальность по критерию Колмогорова–Смирнова. Если анализируемый параметр удовлетворял данному критерию, то при сравнении групп крыс использовали дисперсионный анализ ANOVA, раздел One-Way ANOVA. Анализировали влияние фактора «ГРУППА» (СТАНД, СКУЧ). С использованием Basic statistics строили гистограммы распределения нападений в зависимости от их латентности. При отсутствии нормальности распределения поведенческих параметров использовали непараметрические методы анализа. При сравнении двух групп применяли U-критерий Манна–Уитни. При сравнении долей использовали критерий χ2 (2 × 2 таблицы). Различия считали статистически значимыми при р < 0,05; отмечали наличие тенденции при 0,05 < р < 0,1. Данные на рисунках представлены в виде средних значений ± ошибки средних (при нормальном распределении) или в виде медианы, границ 25–75% распределения данных, максимальных и минимальных значений, первичных данных (при отсутствии нормального распределения).
РЕЗУЛЬТАТЫ ИССЛЕДОВАНИЯ
Влияние содержания в условиях повышенной скученности на социальное предпочтение крыс. Анализ поведения крыс с помощью One-Way ANOVA обнаружил влияние фактора «ГРУППА» на многие показатели поведения (табл. 2): время взаимодействия с социальным объектом, коэффициент предпочтения (тенденция), дистанция, скорость, время движения, число выходов в центр, число болюсов дефекации (тенденция). Крысы группы СКУЧ, по сравнению с группой СТАНД, меньше времени взаимодействовали с СО (рис. 1, а), время взаимодействия с НСО в этих группах не различалось (рис. 1, б). 21,4% самцов из группы СКУЧ имели отрицательные коэффициенты предпочтения, что свидетельствовало об избегании СО. Кроме того, крысы группы СКУЧ проходили меньшую дистанцию (рис. 1, в) с меньшей скоростью и находились в движении меньшее время, что свидетельствовало об уменьшении двигательной активности; это соответствовало ранее полученным данным в тесте «Открытое поле» [25]. Число выходов в центр у крыс группы СКУЧ было меньше, чем у крыс группы СТАНД (рис. 1, д), что говорило о большем у них уровне тревожности в тесте на социальное предпочтение. У крыс группы СКУЧ было несколько больше болюсов дефекации, что можно рассматривать как свидетельство увеличения уровня эмоционального напряжения.
Таблица 2. Значения F и р при анализе с помощью One-Way ANOVA различных показателей поведения в тесте на социальное предпочтение
Показатель поведения | Фактор «ГРУППА» | р |
Время взаимодействия с СО | F1,28 = 4,892 | 0,035 |
Время взаимодействия с НСО | – | >0,1 |
Коэффициент предпочтения | F1,28 = 3,176 | 0,086 |
Дистанция | F1,28 = 50,61 | 0,000 |
Скорость | F1,28 = 49,002 | 0,000 |
Время движения (%) | F1,28 = 17,072 | 0,000 |
Число выходов в центр | F1,28 = 11,608 | 0,002 |
Число болюсов дефекации | F1,28 = 3,047 | 0,092 |
Число уринаций | – | >0,1 |
Примечание. Прочерк – не выявлено влияние фактора.
Рис. 1. Влияние содержания в условиях повышенной скученности на различные показатели поведения крыс в тесте на социальное предпочтение. СТАНД – Группа крыс, содержащихся в стандартных условиях; СКУЧ – группа крыс, проживающих в условиях повышенной скученности; Т – время; * p < 0,05 – статистически значимые различия между группами СТАНД и СКУЧ (One-Way ANOVA)
Влияние содержания в условиях повышенной скученности на социальное доминирование крыс. Крысы группы СКУЧ оказывались чаще победителями (84%) в трубе по сравнению с животными группы СТАНД (16%; χ2 = 30,25; р = 0,000; 2 × 2 таблицы; рис. 2, а). Эти данные свидетельствуют о том, что проживание в скученных условиях, по сравнению со стандартными условиями, приводило к увеличению социального доминирования у самцов.
Рис. 2. Влияние содержания в условиях повышенной скученности на поведение крыс в тесте на социальное доминирование в трубе. * p < 0,05 – Статистически значимые различия между группами СТАНД и СКУЧ (на панели (а) – χ2, 2 × 2 таблицы; на панели (б) – U-критерий Манна–Уитни)
Подробный анализ числа толканий, отступлений и наступлений за тест в группах у СКУЧ и СТАНД показал (рис. 2, б), что самцы группы СКУЧ совершали больше толканий и наступлений, но меньше отступлений, чем группа СТАНД, т.е. они больше осуществляли активно-наступательных действий против оппонента в трубе, что, по-видимому, обеспечивало их победу.
