Natural activators of autophagy
- Authors: Pavlova J.A.1,2,3, Guseva E.A.1,2,3, Dontsova O.A.1,2,3,4, Sergiev P.V.1,2,3
-
Affiliations:
- Skolkovo Institute of Science and Technology
- Belozersky Institute of Physico-Chemical Biology, Lomonosov Moscow State University
- Lomonosov Moscow State University
- Shemyakin–Ovchinnikov Institute of Bioorganic Chemistry
- Issue: Vol 89, No 1 (2024)
- Pages: 5-32
- Section: Articles
- URL: https://ogarev-online.ru/0320-9725/article/view/260398
- DOI: https://doi.org/10.31857/10.31857/S0320972524010018
- EDN: https://elibrary.ru/YRUDXW
- ID: 260398
Cite item
Full Text
Abstract
Autophagy is the process by which cell contents, such as aggregated proteins, dysfunctional organelles, and cell structures, are sequestered by the autophagosome and delivered to lysosomes for degradation. As a process that allows the cell to get rid of non-functional components that tend to accumulate with age, autophagy has been associated with many human diseases. In this regard, the search for autophagy activators and the study of their mechanism of action is an important task for the treatment of many diseases, as well as for increasing healthy life expectancy. Plants are rich sources of autophagy activators, containing a large amount of polyphenolic compounds in their composition, which can be activators in their original form, or can be metabolized by the intestinal microbiota to active compounds. This review is devoted to plant-based autophagy activators with an emphasis on the sources of their production, mechanism of action, and application in various diseases. The review also describes companies commercializing natural autophagy activators.
Keywords
Full Text
Принятые сокращения: АФК – активные формы кислорода; Akt – RAC-α серин/треонин протеинкиназа; AMPK – АМP-активируемая протеинкиназа; BECN1 – беклин-1; EP300 – гистонацетилтрансфераза p300; FDA – управление по контролю качества пищевых продуктов и лекарственных средств; HIF-1α – индуцируемый гипоксией фактор 1α; LC3 – ассоциированный с микротрубочками белок легкой цепи 3; LKB1 – киназа печени B1; mTOR – мишень рапамицина млекопитающих; mTORC1 – мишень рапамицина млекопитающих комплекс 1; p62/SQSTM1 – секвестосома 1; p70S6K – киназа β1 рибосомального белка S6; PARL – cвязанный с пресенилинами ромбовидный белок; PI3K – фосфатидилинозитол-3-киназа; PINK1 – PTEN-индуцируемая протеинкиназа 1; PGC-1α – пероксисомный пролифератор-активированный рецептор гамма-коактиватора 1-альфа; SIRT1 – сиртуин 1; TFE3 – транскрипционный фактор E3; TFEB – транскрипционный фактор EB; UA – уролитин A; Ub – убиквитин; ULK1 – unc-51-подобная активирующая аутофагию киназа.
Введение
Аутофагия – это один из фундаментальных молекулярных процессов, с помощью которого происходит удаление поврежденных или плохо работающих компонентов клетки. Известно три различных типа аутофагии: микроаутофагия, макроаутофагия и аутофагия, ассоциированная с шаперонами.
Микроаутофагия подразумевает неизбирательный захват лизосомой макромолекул и частей мембран с последующим перевариванием. Таким образом, клетка может получать дополнительную энергию или материал для биосинтетической активности, что крайне необходимо, например, в условиях голодания. Однако важно отметить, что аналогичные процессы могут происходить и в нормальных условиях [1]. Хотелось бы отметить, что в данном обзоре микроаутофагия подробно рассматриваться не будет по причине того, что она представляет собой неизбирательный тип аутофагии. В обзоре будет сделан акцент на макроаутофагию, которая играет важную физиологическую роль в здоровье человека и дисфункция которой является причиной многих заболеваний.
При аутофагии, ассоциированной с деятельностью шаперонов, денатурировавшие белки транспортируются в лизосому, где и происходит их переваривание. Для протекания этих процессов необходимы цитоплазматические шапероны семейства Hsp70–Hsp90, а также мембранные рецепторы на лизосоме, которые распознают комплексы шаперонов с белками. Такой тип аутофагии описан исключительно в клетках млекопитающих и наблюдается в условиях стресса [2].
Наиболее интересным представляется последний, избирательный, тип аутофагии – макроаутофагия. Во время этого процесса органеллы, несущие аутофагосомную метку, узнаются мембранными рецепторами (LC3/GABARAP). В качестве такой метки чаще всего служит убиквитин (Ub), но также могут использоваться сигналы на основе полисахаридов, липидов и Ub-подобных белков [3]. В результате узнавания сигнальной молекулы участок цитоплазмы отделяется от остальной цитоплазмы двумя мембранами – образуется аутофагосома. Далее, с ней сливаются лизосомы, формируя аутофаголизосому, в которой будет происходить переваривание всего содержимого, в том числе органелл [4].
Одной из отличительных особенностей макроаутофагии является быстрая и динамичная регуляция. В нормальных условиях уровень аутофагии в клетке достаточно низок, но в условиях голода или под влиянием специфических сигнальных веществ он возрастает в несколько раз. Постоянное или периодическое снижение потребления калорий без недоедания является перспективной стратегией, увеличивающей продолжительность жизни организмов [5]. Однако строгое постоянное соблюдение таких режимов питания затруднительно, что способствовало появлению миметиков ограничения калорийности (CRM). CRM – соединения, искусственно запускающие пути ограничения калорийности и способствующие аутофагии. Потенциал использования миметиков ограничения калорийности против возрастных заболеваний был описан ранее в обзоре, посвященном механизмам их действия и возможному терапевтическому использованию [6]. Некоторые из веществ, описанных в упомянутой выше статье и причисленных к числу миметиков ограничения калорийности (ресвератрол, спермидин, кверцетин, куркумин и др.), будут подробно описаны в данном обзоре с точки зрения механизма их действия.
Макроаутофагия играет важную роль в таких физиологических процессах, как адаптация к голоду, контроль качества клеточных органелл, элиминирование внутриклеточных паразитов и регуляция врожденного и приобретенного иммунитета [7].
Среди разнообразия процессов макроаутофагии стоит отдельно выделить аутофагию митохондрий (митофагию), так как в ходе этого процесса удаляются лишние и поврежденные митохондрии, которые потенциально обладают высокой цитотоксичностью [8].
Сбалансированная работа систем митофагии крайне важна, и ее нарушение приводит к развитию раковых, сердечно-сосудистых и нейродегенеративных заболеваний [9]. На грызунах было показано, что активация процессов митофагии и аутофагии с помощью фармакологических препаратов позволяет улучшить состояние животных с моделями инфаркта миокарда, различных типов кардиомиопатии и атеросклероза [8]. Этот факт особенно важен, так как до сих пор сердечно-сосудистые заболевания занимают лидирующую позицию по числу смертей не только в России, но и по всему миру [10].
На различных животных моделях было показано, что вещества, приводящие к активации митофагии, способствуют увеличению продолжительности жизни, предотвращая накопление поврежденных митохондрий. Помимо этого, употребление таких веществ также продлевает нормальную активность организма, препятствуя возрастному уменьшению силы мышц и снижению скорости ходьбы [11]. Это может быть объяснено тем, что с возрастом уровень митофагии в клетках скелетных мышц падает, что, в свою очередь, приводит к снижению энергетического снабжения мышц [12].
Другим интересным механизмом направленной аутофагии является липофагия – путь деградации липидных капель (ЛК), которые участвуют в различных биологических процессах в клетках. Чрезмерное накопление ЛК тесно связано с различными заболеваниями, включая болезни обмена веществ. Направленная деградация липидных капель является потенциальной стратегией борьбы с ожирением [13], диабетом [14], неалкогольным стеатогепатитом [15, 16] и другими заболеваниями, связанными с избыточным накоплением липидов.
Таким образом, изучение механизма активации аутофагии является перспективным направлением исследований, нацеленных на увеличение продолжительности жизни и, что не менее важно, улучшения качества жизни пожилых людей. Более того, активаторы аутофагии все чаще рассматриваются как потенциальные средства для терапии таких заболеваний, как диабет [17], инфекционные [18], онкологические [19, 20], аутоиммунные [21], сердечно-сосудистые [22], нейродегенеративные заболевания [23] и т.д. Одобренные управлением по контролю качества пищевых продуктов и лекарственных средств (FDA) препараты, для которых показана способность активировать аутофагию, подробно рассмотрены в обзоре, посвященном синтетическим активаторам аутофагии [24].
Данный обзор посвящен описанию природных активаторов аутофагии и митофагии с акцентом на механизм их действия, источники происхождения, а также потенциал применения при тех или иных заболеваниях.
Механизмы активации аутофагии
За последнее десятилетие был достигнут значительный прогресс в изучении процесса аутофагии. Были обнаружены эволюционно консервативные гены, регулирующие аутофагию, что способствовало изучению ее функций, связанных с поддержанием гомеостаза и общим физиологическим состоянием. Более того, все больше данных свидетельствует о связи между нарушениями регуляции макроаутофагии и разнообразными заболеваниями. Поскольку именно макроаутофагия представляет собой избирательный тип аутофагии и играет наиболее значимую физиологическую роль в развитии различных заболеваний, мы рассмотрим механизм именно данного процесса, опустив в представленном обзоре обсуждение неизбирательной формы аутофагии, микроаутофагии.
Макроаутофагия. В аутофагии участвует множество белков, необходимых для слияния аутофагосом и лизосом, закисления лизосом и лизосомного переваривания, а также для передачи регуляторных сигналов, которые связывают состояние окружающей среды и систему аутофагии. Общая схема регуляции аутофагии приведена на рис. 1.
