The Imidazolium Ionic Liquids Toxicity Is Due to Their Effect on the Plasma Membrane
- Authors: Sokolov S.S.1, Smirnova E.A.1, Rokitskaya T.I.1, Severin F.F.1
-
Affiliations:
- Lomonosov Moscow State University
- Issue: Vol 89, No 3 (2024)
- Pages: 406-417
- Section: Articles
- URL: https://ogarev-online.ru/0320-9725/article/view/263713
- DOI: https://doi.org/10.31857/S0320972524030031
- EDN: https://elibrary.ru/WLHUPP
- ID: 263713
Cite item
Full Text
Abstract
Ionic liquids (ILs) are organic salts with a low melting point, which is due to the fact that alkyl side chains chemically bonded to the ion hinder the crystallization of ILs. The low melting point of ILs has led to their widespread use as relatively harmless solvents. However, ILs have toxic properties, the mechanism of which is largely unknown, so identifying the cellular targets of ILs is of practical importance. In our work, we showed that imidazolium ILs are not able to penetrate model membranes without damaging them. We also found that inactivation of multidrug resistance (MDR) pumps in yeast cells does not increase their sensitivity to imidazolium ILs. The latter indicates that the target of the toxicity of imidazolium ILs is not in the cytoplasm. Thus, our data suggest that the disruption of the plasma membrane barrier function is the main cause of the toxicity of low concentrations of imidazolium ILs. We also showed that supplementation with imidazolium ILs restores the growth of cells with kinetically blocked glycolysis. Our data indicate that IL-induced minor disruption of the plasma membrane may, in some cases, be beneficial for the cells.
Full Text
Принятые сокращения: БЛМ – бислойная липидная мембрана; ИЖ – ионная жидкость; КОЕ – колониеобразующие единицы; МЛУ – множественная лекарственная устойчивость; ПМ – плазматическая мембрана; ФХ – фосфатидилхолин; GFP – зеленый флуоресцентный белок; PI –пропидия йодид; YP – дрожжевой экстракт пептон; YPD – YP с глюкозой.
ВВЕДЕНИЕ
Ионные жидкости (ИЖ) – это органические соли, находящиеся в жидком состоянии при температуре ниже точки кипения воды, что достигается за счет высокой объемности и асимметрии ионов, затрудняющих кристаллизацию молекул [1]. Обычно ИЖ содержат крупноразмерные азотсодержащие катионы, такие как аммоний, имидазолий, пиридиний, пиперидиний, пирролидиний или фосфорсодержащий катион (например, фосфоний). Интерес к ИЖ обусловлен, прежде всего, их использованием в промышленности как экологически относительно безвредных растворителей – менее вредных, чем, например, серная кислота. Однако из-за плохой биоразлагаемости ИЖ могут долго сохраняться в окружающей среде. Катионы и анионы с малой токсичностью используются для получения ИЖ с полезной биологической активностью: антибактериальной, противогрибковой, антихолинергической, местноанестезирующей [2–4]. Изучаются потенциальные антираковые свойства ИЖ [5, 6]. По причине практической важности ИЖ их токсическое действие изучалось на широком спектре биологических объектов: бактерии, грибы, растения, животные, культуры клеток человека. По той же причине токсические концентрации ИЖ измерялись достаточно тщательно [7–10]. Хорошо известно, что токсичность в первую очередь зависит от типа катиона и длины его боковой цепи [11–13]. Было продемонстрировано, что большинство ИЖ на основе имидазола проявляют более высокую токсичность по сравнению с обычными органическими растворителями, такими как метанол и дихлорметан [14, 15]. Однако информации о механизмах токсичности ИЖ немного. Подавляющее большинство работ о токсичности ИЖ ограничивается измерением токсичных концентраций разнообразных ИЖ для микроорганизмов.
Большое количество работ посвящено ингибирующему действию ИЖ на различные ферменты в экспериментальных системах in vitro. Доказано, что ИЖ на основе пиридиния и имидазолия ответственны за ингибирование активности ряда ферментов. Особенно опасным представляется эффект ингибирования ацетилхолинэстеразы, фермента, ответственного за регуляцию неврологических процессов [16]. Насколько отражают эти работы реальный эффект ИЖ на клетку? Способны ли ИЖ проникнуть внутрь клетки? Иными словами, если ИЖ подействовала на внутриклеточные ферменты, не значит ли это, что плазматическая мембрана (ПМ) уже разрушена? По своей химической структуре многие ИЖ являются липофильными катионами, а это означает, что они потенциально способны проникать через мембрану. Так, многие липофильные катионы являются субстратами/конкурентными ингибиторами и/или активаторами белков множественной лекарственной устойчивости (МЛУ), защищающих клетки от чужеродных веществ [17–19]. В то же время одним из наиболее характерных эффектов липофильных катионов на клетку является повреждение плазматической мембраны [20]. Если вещество не может проникать внутрь клетки, не повреждая наружную мембрану, это означает, что такое повреждение, вероятно, вносит существенный вклад в токсический эффект этого вещества.
В данной работе мы изучили, могут ли имидазолиевые ИЖ проникать внутрь клетки без нарушения барьерных свойств ПМ. Мы показали, что имидазолиевые ИЖ не способны проникать через модельные мембраны, не повреждая их. Мы также показали, что наиболее токсичные имидазолиевые ИЖ стимулируют экспрессию помп МЛУ. Тем не менее, по нашим данным, делеция генов МЛУ не увеличивает чувствительность клеток к имидазолиевым ИЖ. Это хорошо согласуется с данными о неспособности имидазолиевых ИЖ проникать через мембрану, но оставляет вопрос о механизме активации МЛУ открытым. Мы также показали, что добавки имидазолиевых ИЖ восстанавливают рост клеток с кинетически заблокированным гликолизом. Последнее указывает, что в этом случае небольшое нарушение плазматической мембраны является полезным для клетки.