Влияние содержания в условиях повышенной скученности на поведение крыс в тесте «резидент–интрудер». У резидентов группы СКУЧ наблюдалось больше нападений на интрудеров, чем у крыс группы СТАНД (U = 38; Z = 2,94; p = 0,003; U-критерий Манна–Уитни; рис. 3, а). Число стоек друг напротив друга (рис. 3, б) и время преследования резидентом интрудера (рис. 3, г) не отличалось в группах СКУЧ и СТАНД. Число сексуальных атак также не различалось статистически в группах СТАНД и СКУЧ (U-критерий Манна–Уитни; рис. 3, в), хотя у крыс в группе СКУЧ их число было наибольшим.
Рис. 3. Влияние содержания в условиях повышенной скученности на различные показатели поведения (а–г) и распределение нападений крыс во времени (д и е) в тесте «резидент–интрудер» (%). Т – Время; * p < 0,05 – статистически значимые различия между группами СТАНД и СКУЧ; # 0,05 ≤ p < 0,1 – тенденция (на панелях а и в – U-критерий Манна–Уитни; на панелях б и г – One-Way ANOVA; на панелях д и е – χ2, 2 × 2 таблицы)
Анализ гистограмм распределения во времени латентности всех нападений показал, что наибольшее число нападений наблюдалось в интервале 200–400 с как у группы СТАНД (53%), так и СКУЧ (45%) (рис. 3, д). В интервале 400–600 с у группы СТАНД наблюдалось всего 11% нападений, а у группы СКУЧ – больше (33%; р = 0,049; χ2 = 3,57). Анализ гистограмм распределения латентности только первых за опыт нападений показал (рис. 3, е), что в группе СТАНД в интервале 0–200 с было совершено 14% нападений, в группе СКУЧ – несколько больше (55%; тенденция; р = 0,087; χ2 = 2,92).
Таким образом, судя по числу нападений, крысы группы СКУЧ показали более агрессивное поведение, по сравнению с группой СТАНД, в тесте «резидент–интрудер», причем уровень агрессии у группы СКУЧ практически не снижался к концу теста, и первые агрессивные проявления возникали с меньшим латентным периодом.
Для выявления связи между доминированием в тесте «в трубе» и числом нападений в тесте «резидент–интрудер» с помощью One-Way ANOVA по всей выборке сравнивали две группы крыс: в первую были отнесены крысы, победившие в трубе во всех матчах, во вторую – животные, не победившие ни разу. В этих группах в тесте «резидент–интрудер» не различалось число нападений (F1,20 = 1,233; p = 0,280), число стоек (F1,20 = 0,392; p = 0,538), число сексуальных атак (F1,20 = 1,438; p = 0,245), число случаев агрессивного груминга (F1,19 = 0,571; p = 0,459). Эти данные свидетельствуют об отсутствии прямой связи между агрессивностью и доминированием.
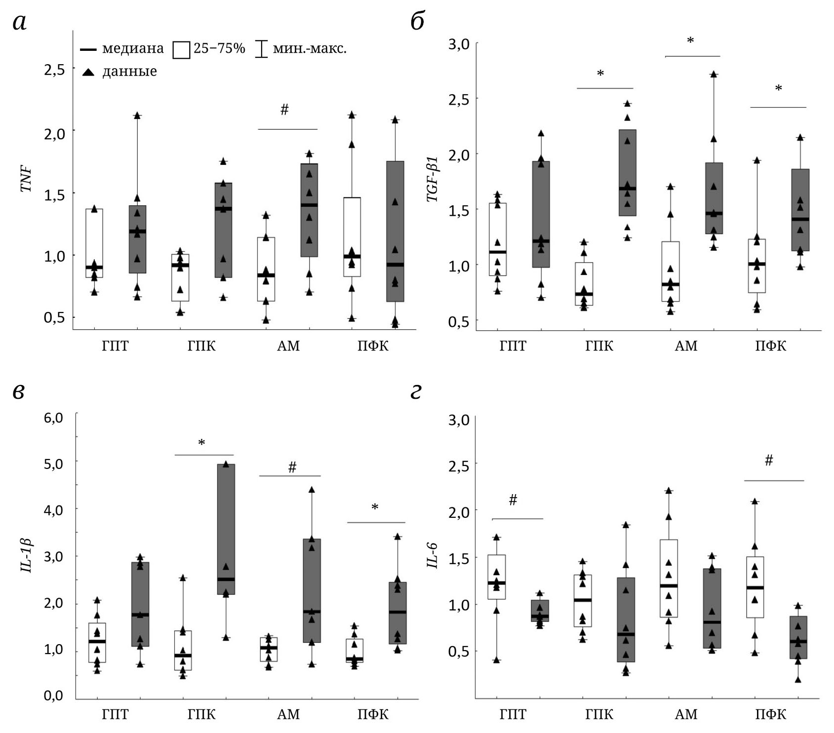
Влияние скученных условий содержания на экспрессию мРНК генов цитокинов в различных структурах мозга. У крыс группы СКУЧ, по сравнению с группой СТАНД, наблюдалось существенное увеличение экспрессии мРНК гена провоспалительного цитокина IL-1β в гиппокампе и префронтальной коре (рис. 4, в). В миндалине происходило небольшое повышение (на уровне тенденции) экспрессии мРНК генов IL-1β (рис. 4, в) и TNF (рис. 4, а). В вентромедиальном гипоталамусе и префронтальной коре у группы СКУЧ происходило небольшое снижение (на уровне тенденции) экспрессии мРНК гена IL-6 (рис. 4, г). У крыс группы СКУЧ наблюдалось повышение экспрессии гена противовоспалительного цитокина TGF-β1 в гиппокампе, миндалине и префронтальной коре (рис. 4, б).