Рис. 1. Схема регуляции аутофагии. Ub – убиквитинирование, Р – фосфорилирование (красным показано ингибирующее фосфорилирование, зеленым – активирующее). Зеленые стрелки показывают активирующее мишень взаимодействие, красные – ингибирующее. Черные стрелки используются для отражения последовательности стадий в процессе аутофагии, а также для отражения мишени действия веществ. Черные пунктирные стрелки отражают влияние внутриклеточных условий/факторов на мишень
Основными сигналами для запуска аутофагии являются голодание клетки по энергии и аминокислотам, а также гипоксия и окислительный стресс. Основным сенсором голодания клеток по энергии служит АМP-активируемая протеинкиназа (AMPK). Активность этого фермента также регулируется сиртуином 1 (SIRT1), NAD+-зависимой деацетилазой и ADP-рибозилтрансферазой. Сигналом активации для SIRT1 служит накопление NAD+ в клетке, что, в свою очередь, свидетельствует об истощении источников энергии и снижении потенциала на мембране митохондрий. В активированном состоянии SIRT1 проявляет деацетилазную активность, что, в свою очередь, приводит к активации киназы печени B1 (LKB1) и AMPK, а также к деацетилированию LC3 (ассоциированный с микротрубочками белок легкой цепи 3), ведущему к его перемещению из ядра в цитоплазму. SIRT1 также может контролировать аутофагию через транскрипционные факторы FOXO1 и NF-κB (ядерный фактор каппа-Би). Кроме того, поддерживая деацетилированное состояние пероксисомного пролифератор-активированного рецептора гамма-коактиватора 1-альфа (PGC-1α), SIRT1 участвует в регуляции функции митохондрий и окислительного стресса [25].
Основными сенсорами сигналов выживания и роста для клеток служат PI3K (фосфатидилинозитол-3-киназа) и Akt (RAC-α серин/треонин протеинкиназа). При активации данного сигнального пути происходит подавление аутофагии за счет ингибирования белка туберозного склероза 2 (TSC2), который перестает выключать регулятор RheB за счет гидролиза GTP. Помимо этого, Akt также фосфорилирует TFEB – основной транскрипционный фактор, регулирующий биогенез митохондрий. В фосфорилированном состоянии TFEB транслоцируется из ядра в цитоплазму, что приводит к снижению уровня аутофагии в клетках [26].
Центральным регулятором, который вовлечен в подавляющее большинство путей, связанных и с биогенезом, и с аутофагией компонентов клетки, является серин/треонин протеинкиназа mTOR (мишень рапамицина млекопитающих). mTOR регулирует клеточный рост и выживание за счет восприятия межклеточных сигналов и информации о метаболизме, в частности, о доступности аминокислот. Также активность mTOR регулируется по AMPK- и Akt-зависимым путям.
В клетках mTOR входит в состав двух киназных комплексов (mTORC1 и mTORC2), различающихся по функциям. Роль mTORC2 заключается в регуляции сигнальных путей факторов роста за счет фосфорилирования киназ Akt и SGK, которые влияют на клеточное выживание и подавляют апоптоз [27]. В то же время mTORC1 в активном состоянии ингибирует аутофагию с помощью подавления активности Unc-51-подобной киназы 1 (ULK1) и запускает биосинтез белков за счет фосфорилирования основных регуляторов трансляции мРНК, таких как белки группы 4E-BP, ингибирующие фактор инициации синтеза белка eIF4E [27]. Для активации mTORC1 должен быть транслоцирован на поверхность лизосомы, где он может быть активирован аминокислотами [7]. При ингибировании mTOR голоданием или индукторами аутофагии ULK1 автофосфорилируется и претерпевает конформационные изменения, тем самым запуская сборку платформы для дальнейшего процесса образования аутофагосомы [28]. Основным эффектором этой платформы является белок беклин-1 (BECN1), который в составе различных комплексов будет активировать сборку аутофагофора – двумембранной везикулы, содержащей удаляемые органеллы и участок цитоплазмы.
Процесс сборки аутофагофора включает два основных этапа: зарождение (нуклеация) и удлинение (элонгация) изолирующей мембраны. На стадии зарождения фагофорной мембраны требуется комплекс с фосфатидилинозитол-3-киназой III класса (PI3K), который включает в себя BECN1. Регуляция активности этого комплекса происходит через BECN1 с помощью комплекса ULK, а также Bcl-2, антиапоптотического белка, который ингибирует аутофагию путем связывания BECN1 при избытке питательных веществ в клетке. Для индукции аутофагии необходима диссоциация BECN1 и Bcl-2 [7].
Комплекс PI3K также запускает сборку платформы, необходимой для привлечения, модификации и заякоривании LC3 в мембране фагофора. Изначально LC3 присутствует в клетке в виде предшественника – proLC3. На первом этапе модификаций от него отщепляется небольшой фрагмент с С-конца. В результате этой реакции появляется растворимая форма LC3 – LC3-I [29]. У LC3-I С-концевой глицин экспонирован на поверхности. На следующем этапе Atg7 (E1) и Atg3 (E2) проводят реакцию, подобную убиквитинированию [29]. В результате образуется связь между экспонированным С-концевым глицином и фосфатидилэтаноламином и образуется изоформа белка, связанная с мембраной, – LC3-II. При этом LC3-II связывается как с внешней, так и с внутренней мембранами аутофагосомы.
В клетке существуют специальные адаптерные системы, которые соединяют LC3 с мишенями аутофагии. Наиболее изученным из них является p62, также известный как SQSTM1/sequestosome 1 (секвестосома 1). p62 является селективным рецептором аутофагии. В структуру данного белка входят 5 доменов: N-концевые домены Phox и Bem1p (PB1), домен цинкового пальца ZZ-типа, участок PEST (содержащий предполагаемые сайты фосфорилирования) и С-концевой домен, связывающий полиубиквитин (UBA). N-Концевой домен PB1 используется для полимеризации p62 и связывания с другими белками, содержащими домены PB1 [30]. Предполагается, что р62 способствует связыванию полиубквитинированных белковых агрегатов с LC3, что приводит к их включению в аутофагосому и деградации. Таким образом, клетка разрушает неправильно свернутые белки и р62 вместе с ними [30].
Митофагия. Митофагия представляет собой селективную форму макроаутофагии, которая необходима для устранения поврежденных или избыточных митохондрий и, следовательно, является одним из важнейших процессов, поддерживающих клеточный гомеостаз. Нарушение митофагии может привести к развитию ряда заболеваний, включая рак, сердечно-сосудистые и нейродегенеративные заболевания, а также заболевания печени [8, 31–35].
Механизмы митофагии можно классифицировать на Ub-зависимые и Ub-независимые пути. Ub-Зависимый путь митофагии основан на убиквитинировании поверхностных белков митохондрий для распознавания поврежденных органелл. Наиболее изученным путем активации митофагии является система PINK1/Parkin, схема которого приведена на рис. 2.
Рис. 2. Общая схема митофагии. Зеленым изображены нормальные митохондрии, красным – митохондрии с нарушениями в работе. Ub – убиквитинирование, Р – активирующее фосфорилирование. Зеленые стрелки показывают активирующее мишень взаимодействие. Красная стрелка показывает ингибирующее мишень взаимодействие. Черные стрелки используются для отражения последовательности стадий в процессе митофагии
PINK1 – это PTEN-индуцируемая Ser/Thr киназа 1, которая накапливается на внешней мембране митохондрий в ответ на нарушение мембранного потенциала. PINK1 фосфорилирует убиквитинлигазу Parkin и ее субстрат, убиквитин, в результате чего на поврежденные митохондрии навешиваются убиквитиновые метки. В этом процессе также принимают участие убиквитинлигазы SMURF1 и Gp78. Убиквитиновую метку на митохондриях узнают рецепторы аутофагии OPTN и NDP52, которые инициируют образование аутофагосом вблизи митохондрий, а также выступают в качестве адаптеров при связывании митохондрий и LC3-II [9]. Также было обнаружено, что р62 участвует в митофагии по PINK1/Parkin-зависимому пути. Фосфорилированный Parkin убиквитинирует р62 и способствует его связыванию с LC3-II, что, в свою очередь, способствует транспорту митохондрий в аутофагосому [36].
SIRT1, регулируя деацетилирование транскрипционных факторов, может приводить к активации митофагии через путь SIRT1/PGC1α/Mfn2/Parkin [37]. Система PINK1/Parkin катализирует фосфоубиквитинирование Mfn2, запуская p97-зависимую разборку комплексов Mfn2 от внешней митохондриальной мембраны. Это приводит к отделению митохондрий от эндоплазматического ретикулума и их фрагментации, что способствует митофагии [38].
В дополнение к описанной сигнальной системе на внешней мембране митохондрий локализованы рецепторы митофагии BNIP3, NIX/BNIP3L10 и FUNDC1, которые напрямую взаимодействуют с LC3 через типичные или атипичные мотивы LIR (участки взаимодействия с LC3) независимо от убиквитинирования. Первоначально NIX был идентифицирован как ключевой медиатор деградации митохондрий при созревании эритроцитов, но недавно было показано, что он также активируется в ответ на нарушение мембранного потенциала митохондрий. Также показано, что экспрессия NIX и BNIP3 частично находится под контролем HIF-1 (индуцируемый гипоксией фактор 1) и их активация во время гипоксии способствует удалению поврежденных митохондрий. Таким образом, BNIP3, наряду с FUNDC1, считается одним из основных медиаторов митофагии, индуцированной гипоксией. В отличие от NIX и BNIP3, экспрессия FUNDC1 существенно не зависит от гипоксии или мембранного потенциала митохондрий, и его активность контролируется посттрансляционными модификациями. В нормальных условиях взаимодействие между FUNDC1 и LC3 подавляется фосфорилированием домена LIR. Однако при гипоксии или нарушении потенциала Ser/Thr фосфатаза PGAM5 дефосфорилирует FUNDC1, что усиливает его сродство к LC3 и облегчает прикрепление митохондрий к мембране формирующейся аутофагосомы [9].
Природные активаторы аутофагии и митофагии
Сложная схема регуляции аутофагии в целом и митофагии в частности способствует тому, что достаточно разнородный набор природных и синтетических соединений влияет на этот процесс. Поскольку активация или ингибирование аутофагии важны для поддержания баланса мономерных блоков, таких как аминокислоты, с одной стороны, макромолекул и органелл – с другой стороны, поиск и исследование веществ, регулирующих аутофагию, – важная задача фундаментальной и прикладной науки.
Источники природных активаторов аутофагии и митофагии. Вторичные метаболиты растений. Растения содержат большое количество полифенольных соединений, основные структурные фрагменты которых приведены на рис. 3. Данные соединения влияют на здоровье человека, оказывая антиоксидантное, противовоспалительное, противоопухолевое, антиадипогенное и нейропротекторное действие [39–42]. Роль полифенольных соединений в процессах аутофагии и апоптоза, а также их возможное применение в химиотерапии онкологических заболеваний подробно обсуждаются в обзорах [43–50].