МАТЕРИАЛЫ И МЕТОДЫ
Использованные штаммы дрожжей Saccharomy cescerevisiae и анализ скоростей их роста. В этом исследовании мы использовали штаммы S. cerevisiae с генетическим фоном W303 MATa ade2-101 his3-11 trp1-1 ura3-52 can1-100 leu2-3 и BY4741 MATa his3Δ1 leu2Δ0 met15Δ0 ura3Δ0. Штамм дельта tps1 является производным W303, описанным ранее [21]. Штамм дельта pdr1pdr3 описан в работа Galkina et al. [22]. Штамм PDR5-GFP получен из коллекции «Invitrogen» GFP (зеленый флуоресцентный белок) и является производным BY4741 [23]. Для анализа минимальных ингибирующих концентраций (МИК) химических веществ для штаммов дикого типа клетки, взятые из логарифмически растущей культуры, доводили до оптической плотности (ОП) при 550 нм, равной 0,05, с помощью SpectrostarNano («BMG LABTECH», Германия) и переносили в виде клеточных суспензий в 96-луночный планшет («Eppendorf», Германия). Клетки выращивали в течение 16 ч при 30 °С и 750 об./мин в планшетном спектрофотометре со следующими настройками: температура – 30 °С; встряхивание пластины (500 об./мин). ОП измеряли с помощью SpectrostarNano при 550 нм. Для сравнения относительных скоростей роста мы проанализировали увеличение ОП для штаммов дикого типа и мутантных штаммов.
Исследуемые вещества. C4Mim-Cl (хлорид 1-н-бутил-3-метилимидазолия); C6Mim-Cl (хлорид 1-н-гексил-3-метилимидазолия); C8Mim-Cl (хлорид 1-н-октил-3-метилимидазолия); C10Mim-Cl (хлорид 1-н-децил-3-метилимидазолия); C12Mim-Cl (хло- рид 1-н-додецил-3-метилимидазолия); C14Mlm-Cl (хлорид 1-н-тетрадецил-3-метилимидазолия); C16Mim-Cl (1-н-гексадецил-3-метилимидазолия хло- рид); C4Mlm-BF4 (тетрафторборат1-н-бутил-3-метил- имидазолия); C6Mlm-BF4 (тетрафторборат 1-н-гек- сил-3-метилимидазолия); C8Mlm-BF4 (1-н-октил- 3-метилимидазолия тетрафторборат); C10Mlm-BF4 (1-н-децил-3-метилимидазолия тетрафторборат); C12Mlm-BF4 (1-н-додецил-3-метилимидазолия тет- рафторборат); C12TPP (додецилтрифенилфосфоний); FCCP-карбонилцианид-4-(трифторметокси)-фенилгидразон; карбонилцианид-m-хлорофенил- гидразон; 2-(4-морфолино) этансульфоновая кислота (Меs); трис(гидроксиметил) аминометан (Tris) и пальмитиновая кислота были получены от фирмы «Sigma» (США). Липиды 1-пальмитоил-2-олеоил-фосфатидилхолин (ФХ); 1-пальмитоил-2-олеоил-фосфатидилглицерол; 1,2-дифитаноил-ФХ; 1,2-дифитанил-ФХ и холестерин были получены от фирмы «Avanti Polar Lipids» (США).
Анализ влияния исследуемых веществ на рост tps1 в присутствии глюкозы. Дрожжевые клетки дельта tps1, взятые из логарифмической культуры, выращенной на YPEtOH (дрожжевой экстракт пептона (YP)-этанол), доводили до ОП 0,2 при 550 нм в SpectrostarNano. Глюкозу добавляли до конечной концентрации 0,06%. Клеточную суспензию переносили в каждую лунку 96-луночного планшета («Greiner», Германия) по 0,1 мл на лунку. В среду добавляли тестируемые вещества. Этанол добавляли до конечной концентрации 2% в качестве растворителя или отдельно. Клетки выращивали в течение 16 ч при температуре 30 °С при встряхивании планшета со скоростью 500 об./мин на приборе SpectrostarNano; ОП измеряли при 550 нм каждые 5 мин.
Анализ накопления Pdr5–GFP в клетках дрожжей. Клетки, в которых к гену PDR5 был присоединен ген GFP, выращивали в течение ночи на твердой среде YPD (YP с глюкозой), а затем ресуспендировали до плотности 2 × 104 клеток на мл в жидкой среде YPD. Флуоресценцию белка Pdr5–GFP оценивали с помощью проточного цитометра CytoFlex («Beckman», США) после 1 ч предварительной инкубации с ингибиторами (или растворителем) при 30 °C с использованием длины волны возбуждения 488 нм на эмиссионном фильтре (525/540 нм). Гистограммы представляют собой среднее значение популяций клеток из отдельных биологических экспериментов. В каждом эксперименте анализировали не менее 10 000 событий.
Измерение транспорта протонов через мембрану липосом. Проницаемость бислойных фосфолипидных мембран для ионов водорода оценивали с помощью ранее предложенной и несколько модифицированной методики [24]. Для приготовления липосом, нагруженных пиранином, 5,3 мг 1-пальмитоил-2-олеоил-ФХ, 1,2 мг 1-пальмитоил-2-олеоил-фосфатидилглицерола, 2,5 мг холестерина и 1 мг пальмитиновой кислоты растворили в хлороформе, а затем высушили в струе азота в пробирке с круглым дном. После этого липиды были ресуспендированы в 1 мл буферного раствора (20 мМ Меs [A2], 20 мМ Tris, 20 мМ Tricine, 100 мМ хлорид калия; рН 6,0), содержащего 0,5 мМ рН-чувствительного флуоресцентного красителя пиранина. Суспензию тщательно встряхивали, затем замораживали при –18 °С и размораживали. Процедуру повторяли 3 раза. Моноламелярные липосомы приготавливали путем экструзии через поликарбонатный фильтр с порами диаметром 0,1 мкм с помощью экструдера («Avanti Polar Lipids»). Чтобы перевести липосомы в раствор без пиранина, образец пропускали через гельфильтрационную колонку, содержащую декстрановый гель (Sephadex G-50) и уравновешенную тем же буфером. Далее, в ходе эксперимента липосомы разбавляли в этом буфере с рН 6,0; в начале эксперимента рН внутри и снаружи липосом был одинаков. Протонный градиент создавался на мембране липосом увеличением рН водного раствора до значения рН 8,0 путем титрования добавлением КОН. В момент времени t = 0 с к липосомам добавляли требуемую концентрацию ИЖ. Для измерения скорости увеличения рН внутри липосом добавляли 1 мМ ксилен-пиридиниум бромид, чтобы потушить флуоресценцию вытекшего пиранина. Внутрилипосомальный рН оценивали по измерению флуоресценции на длине волны 505 нм при возбуждении на 455 нм. Измерения проводили на спектрофлуориметре Панорама Флюорат-02 («Люмэкс», Россия). В конце каждого эксперимента добавляли 1 мкМ ласалоцида А для полного выравнивания рН внутри и снаружи липосом. Для предотвращения образования разности потенциалов на липосомальной мембране эксперименты проводили в присутствии 10 нМ валиномицина. С целью уменьшить спонтанное выравнивание рН температура поддерживалась на уровне 15 °С.