Рис. 4. Экспрессия мРНК генов провоспалительных цитокинов TNF (а), IL-1β (в), IL-6 (г) и противовоспалительного цитокина TGF-β1 (б) в различных структурах мозга у крыс группы СКУЧ и СТАНД. По горизонтали – структуры мозга (ГПТ – вентромедиальный гипоталамус; ГПК – дорзальный гиппокамп; АМ – миндалина; ПФК – дорсомедиальная префронтальная кора); по вертикали – относительное количество мРНК. * р < 0,05 – Различия между группами СТАНД и СКУЧ (U-критерий Манна–Уитни); # 0,05 ≤ р < 0,1 – тенденция
ОБСУЖДЕНИЕ РЕЗУЛЬТАТОВ
В нашей работе в тесте на социальное предпочтение самцы группы СКУЧ меньше времени взаимодействовали с социальным объектом, чем животные группы СТАНД. У 21,4% самцов из группы СКУЧ коэффициенты предпочтения были отрицательными, т.е. они даже избегали социальный объект. Проживание в скученных условиях приводило к уменьшению социальной мотивации. Социальное избегание или уменьшение предпочтения социального объекта наблюдали ранее у мышей при смешанной модели психосоциального стресса социального поражения/скученности [2, 3, 5], при высокой плотности размещения крыс или мышей в клетке [4, 26]. Уменьшение времени взаимодействия с социальным объектом рассматривается в качестве адаптивной поведенческой стратегии для смягчения стресса, связанного со скученностью [4].
В тесте на социальное предпочтение у крыс группы СКУЧ, по сравнению со СТАНД, было обнаружено уменьшение числа выходов в центр, что можно рассматривать как свидетельство увеличение уровня тревожности. Кроме того, происходило уменьшение пройденной дистанции, скорости, времени движения, т.е. снижение двигательной активности. Ранее в нашей работе в открытом поле, имеющем сопоставимые размеры с камерой для социального предпочтения, крысы группы СКУЧ не проявляли признаков повышенной тревожности, но снижали двигательную активность [25]. Можно предположить, что увеличение тревожности в камере на социальное предпочтение в наших опытах было связано с наличием социального объекта в сетчатом цилиндре. В работах других авторов было показано, что при скученности у грызунов развивается тревожный фенотип [27–31] и появляется депрессивноподобное поведение [32].
В нашей работе впервые было показано, что в тесте на социальное доминирование в трубе самцы группы СКУЧ демонстрировали значительно большее число побед, чем крысы группы СТАНД, что свидетельствовало об увеличении социального доминирования. Самцы группы СКУЧ совершали больше активных наступательных действий в трубе. Ранее увеличение социального доминирования наблюдали у мышей после хронического непредсказуемого стресса [33], а также у крыс после раннего провоспалительного стресса [34], при этом в последней работе у победителей наблюдался более высокий базовый уровень IL-1β в крови, чем у проигравших. Пренатальное воздействие выхлопными газами дизельного топлива также приводило к увеличению доминирования у потомства и большей экспрессии IL-1β в префронтальной коре [35]. В крови у скученных крыс был обнаружен повышенный уровень провоспалительных цитокинов [16, 36, 37].
Тест «резидент–интрудер», проведенный после 4-дневной изоляции, показал, что у самцов-резидентов группы СКУЧ было больше нападений на интрудера, чем у группы СТАНД. При этом, если у группы СТАНД к концу опыта число нападений снижалось, то у группы СКУЧ оставалось на высоком уровне. Сходное увеличение числа агрессивных нападений и такое же распределение их во времени наблюдали ранее после провоспалительного стресса, вызываемого введением бактериального липополисахарида (ЛПС) в раннем онтогенезе [38]. После стресса социальной нестабильности, создаваемой чередованием периодов социальной изоляции и скученности, также наблюдалось увеличение агонистического поведения у самок крыс [10]. Увеличение агрессивных взаимодействий наблюдали в домашней клетке у мышей при увеличении числа животных в клетке [8, 9, 39]. Такую закономерность авторы объясняли тем, что большая численность популяции побуждает доминирующее животное демонстрировать более высокий уровень агрессивного поведения для поддержания своего доминирующего статуса.