Рис. 3. Основные структурные фрагменты, входящие в состав полифенольных соединений
Среди фитосоединений, обладающих антиканцерогенным действием и влиянием на процессы апоптоза и аутофагии, отмечены представители всех классов полифенольных соединений, таких как флавоноиды (флавонолы, флавоны, флаваноны, изофлавоны, флаван-3-олы, антоцианины) и нефлавоноиды (кумарины, куркуминоиды, феноловые кислоты, лигнаны, стильбены, ксантоны) [43, 48]. Большинство флавоноидов встречается в растениях в связанной с сахарами форме, как О- или С-гликозиды, что затрудняет их адсорбцию в тонком кишечнике. Реакции гидролиза сахаров и образование таким образом агликонов флавоноидов повышает их биодоступность для организма.
Ниже приведены примеры некоторых полифенольных фитосоединений, метаболизм которых микроорганизмами приводит к образованию продуктов, активирующих аутофагию. К таким соединениям относятся эллаготанины, встречающиеся во многих видах растений. Эти соединения вследствие своего молекулярного веса характеризуются очень низкой биодоступностью и не поглощаются в кишечном тракте до тех пор, пока они не гидролизуются кишечной микрофлорой до уролитинов [51, 52]. Бактериальная трансформация эллаготанинов включает восстановление одной из двух лактонных групп, затем декарбоксилирование и последовательное восстановление до тетрагидрокси (уролитин D), тригидрокси (уролитин С), дигидрокси (уролитин А и изоуролитин А) и моногидрокси (уролитин В) дибензопиранонов.
Способность к трансформации эллаготанинов до уролитинов обнаружена у Gordonibacter urolithin- faciens и Gordonibacter pamelaeae (семейство Cori- obacteriaceae), а также у Ellagibacter isourolithinifaciens (семейство Eggerthellaceae) и у штамма Bifidobacterium pseudocatenulatum INIA P815 (рис. 4) [53, 54].
Рис. 4. Упрощенная схема образования уролитинов из эллаговой кислоты бактерией Bifidobacterium pseudocatenulatum INIA P815
Установлены 3 группы людей с разными метаболотипами (A, B и 0) в зависимости от образуемых ими уролитинов [55]. В группе А (25–80%) образуется только уролитин А; в группе В (10–50%) – изоуролитин А и/или В и уролитин А. В группе 0 (5–25%) уролитины не образуются.
Дайдзеин является также примером фитосоединения, трансформация которого кишечной микробиотой приводит к образованию более активных и биодоступных метаболитов, чем нативный изофлавоноид. Трансформация микробиотой дайдзеина может идти с образованием (S)-эквола (изофлавандиоловый эстроген) или через O-десметиланголенсина (O-DMA) в зависимости от состава микробиоты (рис. 5).
Рис. 5. Преобразование дайдзеина микробиотой человека в биодоступные производные
У большинства происходит образование O-десметиланголенсина с участием видов Clostridium. У 30% исследуемых дайдзеин превращается в S-эквол, обладающий более активным эстрогенным действием, антиоксидантной активностью и биодоступностью, чем дайдзеин. S-эквол образуется широким спектром бактерий: Streptococcus intermedius, Bacteroides ovatus, Blautia producta, Eggerthella sp. Julong 732, Adlercreutzia equolifaciens, Slakia isoflavoniconvertens, Slakia equolifaciens, Asaccharobacter celatus, Enterorhabdus mucosicola (Actinobacteria) и Lactococcus garvieae (Firmicutes) [56, 57].
Вторичные метаболиты бактерий. Микробиом и продукты его метаболизма могут потенциально влиять на активность аутофагии, как это показано для образования уролитинов. Можно представить, что микробиом, формирующийся в условиях голодания, должен, из общих соображений, активировать аутофагию. Исходя из предположения выгодности процесса активации аутофагии в условиях голодания как для хозяина организма, так и для населяющей его микробиоты, в данном обзоре в основном рассматриваются метаболиты, образуемые комменсальными бактериями кишечника. Исследования показывают, что гнотобионты («чистые», без микробиоты) мышей, крыс, птиц имеют более высокую смертность в условиях недостатка пищи, чем нормальные животные, несмотря на одинаковые скорости потери массы. Это объясняется обеспечением кишечной микробиотой использования альтернативных источников энергии (жирных кислот, кетоновых тел, хозяйских белков), стимулирования иммунитета и многих других защитных процессов в клетках [58]. В условиях спячки и голодания одним из главных источников энергии и углерода для микробиоты становятся высокомолекулярные гликопротеины слизистой кишечника, атрофированные эпителиальные клетки организма и мертвые клетки бактерий. Это приводит к изменению состава кишечной микробиоты, в которой увеличивается доля бактерий Bacteroidetes и Akkermansia, использующих эндогенные гликозилированные белки, и уменьшается доля бактерий из филума Firmicutes, использующих растительные полисахариды для роста [58]. В условиях полного голодания бактерии, способные к деградации хозяйских белков, получают конкурентное преимущество [59, 60]. Метагеномные исследования содержимого слепого отдела кишечника живых организмов, находящихся в условиях гибернации (спячки) или в условиях голодания, показали преобладание Bacteroides (В. thetaiotaomicron, B. fragilis), некоторых Firmicutes (Ruminococcus gnavus) и Verrucomicrobiales (Akkermansia muciniphila). Бактерия A. muciniphila специализируется исключительно на использовании муцинов, в отличие от универсалов Bacteroides, способных потреблять муцины и широкий спектр растительных полисахаридов. Основные метаболиты кишечной микрофлоры животных – это короткоцепочечные (летучие) жирные кислоты, образуемые в результате брожения неперевариваемых ферментными системами животного растительных полисахаридов, а именно: целлюлозы, гемицеллюлозы, резистентного крахмала, пектинов, декстранов и олигосахаридов. Главные продукты брожения – ацетат, пропионат и бутират, образуемые соответственно в соотношении примерно от 75/15/10 до 40/40/20 (в среднем – 60/20/18) [61].
В работе Iannucci et al. [62] показано, что пропионат и бутират индуцировали UCP2/AMPK-зависимую аутофагию в клетках печени мыши через активацию PPARg (гамма-рецептор, активирующий пролифератор пероксисомы). Применение антибиотиков существенно снижало уровни базальной аутофагии в клетках печени мыши.
Таким образом, в условиях голодания у животных и у человека в микробиоте кишечника преобладали бактерии, способные использовать в качестве субстратов муцины и другие эндогенные субстраты хозяина. Голодание является, по-видимому, фактором отбора видов бактерий, способных перенести длительное отсутствие нутриентов в результате переключения метаболизма на использование доступных эндогенных муцинов и/или рециклизации мертвых бактериальных и эпителиальных клеток.
Природные соединения, вызывающие аутофагию. Среди активаторов аутофагии есть немало природных веществ, которые зачастую могут действовать сразу на несколько мишеней, что затрудняет понимание точного механизма действия; отчасти поэтому данные по таким соединениям сводятся к экспериментам на клеточных линиях [63].
Начнем рассмотрение природных активаторов аутофагии с веществ, механизм действия которых связан с mTOR-зависимым сигнальным путем, ингибирование которого положительно регулирует аутофагию. Примеров веществ с таким механизмом действия достаточно много.
Природный полифенол ресвератрол, производное транс-стильбена, обладает широким спектром действия, включая антипролиферативную активность за счет стимулирования как BECN1-независимой аутофагии, так и апоптоза раковых клеток [64]. Также было показано, что ресвератрол ингибирует путь PI3K/Akt/mTOR и активирует AMPK, что является определяющими событиями в подавлении роста аденомы в мышиной модели колоректального рака [65]. Однако, согласно другому исследованию, ресвератрол индуцирует аутофагию в клетках рака яичников иным механизмом – путем разрушения комплекса BECN1–Bcl-2 [66]. Также было замечено, что индуцируемый ресвератролом апоптоз приводит к ингибированию аутофагии в клетках рака эндометрия [67] и эзофагеальной плоскоклеточной карциномы [68]. Помимо описанного выше, он также усиливает экспрессию SIRT1, что может приводить к усилению аутофагии [69]. Cтоит отметить, что действие ресвератрола многогранно, оно сильно зависит от клеточной линии и используемых концентраций.
Ресвератрол в кишечнике быстро поглощается путем пассивной диффузии и затем метаболизируется посредством глюкуронидирования и сульфатирования в энтероцитах и в печени или восстанавливается до дигидроресвератрола кишечными бактериями Sl. equolifaciens и Adl. equolifaciens [70, 71]. Кроме дигидроресвератрола (рис. 6), в результате метаболизма кишечной микробиотой образуются 3,4′-дигидрокси-транс-стильбен и 3,4′-дигидроксибибензил (лунуларин) [70].
Рис. 6. Дегидрирование транс-ресвератрола с образованием дигидроресвератрола, 3,4′-дигидрокси-транс-стильбена и 3,4′-дигидроксибибензила (лунуларина) кишечной микробиотой
Исследований о противоопухолевом действии и влиянии на процесс аутофагии микробных метаболитов ресвератрола нет, несмотря на большое количество таких исследований в отношении самого ресвератрола и его метаболитов, образуемых в печени и энтероцитах [72].
Аналогичный механизм действия имеет куркумин, наиболее изученное биологически активное вещество, извлекаемое из растений рода Curcuma, которое из доклинических и клинических исследований более известно как средство, сенситизирующее раковые клетки к химио- и радиотерапии [73]. В клеточных линиях рака желудка SGC-7901 и BGC-823 он вызывает подавление PI3K/Akt/mTOR-пути, вследствие чего повышает экспрессию BECN1, Atg3, Atg5, p53 и p21, увеличивает соотношение LC3-II/LC3-I и потенциирует аутофагию [74]. В клетках кастрационно-резистентного рака простаты куркумин индуцирует протективную форму аутофагии [75]. Также установлено ингибирующее действие куркумина на процессы транскрипции рибосомных генов и активацию аутофагии в клетках мышиных эмбриональных фибробластов (MEFs) [76], в клетках глиомы [77] и аденокарциномы легких [78]. Многие клинические исследования указывают на очень низкую биодоступность куркумина вследствие низкой растворимости и быстрого метаболизма [79]. Предполагается, что одним из возможных механизмов положительного эффекта куркумина при его низкой биодоступности является воздействие на микробиоту кишечника [80–83]. В результате трансформации куркумина кишечной микробиотой образуются соединения с высокой биологической активностью и лучшей биодоступностью. Один из главных метаболитов куркумина, тетрагидрокуркумин, индуцировал аутофагию в человеческих клетках лейкемии HL-60 и раковых клетках легкого A549 NSCLC [84, 85].