Плоская бислойная липидная мембрана формировалась из 2%-ного (w/v) раствора дифитаноил-ФХ или дифитанил-ФХ в декане на отверстии в перегородке, разделяющей на два отсека тефлоновую ячейку, содержащую буферный раствор [24]. Диаметр отверстия составлял 0,8 мм. Буферный раствор содержал 10 мМ Mes, 10 мМ Tris, 100 мМ хлорида калия; рН = 6,8. Эксперименты проводились при комнатной температуре (23–25 °С). Электрический ток регистрировался в условиях фиксации потенциала. Разность потенциалов подавалась на хлорсеребряные электроды, помещенные через агаровые мосты в тефлоновую ячейку с двух сторон мембраны. Ток измерялся с помощью пэтч-клэмп усилителя ОЕС-2 («ОПУС», Россия), оцифровывался с помощью NI-DAQmx («National Instruments», США) и анализировался с использованием компьютерной программы WinWCP Strathclyde Electrophysiology Software, написанной Дж. Демпстером (University of Strathclyde, UK).
Сравнение окраски клеток пропидий йодидом (PI) и способности формировать колониеобразующие единицы (КОЕ). Дрожжевые клетки W303, взятые из логарифмической культуры, разбавляли водой до ОП при 550 нм, равной 0,1. К аликвоте клеток (300 мкл) добавляли PI до концентрации 0,5 мкг/мл и тестируемые ИЖ, затем инкубировали 1 ч при 30 °С. Аликвоту клеток разводили в 160 раз и наносили пятнами по 10 мкл на чашки с YPD, через сутки подсчитывали количество КОЕ. Флуоресценцию PI в клетках оценивали с помощью проточного цитометра CytoFlex. В качестве отрицательного контроля использовали клетки без добавления ИЖ. В качестве положительного контроля использовали клетки, предварительно убитые нагреванием при 95 °С в течение 5 мин. Кривые соответствуют среднему значению флуоресценции популяций клеток из отдельных биологических экспериментов. В каждом эксперименте анализировали не менее 10 000 событий.
РЕЗУЛЬТАТЫ И ОБСУЖДЕНИЕ
Ранее было показано, что токсичность имидазолиевых ИЖ возрастает с увеличением длины углеводородного «хвоста» молекулы [7, 10]. Мы определили минимальные ингибирующие рост концентрации (МИК) ряда имидазолиновых и аммонийных ИЖ для дрожжей S. cerevisiae. Как и ожидалось, токсичность тестированных ИЖ возрастает по мере увеличения липофильности (logP) (таблица П1 в Приложении). Далее, мы сосредоточились на исследовании наиболее токсичных имидазолиевых ИЖ, а именно: С12Mim-Cl, C14Mim-Cl и C16Mim-Cl. Структурные формулы представлены на рис. 1.
Рис. 1. Структурные формулы наиболее токсичных имидазолиевых ИЖ: С12Mim-Cl (а); C14Mim-Cl (б) и C16Mim-Cl (в)
Эксперименты на модельных мембранах. Мы сосредоточились на проверке двух гипотез о механизме влияния ИЖ на клеточный метаболизм. Согласно первому предположению, мишень токсичности ИЖ находится внутри клетки. Согласно второму предположению, ИЖ влияют на ПМ клеток. Мы проверили, могут ли имидазолиевые ИЖ проникать через липидный бислой, не повреждая его. Таким свойством обладают проникающие липофильные ионы [25–27]. Для облегчения проникновения катионных имидазолиевых ИЖ мы формировали плоскую бислойную липидную мембрану (БЛМ) из дифитанил-ФХ, липида, содержащего простые эфирные связи [28]. После добавления 10 или 20 мкМ С12Mim-Cl ток через мембрану при прикладывании напряжения 50 мВ в момент времени t = 0 с увеличивался по сравнению с немодифицированной БЛМ (рис. 2, а). Записи имели вид нерегулярных флуктуаций тока.
Рис. 2. Записи кинетик тока через БЛМ после прикладывания напряжения 50 мВ в начальный момент времени до (светло-серые кривые) и после добавления 10 мкМ (черные кривые) и 20 мкМ (темно-серые кривые) С12Mim-Cl. БЛМ формировали из дифитанил-ФХ (а) или дифитаноил-ФХ (б)
Из-за большой разницы в скачке дипольного потенциала на границе мембрана–вода для липидов c простыми и сложными эфирными связями различия в токах проникающих катионов в мембранах составляют десятки раз [28, 29]. Чтобы убедиться, что стационарный ток не вызван транспортом ИЖ через мембрану, мы провели такие же измерения на БЛМ, сформированной из дифитаноил-ФХ (рис. 2, б). Однако, как видно из рис. 2, значения тока для 10 мкМ С12Mim-Cl были очень близки (5,8 ± 2,8 пА и 12,6 ± 3,7 пА для дифитанил-ФХ и дифитаноил-ФХ), а для 20 мкМ значения тока для дифитанил-ФХ были во много раз меньше тока в случае с дифитаноил-ФХ (12,6 ± 3,7 и 71,7 ± 4,5 пА соответственно). Эти результаты однозначно говорят о том, что увеличение проводимости БЛМ в присутствии имидазолиевых ИЖ не связано с током самих ИЖ через мембрану, а, скорее всего, определяется формированием дефектов, проводящих ионы электролита. В то же время ионная жидкость P66614, проникающий катион, проходит через липидные мембраны, и этот процесс значительно ускоряется при уменьшении скачка дипольного потенциала [30].
Некоторые липофильные катионы в комплексе с жирной кислотой обладают протонофорным эффектом: они проходят через мембрану в одном направлении как индивидуальные катионы, а в обратном – в паре со свободной жирной кислотой, т.е. в электронейтральной форме. Протонофорный цикл завершает переход протонированной жирной кислоты через мембрану и диссоциация протона [31, 32]. Липосомы, содержащие pH-чувствительный краситель пиранин, служат удобным инструментом для детекции протонофорной активности различных веществ. На рис. 3, а продемонстрирована кинетика выравнивания pH снаружи и внутри пиранин-содержащих липосом, вызванная добавкой протонофора карбонилцианид-m-хлорофенилгидразона (ХКФ) или ионной жидкости Р66614. Ранее было показано, что при низких концентрациях Р66614 проходит через липидный бислой, не повреждая его, а при высоких концентрациях – увеличивает неспецифическую проводимость мембраны [30]. Важно отметить, что добавка неэлектрогенного К+/Н+-обменника ласалоцида А в конце эксперимента приводила к примерно одинаковому увеличению флуоресценции пиранина в опытной пробе (содержащей 2 мкМ P66614) и в контрольной. Это означает, что пиранин под влиянием Р66614 в течение эксперимента не выходил из липосом наружу. Иными словами, протонофорный эффект Р66614 не являлся следствием повреждения мембран липосом. Таким образом, добавка Р66614 к липосомам через несколько минут вызывала выравнивание протонного градиента. Однако при увеличении концентрации Р66614 до 20 мкМ происходило быстрое уменьшение флуоресценции, которое не изменялось при дальнейшем добавлении ласалоцида А. Очевидно, что при высокой концентрации Р66614 происходил полный выход пиранина и его флуоресценция тушилась ксилен-пиридиниум бромидом во внешнем буфере.