В настоящей работе было показано увеличение экспрессии мРНК генов провоспалительного цитокина IL-1β в гиппокампе, префронтальной коре, миндалине, а также небольшое увеличение экспрессии гена TNF-α (тенденция) в миндалине у крыс группы СКУЧ, которых отличал повышенный уровень социального доминирования и агрессивности. Эти данные могут свидетельствовать, вероятно, о запуске процессов нейровоспаления, хотя содержание белков, кодируемых данными генами, мы не исследовали, в чем проявляются определенные ограничения нашей работы. Ранее после 3-дневного содержания в скученных условиях у крыс наблюдали увеличение уровня белков IL-1β в префронтальной коре и гипоталамусе [40]. Полученные в настоящей работе факты подтверждают предположение о связи доминирования с активацией иммунной системы [34], которое ранее возникло на основании данных о высоком содержании провоспалительного цитокина IL-1β в крови у доминантов [34]. Высокий уровень экспрессии гена IL-1β в мозге может вызывать изменение функционирования структур мозга, участвующих в механизмах социальной иерархии. Большую роль, по-видимому, для увеличения социального доминирования играют изменения в префронтальной коре. Так, известно, что медиальная префронтальная кора является ключевой структурой мозга, определяющей иерархический статус [19, 41–43]. Активация или торможение дорзомедиальной части префронтальной коры вызывает мгновенный выигрыш или проигрыш соответственно [43]. Cоциальное доминирование контролируется синаптической эффективностью в медиальной префронтальной коре (mPFC), и глутаматный рецептор AMPA-типа (AMPA-R) является ключевым для синаптической эффективности [44].
Наши данные об увеличении экспрессии гена провоспалительного цитокина IL-1β в гиппокампе, миндалине и префронтальной коре у крыс группы СКУЧ с высоким уровнем агрессии подтверждают гипотезу о связи агрессии с повышением уровня цитокинов [45]. Ранее было показано, что у агрессивных крыс линии Norway, по сравнению с неагрессивными животными, наблюдается более высокий уровень провоспалительного цитокина IL-1β в гипоталамусе и во фронтальной коре после введения ЛПС, а уровень противовоспалительного цитокина IL-10, наоборот, уменьшен [46]. Для агрессивных мышей была характерна увеличенная продукция провоспалительных цитокинов клетками селезенки [47]. Эпизоды агрессии приводили к увеличению экспрессии мРНК генов IL-1β и IL-6 в префронтальной коре и гиппокампе, при этом наблюдались сложные зависимости от социального статуса мышей, числа схваток и реактивности животных по уровню кортикостерона в крови [48]. У доминантов с большой реакцией по уровню кортикостерона после схватки наблюдался существенный прирост мРНК IL-1β и IL-6 в префронтальной коре [48]. Животные и люди с повышенной агрессивностью показывают увеличенный уровень провоспалительных цитокинов [49].
Хотя крысы группы СКУЧ отличались повышенной агрессивностью и доминированием, в нашей работе не было обнаружено прямой связи между доминированием и агрессивностью у конкретных крыс, т.е. у животных, имеющих большое число побед в трубе, могло не быть большого числа агрессивных нападений в тесте «резидент–интрудер». Оппоненты в трубе никогда не кусали друг друга, победа достигалась напором, толканиями, стойкостью, неготовностью отступать. Ряд данных литературы также свидетельствует об отсутствии связи между доминированием и агрессивностью у грызунов [33, 50] или у кошек [51]. Для более полного анализа причинно-следственных связей между двумя поведенческими показателями, такими как агрессивность и доминирование, и повышением провоспалительных цитокинов в мозге требуются, по-видимому, дополнительные эксперименты с искусственным влиянием на уровень цитокинов в мозге.
Экспрессия гена цитокина TGF-β1 была повышена у крыс группы СКУЧ в миндалине, префронтальной коре и гиппокампе, т.е. тех же структурах, в которых была увеличена экспрессия провоспалительных цитокинов. TGF-β1 широко известен как противовоспалительный цитокин, который может вырабатываться как глиальными, так и нейрональными клетками [52, 53], его повышенный уровень обнаруживается при длительной хронической активации микроглии. Показана защитная роль TGF-β1 при ряде патологий. Так, при болезни Альцгеймера данный цитокин осуществляет иммуномодуляцию и нейропротекцию головного мозга [54]. TGF-β1 способен ослаблять нейровоспаление и облегчать демиелинизирующие повреждения при ряде заболеваний [52], подавлять накопление липопротеидов низкой плотности в условиях инсульта [55]. Снижение TGF-β1 наблюдается при дефиците когнитивных функций [56]. Кроме того, показана повышенная экспрессия рецептора TGF-β1 в гиппокампе у крыс, устойчивых к пренатальному стрессу и не показавших признаков развития депрессивноподобного поведения [57]. На основании данных литературы можно высказать предположение, что повышенный уровень экспрессии TGF-β1 в тех же структурах мозга, которые показали увеличение экспрессии провоспалительных цитокинов, может говорить о наличии компенсаторных процессов.