Аналогичным механизмом действия обладает кверцетин [86, 87], природный флавоноид, содержащийся во многих травах, который был объектом доклинических исследований, посвященных изучению его антипролиферативного действия. Кверцетин так же, как и куркумин, подавляет пролиферацию клеток рака желудка [87], глиомы [78] и рака легких [88]. В клетках рака желудка кверцетин индуцирует защитную аутофагию путем воздействия на путь Akt/mTOR и передачу сигналов, опосредованную HIF-1α [87]. В исследовании на клетках рака легкого человека A549 и H1299 кверцетин дозозависимо повышал уровни белка SIRT1 и накопление фосфорилированной формы AMPK [89].
Среди флавоноидов есть и другие активаторы аутофагии, механизм которых связан с ингибированием mTOR. В частности, изобакахалкон, содержащийся в дуднике кейском и псоралее лещинолистной, ингибирует активность Akt и mTORC1, активирует проаутофагические факторы транскрипции TFEB и TFE3 in vitro, а также in vivo в мышиной модели фибросаркомы [90]. Важно уточнить, что, помимо активации аутофагии, изобакахалкон также вызывает стресс эндоплазматического ретикулума, проявлением которого является зависимое от PKR-подобной киназы эндоплазматического ретикулума (PERK) фосфорилирование eIF2α.
Представители группы пренилированных флавонов, такие как морузин и малберрин, могут замедлять старение в моделях почкующихся дрожжей, червей и клеток человека, воздействуя на систему mTOR-Sch9/p70S6K и вызывая аутофагию. В исследовании на клетках HeLa человека морузин и малберрин ингибировали фосфорилирование киназы β1 рибосомального белка S6 (p70S6K), стимулировали аутофагию и замедляли старение клеток [91]. Кроме того, у червей, обработанных морузином и малберрином, наблюдались дополнительные преимущества, в том числе увеличение воспроизводства без влияния на здоровье.
Сразу три вещества – эриокаликсин B (EriB), дитерпеноид из прутьевика, α-гедерин, тритерпеновый сапонин, и омега-3 полиненасыщенные жирные кислоты – обладают схожим механизмом индукции аутофагии, ингибируя сигналлинг Akt/mTOR/p70S6K и, одновременно с этим, запуская генерацию активных форм кислорода (АФК) в клетках рака молочной железы [92], колоректального рака [93] и рака простаты [94].
К числу ингибиторов Akt/mTOR можно отнести еще и одобренное FDA природное соединение гваязулен (1,4-диметил-7-изопропилазулен) [95], которое раньше использовалось в офтальмологических препаратах, а затем стало популярным ингредиентом для косметических продуктов, зубных паст и фармацевтических препаратов. Данное соединение обладает противораковыми свойствами, а также может использоваться для лечения болей при воспалении в синергии с диклофенаком [96]. Гваязулен подавляет немелкоклеточный рак легкого (НМРЛ), запуская апоптоз, индуцированный АФК. При этом была показана индукция аутофагии в клетках НМРЛ посредством ингибирования сигнального пути Akt/mTOR [97].
Еще одним интересным примером ингибитора сигнального пути mTOR является кофеин, вызывающий аутофагию in vitro и in vivo [98–100]. Кофеин уменьшает печеночный гепатоз у мышей с неалкогольной жировой болезнью печени [101] и защищает от проявлений нейротоксичности, вызванной прионами [102]. Стоит также сказать, что проводились исследования, в которых было показано, что кофейные зерна, содержащие, помимо кофеина, большое количество полифенолов, вызывают усиление аутофагии, ингибирование mTORC1, снижение уровня фосфорилирования p70S6K и перемещение LC3B в аутофагосомы [103]. Можно предположить, что кофеин-индуцированная аутофагия является причиной того, что потребление кофе снижает смертность среди людей среднего возраста [104].
Индукция аутофагии через ингибирование сигнального пути PI3K/Akt/mTOR может использоваться в качестве подхода к борьбе с ожирением. Подтверждением тому является исследование, в котором показано, что флавоноиды Pueraria montanaблагодаря этому механизму действия улучшают состояние при неалкогольной жировой болезни печени у мышей с ожирением [105]. Также показано, что пуэрарин, один из изофлавонов P. montana, может значительно увеличивать продолжительность жизни Drosophila melanogaster за счет регуляции протеасомной субъединицы бета 5 (prosbeta5) и SIRT1 [106].
Еще одним механизмом активации аутофагии является ингибирование рецептора инсулиноподобного фактора роста-1 (IGF1), регулятора пути PI3K/AKT/mTOR. Таким механизмом действия обладает пикроподофиллин (PPP), циклолигнановый алкалоид, полученный из растения майская яблоня. PPP был описан в качестве мощного индуктора аутофагии, который действует посредством ингибирования рецептора инсулиноподобного фактора роста-1 (IGF1R). При введении мышам с опухолями PPP повышал эффективность иммуногенной химиотерапии в сочетании с иммунотерапией, и эти эффекты основывались на индукции аутофагии в злокачественных клетках [107].
Несмотря на то что mTOR играет важную роль в метаболизме клетки, участвуя в путях восприятия питательных веществ, существует большое разнообразие mTOR-независимых путей, которые являются мишенями других активаторов аутофагии. Натуральный дисахарид трегалоза стимулирует аутофагию и снижает агрегацию белков путем ингибирования глюкозных транспортеров [108, 109]. Было показано, что она повышает конверсию LC3-I в LC3-II mTOR-независимым путем, как и сахароза [110]. Трегалоза, таким образом, может быть использована для индукции аутофагии при болезнях Паркинсона [111] и Альцгеймера [112], а также прионных заболеваниях [113]. Несмотря на это, трегалоза не применима в клинической практике, так как она имеет низкую биодоступность из-за быстрого метаболизма в организме, поэтому были синтезированы более стабильные аналоги трегалозы – ленцтрегалоза A, B и C, которые были определены как эффективные активаторы аутофагии [114].
Гормонально активная форма витамина D (кальцитриол) за счет индукции аутофагии через PI3K, ATG5 и BECN1 ингибирует репликацию ВИЧ-1 [115] и микобактерий туберкулеза в человеческих макрофагах [18] и убивает клетки рака молочной железы [116]. Это объясняет то, что дефицит витамина D может лежать в основе повышенной восприимчивости к различным видам рака и инфекционным заболеваниям [117].
Среди природных активаторов аутофагии можно выделить активаторы киназы AMPK, положительно регулирующей аутофагию путем фоcфорилирования киназы ULK1 по Ser-317, Ser-555 и Ser-777. Примером такого вещества является казинол С, полученный из растения Broussonetia kazinoki, которое через активацию AMPK в высоких концентрациях вызывает апоптоз, а в низких – аутофагию [118]. Таким образом, благодаря своей способности казинол С может быть эффективным терапевтическим средством как при раке, так и при метаболических заболеваниях.
Регулирование активности AMPK может происходить вышестоящими путями, например, через путь SIRT1/LKB1 [119]. Активация SIRT1 приводит к деацетилированию и повышению киназной активности белка LKB1, который может активировать AMPK путем фосфорилирования. Примерами двойных активаторов SIRT1 и AMPK являются комбинация феруловой кислоты и берберина, которые вызывают аутофагию, митофагию, митохондриальный биогенез, репарацию ДНК, при этом способствуя выживанию клеток за счет подавления апотоза, старения и воспаления, вызванного NF-κB [120].
Дигидрофлавоноидное соединение нарингин, широко распространенное в цитрусовых и используемое в китайской фитотерапии, замедляет старение на модели Caenorhabditis elegans, уменьшает накопление жира и способствует аутофагии. Анализ транскриптома показал изменение уровня транскрипции генов, связанных с регуляцией биосинтеза и метаболизма липидов и аутофагией (например, гены skn-1, hlh-30, lgg-1, unc-51 и pha-4) [121]. Согласно исследованию, нарингин существенно активирует SIRT1 и AMPK и стимулирует путь митохондриального биогенеза посредством регуляции сигналов LKB1/AMPK/PGC-1α [122].
Регуляция аутофагии на уровне транскрипции является еще одним возможным механизмом действия некоторых активаторов. В частности, 3,4-диметоксихалкон (3,4-DC), который был описан как миметик ограничения калорийности, запускает аутофагию в клетках путем активации транскрипционных факторов TFEB и TFE3 [123]. Полисахарид сладкого чая (Rubus suavissmus S. Lee) STP-60a в исследовании на C. elegans увеличивает продолжительность жизни через инсулинозависимые и митохондриальные пути, зависящие от аутофагии. Он активирует три фактора транскрипции (FoxO/DAF-16, Nrf-2/SKN-1 и HSF-1), действующие ниже сигнального пути инсулина [124].
Таким образом, природные активаторы аутофагии достаточно разнообразны по механизмам своего действия, которое в большинстве случаев сводится к влиянию сразу на несколько мишеней. Резюмирующая схема, отражающая мишени воздействия природных активаторов аутофагии, приведена на рис. 7.
Рис. 7. Механизм действия природных активаторов аутофагии. Ub – убиквитинирование, Р – фосфорилирование (красным показано ингибирующее фосфорилирование, зеленым – активирующее). Зеленые стрелки показывают активирующее мишень взаимодействие, красные – ингибирующее. Черные стрелки используются для отражения последовательности стадий в процессе аутофагии, а также для отражения мишени действия веществ. Черные пунктирные стрелки отражают влияние внутриклеточных условий/факторов на мишень
Стоит отметить, что на резюмирующей схеме отражены лишь основные мишени, на которые оказывают влияние рассматриваемые соединения, однако для многих соединений в литературе описаны и альтернативные механизмы действия, которые упоминались в данном обзоре. Многие молекулы действуют на процесс аутофагии, влияя на белки (AMPK, ULK1, SIRT1 и др.), положительно регулирующие данный процесс. Однако немалое количество молекул активирует аутофагию путем подавления пути AKT/mTOR, который оказывает ингибирующее действие на аутофагию. Безусловно, есть вещества, влияющие на оба упомянутых выше пути, к примеру, ресвератрол и кверцетин. Однако необходимо понимать, что действие многих из приведенных молекул в зависимости от типа клеток и концентрации зачастую включает в себя влияние и на другие мишени, которые были упомянуты выше. Таким образом, общая черта большинства природных активаторов аутофагии – отсутствие уникальных механизмов действия и, как следствие, наличие большого количества побочных эффектов, ограничивающих их применение.