Рис. 3. Измерение способности имидазолиевых ИЖ переносить протоны через липосомальную мембрану в модельной системе липосом, нагруженных флуоресцентным зондом пиранином. а – Кинетики изменения рН внутри липосом в контроле (кривая 1, контроль), в присутствии 0,1 мкМ ХКФ (кривая 2), в присутствии 2 мкМ Р66614 (кривая 3) и 20 мкМ Р66614 (кривая 4). б – Кинетики изменения рН внутри липосом в контроле (кривая 1), в присутствии 20 мкМ С12Mim-Cl (кривая 2), 2 мкМ (кривая 3) или 20 мкМ (кривая 4) С14Mim-Cl
Другая ситуация наблюдалась с имидазолиевыми ИЖ. Как можно видеть на рис 3, б, добавка С12Mim-Cl и С14Mim-Cl в концентрации 2 или 20 мкМ не вызывала постепенного увеличения флуоресценции пиранина. Однако в случае 20 мкМ C14Mim-Cl или С12Mim-Cl последующая добавка ласалоцида А приводила к примерно полумаксимальному увеличению флуоресценции. Следовательно, С14Mim-Cl в этой концентрации вызывал утечку пиранина из липосом.
Таким образом, данные на липосомах указывают, что имидазолиевые ИЖ не индуцируют протонный транспорт через липидные мембраны самостоятельно или в комплексе с жирной кислотой (которая специально добавлялась на стадии приготовления липосом), но образуют поры или дефекты, через которые проникает пиранин. Однако нельзя исключить, что ИЖ все же могут проникать внутрь клетки, например, через транспортеры в ПМ.
Исследование связи токсичности ИЖ и экспрессии помп МЛУ. Известно, что большинство липокатионов являются субстратами помп МЛУ и вызывают усиление экспрессии этих помп [17–19]. Следовательно, если имидазолиевые ИЖ не проникают через ПМ, то не должны вызывать рост экспрессии помп МЛУ. Для оценки относительного содержания МЛУ был использован штамм PDR5-GFP S. cerevisiae, в котором к гену одного из основных транспортеров МЛУ Pdr5 была добавлена последовательность, кодирующая белок GFP [22]. Этот конструкт позволил оценить относительное содержание Pdr5 по уровню интенсивности флуоресценции GFP в клетках. Как видно из рис. 4, имидазолиевые ИЖ с длиной радикала менее С12 не вызывают существенного увеличения уровня флуоресценции Pdr5–GFP. Однако добавление ИЖ с длиной радикала С12 или более вызывало значительное усиление флуоресценции Pdr5–GFP, сравнимое с усилением от хорошо известного индуктора экспрессии Pdr5 – клотримазола [22], который был использован нами в качестве положительного контроля (рис. 4). Наибольшую активацию оказывало добавление С12Mim-Cl. Вопрос о механизме активации имидазолиевыми ИЖ экспрессии белков МЛУ остается открытым, поскольку опыты на искусственных мембранах говорят об их неспособности проникать через неповрежденную искусственную мембрану. Возможно, ИЖ проникают внутрь клетки, нарушая барьерные свойства липидного бислоя ПМ или через белки ПМ. Наконец, нельзя исключить, что ИЖ активируют экспрессию помп МЛУ косвенным образом, увеличивая проницаемость ПМ для ксенобиотиков из культуральной среды.
Рис. 4. ИЖ увеличивают содержания Pdr5–GFP. а – Сравнение увеличения количества Pdr5–GFP через 1 ч после добавления ИЖ и стандартного индуктора Pdr5–GFP клотримазола с помощью проточной цитометрии. По оси X отложена логарифмическая шкала концентрация веществ в мкМ; по оси Y – логарифмическая шкала флуоресценции Pdr5–GFP в клетках относительно клеток без добавления веществ (значение 0). Каждая точка – независимый биологический повтор. б – Световая и флуоресцентная микроскопия клеток, содержащих Pdr5–GFP, через 1 ч после добавления С12Mim-Cl и стандартного индуктора Pdr5–GFP клотримазола. Размерный отрезок – 5 мкм
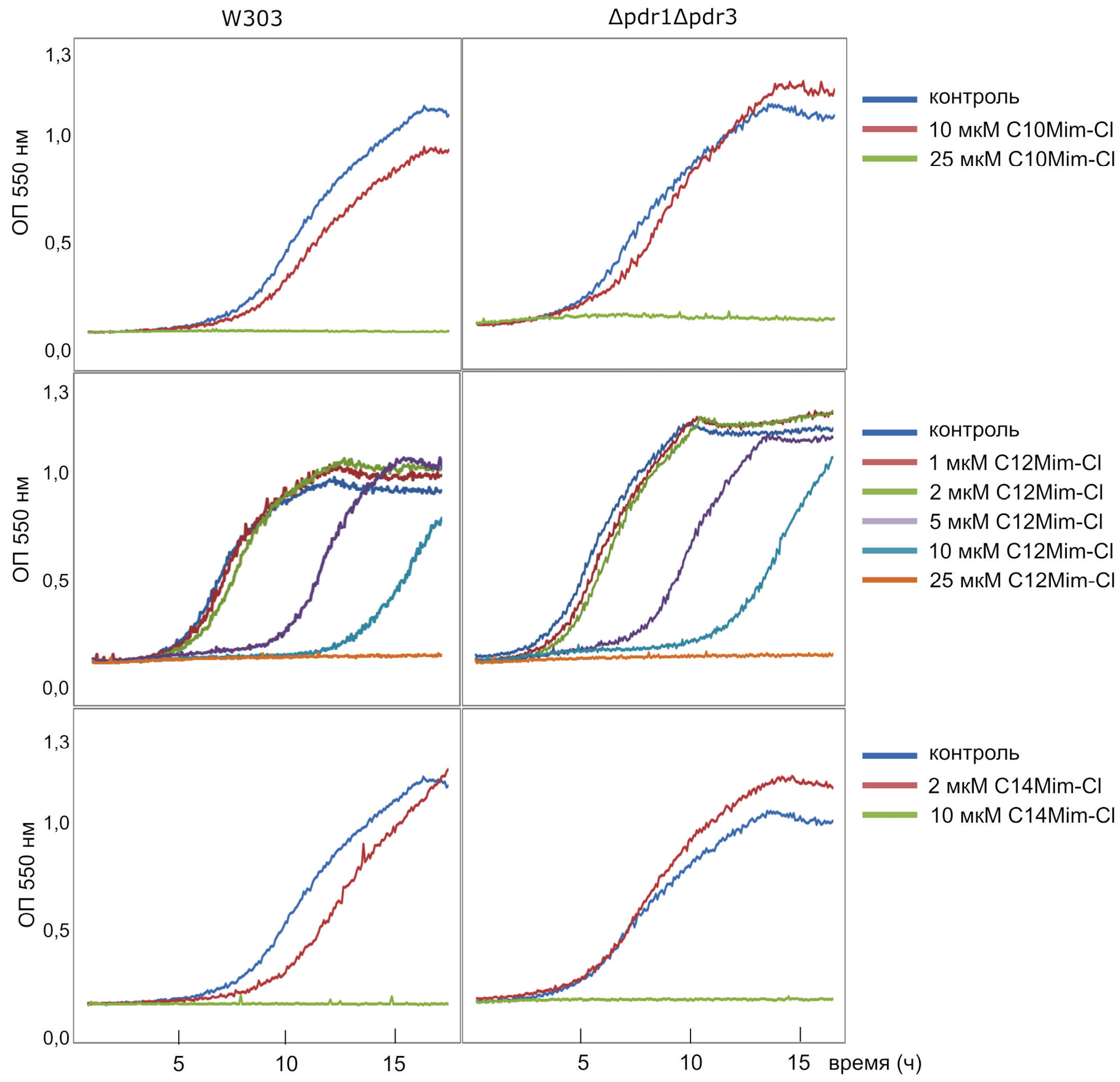