ЗАКЛЮЧЕНИЕ
Содержание крыс-самцов в условиях повышенной скученности, по сравнению с контролем, приводило к уменьшению времени взаимодействия с социальным объектом в тесте на социальное предпочтение, что свидетельствовало об уменьшении социальной мотивации. Содержание в скученных условиях вызывало увеличение социального доминирования в тесте в трубе и приводило к увеличению агрессивности в тесте «резидент–интрудер», судя по увеличению числа нападений, меньшему латентному периоду первых нападений и не снижению их числа к концу опыта. Содержание в скученных условиях вызывало увеличение экспрессии мРНК гена провоспалительного цитокина IL-1β в дорзальном гиппокампе, медиальной префронтальной коре и в меньшей степени в миндалине, что можно рассматривать как признаки нейровоспаления. У крыс группы СКУЧ наблюдался более высокий уровень экспрессии мРНК гена противовоспалительного цитокина TGF-β1 в дорзальном гиппокампе, миндалине и медиальной префронтальной коре, что свидетельствовало, по-видимому, о наличии компенсаторных процессов.
Ограничения работы. Молекулярно-генетический анализ образцов мозга по ряду причин был проведен не у всей выборки крыс. Было отобрано по 8 животных в каждой группе, поведение которых в тестах «резидент–интрудер» и на социальное доминирование в трубе было наиболее характерно для каждой группы. Анализ экспрессии белков, кодируемых исследованными генами, не был проведен в работе, ограничились изучением только экспрессии мРНК соответствующих генов.
Вклад авторов. И.В. Павлова – концепция и руководство работой, проведение экспериментов, написание текста; Н.Д. Брошевицкая, А.А. Потехина – проведение экспериментов, обработка результатов; А.М. Швадченко – молекулярно-генетический анализ.
Финансирование. Работа выполнена в рамках государственного задания ИВНД и НФ РАН по теме «Сетевые, клеточные и молекулярные механизмы нейропластичности в поведении, обучении и памяти животных и человека». Регистрационный номер: 1021062411613-6-3.1.4, руководитель академик РАН П.М. Балабан.
Конфликт интересов. Авторы заявляют об отсутствии конфликта интересов.
Соблюдение этических норм. Все применимые международные, национальные и/или институциональные принципы ухода и использования животных были соблюдены.
About the authors
I. V. Pavlova
Institute of Higher Nervous Activity and Neurophysiology, Russian Academy of Sciences
Author for correspondence.
Email: pavlovfml@mail.ru
Russian Federation, 117485 Moscow
N. D. Broshevitskaya
Institute of Higher Nervous Activity and Neurophysiology, Russian Academy of Sciences
Email: pavlovfml@mail.ru
Russian Federation, 117485 Moscow
A. A. Potekhina
Institute of Higher Nervous Activity and Neurophysiology, Russian Academy of Sciences
Email: pavlovfml@mail.ru
Russian Federation, 117485 Moscow
A. M. Shvadchenko
Institute of Higher Nervous Activity and Neurophysiology, Russian Academy of Sciences
Email: pavlovfml@mail.ru
Russian Federation, 117485 Moscow
References
- Toth, I., and Neumann, I. D. (2013) Animal models of social avoidance and social fear, Cell Tissue Res., 354, 107-118, https://doi.org/10.1007/s00441-013-1636-4
- Slattery, D. A., Uschold, N., Magoni, M., Bär, J., Popoli, M., Neumann, I. D., and Reber, S. O. (2012) Behavioural consequences of two chronic psychosocial stress paradigms: anxiety without depression, Psychoneuroendocrinology, 37, 702-714, https://doi.org/10.1016/j.psyneuen.2011.09.002.
- Tramullas, M., Tramullas, M., Dinan, T. G., and Cryan, J. F. (2012) Chronic psychosocial stress induces visceral hyperalgesia in mice, Stress, 15, 281-292, https://doi.org/10.3109/10253890.2011.622816.
- Lee, Y. A., Obora, T., Bondonny, L., Toniolo, A., Mivielle, J., Yamaguchi, Y., Kato, A., Takita, M., and Goto, Y. (2018) The effects of housing density on social interactions and their correlations with serotonin in rodents and primates, Sci. Rep., 8, 3497, https://doi.org/10.1038/s41598-018-21353-6.
- Finger, B. C., Dinan, T. G., and Cryan, J. F. (2012) The temporal impact of chronic intermittent psychosocial stress on high-fat diet-induced alterations in body weight, Psychoneuroendocrinology, 37, 729-741, https://doi.org/10.1016/j.psyneuen.2011.06.01.
- Ramsden, E. (2009) The urban animal: population density and social pathology in rodents and humans, Bulletin of the World Health Organization, 87, 82, https://doi.org/10.2471/blt.09.062836.
- Calhoun, J. B. (1962) Population density and social pathology, Sci. Am., 206, 139-150, https://doi.org/10.1038/scientificamerican0262-139.
- Van Loo, P. L. P., Mol, J. A., Koolhaas, J. M., Van Zutphen, B. F. M., and Baumans, V. (2001) Modulation of aggression in male mice: influence of group size and cage size, Physiol. Behav., 72, 675-683, https://doi.org/10.1016/s0031-9384(01)00425-5.