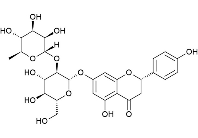
Природные активаторы митофагии. Митофагию также вызывают многие природные вещества, которые обсуждались в предыдущем разделе, такие как спермидин и ресвератрол. Подробнее хотелось бы остановиться на наиболее известном природном активаторе митофагии – уролитине A (UA). Это бензокумарин, который образуется в результате метаболизма эллаговой кислоты и эллаготанинов кишечной микрофлорой [125]. Он не содержится ни в каких источниках пищи, а его биодоступность зависит от индивидуального состава микробиоты. Механизм индукции митофагии с помощью UA пока что не до конца известен, однако уже сейчас понятно, что он поддерживает функции митохондрий с помощью нескольких белков-регуляторов митофагии, например, AMPK, BECN1, PINK1, p62/SQSTM1 и т.д. UA может активировать SKN1 (гомолог NRF2 у нематоды C. elegans), что увеличивает продолжительность жизни и улучшает митохондриальный биогенез, сохраняющийпопуляцию и активность митохондрий. На нематодах было показано, что при длительном приеме UA активируется биогенез митохондрий, что, в свою очередь, приводит к улучшению подвижности, активности глоточных мышц и процессов дыхания, причем эти эффекты независимы от диеты и возраста [11]. На мышиных моделях были получены данные, что при длительном пероральном приеме уролитина A у молодых мышей повышается физическая выносливость, а у старых мышей увеличивается как сила, так и выносливость мышц. Эти результаты подчеркивают терапевтический потенциал уролитина A в улучшении функции мышечной системы и двигательной активности [126]. Исследования in vivo не выявили каких-либо токсических или специфических побочных эффектов [127], кроме того, UA хорошо переносится пожилыми людьми [128]. В 2018 г. FDA включило уролитин A в список безопасных пищевых добавок.
Другим природным активатором аутофагии, используемым в настоящее время в пищевых добавках для поддержания функции митохондрий, является спермидин, представляющий собой природный эндогенный полиамин, синтезируемый из диамина путресцина. Природными источниками спермидина являются злаковые, бобовые, соя, фундук, фисташки, а также некоторые фрукты и ягоды [129]. Молоко, яйца, а также мясо содержат спермидин в своем составе. Спермидину приписывают такие свойства, как замедление старения, кардиозащитное действие [130], улучшение когнитивных функций [131], защита от нейродегенеративных расстройств [132], при этом описанных механизмов его возможного влияния на аутофагию достаточно много. В одном исследовании говорится, что спермидин, аналогично куркумину и кверцетину, проявляет свойства эпигенетического регулятора и индуцирует аутофагию in vitro путем ингибирования гистонацетилтрансферазы p300 (EP300), которая подавляет функции нескольких белков аутофагии [133]. В стволовых клетках женской зародышевой линии (FGSC) спермидин вызывает аутофагию через ингибирование пути PI3K/Akt [134]. Спермидин приводил к усилению BECN1-зависимой аутофагии в фибробластах при индуцированном блеомицином идиопатическом легочном фиброзе у мышей [135].
Также показано, что добавки спермидина оказывают влияние на количество и морфологию митохондрий в сердце старых мышей путем стимулирования митофагии и митохондриального биогенеза [136]. На мышах было показано, что спермидин преодолевает гематоэнцефалический барьер и усиливает гипузинацию эукариотического фактора инициации трансляции 5A (eIF5A) в гиппокампе, улучшая функцию митохондрий. В этом же исследовании на модели старения дрозофилы спермидин повышает дыхательную способность митохондрий посредством регулятора аутофагии Atg7 и пути PINK1/Parkin [131].
Из-за большого числа эффектов спермидина на клеточный метаболизм способы действия данного вещества различаются в зависимости от типа клеток, органа или наличия какого-либо заболевания. Это, с одной стороны, может быть выгодным подходом при борьбе со старением, которое является сложным по своему механизму процессом. Однако отсутствие уникального механизма действия может представлять серьезные проблемы для применения данного соединения. Несмотря на то что безопасность применения спермидина для мышей и пожилых людей была показана с использованием растительного экстракта, богатого спермидином [132], другое исследование, где крысам давали добавки чистого спермидина, выявило несколько побочных эффектов данного вещества [137].
Учитывая перспективность спермидина при многих заболеваниях, подходом к преодолению ограничений применения спермидина является дизайн и синтез новых производных. Уже получены структурно родственные аналоги спермидина, которые в экспериментах на C. elegans способствуют увеличению продолжительности жизни и защите клеток от окислительного повреждения путем активации митофагии. В частности, соединение VL-004 (1,8-диаминооктан) обладает лучшей способностью вызывать митофагию, чем спермидин [138]. Неожиданным результатом исследования механизма действия VL-004 является открытие того, что функция данного соединения зависит от PINK1, но не зависит от PDR-1, ортолога Parkin у C. elegans. Авторы исследования предполагают, что вместо Parkin другая убиквитинлигаза E3 может действовать вместе с PINK1, вызывая митофагию.
Митохондриальная дисфункция характерна для многих нейродегенеративных заболеваний, таких как болезнь Паркинсона, а митофагия, опосредованная путем PRKN1/Parkin может служить терапевтическим вариантом лечения таких состояний. Было показано, что, помимо индивидуальных молекул, митофагию могут активировать пробиотики, облегчая симптомы нейродегенеративных заболеваний. В результате скрининга 49 пробиотических штаммов были обнаружены два пробиотика, Saccharomyces boulardii и Lactococcus lactis, которые повышали рекрутирование Parkin в митохондрии, накопление фосфоубиквитина и деградацию митофузинов [139].
В качестве агентов для активации митофагии с целью борьбы с болезнью Паркинсона также были описаны лактат и пируват, способные к кратковременному закислению цитозоля [140]. Инкубация клеток SH-SY5Y или первичных нейронов и астроцитов с данными веществами приводила к активации митофагии после обработки MPP+ (1-метил-4-фенилпиридиний), способствующей восстановлению функции митохондрий и защите этих клеток от апоптотической и некротической гибели. В исследовании не установлен точный механизм активации митофагии, однако высказано предположение, что это может происходить не только PINK1/Parkin-зависимым путем, но и через убиквитин-независимые пути, например, в результате окислительного стресса при болезни Паркинсона.
Другим активным соединением, оказывающим защитный нейропротекторный эффект при болезни Паркинсона путем индукции митофагии, является цистанозид А (СА), фенилэтаноид, выделенный из Цистанхе пустынное (Cistanche deserticola). Точный механизм действия не установлен, однако предположительным вариантом является активация пути PINK1/Parkin/p62, ведущего к деградации поврежденных митохондрий и уменьшению окислительного стресса [141].
Потенциалом к улучшению качества митохондрий путем активации митофагии обладает никотинамид (NAM), одобренная FDA добавка к пище. NAM вызывает снижение митохондриального дыхания и продукции АФК в первичных фибробластах человека и продлевает срок их репликативной жизни. NAM в клетках превращается в NAD+ (никотинамидадениндинуклеотид) при участии никотинамидфосфорибозилтрансферазы (Nampt). Возможный механизм связан либо с увеличением активности GAPDH, что, в свою очередь, стимулирует активацию ATG12, либо с активацией SIRT1 [142].
Восстановление функции митохондрий путем активации митофагии также является подходом к лечению саркопении, синдрома возрастной потери мышечной массы и силы. В качестве вещества, обладающего таким потенциалом, описана линолевая кислота, которая значительно уменьшала саркопению у C. elegans, восстанавливая функцию митохондрий, стимулируя митофагию и борясь с окислительным стрессом. Механизм действия связан с увеличением экспрессии гена pink1 [143].
Другим активатором PINK1/Parkin-зависимой митофагии является L-карнитин, поддерживающий митохондриальную функцию и нормальное состояние микрососудов сердца. Описанным механизмом действия L-карнитина является снижениепротеазной активности митохондриальной внутримембранной расщепляющей протеазы PARL (cвязанный с пресенилинами ромбовидный белок), посредством которой расщепляется PINK1, путем усиления взаимодействия между PHB2 (Прогибитин-2) и PARL [144].
Таким образом, среди природных соединений идентифицировано большое количество активаторов аутофагии и митофагии, которые обладают широким спектром механизмов действия, которые в большинстве случаев не ограничиваются влиянием на одну мишень (рис. 8), а распространяются на многие белки-регуляторы аутофагии. Помимо того, что большинство из описанных природных молекул-активаторов митофагии влияют на путь PINK/Parkin, они также усиливают аутофагию посредством активации AMPK и SIRT1 или же путем ингибирования mTOR.
Рис. 8. Механизм действия природных активаторов митофагии. Зеленым изображены нормальные митохондрии, красным – митохондрии с нарушениями в работе. Ub – убиквитинирование, Р – активирующее фосфорилирование. Зеленые стрелки показывают активирующее взаимодействие. Красная линия показывает ингибирующее мишень взаимодействие. Черные стрелки используются для отражения последовательности стадий в процессе митофагии, а также для отражения мишени действия веществ
Резюмирующие данные по активаторам аутофагии и митофагии с описанием структуры, краткого механизма и источников приведены в таблице.