Для проверки внутриклеточной токсичности имидазолиевых ИЖ мы оценили влияние делеции помп МЛУ на их токсичность. Как показано на рис. 5, делеция генов двух основных факторов транскрипции белков МЛУ, PDR1 и PDR3 [33, 34], не повлияла на снижение скорости роста под действием ИЖ. Это наблюдение свидетельствует в пользу гипотезы стимуляции имидазолиевыми ИЖ экспрессии МЛУ через воздействие на ПМ без вхождения внутрь клетки.
Рис. 5. Белки МЛУ не влияют на скорость роста S. cerevisiae в присутствии различных концентраций ИЖ. Типичные кривые роста культуры клеток S. cerevisiae дикого типа W303 и штамма дельта pdr1pdr3 с нарушенной активацией МЛУ. По оси Х отложено время в часах; по оси У – ОП при 550 нм культуры клеток
Оценка кинетики накопления мертвых клеток после добавки ИЖ. Если причина токсичности имидазолиевых ИЖ – нарушение целостности ПМ, то можно ожидать, что динамика накопления непроникающего красителя PI внутри клетки будет совпадать с динамикой клеточной смерти. Если же имидазолиевые ИЖ отравляют клетки изнутри, то сначала под их действием клетки умрут, т.е. потеряют способность образовывать колонии, и только потом начнут окрашиваться PI. Мы добавили к клеткам S. cerevisiae имидазолиевые ИЖ, С12Mim-Cl, С14Mim-Cl и С16Mim-Cl, инкубировали 1 ч при 30 °С, затем измерили выживаемость по числу КОЕ, а также оценили долю PI-положительных клеток. Как показано на рис. 6, для всех трех ИЖ окраска PI почти совпадает с потерей способности формировать КОЕ. Небольшое отставание окраски клеток по PI, возможно, объясняется временной стадией неполного нарушения укладки фосфолипидов плазматической мембраны под действием ИЖ, достаточной для прохождения небольших молекул, но не приводящей к полному лизису. Такая ситуация наблюдалась при добавлении 20 мкМ C12Mim-Cl к бислойной мембране: мембрана не разрушалась, но при этом становилась проницаемой для небольших ионов (рис. 2).
Рис. 6. Сравнение выживаемости клеток S. cerevisiae после воздействия имидазолиевых ИЖ, С12Mim-Cl, С14Mim-Cl и С16Mim-Cl, по числу КОЕ (синие кривые) и доле PI-негативных клеток (красные кривые). По оси Х отложена концентрация ИЖ в мкМ; по оси Y – выживание относительно контроля без добавления веществ, в процентах
Снятие гликолитического блока под действием ИЖ. Таким образом, наши данные указывают, что причина токсичности – действие на плазматическую мембрану. Важно отметить, что в определенном диапазоне концентраций вызванное ИЖ нарушение укладки фосфолипидов ПМ приводило к нарушению ее барьерных свойств, но не к лизису клеток. Дополнительные подтверждения тому, что имидазольные ИЖ в низких концентрациях могут менять физиологию клеток, мы получили на разработанной нами ранее экспериментальной системе, позволяющей проводить скрининг химических веществ на способность восстанавливать рост штамма дрожжей S. cerevisiae с делецией гена TPS1 в присутствии глюкозы. Штамм дельта tps1 хорошо растет на неферментируемых источниках углерода, но не способен расти в присутствии глюкозы [35], так как не может регулировать поступление глюкозы в гликолиз [36, 37]. При добавлении глюкозы клетки штамма дельта tps1 тратят весь доступный фосфат на фосфорилирование глюкозы и не могут осуществить вторую стадию гликолиза, для которой также необходим неорганический фосфат [38–40]. Кроме того, накопление фосфатов сахаров в цитоплазме токсично для клеток [41, 42]. Ранее нами было показано, что некоторые липофильные катионы, являющиеся митохондриальными ядами или поверхностно-активными веществами, снижают расход фосфатов на синтез ATP митохондриями, стимулируя синтез глицеробисфосфата и снимая блокировку цепи гликолиза [21].