- Poole, T. B., and Morgan, H. D. (1973) Differences in aggressive behaviour between male mice (Mus musculus L.) in colonies of different sizes, Anim. Behav., 21, 788-795, https://doi.org/10.1016/s0003-3472(73)80105-8.
- Baranyi, J., Bakos, N., and Haller, J. (2005) Social instability in female rats: the relationship between stress-related and anxiety-like consequences, Physiol. Behav., 84, 511-518, https://doi.org/10.1016/j.physbeh.2005.01.005.
- Cao, W. Y., Hu, Z. L., Xu, Y., Zhang, W. J., Huang, F. L., Qiao, X. Q., Cui, Y. H., Wan, W., Wang, X. Q., Liu, D., Dai, R. P., Li, F., and Li, C. Q. (2017) Role of early environmental enrichment on the social dominance tube test at adulthood in the rat, Psychopharmacology (Berl), 234, 3321-3334, https://doi.org/10.1007/s00213-017-4717-3.
- Brown, K. J., and Grunberg, N. E. (1995) Effects of housing on male and female rats: crowding stresses male but calm females, Physiol. Behav., 58, 1085-1089, https://doi.org/10.1016/0031-9384(95)02043-8.
- Smitha, K. K., and Mukkadan, J. K. (2014) Effect of different forms of acute stress in the generation of reactive oxygen species in albino Wistar rats, Indian J. Physiol. Pharmacol., 58, 229-232.
- Delaroque, C., Chervy, M., Gewirtz, A. T., and Chassaing, B. (2021) Social overcrowding impacts gut microbiota, promoting stress, inflammation, and dysglycemia, Gut Microbes, 13, 2000275, https://doi.org/10.1080/19490976. 2021.2000275.
- Uarquin, D. G., Meyer, J. S., Cardenas, F. P., and Rojas, M. J. (2016) Effect of overcrowding on hair corticosterone concentrations in juvenile male Wistar rats, J. Am. Assoc. Lab. Anim. Sci., 55, 749-755.
- Лосева Е. В., Логинова Н. А., Мезенцева М. В., Клодт П. М., Кудрин В. С. (2013) Иммунологические показатели крови и уровни моноаминов в мозге крыс, содержащихся в условиях хронической скученности, Бюлл. экспер. биол. и мед., 155, 464-467.
- Chen, P., and Hong, W. (2018) Neural circuit mechanisms of social behavior, Neuron, 98, 16-30, https://doi.org/10.1016/j.neuron.2018.02.026.
- Hashikawa, Y., Hashikawa, K., Falkner, A. L., and Lin, D. (2017) Ventromedial hypothalamus and the generation of aggression, Front. Systems Neurosci., 11, 94, https://doi.org/10.3389/fnsys.2017.00094.
- Wang, F., Kessels, H. W., and Hu, H. (2014) The mouse that roared: neural mechanisms of social hierarchy, Trends Neurosci., 37, 674-682, https://doi.org/10.1016/j.tins.2014.07.005.
- Gulyaeva, N. V. (2019) Functional neurochemistry of the ventral and dorsal hippocampus: stress, depression, dementia and remote hippocampal damage, Neurochem. Res., 44, 1306-1322, https://doi.org/10.1007/s11064-018-2662-0.
- Fan, Z., Zhu, H., Zhou, T., Wang, S., Wu, Y., and Hu, H. (2019) Using the tube test to measure social hierarchy in mice, Nat. Protoc., 14, 819-831, https://doi.org/10.1038/s41596-018-0116-4.
- Suchomelova, L., Thompson, K. W., Baldwin, R. A., Niquet, J., and Wasterlain, C. G. (2023) Interictal aggression in rats with chronic seizures after an early life episode of status epilepticus, Epilepsia Open, 8, S82-S89, https://doi.org/10.1002/epi4.12734.
- Paxinos, G., and Watson, C. (2005) The Rat Brain in Stereotaxic Coordinates, Elsevier Academic Press, 210 p.
- Schmittgen, T. D., and Livak, K. J. (2008) Analyzing real-time PCR data by the comparative C(T) method, Nat. Protoc., 3, 1101-1108, https://doi.org/10.1038/nprot.2008.73.
- Павлова И. В., Брошевицкая Н. Д. (2024) Влияние содержания крыс в условиях повышенной скученности на тревожность и условнорефлекторный страх, Журн. высш. нервн. деят., 74, 421-434, https://doi.org/ 10.31857/S004446772403005X.
- Barker, T. H., George, R. P., Howarth, G. S., Whittaker, A. L. (2017) Assessment of housing density, space allocation and social hierarchy of laboratory rats on behavioural measures of welfare, PLoS One., 12, e0185135, https://doi.org/10.1371/journal.pone.0185135.
