Differences in the Effects of Beta-Hydroxybutyrate on Mitochondria Biogenesis, Markers of Oxidative Stress and Inflammation in Young and Old Rat Tissues
- Authors: Nesterova V.V.1, Babenkova P.I.1, Brezgunova A.A.2, Samoylova N.A.1, Sadovnikova I.S.1, Semenovich D.S.2, Andrianova N.V.2, Gureev A.P.1,3, Plotnikov E.Y.2
-
Affiliations:
- Voronezh State University
- Lomonosov Moscow State University
- Voronezh State University of Engineering Technology
- Issue: Vol 89, No 7 (2024)
- Pages: 1288-1303
- Section: Articles
- URL: https://ogarev-online.ru/0320-9725/article/view/276379
- DOI: https://doi.org/10.31857/S0320972524070113
- EDN: https://elibrary.ru/WMHYEE
- ID: 276379
Cite item
Full Text
Abstract
One of the therapeutic approaches to age-related diseases is to affect the metabolism of the body’s cells through certain diets or their pharmacological mimetics. The ketogenic diet significantly affects the energy metabolism of cells and the functioning of mitochondria, which is being actively studied in various age-related pathologies. In this study, we investigated the effect of the ketogenic diet mimetic beta-hydroxybutyrate (BHB) on the gene expression of proteins regulating mitochondrial biogenesis (Ppargc1a, Nrf1, Tfam), quality control (Sqstm1), the work of the antioxidant system (Nfe2l2, Gpx1, Gpx3, Srxn1, Txnrd2, Slc6a9, Slc7a11), and the inflammatory response (Il1b, Tnf, Ptgs2, Gfap) in the brain, lungs, heart, liver, kidneys, and muscles of young and old rats. In addition, we analyzed mitochondrial DNA (mtDNA) copy number, the accumulation of mtDNA damage, and the level of oxidative stress by the concentration of thiobarbituric acid-reactive substances (TBARS), and reduced glutathione level. We showed that aging in a number of organs disrupts mitochondrial biogenesis and the functioning of the cell’s antioxidant system, which was accompanied by increased oxidative stress and inflammation. Administration of BHB for 2 weeks had different effects on organs of young and old rats. In particular, BHB increased the expression of genes of proteins associated with mitochondrial biogenesis and the antioxidant system, especially in the liver tissue and muscles of the young but not the old rats. At the same time, BHB contributed to the reduction of TBARS in the kidneys of the old rats. Thus, our study has shown that the administration of ketone bodies can significantly affect gene expression in organs, especially in young rats, by increasing mitochondrial biogenesis, improving the antioxidant system and partially reducing the level of oxidative stress. However, these changes were much less pronounced in old animals.
Full Text
Принятые сокращения: АФК – активные формы кислорода; БГБ – бета-гидроксибутират; ТБКРС – соединения, реагирующие с тиобарбитуровой кислотой.
ВВЕДЕНИЕ
Старение – это процесс, ассоциированный с накоплением различных повреждений, которые приводят к дисфункции клеток и тканей. Считается, что нарушение работы органов при старении может быть связано с дисрегуляцией процессов, контролирующих метаболизм питательных веществ и функционирование митохондрий [1]. Митохондрии являются основной клеточной системой, ответственной за поддержание энергетического гомеостаза клетки. Основной их функцией является производство ATP, но митохондрии также вовлечены в другие клеточные процессы, такие как регуляция метаболизма кальция и редокс-статуса клетки, синтез метаболических интермедиатов, генерация активных форм кислорода (АФК) и регуляция апоптоза. Всё это позволяет рассматривать митохондриальные дисфункции как одно из основных звеньев в патогенезе широкого спектра заболеваний [2]. За счёт избыточного образования АФК или истощения митохондриальных антиоксидантов [3] с возрастом могут накапливаться повреждения и мутации митохондриальной ДНК (мтДНК), что ухудшает функционирование дыхательной цепи митохондрий и приводит к дальнейшему увеличению выработки АФК и повреждению компонентов клетки [4].
Важным фактором, влияющим на метаболизм и нормализацию функций митохондрий, является диета. Сейчас в исследованиях и клинической практике используется множество диет, влияющих на разные аспекты метаболизма, однако в последнее время всё большую популярность набирает кетогенная диета – низкоуглеводная диета с высоким содержанием жиров и умеренным содержанием белков [5]. Данная диета вызывает образование в печени специфических соединений – кетоновых тел, например, β-гидроксибутирата (БГБ), которые эффективны при профилактике и лечении определённых заболеваний, таких как эпилепсия [6], а также болезнь Альцгеймера [7], болезнь Паркинсона [8], сердечно-сосудистые заболевания [9] и инсульт [10].
Ранее считалось, что во многих тканях митохондрии используют БГБ в качестве альтернативного субстрата для получения ATP, что значительно улучшает энергетическую обеспеченность ткани, в то время как сейчас всё большее распространение приобретает взгляд на БГБ не как на метаболический интермедиат, а как на важный регулятор физиологических процессов [11] через сигнальные механизмы. В частности, БГБ способен существенно улучшать митохондриальные функции, снижать уровень митохондриального Ca2+, продукцию АФК, активацию митохондриальной поры (mPTP), что способствует снижению воспалительных процессов [12].
В значительно меньшей степени изучены эффекты БГБ как модулятора транскрипции, особенно у животных разных возрастов, хотя известно, что он может влиять на уровень ацетилирования гистонов [13], а, следовательно, и на уровень экспрессии генов. Также БГБ может вносить свой вклад в изменение активности сигнальных путей Nrf2/ARE [14], PGC-1α, FoxO1 [15] и NF-κB [16]. Данные сигнальные пути в значительной степени связаны с регуляцией митохондриальных процессов, и некоторые из них рассматриваются как перспективные мишени для геропротекции [17, 18].
Целью данной работы был анализ влияния инъекций БГБ в течение 2 недель на экспрессию генов белков, ассоциированных с биогенезом митохондрий, контролем качества, антиоксидантной системой, а также воспалением в ключевых органах, таких как мозг, лёгкие, сердце, печень, почки, мышцы. Помимо этого, было изучено изменение количества мтДНК в клетках разных органов молодых и старых крыс, а также количества масштабных делеций и повреждений мтДНК, то есть исследовано влияние БГБ на целостность структуры митохондриального генома. Была также проанализирована интенсивность окислительного стресса в различных тканях, влияние на данный процесс старения и терапии БГБ.