Таблица. Природные активаторы ауто- и митофагии
Название | Структура | Механизм | Источник | Ссылки на исследования |
Активаторы аутофагии | ||||
Ресвератрол | разрушение комплекса BECN1–Bcl-2; подавление пути PI3K/Akt/mTOR и активация AMPK | красный виноград, черника, голубика, клюква, брусника, красная смородина, корни черной шелковицы, рейнутрия сахалинская и др. | [64–72] | |
Куркумин | подавление пути PI3K/Akt/mTOR | растения рода Curcuma | [73–85] | |
Кверцетин | ингибирование пути Akt/mTOR и воздействие на передачу сигналов, опосредованную HIF-1α; активация SIRT1 и AMPK | многие растения, фрукты, овощи и ягоды преимущественно красного цвета (красный лук, виноград, яблоки, томаты, любисток, каперсы, перец, вишня, черника и многое др.) | [86–89] | |
Изобакахалкон | ингибирование Akt и mTORC1;активация проаутофагических факторов транскрипции TFEB и TFE3 | дудник кейский и псоралея лещинолистная | [90] | |
Моррузин | воздействие на сеть mTOR-Sch9/p70S6K путем ингибирования фосфорилирования p70S6K | шелковица и другие растения семейства тутовых | [91] | |
Малберин | [91] | |||
Эриокаликсин B (EriB) | ингибирование Akt/mTOR/p70S6K | прутьевик | [92] | |
α-гедерин | семена черного тмина и листья плюща обыкновенного | [93] | ||
Омега-3 полиненасыщенные жирные кислоты (в частности, докозагексаеновая кислота) | рыба, семена чиа, льна, морские водоросли и микроводоросли | [94] | ||
Гваязулен | ингибирование Akt/mTOR | некоторые эфирные масла, в основном масла гваякового древа и ромашки, различные мягкие кораллы | [95–97] | |
Кофеин | ингибитор mTOR сигнального пути | листья чая, семена кофе, семена какао, орехи кола | [98–104] | |
Пуэрарин | регулирования протеасомной субъединицы бета 5 (prosbeta5) и сиртуина-1 (SIRT1) | пуэрария дольчатая | [105–106] | |
Пикропоподофиллин (PPP) | ингибирование рецептора инсулиноподобного фактора роста-1 (IGF1) | многолетнее травянистое растение семейства Berberidaceae, Podophyllum peltatum | [107] | |
Трегалоза | ингибирование глюкозных транспортеров | спорынья, водоросли, дрожжи, высшие грибы, лишайники, некоторые высшие растения, гемолимфа ряда червей и насекомых | [108–113] | |
Кальцитриол | индукция аутофагии через PI3K, ATG5 и BECN1 | вырабатывается в почках из холестерола | ||
Казинол С | активация АМРK | бруссонетия казиноки (Broussonetia kazinoki) | [118] | |
Комбинация феруловой кислоты и берберина | активация SIRT1 и AMPK | ферруловая кислота содержится повсеместно в высших растениях; берберин – в барбарисе (Berberis vulgaris), корнях коломба (Radix сolombo), коптисе китайском (Coptis chinensis) | [120] | |
Нарингин | активация SIRT1 и AMPK и стимулирование митохондриального биогенеза посредством регуляции сигналов LKB1/AMPK/PGC-1α | цитрусовые, особенно грейпфруты | ||
Диметоксихалкон (3,4-DC) | активация транскрипционных факторов TFEB и TFE3 | дудник кейский | [123] | |
Полисахарид сладкого чая STP-60a | гомогенный гетерополисахарид, состоящий из рамнозы, арабинозы, глюкозы, галактозы и глюкуроновой кислоты | активация факторов транскрипции FoxO/DAF-16, Nrf-2/SKN-1 и HSF-1 | Rubus Suavissmus S. Lee | [124] |
Активаторы митофагии | ||||
Уролитин A (UA) | влияние на множество белков-регуляторов аутофагии (AMPK, BECN1, PINK1, p62/SQSTM1, SKN1) | образуется в кишечнике в результате метаболизма эллаговой кислоты и эллаготанинов кишечной микрофлорой | ||
Cпермидин | ингибирование пути PI3K/Akt/mTOR; ингибирование EP300; активация пути PINK1/Parkin | злаковые, бобовые, соя, фундук, фисташки, а также некоторые фрукты и ягоды, молоко, яйца, а также мясо содержат спермидин в своем составе | [129–137] | |
Лактат | точный механизм не установлен; предположительно, активация аутофагии через убиквитин-независимые пути | лактат – продукт анаэробного метаболизма глюкозы (гликолиза), в ходе которого он образуется из пирувата под действием лактатдегидрогеназы | [140] | |
Пируват | [140] | |||
Цистанозид А (СА) | предположительно, активация пути PINK1/Parkin/p62 | цистанхе пустынное | [141] | |
Никотинамид (NAM) | активация ATG12 либо активация SIRT1 | содержится в таких продуктах питания, как печень, почки, мясо индейки, рыба (тунец, лосось), дрожжи, ржаной хлеб, гречка, фасоль и т.д. | [142] | |
Линолевая кислота | увеличение экспрессии гена pink-1 | растительные масла, такие как соевое, кукурузное, рапсовое | [143] | |
L-карнитин | снижение активности PARL, посредством которой расщепляется PINK1 | мясо, рыба, птица, молоко, сыр, творог | [144] | |
Коммерческие разработки природных активаторов аутофагии
Исследования в области аутофагии становятся все более и более популярным подходом к поиску веществ, способных замедлить старение, улучшить состояние здоровья в пожилом возрасте и отсрочить наступление различных возрастных патологий. Компании Amazentis, Longevity labs, Mimio Health, Nestlé Health Science выпускают биологически активные добавки, призванные активировать аутофагию в клетках, замедлить процесс старения и улучшить состояние организма.
Некоторые компании не акцентируют внимание покупателей на том, что их продукт способен модулировать аутофагию, однако используют ингредиенты, описанные в литературе как активаторы аутофагии. К примеру, можно отметить компанию Napa Hills, которая производит напитки с ресвератролом и другими антиоксидантами, которые помогают уменьшить воспаление, способствуют улучшению сердечно-сосудистой системы и предотвращению старения. Ресвератрол также входит в состав пищевых добавок, производимых компаниями Vinomis и Life Extension. Компания Taiyo является производителем изокверцитрина, предшественника кверцетина, который предоставляет антиоксидантную защиту клеток от окислительного стресса, а также может вызывать аутофагию. Jarrow Formulas использует кверцетин и другие ингредиенты в продуктах для поддержания функции митохондрий, a Zeus Hygia – биодоступную форму куркумина для восстановления работы мышц и суставов. Список компаний, использующих природные активаторы аутофагии в составе своей продукции, безусловно, не заканчивается на описанном выше, поскольку природные молекулы имеют широкий спектр действия и потенциал их применения не ограничен нацеливанием на аутофагию.
Начнем более подробное рассмотрение компаний с тех, кто использует природные активаторы аутофагии в своей продукции. Компания Amazentis, основанная в 2007 г. в Лозанне, Швейцария, использует ведущие современные исследования и клиническую науку для открытия и разработки добавок для увеличения продолжительности здоровой жизни. Компания нацелена на борьбу с дисфункциями митохондрий, которые происходят с возрастом. Началась история компании с ингредиента Mitopure™ (запатентованный высокочистый уролитин А). Несмотря на то что уролитин А может вырабатываться в организме человека под воздействием микрофлоры кишечника, микрофлора разных людей различается и выработка уролитина А может происходить с разной эффективностью. Поэтому команда Amazentis создала Mitopure, защищенный патентами (EP-3393467-B1, US-9994542-B2, US-10906883-B2 и др.), эффективность которого подтверждается несколькими клиническими исследованиями [145, 146]. Компания запатентовала способ синтеза уролитина А, а также использование композиций, содержащих данный ингредиент в пищевых добавках, продуктах питания и напитках. Mitopure вызывает митофагию и поддерживает улучшение функции митохондрий и мышечную силу. Используя свой ингредиент Mitopure, компания Timeline (дочерняя компания Amazentis) выпускает пищевые добавки, а также косметику против старения для лица.
Коммерциализацией уролитина А заинтересовалась компания Nestlé Health Science, которая приобрела долю в Amazentis и получила глобальные права на использование запатентованного ингредиента Mitopurе. Поэтому уролитин А в виде ингредиента Mitopure также входит в состав линейки добавок Celltrient Cellular Nutrition, выпускаемой компанией Nestlé Health Science.
Среди компаний, выпускающих биологически активные добавки для модулирования аутофагии, также стоит выделить австрийскую компанию Longevity Labs+, которая была основана в 2016 г., хотя ee история начинается шестью годами ранее, в 2010 г. Считающийся «первооткрывателем» спермидина, профессор доктор Франк Мадео в то время руководил исследовательской деятельностью в области полиамина спермидина в университете Граца. Об этом исследовании в 2016 г. узнали и заинтересовались доктор Джеральд Ситте и дипломированный инженер Герберт Пок, ставшие основателями компании. Они сразу же начали работать вместе с исследователями из Университета Граца над разработкой специального процесса экстракции, что привело к созданию дочерней компании Longevity Labs+. Компания выпускает добавки Spermidine LIFE, которые содержат 100%-ный натуральный и клинически протестированный спермидин из зародышей пшеницы. Компания запатентовала использование спермидина в пищевых и фармацевтических композициях для лечения заболеваний или нарушений, связанных с митохондриальной дисфункцией.
Несмотря то что Longevity Labs+ первой выпустила на рынок добавки со спермидином в 2019 г., в настоящий момент она не является единственной, использующей данное активное вещество. Американская компания Mimio Health также использует спермидин, как один из ингредиентов, который входит в состав запатентованной формулы, имитирующей голодание и предназначенной для активации естественной способности клеток к самоочищению, восстановлению и защите. Проведенное компанией клиническое исследование показало, что периодическое длительное голодание активирует действие нескольких биологически активных метаболитов (спермидин, 1-метилникотинамид, пальмитоилэтаноламид и олеоилэтаноламид), для которых была показана способность увеличивать среднюю продолжительность жизни C. elegans на целых 96% [5]. Указанные выше соединения вошли в состав выпускаемых компанией пищевых добавок. Говоря о механизме действия, данная смесь помогает активировать аутофагию посредством регуляции mTOR, Akt и переноса ацетила гистонов, а также стимулирования AMPK и SIRT1.
Несмотря на то что спермидин признан перспективным активатором аутофагии, его механизм действия может разниться в зависимости от типа клеток и типа заболевания. Сложный, до конца невыясненный механизм действия в совокупности с высокой активностью по отношению к активации аутофагии привели к идее получения более селективных аналогов спермидина. В настоящее время израильский стартап Vitalunga ведет активные исследования по получению и изучению его производных для получения клинических препаратов, усиливающих митофагию и аутофагию. Исследователи-основатели стартапа уже протестировали семейство структурно родственных соединений спермидина и показали, что молекула 1,8-диаминооктан (VL-004) превосходит спермидин по своей способности вызывать митофагию и защищать от окислительного стресса, способствуя увеличению продолжительности жизни C. elegans [138].