- Lin, E. J., Sun, M., Choi, E. Y., Magee, D., Stets, C. W., and During, M. J. (2015) Social overcrowding as a chronic stress model that increases adiposity in mice. Psychoneuroendocrinology, 51, 318-330, https://doi.org/10.1016/ j.psyneuen.2014.10.007.
- Daniels, W. M. U., Pietersen, C. Y., Carstens, M. E., Daya, S., and Stein, D. (2000) Overcrowding induces anxiety and causes loss of serotonin 5HT-1a receptors in rats, Metab. Brain Disease, 15, 287-295, https://doi.org/ 10.1023/a:1011123208674.
- Botelho, S., Estanislau, C., and Morato, S. (2007) Effects of under and overcrowding on exploratory behavior in the elevated plus-maze, Behav. Processes, 74, 357-362, https://doi.org/10.1016/j.beproc.2006.12.006.
- Князева С. И., Логинова Н. А., Лосева Е. В. (2012) Уровень тревожности и изменение массы тела при скученности у крыс, Бюлл. экспер. биол и мед., 154, 7-10.
- Лосева Е. В. (2021) Психосоциальный стресс перенаселенности (скученности): негативные последствия для организма человека и грызунов, Интеграт. Физиол., 2, 33-40, https://doi.org/10.33910/2687-1270-2021-2-1-33-40.
- Лосева Е. В., Саркисова К. Ю., Логинова Н. А., Кудрин В. С. (2015) Депрессивное поведение и содержание моноаминов в структурах мозга у крыс при хронической скученности, Бюл. Эксперим. Биол. Мед., 159, 304-307.
- Yang, C. R., Bai, Y. Y., Ruan, C. S., Zhou, H. F., Liu, D., Wang, X. F., Shen, L. J., Zheng, H. Y., and Zhou, X. F. (2015) Enhanced aggressive behaviour in a mouse model of depression, Neurotox. Res., 27, 129-142, https:// doi.org/10.1007/s12640-014-9498-4.
- Брошевицкая Н. Д., Павлова И. В., Зайченко М. И. (2022) Ранний провоспалительный стресс влияет на социальное поведение взрослых крыс: эффекты пола и базового уровня интерлейкина 1-бета в крови, Нейрохимия, 39, 279-287, https://doi.org/10.31857/S1027813322030025.
- Win-Shwe, T. T., Kyi-Tha-Thu, C., Fujitani, Y., Tsukahara, S., and Hirano, S. (2021) Perinatal exposure to diesel exhaust-origin secondary organic aerosol induces autism-like behavior in rats, Int. J. Mol. Sci., 22, 538, https://doi.org/10.3390/ijms22020538.
- Gadek-Michalska, A., Bugajski, A. J., and Bugajski, J. (2008) Prostaglandins and interleukin-1beta in the hypothalamicpituitary-adrenal response to systemic phenylephrine under basal and stress conditions, J. Physiol. Pharmacol., 59, 563-575.
- Гаврилов В. В., Онуфриев М. В., Моисеева Ю. В., Александров Ю. И., Гуляева Н. В. (2021) Хронические социальные стрессы изоляции и скученности у крыс по-разному влияют на научение инструментальному поведению и состояние гипоталамо-гипофизарно-адренокортикальной системы, Журн. высш. нервн. деят., 71, 710-719, https://doi.org/10.31857/S004446772105004X.
- Павлова И. В., Брошевицкая Н. Д. (2023) Влияние активации иммунной системы в раннем онтогенезе на агрессивность и сексуальную мотивацию у взрослых крыс Вистар, Рос. физиол. журн. им. И.М. Сеченова, 109, 1476-1488, https://doi.org/10.31857/S0869813923100084.
- Butler, R. G. (1980) Population size, social behaviour, and dispersal in house mice: a quantitative investigation, Anim. Behav., 28, 78-85, https://doi.org/10.1016/S0003-3472(80)80010-8.
- Gądek-Michalska, A., Tadeusz, J., Rachwalska, P., and Bugajski, J. (2016) Psychosocial stress inhibits additional stress-induced hyperexpression of NO synthases and IL-1b in brain structures, Pharmacol. Rep., 68, 1178-1196, https://doi.org/10.1016/j.pharep.2016.09.003.
- Pallé, A., Zorzo, C., Luskey, V. E., McGreevy, K. R., Fernández, S., and Trejo, J. L. (2019) Social dominance differentially alters gene expression in the medial prefrontal cortex without affecting adult hippocampal neurogenesis or stress and anxiety-like behavior, FASEB J., 33, 6995-7008, https://doi.org/10.1096/fj.201801600R.
- Zhang, C., Zhu, H., Ni, Z., Xin, Q., Zhou, T., Wu, R., Gao, G., Gao, Z., Ma, H., Li, H., He, M., Zhang, J., Cheng, H., and Hu, H. (2022) Dynamics of a disinhibitory prefrontal microcircuit in controlling social competition, Neuron, 110, 516-531.6, https://doi.org/10.1016/j.neuron.2021.10.034.