МАТЕРИАЛЫ И МЕТОДЫ
Модельный объект и дизайн эксперимента. Эксперименты проводили на молодых (n = 12, возраст 3–4 месяца, вес 300–400 г) и старых (n = 15, возраст 27 месяцев, вес 600–800 г) самцах крыс линии Wistar. Протоколы работы с животными были рассмотрены и одобрены этическим комитетом НИИ ФХБ имени А.Н. Белозерского МГУ имени М.В. Ломоносова (протокол № 006-1/1/2024). Все манипуляции с животными проводились в соответствии с руководствами ARRIVE. Группы молодых и старых животных случайным образом разделили на 2 подгруппы, одна из которых в течение 14 дней получала подкожную инъекцию БГБ в дозе 200 мг/кг, а другая – подкожную инъекцию эквивалентного объёма физиологического раствора. На 14 сутки введения БГБ у крыс собирали образцы органов (мозг, лёгкие, сердце, печень, почки, мышцы) для дальнейшего анализа. Последнюю инъекцию БГБ проводили за 1 ч до замораживания органов в жидком азоте.
Оценка уровня экспрессии генов. Выделение РНК осуществляли с помощью реагента ExtractRNA («Евроген», Россия). Для обратной транскрипции использовали набор РЕВЕРТА-L («АмплиСенс», Россия). Количественный ПЦР-анализ проводился на термоциклере CFX96TM Real-Time System («Bio-Rad», США) с использованием набора qPCRmix-HS SYBR. Нормализованный уровень экспрессии рассчитывался по формуле 2(−ΔΔCq). Результаты экспрессии генов представлены в виде тепловых карт, которые были получены при помощи стандартного ПО Bio-Rad CFX Manager (версия 2.1). Для генов, где были обнаружены статистически значимые изменения в экспрессии, результаты дополнительно представлены в виде гистограмм. В качестве референса использовался ген Gapdh. Последовательности праймеров исследуемых генов представлены в табл. 1.
Таблица 1. Последовательности праймеров для оценки уровня экспрессии генов у крыс
Название гена | Прямая последовательность | Обратная последовательность |
Gapdh | GGCTCCCTAGGCCCCTCCTG | TCCCAACTCGGCCCCCAACA |
Gfap | CGAAGAAAACCGCATCACCA | CCGCATCTCCACCGTCTTTA |
Gpx1 | AGTCCACCGTGTATGCCTTCT | GAGACGCGACATTCTCAATGA |
Gpx3 | CCATTCGGCCTGGTCATTCT | CCCGGTCGAACGTACTTGAG |
Il1b | GGCTTCCTTGTGCAAGTGTCT | TCTGGACAGCCCAAGTCAAG |
Nfe2l2 | CACATCCAGACAGACACCAGT | CTACAAATGGGAATGTCTCTGC |
Nrf1 | TTACTCTGCTGTGGCTGATGG | CCTCTGATGCTTGCGTCGTCT |
Ppargc1a | GCACCAGAAAACAGCTCCAA | TTGCCATCCCGTAGTTCACT |
Ptgs2 | CTCTGCGATGCTCTTCCGAG | TCTTGTCAGAAACTCAGGCGTA |
Slc6a9 | AAGGGATGYTGAATGGTGCT | TAGCCCACGCTCGTCAGTA |
Slc7a11 | CTGGGCAKGAGAAGGTRGTTC | CCCTTGGGGGAGATGAAGATG |
Sqstm1 | TCCCTGTCAAGCAGTATCC | TCCTCCTTGGCTTTGTCTC |
Srxn1 | CCARGGYGGYGACTACTACTA | AAGGGTYGACCTCACGAGCTT |
Tfam | ATCAAGACTGTGCGTGCATC | AGAACTTCACAAACCCGCAC |
Tnf | ATGGGCTCCCTCTCATCAGT | GCTTGGTGGTTTGCTACGAC |
Txnrd2 | GATCTCTTGGTGATCGGTGGG | CGGGGAGAGGGTTCCACATA |
Измерение количества копий мтДНК. Относительное количество копий мтДНК оценивалось с помощью ПЦР в реальном времени. Для реакции использовалась смесь 5X qPCRmix-HS SYBR («Евроген»). Для амплификации мтДНК крыс использовали следующую пару праймеров: прямой: 5′-CTCAAAGGACTTGGCGGTACT-3′; обратный: 5′-GCTGAATTAGCGAGAAGGGGT-3′. Амплификация участка ядерной ДНК, относительно которого проводилась нормализация, проводилась с использованием следующих праймеров: прямой: 5′-GGCTCCCTAGGCCCCTCCTG-3′; обратный: 5′-TCCCAACTCGGCCCCCAACA-3′. Условия реакции: общая денатурация при 95 °С – 3 мин, далее 35 циклов: денатурация при 95 °С – 10 с, отжиг праймеров при 59 °С – 30 с, элонгация при 72 °С – 30 с. Расчёт относительного количества копий мтДНК проводился с помощью стандартного ПО Bio-Rad CFX Manager (версия 2.1) на основе стандартной формулы 2(−ΔΔCq).
Оценка количества масштабных делеций мтДНК. Выделение тотальной ДНК из различных тканей крыс проводили с помощью коммерческого набора ПРОБА-ГС («ДНК-технология», Россия), согласно протоколу. Относительное количество масштабных делеций мтДНК крыс (ΔмтДНК4834) определяли с помощью метода ПЦР в реальном времени с использованием TaqMan-зондов по протоколу, описанному Loshchenova et al. [19]. Количество ΔмтДНК4834 (участка, образующегося в результате смыкания последовательностей, фланкирующих делетируемый участок мтДНК) нормировалось на общее количество мтДНК. Для нормализации количества делеций на количество копий мтДНК амплифицировали участок D-петли. Амплификация проводилась с использованием смеси 5X qPCRmix-HS («Евроген»). Условия реакции: общая денатурация при 95 °С – 3 мин, далее 35 циклов: денатурация при 95 °С – 10 с, отжиг праймеров при 64 °С – 15 с, элонгация при 72 °С – 20 с.
Оценка количества повреждений мтДНК. Количество повреждений мтДНК оценивали с помощью ПЦР длинных фрагментов с использованием Encyclo-полимеразы («Евроген»). Протокол и панели праймеров для мтДНК крысы были разработаны и оптимизированы нами ранее [20]. Метод основан на предположении о том, что наличие повреждений в структуре ДНК, например, одноцепочечных разрывов, модифицированных оснований или их аддуктов, будет препятствовать работе ДНК-полимеразы и накоплению ПЦР-продукта. Таким образом, эффективность амплификации участка ДНК обратно пропорциональна количеству молекул ДНК с повреждениями. Условия реакции: общая денатурация при 95 °С – 3 мин, далее 35 циклов: денатурация при 95 °С – 10 с, отжиг праймеров при 59 °С – 4 мин 30 с, элонгация при 72 °С – 30 с. Полученные значения ΔCq между контрольными и опытными (повреждёнными) длинными фрагментами сравнивались с ΔCq контрольных и опытных коротких фрагментов, которые использовали в качестве референсов.