В данной работе мы показали, что ИЖ с logP ≥ 0,99 способны восстанавливать рост штамма дельта tps1 на среде в присутствии глюкозы (рис. 7) (детали получения и обработки данных показаны на рис. П1 в Приложении). Важно отметить, что диапазон концентраций, в которых вещества С10Mim-Cl и С12Mim-Cl стимулируют рост клеток tps1, шире, чем у хорошо изученного проникающего катиона, митохондриального разобщителя С12ТРР [31]. Возможно, вызванное ИЖ нарушение укладки фосфолипидов стимулирует гидролиз ATP: очевидно, репарация мембраны и/или восстановление внутриклеточного гомеостаза, нарушенного при повреждении ПМ, являются энергоемкими процессами. Мы предполагаем, что такая стимуляция гидролиза ATP является причиной способности ИЖ стимулировать рост клеток дельта tps1 в присутствии глюкозы. Таким образом, вызванное ИЖ небольшое нарушение плазматической мембраны в некоторых случаях может быть полезным для клетки.
Рис. 7. ИЖ способны восстанавливать рост клеток дельта tps1 в присутствии глюкозы. Испытанные концентрации ИЖ, не вызывающие стимуляции, показаны серым цветом. Зеленым цветом показаны концентрации, соответствующие восстановлению роста штамма дельта tps1 на среде YP-этанол в присутствии глюкозы
ЗАКЛЮЧЕНИЕ
Наши данные указывают, что гидрофобные имидазолиевые ИЖ, примененные в определенном диапазоне концентраций, вызывают нарушение барьерных свойств ПМ. Этот вывод основан, прежде всего, на результатах опытов с модельными мембранами. Эти эксперименты показали, что ИЖ не проходят через БЛМ, но, вероятно, формируют дефекты, проводящие ионы электролита. Более того, результаты опытов с пиранин-содержащими липосомами указывают, что ИЖ вызывает утечку этого вещества из липосом, а значит поры могут быть достаточно большого размера: молекулярный вес пиранина – 524 г/моль.
Интересно, что вызванное имидазолиевыми ИЖ нарушение ПМ не всегда является вредным для клеток. Наоборот, это нарушение позволяет клеткам штамма дельта tps1 преодолеть гликолитический блок и продолжить рост после добавления глюкозы. Видимо, блок снимается за счет увеличения концентрации неорганического фосфата, который образуется при гидролизе ATP, вызванном нарушением ПМ (см. раздел «Результаты и обсуждение»). Кроме того, гидрофобные имидазолиевые ИЖ стимулируют экспрессию помп МЛУ, при этом инактивация помп МЛУ не влияет на токсичность этих ИЖ. Следовательно, можно говорить об эффекте гормезиса имидазолиевых ИЖ: их, теоретически, можно использовать для увеличения устойчивости клеток к широкому спектру ксенобиотиков–субстратов МЛУ. По нашим данным, наиболее перспективное вещество для такого применения – С12Mim-Cl.
Отдельно стоит вопрос о механизме активации помп МЛУ имидазолиевыми ИЖ. Теоретически возможны три варианта: (1) сами ИЖ в микроколичествах проникают в клетку и активируют экспрессию МЛУ; (2) возможно, ИЖ позволяют ксенобиотикам, находящимся в культуральной среде, проникать внутрь и, таким образом, стимулировать экспрессию МЛУ; (3) наконец, не исключено, что вызванное ИЖ нарушение ПМ ингибирует транспортеры ПМ, откачивающие из клетки естественные продукты метаболизма – активаторы МЛУ, таким образом, вызывая их накопление в цитоплазме и активацию МЛУ. Возможность такого сценария обсуждается в обзоре Knorre et al. [43]. Поэтому изучение механизмов активации ИЖ МЛУ требует отдельного исследования.
Итак, в нашей работе было показано, что основная причина токсичности имидазолиевых ионных жидкостей – их действие на плазматическую мембрану. Причем воздействие ИЖ в сублетальных концентрациях и возникающее в его результате небольшое нарушение ПМ (в некоторых случаях) может быть полезным для клетки.
Вклад авторов. C.С. Соколов – проведение экспериментов на клетках дрожжей, написание статьи; Е.А. Смирнова – проведение экспериментов на клетках дрожжей; Т.И. Рокицкая – проведение экспериментов на искусственных мембранах и липосомах; Ф.Ф. Северин – концепция, написание текста статьи.
Финансирование. Исследование выполнено при финансовой поддержке Российского фонда фундаментальных исследований (проект № 22-24-00533).
Благодарности. Мы благодарим Ксению Егорову за консультации и предоставленные реактивы.
Конфликт интересов. Авторы заявляют об отсутствии конфликта интересов.
Соблюдение этических норм. Настоящая статья не содержит описания каких-либо исследований с использованием людей и животных в качестве объектов изучения.
Дополнительные материалы. Приложение к статье опубликовано на сайте журнала «Биохимия» (https://biochemistrymoscow.com).
About the authors
S. S. Sokolov
Lomonosov Moscow State University
Email: severin@belozersky.msu.ru
Russian Federation, Moscow
E. A. Smirnova
Lomonosov Moscow State University
Email: severin@belozersky.msu.ru
Russian Federation, Moscow
T. I. Rokitskaya
Lomonosov Moscow State University
Email: severin@belozersky.msu.ru
Russian Federation, Moscow
F. F. Severin
Lomonosov Moscow State University
Author for correspondence.
Email: severin@belozersky.msu.ru
Russian Federation, Moscow
References
- Welton, T. (1999) Room-temperature ionic liquids. Solvents for synthesis and catalysis, Chem. Rev., 99, 2071-2084, https://doi.org/10.1021/cr980032t.
- Kudłak, B., Owczarek, K., and Namieśnik, J. (2015) Selected issues related to the toxicity of ionic liquids and deep eutectic solvents – a review, Environ. Sci. Pollut. Res. Int., 22, 11975-11992, https://doi.org/10.1007/s11356- 015-4794-y.
- Ferraz, R., Branco, L. C., Prudêncio, C., Noronha, J. P., and Petrovski, Z. (2011) Ionic liquids as active pharmaceutical ingredients, ChemMedChem, 6, 975-985, https://doi.org/10.1002/cmdc.201100082.
- Hough, W. L., Smiglak, M., Rodríguez, H., Swatloski, R. P., Spear, S. K., Daly, D. T., Pernak, J., Grisel, J. E., Carliss, R. D., Soutullo, M. D., Davis, J. H., Jr., and Rogers, R. D. (2007) The third evolution of ionic liquids: active pharmaceutical ingredients, New J. Chem., 31, 1429-1436, https://doi.org/10.1039/B706677P.
- Kumar, V., and Malhotra, S. V. (2009) Study on the potential anti-cancer activity of phosphonium and ammonium-based ionic liquids, Bioorg. Med. Chem. Lett., 19, 4643-4646, https://doi.org/10.1016/j.bmcl.2009.06.086.