Исследования стартапа Vitalunga преследуют целью разработку препаратов для профилактики множественных заболеваний, связанных со старением, таких как болезни Альцгеймера и Паркинсона, сердечная недостаточность, саркопения и др.
Заключение
Аутофагия играет важную роль среди клеточных процессов, а ее дисфункция связана со многими заболеваниями человека. Нарушение процесса аутофагии может привести к развитию сердечно-сосудистых заболеваний, нейродегенеративных заболеваний, а также диабета, рака и других нарушений. Однако роль природных соединений для предотвращения данных заболеваний достаточно сложна ввиду плейотропного механизма их действия. Более того, в зависимости от концентрации, типа клеток или типа заболевания природные соединения могут оказывать не только активирующее действие на аутофагию, но и ингибирующее. Например, описанное в данном обзоре широко известное природное соединение ресвератрол активирует аутофагию по нескольким механизмам, а также вызывает апоптоз раковых клеток. Другим наглядным примером является соединение казинол С, для которого в низких концентрациях показана способность вызывать аутофагию, а в высоких – апоптоз. Использование многих природных соединений в пищевых добавках или фармацевтических препаратах ограничено из-за того, что механизм их действия не до конца понятен, а также из-за наличия побочных эффектов.
Несмотря на большое количество работ, посвященных природным активаторам аутофагии, актуальной задачей для будущих исследований остается установление точных мишеней, на которые воздействуют растительные активаторы аутофагии, а также поиск новых соединений, обладающих более направленным действием. Перспективным подходом к открытию новых природных активаторов аутофагии может стать более глубокое изучение новых растительных источников на предмет установления точных формул молекул, входящих в их состав и отвечающих за активацию аутофагии, а также изучение метаболитов, вырабатываемых микробиотой животных, устойчивых к длительному голоданию, поскольку голодание – одно из хорошо известных условий, способствующих активации аутофагии в организме.
Хочется отметить, что аутофагия интересна не только в контексте медицины, но и в качестве процесса, влияя на который можно достичь долголетия и отсрочить возрастные заболевания человека. Особенно в этом ключе интересны вещества, активирующие митофагию. Примечательно, что несколько компаний уже выпускают биологически активные добавки на основе природных веществ-активаторов митофагии уролитина А (Amazentis, Nestlé Health Science) и спермидина (Longevity labs, Mimio Health), призванных улучшить состояние клеток и замедлить старение. Необходимо подчеркнуть, что в настоящий момент компаний, занимающихся выпуском пищевых добавок на основе активаторов аутофагии, в России нет. Учитывая тот факт, что исследования активаторов аутофагии набирают все большую популярность в мире, число пищевых добавок или клинических препаратов на их основе будет только расти. Ввиду вышесказанного развитие данного направления в России имеет важное значение для создания нашей собственной индустрии функциональных пищевых добавок, направленных на увеличение продолжительности здоровой жизни и, как следствие, качества жизни людей.
Финансирование. Работа выполнена при финансовой поддержке компании ЭФКО.
Благодарности. Авторы благодарны коллективу лаборатории, а также академикам А.Г. Габибову и А.А. Макарову за обсуждение и дискуссии.
Конфликт интересов. Работа выполнена при финансовой поддержке компании ЭФКО.
Соблюдение этических норм. Настоящая статья не содержит описания каких-либо исследований с участием людей или животных в качестве объектов.
About the authors
J. A. Pavlova
Skolkovo Institute of Science and Technology; Belozersky Institute of Physico-Chemical Biology, Lomonosov Moscow State University; Lomonosov Moscow State University
Email: julidev@yandex.ru
Center of Life Sciences, Department of Chemistry
Russian Federation, 143025 Skolkovo; 119991 Moscow; 119991 MoscowE. A. Guseva
Skolkovo Institute of Science and Technology; Belozersky Institute of Physico-Chemical Biology, Lomonosov Moscow State University; Lomonosov Moscow State University
Email: julidev@yandex.ru
Center of Life Sciences, Department of Chemistry
Russian Federation, 143025 Skolkovo; 119991 Moscow; 119991 MoscowO. A. Dontsova
Skolkovo Institute of Science and Technology; Belozersky Institute of Physico-Chemical Biology, Lomonosov Moscow State University; Lomonosov Moscow State University; Shemyakin–Ovchinnikov Institute of Bioorganic Chemistry
Email: julidev@yandex.ru
Center of Life Sciences, Department of Chemistry
Russian Federation, 143025 Skolkovo; 119991 Moscow; 119991 Moscow; 117997 MoscowP. V. Sergiev
Skolkovo Institute of Science and Technology; Belozersky Institute of Physico-Chemical Biology, Lomonosov Moscow State University; Lomonosov Moscow State University
Author for correspondence.
Email: petya@genebee.msu.ru
Center of Life Sciences, Department of Chemistry, Institute of Functional Genomics
Russian Federation, 143025 Skolkovo; 119991 Moscow; 119991 MoscowReferences
- Shintani, T., and Klionsky, D. J. (2004) Autophagy in health and disease: a double-edged sword, Science, 306, 990-995, doi: 10.1126/science.1099993.
- Yang, Q., Wang, R., and Zhu, L. (2019) Chaperone-mediated autophagy, Adv. Exp. Med. Biol., 1206, 435-452, doi: 10.1007/978-981-15-0602-4_20.
- Khaminets, A., Behl, C., and Dikic, I. (2016) Ubiquitin-dependent and independent signals in selective autophagy, Trends Cell Biol., 26, 6-16, doi: 10.1016/j.tcb.2015.08.010.
- Kaizuka, T., Morishita, H., Hama, Y., Tsukamoto, S., Matsui, T., et al. (2016) An autophagic flux probe that releases an internal control, Mol. Cell, 64, 835-849, doi: 10.1016/j.molcel.2016.09.037.
- Rhodes, C. H., Zhu, C., Agus, J., Tang, X., Li, Q., et al. (2023) Human fasting modulates macrophage function and upregulates multiple bioactive metabolites that extend lifespan in Caenorhabditis elegans: a pilot clinical study, Am. J. Clin. Nutr., 117, 286-297, doi: 10.1016/j.ajcnut.2022.10.015.
- Madeo, F., Carmona-Gutierrez, D., Hofer, S. J., and Kroemer, G. (2019) Caloric restriction mimetics against age-associated disease: targets, mechanisms, and therapeutic potential, Cell Metab., 29, 592-610, doi: 10.1016/ j.cmet.2019.01.018.
- Mizushima, N., Yoshimori, T., and Levine, B. (2010) Methods in mammalian autophagy research, Cell, 140, 313-326, doi: 10.1016/j.cell.2010.01.028.
- Bravo-San Pedro, J. M., Kroemer, G., and Galluzzi, L. (2017) Autophagy and mitophagy in cardiovascular disease, Circ. Res., 120, 1812-1824, doi: 10.1161/CIRCRESAHA.117.311082.
- Georgakopoulos, N. D., Wells, G., and Campanella, M. (2017) The pharmacological regulation of cellular mitophagy, Nat. Chem. Biol., 13, 136-146, doi: 10.1038/nchembio.2287.
- Vaduganathan, M., Mensah, G. A., Turco, J. V., Fuster, V., and Roth, G. A. (2022) The global burden of cardiovascular diseases and risk, J. Am. Coll. Cardiol., 80, 2361-2371, doi: 10.1016/j.jacc.2022.11.005.
- Ryu, D., Mouchiroud, L., Andreux, P. A., Katsyuba, E., Moullan, N., et al. (2016) Urolithin A induces mitophagy and prolongs lifespan in C. elegans and increases muscle function in rodents, Nat. Med., 22, 879-888, doi: 10.1038/nm.4132.
- Andreux, P. A., Blanco-Bose, W., Ryu, D., Burdet, F., Ibberson, M., et al. (2019) The mitophagy activator urolithin A is safe and induces a molecular signature of improved mitochondrial and cellular health in humans, Nat. Metab., 1, 595-603, doi: 10.1038/s42255-019-0073-4.
- Yang, S., Liu, T., Hu, C., Li, W., Meng, Y., et al. (2022) Ginsenoside compound K protects against obesity through pharmacological targeting of glucocorticoid receptor to activate lipophagy and lipid metabolism, Pharmaceutics, 14, 1192, doi: 10.3390/pharmaceutics14061192.
- Lim, H., and Lee, M.-S. (2018) Amelioration of obesity-induced diabetes by a novel autophagy enhancer, CST, 2, 181-183, doi: 10.15698/cst2018.07.146.
- Minami, Y., Hoshino, A., Higuchi, Y., Hamaguchi, M., Kaneko, Y., et al. (2023) Liver lipophagy ameliorates nonalcoholic steatohepatitis through extracellular lipid secretion, Nat. Commun., 14, 4084, doi: 10.1038/s41467- 023-39404-6.
- Jung, J., Park, J., Kim, M., Ha, J., Cho, H., et al. (2023) SB2301-mediated perturbation of membrane composition in lipid droplets induces lipophagy and lipid droplets ubiquitination, Commun. Biol., 6, 300, doi: 10.1038/s42003-023-04682-9.
- Yerra, V. G., Kalvala, A. K., and Kumar, A. (2017) Isoliquiritigenin reduces oxidative damage and alleviates mitochondrial impairment by SIRT1 activation in experimental diabetic neuropathy, J. Nutr. Biochem., 47, 41-52, doi: 10.1016/j.jnutbio.2017.05.001.
- Campbell, G. R., and Spector, S. A. (2012) Vitamin D inhibits human immunodeficiency virus type 1 and Mycobacterium tuberculosis infection in macrophages through the induction of autophagy, PLoS Pathog., 8, e1002689, doi: 10.1371/journal.ppat.1002689.
- Liang, X. H., Jackson, S., Seaman, M., Brown, K., Kempkes, B., et al. (1999) Induction of autophagy and inhibition of tumorigenesis by beclin 1, Nature, 402, 672-676, doi: 10.1038/45257.
- Marinković, M., Šprung, M., Buljubašić, M., and Novak, I. (2018) Autophagy modulation in cancer: current knowledge on action and therapy, Oxid. Med. Cell. Longev., 2018, 8023821, doi: 10.1155/2018/8023821.
- Xie, Z., Lau, K., Eby, B., Lozano, P., He, C., et al. (2011) Improvement of cardiac functions by chronic metformin treatment is associated with enhanced cardiac autophagy in diabetic OVE26 mice, Diabetes, 60, 1770-1778, doi: 10.2337/db10-0351.