Измерение содержания соединений, реагирующих с тиобарбитуровой кислотой (ТБКРС). Содержание ТБКРС определяли спектрофотометрическим методом, основанным на реакции с 2-тиобарбитуровой кислотой [21], с некоторыми модификациями. Ткани гомогенизировали в 1х PBS (pH 7,4) в соотношении 1 : 10 (w/v) соответственно. К 200 мкл гомогената добавляли 20 мкл 50%-ной трихлоруксусной кислоты и 800 мкл ТБК-реагента, содержащего 0,5% (w/v) 2-тиобарбитуровой кислоты, 0,35 М гидроксида натрия и 1,75 М уксусной кислоты. Пробы кипятили 1 ч, охлаждали в ледяной бане до комнатной температуры и центрифугировали при 10 000 g 10 мин (+4 °С). В супернатанте измеряли оптическую плотность при 532 нм на спектрофотометре Экрос ПЭ-5400УФ (ООО «Экросхим», Россия). Содержание ТБКРС рассчитывали, используя коэффициент молярной экстинкции 156 000 М−1 ⋅ см−1, и выражали в нмоль/мг общего белка. Содержание общего белка в гомогенате устанавливали с помощью метода Лоури [22].
Измерение содержания восстановленного глутатиона (GSH). Содержание восстановленного глутатиона определяли спектрофотометрическим методом, основанным на реакции с реактивом Эллмана [23], с некоторыми модификациями. Ткани гомогенизировали в среде, содержащей 50 мМ Tris-HCl, 150 мМ КСl, 1 мМ ЭДТА, 0,5%-ный Triton-Х100 в соотношении 1 : 10 (масса ткани/объём среды соответственно). Депротеинизацию осуществляли путём добавления 50%-ной трихлоруксусной кислоты к гомогенату в объёмном соотношении 1 : 9. Пробы центрифугировали 10 мин при 10 000 g (+4 °С). Супернатант смешивали с 0,4 М Tris-HCl (рН 8,9), содержащего 1 мМ ЭДТА в объёмном соотношении 1 : 2, и добавляли реактив Эллмана (0,2 мМ). Пробы инкубировали при комнатной температуре 15 мин и измеряли оптическую плотность при 412 нм на спектрофотометре Экрос ПЭ-5400УФ (ООО «Экросхим»). Содержание глутатиона рассчитывали, используя коэффициент молярной экстинкции 14 150 М−1 ⋅ см−1, и выражали в нмоль/мг белка. Содержание общего белка в гомогенате устанавливали с помощью метода Лоури [22].
Статистический анализ. Статистический анализ проводился с помощью программного пакета STATISTICA 12 («StatSoft», США). Результаты представлены в виде средних значений ± ошибка среднего. Для статистического анализа использовали t-критерий или непараметрический дисперсионный анализ Краскела–Уоллиса.
РЕЗУЛЬТАТЫ ИССЛЕДОВАНИЯ
Старение негативно влияет на антиоксидантную систему клеток и на экспрессию генов белков, регулирующих биогенез и контроль качества митохондрий. В органах молодых и старых крыс была проанализирована экспрессия генов, ассоциированных с биогенезом митохондрий, системой контроля качества, антиоксидантной системой и воспалением (рис. 1). Было показано, что старение значительно изменяет экспрессию анализируемых генов, особенно в мозге, мышцах и лёгких (рис. 1). В частности, выявлено, что в мышцах и мозге с возрастом наблюдалось снижение уровня мРНК генов ферментов, регулирующих биогенез митохондрий (Ppargc1a, Tfam) (рис. 1, а–в). Возрастные изменения в мышцах были ассоциированы со снижением экспрессии гена Sqstm1, продукт которого участвует в контроле качества белков и органелл (рис. 1, г). В лёгких и мышцах старых крыс наблюдалось значительное снижение экспрессии генов, продукты которых являются компонентами системы антиоксидантной защиты, в частности, Gpx1, Srxn1, Txnrd2, Slc7a11, Slc6a9 (рис. 1, д–м). Наблюдаемые негативные возрастные изменения сопровождались также увеличением уровня маркеров воспаления, в частности, повышенной экспрессией Tnf, Ptgs2, Gfap, Il1b, прежде всего в мозге и почках (рис. 1, н–р).
Рис. 1. Влияние старения на экспрессию генов белков, отвечающих за биогенез митохондрий (а–в), аутофагию (г), антиоксидантную систему клеток (д–м) и воспаление (н–р). Результаты представлены в виде средних значений ± ошибка среднего. Достоверность различий между группами: * р < 0,05 (t-критерий)
БГБ усиливает экспрессию белков биогенеза митохондрий и антиоксидантной системы в печени и мышцах молодых, но не старых крыс. Было проанализировано влияние БГБ на экспрессию исследуемых генов в органах молодых и старых крыс и выявлено, что подкожные инъекции БГБ в течение 2 недель оказывали наибольший положительный эффект на ткань печени и мышц молодых крыс. В частности, в печени БГБ увеличивал экспрессию генов, ассоциированных с биогенезом митохондрий (Ppargc1a, Nrf1, Tfam) (рис. 2, а–в) и антиоксидантной системой клеток (Nfe2l2, Gpx1, Txnrd2, Slc7a11, Slc6a9) (рис. 2, г–з). В мышцах введение БГБ также стимулировало биогенез митохондрий (Nrf1, Tfam) и антиоксидантную защиту (Srxn1, Slc6a9) (рис. 2, и–м). В то же время у старых крыс инъекции БГБ в течение 2 недель оказывали слабое влияние на экспрессию анализируемых генов. В частности, у них не наблюдалось усиления экспрессии генов, отвечающих за биогенез митохондрий и антиоксидантную систему, ни в печени или мышцах, ни в других органах (рис. 3).
Рис. 2. Влияние подкожного введения БГБ в течение 2 недель на ткани молодых крыс. Влияние БГБ на экспрессию белков, отвечающих за биогенез митохондрий и антиоксидантную систему, в ткани печени (а–з) и мышц (и–м). Результаты представлены в виде средних значений ± ошибка среднего. Достоверность различий между группами: * р < 0,05 (t-критерий)
Рис. 3. Тепловые карты, отражающие влияние возраста и подкожных инъекций БГБ на уровень экспрессии генов в мозге, лёгких, сердце, печени, почках и мышцах крыс
Старение влияет на количество копий мтДНК в тканях. В связи с тем, что старение и БГБ значительно влияли на экспрессию генов, кодирующих белки, отвечающие за биогенез митохондрий и антиоксидантную систему клеток, в органах молодых и старых крыс было измерено количество копий мтДНК, которое косвенно отражает количество митохондрий (рис. 4). Было показано, что в мозге и лёгких 27-месячных крыс значительно снижено количество копий мтДНК по сравнению с 4-месячными крысами. В то же время в почках и сердце старых крыс, напротив, наблюдалось увеличение числа копий мтДНК (рис. 4). В других органах изменения количества мтДНК с возрастом были незначительными. Однако введение БГБ значимо не влияло на количество копий мтДНК ни у молодых, ни у старых крыс.