- Dias, A. R., Costa-Rodrigues, J., Fernandes, M. H., Ferraz, R., and Prudêncio, C. (2017) The anticancer potential of ionic liquids, ChemMedChem, 12, 11-18, https://doi.org/10.1002/cmdc.201600480.
- Gonçalves, A. R. P., Paredes, X., Cristino, A. F., Santos, F. J. V., and Queirós, C. S. G. P. (2021) Ionic liquids – a review of their toxicity to living organisms, Int. J. Mol. Sci., 22, 5612, https://doi.org/10.3390/ijms22115612.
- Maculewicz, J., Świacka, K., Stepnowski, P., Dołżonek, J., and Białk-Bielińska, A. (2022) Ionic liquids as potentially hazardous pollutants: Evidences of their presence in the environment and recent analytical developments, J. Hazard Mater., 437, 129353, https://doi.org/10.1016/j.jhazmat.2022.129353.
- Sanches, M. V., Freitas, R., Oliva, M., Cuccaro, A., Monni, G., Mezzetta, A., Guazzelli, L., and Pretti, C. (2023) Toxicity of ionic liquids in marine and freshwater microorganisms and invertebrates: state of the art, Environ. Sci. Pollut. Res. Int., 30, 39288-39318, https://doi.org/10.1007/s11356-023-25562-z.
- Flieger, J., and Flieger, M. (2020) Ionic liquids toxicity-benefits and threats, Int. J. Mol. Sci., 21, 6267, https:// doi.org/10.3390/ijms21176267.
- Docherty, K. M., and Kulpa, C. F., Jr. (2005) Toxicity and antimicrobial activity of imidazolium and pyridinium ionic liquids, Green Chem., 7, 185-189, https://doi.org/10.1039/B419172B.
- Ranke, J., Mölter, K., Stock, F., Bottin-Weber, U., Poczobutt, J., Hoffmann, J., Ondruschka, B., Filser, J., and Jastorff, B. (2004) Biological effects of imidazolium ionic liquids with varying chain lengths in acute Vibrio fischeri and WST-1 cell viability assays, Ecotoxicol. Environ. Saf., 58, 396-404, https://doi.org/10.1016/ S0147-6513(03)00105-2.
- Couling, D. J., Bernot, R. J., Docherty, K. M., Dixon, J. K., and Maginn, E. J. (2006) Assessing the factors responsible for ionic liquid toxicity to aquatic organisms via quantitative structure-property relationship modeling, Green Chem., 8, 82-90, https://doi.org/10.1039/B511333D.
- Stasiewicz, M., Mulkiewicz, E., Tomczak-Wandzel, R., Kumirska, J., Siedlecka, E. M., Gołebiowski, M., Gajdus, J., Czerwicka, M., and Stepnowski, P. (2008) Assessing toxicity and biodegradation of novel, environmentally benign ionic liquids (1-alkoxymethyl-3-hydroxypyridinium chloride, saccharinate and acesulfamates) on cellular and molecular level, Ecotoxicol. Environ. Saf., 71, 157-165, https://doi.org/10.1016/j.ecoenv. 2007.08.011.
- Garcia, M. T., Gathergood, N., and Scammells, P. J. (2005) Biodegradable ionic liquids: Part II. Effect of the anion and toxicology, Green Chem., 7, 9, https://doi.org/10.1039/b411922c.
- Pham, T. P. T., Cho, C.-W., and Yun, Y.-S. (2010) Environmental fate and toxicity of ionic liquids: a review, Water Res., 44, 352-372, https://doi.org/10.1016/j.watres.2009.09.030.
- Kolaczkowski, M., van der Rest, M., Cybularz-Kolaczkowska, A., Soumillion, J. P., Konings, W. N., and Goffeau, A. (1996) Anticancer drugs, ionophoric peptides, and steroids as substrates of the yeast multidrug transporter Pdr5p, J. Biol. Chem., 271, 31543-31548, https://doi.org/10.1074/jbc.271.49.31543.
- Gros, P., Talbot, F., Tang-Wai, D., Bibi, E., and Kaback, H. R. (1992) Lipophilic cations: a group of model substrates for the multidrug-resistance transporter, Biochemistry, 31, 1992-1998, https://doi.org/10.1021/bi00122a014.
- Fetisova, E. K., Avetisyan, A. V., Izyumov, D. S., Korotetskaya, M. V., Chernyak, B. V., and Skulachev, V. P. (2010) Mitochondria-targeted antioxidant SkQR1 selectively protects MDR (Pgp 170)-negative cells against oxidative stress, FEBS Lett., 584, 562-566, https://doi.org/10.1016/j.febslet.2009.12.002.
- Sokolov, S., Zyrina, A., Akimov, S., Knorre, D., and Severin, F. (2023) Toxic effects of penetrating cations, Membranes, 13, 841, https://doi.org/10.3390/membranes13100841.
- Sokolov, S. S., Smirnova, E. A., Markova, O. V., Kireeva, N. A., Kirsanov, R. S., Khailova, L. S., Knorre, D. A., and Severin, F. F. (2020) Lipophilic cations rescue the growth of yeast under the conditions of glycolysis overflow, Biomolecules, 10, 1345, https://doi.org/10.3390/biom10091345.
- Galkina, K. V., Besedina, E. G., Zinovkin, R. A., Severin, F. F., and Knorre, D. A. (2018) Penetrating cations induce pleiotropic drug resistance in yeast, Sci. Rep., 8, 8131, https://doi.org/10.1038/s41598-018-26435-z.
- Huh, W.-K., Falvo, J. V., Gerke, L. C., Carroll, A. S., Howson, R. W., Weissman, J. S., and O’Shea, E. K. (2003) Global analysis of protein localization in budding yeast, Nature, 425, 686-691, https://doi.org/10.1038/nature02026.
- Mueller, P., Rudin, D. O., Tien, H. T., and Wescott, W. C. (1963) Methods for the formation of single bimolecular lipid membranes in aqueous solution, J. Phys. Chem., 67, 534-535, https://doi.org/10.1021/j100796a529.
- Liberman, E. A., and Topaly, V. P. (1969) Permeability of bimolecular phospholipid membranes for fat-soluble ions [in Russian], Biofizika, 14, 452-461.
- Ebert, A., Hannesschlaeger, C., Goss, K.-U., and Pohl, P. (2018) Passive permeability of planar lipid bilayers to organic anions, Biophys. J., 115, 1931-1941, https://doi.org/10.1016/j.bpj.2018.09.025.