- Zhou, T., Zhu, H., Fan, Z., Wang, F., Chen, Y., Liang, H., Yang, Z., Zhang, L., Lin, L., Zhan, Y., Wang, Z., and Hu, H. (2017) History of winning remodels thalamo-PFC circuit to reinforce social dominance, Science, 357, 162-168, https://doi.org/10.1126/science.aak9726.
- Park, M. J., Seo, B. A., Lee, B., Shin, H. S., and Kang, M. G. (2018) Stress-induced changes in social dominance are scaled by AMPA-type glutamate receptor phosphorylation in the medial prefrontal cortex, Sci. Rep., 8, 15008, https://doi.org/10.1038/s41598-018-33410-1.
- Das, S., Deuri, S. K., Sarmah, A., Pathak, K., Baruah, A., Sengupta, S., Mehta, S., Avinash, P. R., Kalita, K. N., and Hazarika, J. (2016) Aggression as an independent entity even in psychosis – the role of inflammatory cytokines, J. Neuroimmunol., 292, 45-51, https://doi.org/10.1016/j.jneuroim.2016.01.012.
- Alperina, E., Idova, G., Zhukova, E., Zhanaeva, S., and Kozhemyakina, R. (2019) Cytokine variations within brain structures in rats selected for differences in aggression, Neurosci. Lett., 692, 193-198, https://doi.org/10.1016/ j.neulet.2018.11.012.
- Idova, G. V., Markova, E. V., Gevorgyan, M. M., Alperina, E. L., and Zhukova, E. N. (2016) Changes in production of cytokines by C57Bl/6J mouse spleen during aggression provoked by social stress, Bull. Experim. Biol. and Med., 160, 679-682, https://doi.org/10.1007/s10517-016-3248-y.
- Audet, M.-C., Mangano, E. N., and Anisman, H. (2010) Behavior and pro-inflammatory cytokine variations among submissive and dominant mice engaged in aggressive encounters: moderation by corticosterone reactivity, Front. Behav. Neurosci., 4, 1-12, https://doi.org/10.3389/fnbeh.2010.00156.
- Takahashi, A., Flanigan, M. E., McEven, B. S., and Russo, S. J. (2018) Aggression, social stress, and the immune system in humans and animal models, Front. Behav. Neurosci., 12, 56-62, https://doi.org/10.3389/fnbeh.2018.00056.
- Hiadlovská, Z., Mikula, O., Macholán, M., Hamplová, P., Vošlajerová, Bímová, B., and Daniszová, K. (2015) Shaking the myth: body mass, aggression, steroid hormones, and social dominance in wild house mouse, Gen. Comp. Endocrinol., 223, 16-26, https://doi.org/10.1016/j.ygcen.2015.09.033.
- Fonberg, E. (1988) Dominance and aggression, Int. J. Neurosci., 41, 201-213, https://doi.org/10.3109/ 00207458808990726.
- Xie, Y., Chen, X., Li, Y., Chen, S., Liu, S., Yu, Z., and Wang, W. (2022) Transforming growth factor-b1 protects against LPC-induced cognitive deficit by attenuating pyroptosis of microglia via NF-κB/ERK1/2 pathways, J. Neuroinflamm., 19, 194, https://doi.org/10.1186/s12974-022-02557-0.
- Mitchell, K., Shah, J. P., Tsytsikova, L. V., Campbell, A. M., Affram, K., and Symes, A. J. (2014) LPS antagonism of TGF-β signaling results in prolonged survival and activation of rat primary microglia, J. Neurochem., 129, 155-168, https://doi.org/10.1111/jnc.12612.
- Kapoor, M., and Chinnathambi, S. (2023) TGF-β1 signalling in Alzheimer’s pathology and cytoskeletal reorganization: a specialized Tau perspective, J. Neuroinflamm., 20:72. https://doi.org/10.1186/s12974-023-02751-8.
- Xin, W., Pan, Y., Wei, W., Gerner, S. T., Huber, S., Juenemann, M., Butz, M., Bähr, M., Huttner, H. B., and Doeppner, T. R. (2023) TGF-β1 decreases microglia-mediated neuroinflammation and lipid droplet accumulation in an in vitro stroke model, Int. J. Mol. Sci., 24, 17329, https://doi.org/10.3390/ijms242417329.
- Su, C., Miao, J., and Guo, J. (2023) The relationship between TGF-b1 and cognitive function in the brain, Brain Res. Bull., 205, 110820, https://doi.org/10.1016/j.brainresbull.2023.110820.
- Fidilio, A., Grasso, M., Caruso, G., Musso, N., Begni, V., Privitera, A., Torrisi, S. A., Campolongo, P., Schiavone, S., Tascedda, F., Leggio, G. M., Drago, F., Riva, M. A., and Caraci, F. (2022) Prenatal stress induces a depressive-like phenotype in adolescent rats: The key role of TGF-β1 pathway, Front. Pharmacol., 13, 1075746, https://doi.org/10.3389/fphar.2022.1075746.
Supplementary files