Рис. 4. Влияние подкожных инъекций БГБ на количество копий мтДНК в разных тканях крыс разного возраста. яДНК – ядерная ДНК. Результаты представлены в виде средних значений ± ошибка среднего. Достоверность различий между группами: * p < 0,05; ** p < 0,01; *** p < 0,001 (критерий Краскела–Уоллиса)
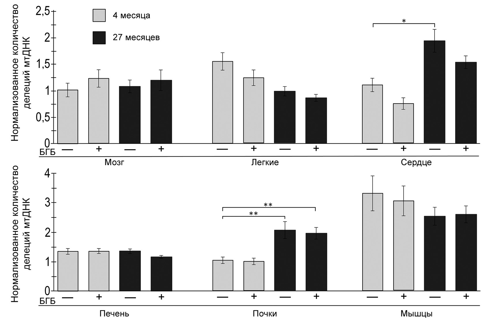
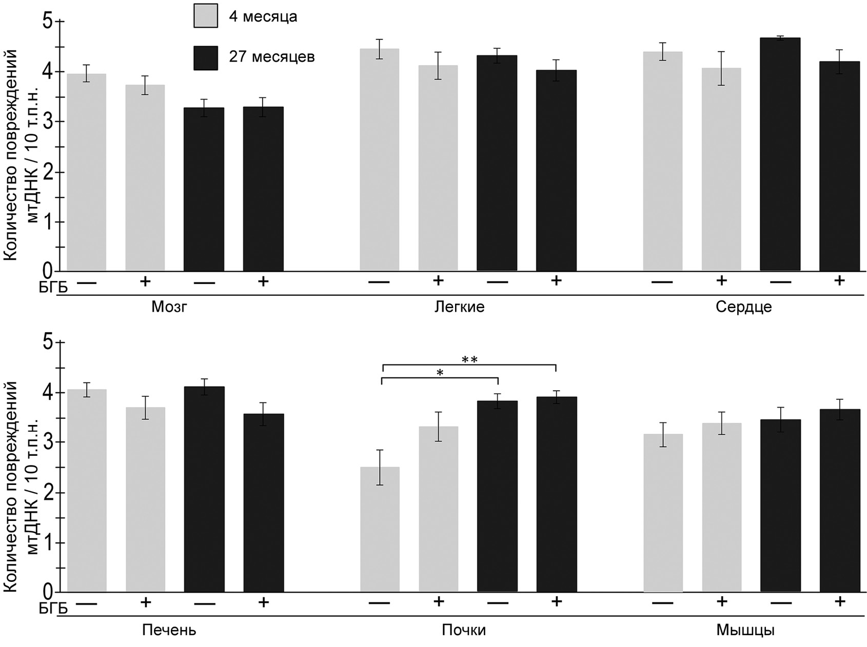
Старение увеличивает количество масштабных делеций в мтДНК. Известно, что при старении происходит нарушение контроля качества белков и органелл, поэтому в органах молодых и старых крыс было измерено количество масштабных делеций и повреждений мтДНК (рис. 5, 6). Было показано, что при старении в почках и сердце возрастало количество крупных делеций мтДНК, чего не было обнаружено в других органах (рис. 6). В почках старых крыс при этом происходило увеличение количества мелких повреждений мтДНК на 53% по сравнению с молодыми 4-месячными крысами (рис. 5). Введение БГБ не влияло на количество масштабных делеций мтДНК или уровень повреждений мтДНК ни у молодых, ни у старых животных (рис. 5, 6).
Рис. 5. Влияние подкожных инъекций БГБ на количество повреждений мтДНК в разных тканях крыс разного возраста. Результаты представлены в виде средних значений ± ошибка среднего. Достоверность различий с контрольной группой 4-месячных крыс: * p < 0,05; ** p < 0,01 (критерий Краскела–Уоллиса)
Рис. 6. Влияние подкожных инъекций БГБ на число масштабных делеций мтДНК в разных тканях крыс разного возраста. Результаты представлены в виде средних значений ± ошибка среднего. Достоверность различий между группами: * p < 0,05; ** p < 0,01 (критерий Краскела–Уоллиса)
Влияние старения и введения БГБ на уровень окислительного стресса в тканях органов. Так как старение негативным образом влияло на экспрессию генов, продукты которых поддерживают функциональность антиоксидантной системы клеток, а введение БГБ, наоборот, усиливало экспрессию этих генов (по крайней мере, в ткани печени и мышц у молодых животных), были измерены параметры окислительного стресса в органах молодых и старых животных. В качестве маркера окислительного стресса использовали содержание ТБКРС в тканях крыс. Мы обнаружили, что в мышцах у 27-месячных крыс количество ТБКРС более чем в 2 раза превышало аналогичный показатель у 4-месячных крыс (рис. 7). Содержание ТБКРС возрастало и в почках старых крыс, тогда как введение БГБ значимо снижало их уровень (рис. 7). Мы оценили также и уровень GSH, который снижался почти в 4 раза в лёгких старых крыс по сравнению с молодыми (рис. 8). Тем не менее введение БГБ не повышало уровень GSH в органах ни молодых, ни старых крыс.
Рис. 7. Влияние подкожных инъекций БГБ на содержание ТБКРС в разных тканях крыс разного возраста. Результаты представлены в виде средних значений ± ошибка среднего. Достоверность различий между группами: * p < 0,05; ** p < 0,01; *** p < 0,001 (критерий Краскела–Уоллиса)
Рис. 8. Влияние подкожных инъекций БГБ на содержание восстановленного глутатиона в разных тканях молодых и старых крыс. Результаты представлены в виде средних значений ± ошибка среднего. Достоверность различий между группами: *** p < 0,001 (критерий Краскела–Уоллиса)
ОБСУЖДЕНИЕ РЕЗУЛЬТАТОВ
Старение большинством исследователей определяется как необратимый комплексный процесс, при котором происходят эпигенетические изменения [24], потеря белкового гомеостаза [25], метаболические нарушения [26], а также развивается митохондриальная дисфункция [27]. Согласно свободнорадикальной теории старения, с возрастом в митохондриях возникает дисбаланс между скоростью продукции и удаления АФК, которые вызывают окислительные повреждения различных клеточных макромолекул. Повреждение митохондрий приводит к ещё большему нарушению регуляции редокс-гомеостаза и возникновению порочного круга усиления окислительного стресса [28].
Старение может по-разному проявляться в разных тканях организма, в частности, показано, что паттерны изменения экспрессии генов с возрастом различаются в зависимости от органа [29]. В данной работе мы выявили, что старение больше всего влияло на экспрессию анализируемых генов в мышцах, мозге и лёгких и затрагивало ферменты биогенеза митохондрий, контроля качества и антиоксидантной системы (рис. 1, 3). Негативные изменения, происходящие при старении, были ассоциированы в некоторых органах с повышением окислительного стресса (рис. 7, 8) и экспрессии провоспалительных цитокинов (рис. 1, 3).