- Rokitskaya, T. I., Aleksandrova, E. V., Korshunova, G. A., Khailova, L. S., Tashlitsky, V. N., Luzhkov, V. B., and Antonenko, Y. N. (2022) Membrane permeability of modified butyltriphenylphosphonium cations, J. Phys. Chem. B, 126, 412-422, https://doi.org/10.1021/acs.jpcb.1c08135.
- Il’yasova, T. M., Rokitskaya, T. I., Severina, I. I., Antonenko, Y. N., and Skulachev, V. P. (2012) Substitution of ether linkage for ester bond in phospholipids increases permeability of bilayer lipid membrane for SkQ1-type penetrating cations, Biochemistry (Moscow), 77, 1038-1043, https://doi.org/10.1134/S0006297912090118.
- Pickar, A. D., and Benz, R. (1978) Transport of oppositely charged lipophilic probe ions in lipid bilayer membranes having various structures, J. Membr. Biol., 44, 353-376, https://doi.org/10.1007/BF01944229.
- Rokitskaya, T. I., Kotova, E. A., Luzhkov, V. B., Kirsanov, R. S., Aleksandrova, E. V., Korshunova, G. A., Tashlitsky, V. N., and Antonenko, Y. N. (2021) Lipophilic ion aromaticity is not important for permeability across lipid membranes, Biochim. Biophys. Acta Biomembr., 1863, 183483, https://doi.org/10.1016/j.bbamem. 2020.183483.
- Severin, F. F., Severina, I. I., Antonenko, Y. N., Rokitskaya, T. I., Cherepanov, D. A., Mokhova, E. N., Vyssokikh, M. Y., Pustovidko, A. V., Markova, O. V., Yaguzhinsky, L. S., Korshunova, G. A., Sumbatyan, N. V., Skulachev, M. V., and Skulachev, V. P. (2010) Penetrating cation/fatty acid anion pair as a mitochondria-targeted protonophore, Proc. Natl. Acad. Sci. USA, 107, 663-668, https://doi.org/10.1073/pnas.0910216107.
- Rokitskaya, T. I., Khailova, L. S., Korshunova, G. A., and Antonenko, Y. N. (2023) Efficiency of mitochondrial uncoupling by modified butyltriphenylphosphonium cations and fatty acids correlates with lipophilicity of cations: Protonophoric vs leakage mechanisms, Biochim. Biophys. Acta Biomembr., 1865, 184183, https://doi.org/ 10.1016/j.bbamem.2023.184183.
- Kean, L. S., Grant, A. M., Angeletti, C., Mahé, Y., Kuchler, K., Fuller, R. S., and Nichols, J. W. (1997) Plasma membrane translocation of fluorescent-labeled phosphatidylethanolamine is controlled by transcription regulators, PDR1 and PDR3, J. Cell Biol., 138, 255-270, https://doi.org/10.1083/jcb.138.2.255.
- Thakur, J. K., Arthanari, H., Yang, F., Pan, S.-J., Fan, X., Breger, J., Frueh, D. P., Gulshan, K., Li, D. K., Mylonakis, E., Struhl, K., Moye-Rowley, W. S., Cormack, B. P., Wagner, G., and Näär, A. M. (2008) A nuclear receptor-like pathway regulating multidrug resistance in fungi, Nature, 452, 604-609, https://doi.org/10.1038/ nature06836.
- Hohmann, S., Bell, W., Neves, M. J., Valckx, D., and Thevelein, J. M. (1996) Evidence for trehalose-6-phosphate-dependent and -independent mechanisms in the control of sugar influx into yeast glycolysis, Mol. Microbiol., 20, 981-991, https://doi.org/10.1111/j.1365-2958.1996.tb02539.x.
- Bell, W., Klaassen, P., Ohnacker, M., Boller, T., Herweijer, M., Schoppink, P., Van der Zee, P., and Wiemken, A. (1992) Characterization of the 56-kDa subunit of yeast trehalose-6-phosphate synthase and cloning of its gene reveal its identity with the product of CIF1, a regulator of carbon catabolite inactivation, Eur. J. Biochem., 209, 951-959, https://doi.org/10.1111/j.1432-1033.1992.tb17368.x.
- Vuorio, O. E., Kalkkinen, N., and Londesborough, J. (1993) Cloning of two related genes encoding the 56-kDa and 123-kDa subunits of trehalose synthase from the yeast Saccharomyces cerevisiae, Eur. J. Biochem., 216, 849-861, https://doi.org/10.1111/j.1432-1033.1993.tb18207.x.
- Van Heerden, J. H., Wortel, M. T., Bruggeman, F. J., Heijnen, J. J., Bollen, Y. J. M., Planqué, R., Hulshof, J., O’Toole, T. G., Wahl, S. A., and Teusink, B. (2014) Lost in transition: start-up of glycolysis yields subpopulations of nongrowing cells, Science, 343, 1245114, https://doi.org/10.1126/science.1245114.
- Thevelein, J. M., and Hohmann, S. (1995) Trehalose synthase: guard to the gate of glycolysis in yeast?, Trends Biochem. Sci., 20, 3-10, https://doi.org/10.1016/s0968-0004(00)88938-0.
- Teusink, B., Walsh, M. C., van Dam, K., and Westerhoff, H. V. (1998) The danger of metabolic pathways with turbo design, Trends Biochem. Sci., 23, 162-169, https://doi.org/10.1016/s0968-0004(98)01205-5.
- Gibney, P. A., Schieler, A., Chen, J. C., Bacha-Hummel, J. M., Botstein, M., Volpe, M., Silverman, S. J., Xu, Y., Bennett, B. D., Rabinowitz, J. D., and Botstein, D. (2018) Common and divergent features of galactose-1-phosphate and fructose-1-phosphate toxicity in yeast, Mol. Biol. Cell, 29, 897-910, https://doi.org/10.1091/mbc.E17-11-0666.
- Peeters, K., Van Leemputte, F., Fischer, B., Bonini, B. M., Quezada, H., Tsytlonok, M., Haesen, D., Vanthienen, W., Bernardes, N., Gonzalez-Blas, C. B., et al. (2017) Fructose-1,6-bisphosphate couples glycolytic flux to activation of Ras, Nat. Commun., 8, 922, https://doi.org/10.1038/s41467-017-01019-z.
- Knorre, D. A., Galkina, K. V., Shirokovskikh, T., Banerjee, A., and Prasad, R. (2020) Do multiple drug resistance transporters interfere with cell functioning under normal conditions?, Biochemistry (Moscow), 85, 1560-1569, https://doi.org/10.1134/S0006297920120081.
Supplementary files