Одной из характеристик старения является изменение в клетках органов количества и функциональной активности митохондрий, что может напрямую влиять на энергетическую обеспеченность клеток [30]. Мы показали, что изменение количества митохондрий с возрастом варьирует от органа к органу, например, в мозге и лёгких количество мтДНК значительно снижалось (рис. 4), что было ассоциировано со снижением экспрессии маркеров генов, которые связаны с регуляцией митохондриального биогенеза (рис. 1, 3). В то же время мы выявили, что количество копий мтДНК в почках и сердце росло при старении (рис. 4), что может являться адаптивной реакцией данных органов на увеличение количества молекул мтДНК с делециями. Нарушение структурной целостности митохондриального генома может приводить к нарушению энергетического метаболизма клеток, по этой причине активируются сигнальные пути, направленные на увеличение интенсивности митохондриального биогенеза [31]. Действительно, в данной работе мы обнаружили возрастное увеличение экспрессии генов Tfam и Nrf1 в сердце и почках (рис. 3).
Для поддержания эффективного энергетического метаболизма необходимо сохранение в клетках стабильной мтДНК. Митохондриальный геном не обладает достаточно эффективной системой репарации некоторых типов повреждений, что делает его более восприимчивым к внешним и внутренним стрессорным факторам по сравнению с ядерным геномом [32]. Частота возникновения делеций в тканях увеличивается с возрастом, и наиболее часто данные изменения наблюдаются в тканях с высоким потреблением энергии [33]. Увеличение количества масштабных делеций может приводить к возрастной деградации тканей, так как при этом удаляются важные части кодирующих последовательностей, что приводит к неправильной сборке дыхательной цепи [34]. В данном исследовании мы показали, что наиболее чувствительным органом, в котором с возрастом накапливается больше всего масштабных делеций и повреждений мтДНК, являются почки (рис. 5, 6). Почка является органом, богатым митохондриями, наличие мутаций и повреждений мтДНК вносит важный вклад в развитие хронических и острых почечных болезней [35].
При этом стоит отметить, что возрастное увеличение количества крупных делеций было выражено ярче, чем возрастное увеличение количества мелких повреждений мтДНК (рис. 5, 6). Это может быть связано с тем, что используемый в нашей работе подход, ПЦР длинных фрагментов, позволяет детектировать такие повреждения, как разрывы цепей, модификации оснований, апуриновые сайты [36]. Известно, что модифицированные основания и нуклеотиды в мтДНК могут подвергаться репарации, так как в митохондриях имеются соответствующие системы эксцизионной репарации оснований и нуклеотидов (BER и NER соответственно). Репарационные системы разрывов цепей, в первую очередь двуцепочечных разрывов, в митохондриях практически не представлены [37]. Большая часть молекул мтДНК, имеющих двуцепочечные разрывы, элиминируется. Однако именно двуцепочечные разрывы считаются одной из основных причин возникновения делеций мтДНК [38]. Молекулы, содержащие делеции, могут реплицироваться и накапливаться в течение всей жизни организма и даже наследоваться по материнской линии [39], тогда как молекулы с повреждениями, которые мы детектировали с помощью ПЦР длинных фрагментов, подвергаются либо репарации, либо деградации. Это может объяснять, почему точечные повреждения мтДНК в меньшей степени, чем делеции, способны аккумулироваться в клетке с возрастом.
Одним из подходов терапии возрастных заболеваний является воздействие на метаболизм клеток за счёт применения различных диет или их фармакологических миметиков. В частности, применение кетоновых тел, уровень которых повышается при кетогенной диете или ограничении калорийности питания, активно изучается в контексте геропротекторной терапии [40]. Ранее было показано, что введение экзогенного БГБ приводит к глобальным изменениям транскрипции, включая изменения экспрессии генов, кодирующих факторы устойчивости к окислительному стрессу [41].
В данной работе мы показали, что БГБ по-разному влияет на экспрессию генов в разных органах, и его эффекты на молодых и старых крысах существенно отличаются. Мы продемонстрировали, что среди проанализированных органов наиболее широкий спектр изменений экспрессии при терапии БГБ наблюдался в печени молодых крыс (рис. 3), несмотря на то что печень синтезирует кетоновые тела, но не способна их метаболизировать [42]. БГБ увеличивал в печени экспрессию генов, участвующих в биогенезе митохондрий, а также ферментов антиоксидантной системы клеток (рис. 3). Биогенез митохондрий и митофагия поддерживают в клетках необходимое количество митохондрий и контролируют их качество [43, 44]. В связи с этим активация биогенеза митохондрий всегда должна сопровождаться адекватной элиминацией повреждённых и неправильно функционирующих органелл [45].
Выраженное влияние БГБ на печень может быть связано с тем, что печень является основным источником эндогенного БГБ [46], и в условиях введения экзогенного БГБ наибольшие концентрации этого кетонового тела могут достигаться именно в печени. Действие БГБ в печени может реализоваться через β-гидроксибутирилирование гистонов [47], влияющих на экспрессию генов, а также за счёт сигнального действия через рецептор HCAR2. В частности, ранее показано, что именно за счёт воздействия на HCAR2 БГБ ингибирует воспаление, опосредованное NLRP3-инфламмасомой, а также обладает гепатопротекторным действием [48]. За счёт сигнализации через HCAR2 БГБ активирует AMPK, что потенциально может улучшать метаболические функции, нарушенные при жировой дистрофии печени [49]. Ещё одним механизмом может быть ингибирование гистоновых деацетилаз (HDAC) класса I. HDACI деацетилируют остатки лизина в гистоновых и негистоновых белках, регулируя работу генов, участвующих в глюконеогенезе, функционировании митохондрий и защите от окислительного стресса [50]. Известно, что ингибирование гистоновых деацетилаз блокирует протеосомальную деградацию Nrf2 и тем самым способствует его связыванию с промоторными зонами генов, отвечающих за антиоксидантную защиту [51]. Кроме того, БГБ может ингибировать гликогенсинтазу 3β (GSK3β), которая также является негативным регулятором Nrf2 [52]. Ранее нами было продемонстрировано, что лечение фокального ишемического инсульта с помощью БГБ способствует увеличению экспрессии некоторых ключевых антиоксидантных генов по Nrf2-зависимому механизму [53]. Таким образом, обнаруженное в данном исследовании увеличение экспрессии антиоксидантных генов на фоне терапии кетоновыми телами может быть связано с активацией Nrf2/ARE-сигнального пути. На это может указывать и увеличение экспрессии гена Nfe2l2 в печени и сердце крыс, получавших инъекции БГБ (рис. 2, 3), так как известно, что в промоторной зоне гена Nrf2 имеются ARE-последовательности [54], обеспечивающие самоусиление его экспрессии.
Помимо влияния БГБ на экспрессию, мы показали, что терапия БГБ приводила к снижению содержания продуктов перекисного окисления липидов, повышенного в почках и мышцах старых животных (рис. 7). Эти результаты согласуются с ранее опубликованными данными о том, что введение экзогенного БГБ защищало почки от окислительного стресса, индуцированного цисплатином [55], а кетогенная диета приводила к позитивным изменениям в мышцах [56]. Значительного действия на уровень ТБКРС в других органах молодых и старых животных БГБ не оказывал, хотя существенно влиял на экспрессию генов белков антиоксидантных систем клетки в печени и мышцах молодых крыс (рис. 2, 3).
ЗАКЛЮЧЕНИЕ
Таким образом, в данном исследовании мы показали, что эффект терапии БГБ отличается в разных органах, а также по-разному проявляется у животных в зависимости от возраста. Мы выявили, что БГБ оказывает выраженное влияние на экспрессию генов, ответственных за биогенез митохондрий и антиоксидантную систему клеток, прежде всего в печени и мышцах молодых, но не старых крыс. Стимулирование процессов митохондриального биогенеза может запускать процесс обновления митохондрий в тканях и за счёт этого улучшать их функционирование, приводя к снижению окислительного стресса. Несмотря на положительные эффекты БГБ, не было продемонстрировано его существенного влияния на целостность мтДНК ни у молодых, ни у старых животных. Мы предполагаем, что для более выраженного действия БГБ на целостность мтДНК, окислительный стресс и воспаление необходимо использование более длительной терапии. Полученные в работе данные расширяют представление о кетоновых телах как потенциальных терапевтических соединениях, в том числе подходящих для лечения возрастных заболеваний.
Вклад авторов. Е.Ю. Плотников – концепция и руководство работой; В.В. Нестерова, П.И. Бабенкова, Н.А. Самойлова, И.С. Садовникова, Д.С. Семенович, А.А. Брезгунова, Н.В. Андрианова – проведение экспериментов; Н.В. Андрианова, А.П. Гуреев, Е.Ю. Плотников – обсуждение результатов исследования; В.В. Нестерова, Н.В. Андрианова, А.П. Гуреев – написание текста; Е.Ю. Плотников – редактирование текста статьи.
Финансирование. Работа выполнена при финансовой поддержке Российского научного фонда (грант № 21-75-30009).
Конфликт интересов. Авторы заявляют об отсутствии конфликта интересов.
Соблюдение этических норм. Протоколы работы с животными были рассмотрены и одобрены этическим комитетом НИИ ФХБ имени А.Н. Белозерского МГУ имени М.В. Ломоносова (протокол № 006-1/1/2024). Все манипуляции с животными проводились в соответствии с руководствами ARRIVE.
About the authors
V. V. Nesterova
Voronezh State University
Email: plotnikov@belozersky.msu.ru
Russian Federation, Voronezh
P. I. Babenkova
Voronezh State University
Email: plotnikov@belozersky.msu.ru
Russian Federation, Voronezh
A. A. Brezgunova
Lomonosov Moscow State University
Email: plotnikov@belozersky.msu.ru
Russian Federation, Moscow
N. A. Samoylova
Voronezh State University
Email: plotnikov@belozersky.msu.ru
Russian Federation, Voronezh
I. S. Sadovnikova
Voronezh State University
Email: plotnikov@belozersky.msu.ru
Russian Federation, Voronezh
D. S. Semenovich
Lomonosov Moscow State University
Email: plotnikov@belozersky.msu.ru
Russian Federation, Moscow
N. V. Andrianova
Lomonosov Moscow State University
Email: plotnikov@belozersky.msu.ru
Russian Federation, Moscow
A. P. Gureev
Voronezh State University; Voronezh State University of Engineering Technology
Email: plotnikov@belozersky.msu.ru
Russian Federation, Voronezh; Voronezh
E. Y. Plotnikov
Lomonosov Moscow State University
Author for correspondence.
Email: plotnikov@belozersky.msu.ru
Russian Federation, Moscow
References
- Son, J. M., and Lee, C. (2019) Mitochondria: multifaceted regulators of aging, BMB Rep., 52, 13-23, https://doi.org/10.5483/BMBRep.2019.52.1.300.
- Harrington, J. S., Ryter, S. W., Plataki, M., Price, D. R., Choi, A. M. K. (2023) Mitochondria in health, disease, and aging, Physiol. Rev., 103, 2349-2422, https://doi.org/10.1152/physrev.00058.2021.
- Whitehall, J. C., Smith, A. L. M., and Greaves, L. C. (2023) Mitochondrial DNA mutations and ageing, Subcell. Biochem., 102, 77-98, https://doi.org/10.1007/978-3-031-21410-3_4.
- Nissanka, N., and Moraes, C. T. (2018) Mitochondrial DNA damage and reactive oxygen species in neurodegenerative disease, FEBS Lett., 592, 728-742, https://doi.org/10.1002/1873-3468.12956.
- Иванникова, Е. В., Алташина, М. А., Трошина, Е. А. (2021) Кетогенная диета: история возникновения, механизм действия, показания, Пробл. эндокринол., 68, 49-72, https://doi.org/10.14341/probl12724.
- Kumar, A., Kumari, S., and Singh, D. (2022) Insights into the cellular interactions and molecular mechanisms of ketogenic diet for comprehensive management of epilepsy, Curr. Neuropharmacol., 20, 2034-2049, https://doi.org/10.2174/1570159X20666220420130109.
- Shippy, D. C., Wilhelm, C., Viharkumar, P. A., Raife, T. J., and Ulland, T. K. (2020) β-Hydroxybutyrate inhibits inflammasome activation to attenuate Alzheimer’s disease pathology, J. Neuroinflammation, 17, 280, https://doi.org/10.1186/s12974-020-01948-5.
- Norwitz, N. G., Hu, M. T., and Clarke, K. (2019) The mechanisms by which the ketone body D-β-hydroxybutyrate may improve the multiple cellular pathologies of Parkinson’s disease, Front. Nutr., 6, 63, https://doi.org/10.3389/fnut.2019.00063.
- Wei, S., Binbin, L., Yuan, W., Zhong, Z., Donghai, L., and Caihua, H. (2022) β-Hydroxybutyrate in cardiovascular diseases: a minor metabolite of great expectations, Front. Mol. Biosci., 13, 823602, https://doi.org/10.3389/fmolb.2022.823602.
- Li, Y., Zhang, X., Ma, A., and Kang, Y. (2021) Rational application of β-hydroxybutyrate attenuates ischemic stroke by suppressing oxidative stress and mitochondrial-dependent apoptosis via activation of the Erk/CREB/eNOS pathway, ACS Chem. Neurosci., 12, 1219-1227, https://doi.org/10.1021/acschemneuro.1c00046.
- Rojas-Morales, P., Pedraza-Chaverri, J., and Tapia, E. (2020) Ketone bodies, stress response, and redox homeostasis, Redox Biol., 29, 101395, https://doi.org/10.1016/j.redox.2019.101395.
- Jin, L. W., Lucente, J. D., Mendiola, U. R., Suthprasertporn, N., Tomilov, A., Cortopassi, G., Kim, K., Ramsey, J. J., and Maezawa, I. (2023) The ketone body β-hydroxybutyrate shifts microglial metabolism and suppresses amyloid-β oligomer-induced inflammation in human microglia, FASEB J., 37, e23261, https://doi.org/10.1096/fj.202301254R.
- Newman, J. C., and Verdin, E. (2017) β-Hydroxybutyrate: a signaling metabolite, Annu. Rev. Nutr., 37, 51-76, https://doi.org/10.1146/annurev-nutr-071816-064916.
- Goshtasbi, H., Pakchin, P. S., Movafeghi, A., Barar, J., Castejon, A. M., Omidian, H., and Omidi, Y. (2022) Impacts of oxidants and antioxidants on the emergence and progression of Alzheimer’s disease, Neurochem. Int., 153, 105268, https://doi.org/10.1016/j.neuint.2021.105268.
- Kim, D. H., Park, M. H., Ha, S., Bang, E. J., Lee, Y., Lee, A. K., Lee, J., Yu, B. P., and Chung, H. Y. (2019) Anti-inflammatory action of β-hydroxybutyrate via modulation of PGC-1α and FoxO1, mimicking calorie restriction, Aging (Albany NY), 11, 1283-1304, https://doi.org/10.18632/aging.101838.
- Shi, X., Li, X., Li, D., Li, Y., Song, Y., Deng, Q., Wang, J., Zhang, Y., Ding, H., Yin, L., Zhang, Y., Wang, Z., Li, X., and Liu, G. (2014) β-Hydroxybutyrate activates the NF-κB signaling pathway to promote the expression of pro-inflammatory factors in calf hepatocytes, Cell Physiol. Biochem., 33, 920-932, https://doi.org/10.1159/ 000358664.
- Martins, R., Lithgow, G. J., and Link, W. (2016) Long live FOXO: unraveling the role of FOXO proteins in aging and longevity, Aging Cell., 15, 196-207, https://doi.org/10.1111/acel.12427.
- Gureev, A. P., Shaforostova, E. A., and Popov, V. N. (2019) Regulation of mitochondrial biogenesis as a way for active longevity: interaction between the Nrf2 and PGC-1α signaling pathways, Front. Genet., 14, 435, https://doi.org/10.3389/fgene.2019.00435.
- Loshchenova, P. S., Sinitsyna, O. I., Fedoseeva, L. A., Stefanova, N. A., and Kolosova, N. G. (2015) Influence of antioxidant SkQ1 on accumulation of mitochondrial DNA deletions in the hippocampus of senescence-accelerated OXYS rats, Biochemistry (Moscow), 80, 596-603, https://doi.org/10.1134/S0006297915050120.
- Gureev, A. P., Andrianova, N. V., Pevzner, I. B., Zorova, L. D., Chernyshova, E. V., Sadovnikova, I. S., Chistyakov, D. V., Popkov, V. A., Semenovich, D. S., Babenko, V. A., Silachev, D. N., Zorov, D. B., Plotnikov, E. Y., and Popov, V. N. (2022) Dietary restriction modulates mitochondrial DNA damage and oxylipin profile in aged rats, FEBS J., 289, 5697-5713, https://doi.org/10.1111/febs.16451.
- Ohkawa, H., Ohishi, N., and Yagi, K. (1979) Assay for lipid peroxides in animal tissues by thiobarbituric acid reaction, Anal. Biochem., 95, 351-358, https://doi.org/10.1016/0003-2697(79)90738-3.
- Hartree, E. F. (1972) Determination of protein: a modification of the Lowry method that gives a linear photometric response, Anal. Biochem., 48, 422-427, https://doi.org/10.1016/0003-2697(72)90094-2.
- Patsoukis, N., and Georgiou, C. D. (2004) Determination of the thiol redox state of organisms: new oxidative stress indicators, Anal. Bioanal. Chem., 378, 1783-1792, https://doi.org/10.1007/s00216-004-2525-1.
- Pal, S., and Tyler, J. K. (2016) Epigenetics and aging, Sci. Adv., 2, e1600584, https://doi.org/10.1126/sciadv.1600584.
- Hoppe, T., and Cohen, E. (2020) Organismal protein homeostasis mechanisms, Genetics, 215, 889-901, https://doi.org/10.1534/genetics.120.301283.
- Gregory, J. W. (2009) Metabolic disorders, Endocr. Dev., 15, 59-76, https://doi.org/10.1159/000207610.
- Lin, M. T., and Beal, M. F. (2006) Mitochondrial dysfunction and oxidative stress in neurodegenerative diseases, Nature, 443, 787-795, https://doi.org/10.1038/nature05292.
- Zorov, D. B., Isaev, N. K., Plotnikov, E. Y., Zorova, L. D., Stelmashook, E. V., Vasileva, A. K., Arkhangelskaya, A. A., and Khrjapenkova, T. G. (2007) The mitochondrion as Janus Bifrons, Biochemistry (Moscow), 72, 1115-1126, https://doi.org/10.1134/s0006297907100094.
- Schaum, N., Lehallier, B., Hahn, O., Pálovics, R., Hosseinzadeh, S., Lee, S. E., Sit, R., Lee, D. P., Losada, P. M., Zardeneta, M. E., Fehlmann, T., and Webber, J. T. (2020) Ageing hallmarks exhibit organ-specific temporal signatures, Nature, 583, 596-602, https://doi.org/10.1038/s41586-020-2499-y.
- Lima, T., Li, T. Y., Mottis, A., and Auwerx, J. (2022) Pleiotropic effects of mitochondria in aging, Nat. Aging., 2, 199-213, https://doi.org/10.1038/s43587-022-00191-2.
- Masuyama, M., Iida, R., Takatsuka, H., Yasuda, T., and Matsuki, T. (2005) Quantitative change in mitochondrial DNA content in various mouse tissues during aging, Biochim. Biophys. Acta., 1723, 302-308, https://doi.org/10.1016/j.bbagen.2005.03.001.
- Sharma, P., and Sampath, H. (2019) Mitochondrial DNA integrity: role in health and disease, Cells, 8, 100, https://doi.org/10.3390/cells8020100.
- Gadaleta, M. N., Rainaldi, G., Lezza, A. M., Milella, F., Fracasso, F., and Cantatore, P. (1992) Mitochondrial DNA copy number and mitochondrial DNA deletion in adult and senescent rats, Mutat. Res., 275, 181-193, https://doi.org/10.1016/0921-8734(92)90022-h.
- Bank, C., Soulimane, T., Schröder, J. M., Buse, G., and Zanssen, S. (2000) Multiple deletions of mtDNA remove the light strand origin of replication, Biochem. Biophys. Res. Commun., 279, 595-601, https://doi.org/10.1006/bbrc.2000.3951.
- Feng, J., Chen, Z., Liang, W., Wei, Z., and Ding, G. (2022) Roles of mitochondrial DNA damage in kidney diseases: a new biomarker, Int. J. Mol. Sci., 23, 15166, https://doi.org/10.3390/ijms232315166.
- Edwards, J. G. (2009) Quantification of mitochondrial DNA (mtDNA) damage and error rates by real-time QPCR, Mitochondrion, 9, 31-35, https://doi.org/10.1016/j.mito.2008.11.004.
- Zinovkina, L. A. (2018) Mechanisms of mitochondrial DNA repair in mammals, Biochemistry (Moscow), 83, 233-249, https://doi.org/10.1134/S0006297918030045.
- Nissanka, N., Minczuk, M., and Moraes, C. T. (2019) Mechanisms of mitochondrial DNA deletion formation, Trends Genet., 35, 235-244, https://doi.org/10.1016/j.tig.2019.01.001.
- Yan, C., Duanmu, X., Zeng, L., Liu, B., and Song, Z. (2019) Mitochondrial DNA: distribution, mutations, and elimination, Cells, 8, 379, https://doi.org/10.3390/cells8040379.
- Wang, L., Chen, P., and Xiao, W. (2021) β-Hydroxybutyrate as an anti-aging metabolite, Nutrients, 13, 3420, https://doi.org/10.3390/nu13103420.
- Shimazu, T., Hirschey, M. D., Newman, J., He, W., Shirakawa, K., Moan, N. L., Grueter, C. A., Lim, H., Saunders, L. R., Stevens, R. D., Newgard, C. B., Farese, R. V., Cabo, R., Ulrich, S., Akassoglou, K., and Verdin, E. (2013) Suppression of oxidative stress by β-hydroxybutyrate, an endogenous histone deacetylase inhibitor, Science, 339, 211-214, https://doi.org/10.1126/science.1227166.
- Makievskaya, C. I., Popkov, V. A., Andrianova, N. V., Liao, X., Zorov, D. B., and Plotnikov, E. Y. (2023) Ketogenic diet and ketone bodies against ischemic injury: targets, mechanisms, and therapeutic potential, Int. J. Mol. Sci., 24, 2576, https://doi.org/10.3390/ijms24032576.
- Jornayvaz, F. R., and Shulman, G. I. (2010) Regulation of mitochondrial biogenesis, Essays Biochem., 47, 69-84, https://doi.org/10.1042/bse0470069.
- Lu, Y., Li, Z., Zhang, S., Zhang, T., Liu, Y., and Zhang, L. (2023) Cellular mitophagy: Mechanism, roles in diseases and small molecule pharmacological regulation, Theranostics, 13, 736-766, https://doi.org/10.7150/ thno.79876.
- Ashrafi, G., and Schwarz, T. L. (2013) The pathways of mitophagy for quality control and clearance of mitochondria, Cell Death Differ., 20, 31-42, https://doi.org/10.1038/cdd.2012.81.
- Newman, J., and Verdin, E. (2017) β-Hydroxybutyrate: a signaling metabolite, Annu. Rev. Nutr., 21, 51-76, https://doi.org/10.1146/annurev-nutr-071816-064916.
- Koronowski, K. B., Greco, C. M., Huang, H., Kim, J., Fribourgh, J. L., Crosby, P., Mathur, L., Ren, X., Partch, C. L., Jang, C., Qiao, F., Zhao, Y., and Sassone-Corsi, P. (2021) Ketogenesis impact on liver metabolism revealed by proteomics of lysine β-hydroxybutyrylation, Cell Rep., 36, 109487, https://doi.org/10.1016/j.celrep.2021.109487.
- Pan, A., Sun, X., Huang, F., Liu, J., Cai, Y., and Wu, X. (2022) The mitochondrial β-oxidation enzyme HADHA restrains hepatic glucagon response by promoting β-hydroxybutyrate production, Nat. Commun., 13, 386, https://doi.org/10.1038/s41467-022-28044-x.
- Lee, A. K., Kim, D. H., Bang, E., Choi, Y. J., and Chung, H. Y. (2020) β-Hydroxybutyrate suppresses lipid accumulation in aged liver through GPR109A-mediated signaling, Aging Dis., 11, 777-790, https://doi.org/10.14336/AD.2019.0926.
- Newman, J. C., and Verdin, E. (2014) β-Hydroxybutyrate: much more than a metabolite, Diabetes Res. Clin. Pract., 106, 173-181, https://doi.org/10.1016/j.diabres.2014.08.009.
- Komaravelli, N., Tian, B., Ivanciuc, T., Mautemps, N., Brasier, A. R., Garofalo, R. P., and Casola, A. (2015) Respiratory syncytial virus infection down-regulates antioxidant enzyme expression by triggering deacetylation-proteasomal degradation of Nrf2, Free Radic. Biol. Med., 88, 391-403, https://doi.org/10.1016/j.freeradbiomed.2015.05.043.
- Fang, Y., Chen, B., Gong, A. Y., Malhotra, D. K., Gupta, R., Dworkin, L. D., and Gong, R. (2021) The ketone body β-hydroxybutyrate mitigates the senescence response of glomerular podocytes to diabetic insults, Kidney Int., 100, 1037-1053, https://doi.org/10.1016/j.kint.2021.06.031.
- Gureev, A. P., Sadovnikova, I. S., Chernyshova, E. V., Tsvetkova, A. D., Babenkova, P. I., Nesterova, V. V., Krutskikh, E. P., Volodina, D. E., Samoylova, N. A., Andrianova, N. V., Silachev, D. N., and Plotnikov, E. Y. (2024) Beta-hydroxybutyrate mitigates sensorimotor and cognitive impairments in a photothrombosis-induced ischemic stroke in mice, Int. J. Mol. Sci., 25, 5710, https://doi.org/10.3390/ijms25115710.
- Kwak, M., Itoh, K., Yamamoto, M., and Kensler, T. W. (2002) Enhanced expression of the transcription factor Nrf2 by cancer chemopreventive agents: role of antioxidant response element-like sequences in the nrf2 promoter, Mol. Cell. Biol., 22, 2883-2892, https://doi.org/10.1128/MCB.22.9.2883-2892.2002.
- Luo, S., Yang, M., Han, Y., Zhao, H., Jiang, N., Li, L., Chen, W., Li, C., Yang, J., Liu, Y., Liu, C., Zhao, C., and Sun, L. (2022) β-Hydroxybutyrate against Cisplatin-Induced acute kidney injury via inhibiting NLRP3 inflammasome and oxidative stress, Int. Immunopharmacol., 111, 109101, https://doi.org/10.1016/j.intimp.2022.109101.
- Huang, T., Linden, M. A., Fuller, S. E., Goldsmith, F. R., Simon, J., Batdorf, H. M., Scott, M. C., Essajee, N. M., Brown, J. M., and Noland, R. C. (2021) Combined effects of a ketogenic diet and exercise training alter mitochondrial and peroxisomal substrate oxidative capacity in skeletal muscle, Am. J. Physiol. Endocrinol. Metab., 320, E1053-E1067, https://doi.org/10.1152/ajpendo.00410.2020.
Supplementary files