- Wang, B., Yang, Q., Sun, Y., Xing, Y., Wang, Y., et al. (2014) Resveratrol-enhanced autophagic flux ameliorates myocardial oxidative stress injury in diabetic mice, J. Cell. Mol. Med., 18, 1599-1611, doi: 10.1111/jcmm.12312.
- Pierzynowska, K., Gaffke, L., Cyske, Z., Puchalski, M., Rintz, E., et al. (2018) Autophagy stimulation as a promising approach in treatment of neurodegenerative diseases, Metab. Brain. Dis., 33, 989-1008, doi: 10.1007/s11011-018-0214-6.
- Гусева, Е. А., Павлова, Ю. А., Донцова, О. А. и Сергиев, П. В. (2024) Синтетические активаторы аутофагии, Биохимия, 89, 33-60, doi: 10.31857/S0320972524010027.
- Li, X., Feng, Y., Wang, X.-X., Truong, D., and Wu, Y.-C. (2020) The critical role of SIRT1 in Parkinson’s disease: mechanism and therapeutic considerations, Aging Dis., 11, 1608-1622, doi: 10.14336/AD.2020.0216.
- Palmieri, M., Pal, R., Nelvagal, H. R., Lotfi, P., Stinnett, G. R., et al. (2017) mTORC1-independent TFEB activation via Akt inhibition promotes cellular clearance in neurodegenerative storage diseases, Nat. Commun., 8, 14338, doi: 10.1038/ncomms14338.
- Feldman, M. E., Apsel, B., Uotila, A., Loewith, R., Knight, Z. A., et al. (2009) Active-site inhibitors of mTOR target rapamycin-resistant outputs of mTORC1 and mTORC2, PLoS Biol., 7, e38, doi: 10.1371/journal.pbio.1000038.
- He, C., and Klionsky, D. J. (2009) Regulation mechanisms and signaling pathways of autophagy, Annu. Rev. Genet., 43, 67-93, doi: 10.1146/annurev-genet-102808-114910.
- Kimura, S., Noda, T., and Yoshimori, T. (2007) Dissection of the autophagosome maturation process by a novel reporter protein, tandem fluorescent-tagged LC3, Autophagy, 3, 452-460, doi: 10.4161/auto.4451.
- Bjørkøy, G., Lamark, T., Brech, A., Outzen, H., Perander, M., et al. (2005) p62/SQSTM1 forms protein aggregates degraded by autophagy and has a protective effect on huntingtin-induced cell death, J. Cell. Biol., 171, 603-614, doi: 10.1083/jcb.200507002.
- Guan, Y., Wang, Y., Li, B., Shen, K., Li, Q., et al. (2021) Mitophagy in carcinogenesis, drug resistance and anticancer therapeutics, Cancer Cell Int., 21, 350, doi: 10.1186/s12935-021-02065-w.
- Yang, Y., Li, T., Li, Z., Liu, N., Yan, Y., et al. (2020) Role of mitophagy in cardiovascular disease, Aging dis., 11, 419, doi: 10.14336/AD.2019.0518.
- Jetto, C. T., Nambiar, A., and Manjithaya, R. (2022) Mitophagy and neurodegeneration: between the knowns and the unknowns, Front. Cell Dev. Biol., 10, 837337, doi: 10.3389/fcell.2022.837337.
- Ma, X., McKeen, T., Zhang, J., and Ding, W.-X. (2020) Role and mechanisms of mitophagy in liver diseases, Cells, 9, 837, doi: 10.3390/cells9040837.
- Ke, P.-Y. (2020) Mitophagy in the pathogenesis of liver diseases, Cells, 9, 831, doi: 10.3390/cells9040831.
- Liu, H., Dai, C., Fan, Y., Guo, B., Ren, K., Tangna Sun, T., and Wang W. (2017) From autophagy to mitophagy: the roles of P62 in neurodegenerative diseases, J. Bioenerg. Biomembr., 49, 413-422, doi: 10.1007/s10863-017-9727-7.
- Zheng, M., Bai, Y., Sun, X., Fu, R., Liu, L., et al. (2022) Resveratrol reestablishes mitochondrial quality control in myocardial ischemia/reperfusion injury through Sirt1/Sirt3-Mfn2-Parkin-PGC-1α pathway, Molecules, 27, 5545, doi: 10.3390/molecules27175545.
- McLelland, G.-L., Goiran, T., Yi, W., Dorval, G., Chen, C. X., et al. (2018) Mfn2 ubiquitination by PINK1/parkin gates the p97-dependent release of ER from mitochondria to drive mitophagy, eLife, 7, e32866, doi: 10.7554/eLife.32866.
- Kopustinskiene, D. M., Jakstas, V., Savickas, A., and Bernatoniene, J. (2020) Flavonoids as anticancer agents, Nutrients, 12, E457, doi: 10.3390/nu12020457.
- Rodríguez-García, C., Sánchez-Quesada, C., and Gaforio, J. J. (2019) Dietary flavonoids as cancer chemopreventive agents: an updated review of human studies, Antioxidants (Basel), 8, E137, doi: 10.3390/antiox8050137.
- Serra, D., Almeida, L. M., and Dinis, T. C. P. (2020) Polyphenols in the management of brain disorders: Modulation of the microbiota-gut-brain axis, Adv. Food. Nutr. Res., 91, 1-27, doi: 10.1016/bs.afnr.2019.08.001.
- Shabbir, U., Rubab, M., Daliri, E. B.-M., Chelliah, R., Javed, A., et al. (2021) Curcumin, quercetin, catechins and metabolic diseases: the role of gut microbiota, Nutrients, 13, 206, doi: 10.3390/nu13010206.
- Benvenuto, M., Albonici, L., Focaccetti, C., Ciuffa, S., Fazi, S., et al. (2020) Polyphenol-mediated autophagy in cancer: evidence of in vitro and in vivo studies, Int. J. Mol. Sci., 21, E6635, doi: 10.3390/ijms21186635.
- Deng, S., Shanmugam, M. K., Kumar, A. P., Yap, C. T., Sethi, G., et al. (2019) Targeting autophagy using natural compounds for cancer prevention and therapy, Cancer, 125, 1228-1246, doi: 10.1002/cncr.31978.
- García-Aguilar, A., Palomino, O., Benito, M., and Guillén, C. (2021) Dietary polyphenols in metabolic and neurodegenerative diseases: molecular targets in autophagy and biological effects, Antioxidants (Basel), 10, 142, doi: 10.3390/antiox10020142.
- Lewandowska, H., Kalinowska, M., Lewandowski, W., Stępkowski, T. M., and Brzóska, K. (2016) The role of natural polyphenols in cell signaling and cytoprotection against cancer development, J. Nutr. Biochem., 32, 1-19, doi: 10.1016/j.jnutbio.2015.11.006.
- Moosavi, M. A., Haghi, A., Rahmati, M., Taniguchi, H., Mocan, A., et al. (2018) Phytochemicals as potent modulators of autophagy for cancer therapy, Cancer Lett., 424, 46-69, doi: 10.1016/j.canlet.2018.02.030.
- Pang, X., Zhang, X., Jiang, Y., Su, Q., Li, Q., et al. (2021) Autophagy: mechanisms and therapeutic potential of flavonoids in cancer, Biomolecules, 11, 135, doi: 10.3390/biom11020135.
- Patra, S., Pradhan, B., Nayak, R., Behera, C., Panda, K. C., et al. (2021) Apoptosis and autophagy modulating dietary phytochemicals in cancer therapeutics: Current evidences and future perspectives, Phytother Res., 35, 4194-4214, doi: 10.1002/ptr.7082.
- Zhao, Y., Hu, X., Zuo, X., and Wang, M. (2018) Chemopreventive effects of some popular phytochemicals on human colon cancer: a review, Food Funct., 9, 4548-4568, doi: 10.1039/C8FO00850G.
- Espín, J. C., Larrosa, M., García-Conesa, M. T., and Tomás-Barberán, F. (2013) Biological significance of urolithins, the gut microbial ellagic acid-derived metabolites: the evidence so far, Evid. Based Complement Alternat. Med., 2013, 270418, doi: 10.1155/2013/270418.
- Sallam, I. E., Abdelwareth, A., Attia, H., Aziz, R. K., Homsi, M. N., von Bergen, M., and Farag, M. A. (2021) Effect of gut microbiota biotransformation on dietary tannins and human health implications, Microorganisms, 9, 965, doi: 10.3390/microorganisms9050965.
- Beltrán, D., Romo-Vaquero, M., Espín, J. C., Tomás-Barberán, F. A., and Selma, M. V. (2018) Ellagibacter isourolithinifaciens gen. nov., sp. nov., a new member of the family Eggerthellaceae, isolated from human gut, Int. J. Syst. Evol. Microbiol., 68, 1707-1712, doi: 10.1099/ijsem.0.002735.
- Selma, M. V., Beltrán, D., García-Villalba, R., Espín, J. C., and Tomás-Barberán, F. A. (2014) Description of urolithin production capacity from ellagic acid of two human intestinal Gordonibacter species, Food Funct., 5, 1779-1784, doi: 10.1039/C4FO00092G.
- Tomás-Barberán, F. A., García-Villalba, R., González-Sarrías, A., Selma, M. V., and Espín, J. C. (2014) Ellagic acid metabolism by human gut microbiota: consistent observation of three urolithin phenotypes in intervention trials, independent of food source, age, and health status, J. Agric. Food. Chem., 62, 6535-6538, doi: 10.1021/jf5024615.
- Rafii, F. (2015) The role of colonic bacteria in the metabolism of the natural isoflavone daidzin to equol, Metabolites, 5, 56-73, doi: 10.3390/metabo5010056.
- Stevens, J. F., and Maier, C. S. (2016) The chemistry of gut microbial metabolism of polyphenols, Phytochem. Rev., 15, 425-444, doi: 10.1007/s11101-016-9459-z.
- Kurtz, C. C., Otis, J. P., Regan, M. D., and Carey, H. V. (2021) How the gut and liver hibernate, Comp. Biochem. Physiol. A Mol. Integr. Physiol., 253, 110875, doi: 10.1016/j.cbpa.2020.110875.
- Martens, E. C., Chiang, H. C., and Gordon, J. I. (2008) Mucosal glycan foraging enhances fitness and transmission of a saccharolytic human gut bacterial symbiont, Cell Host Microbe, 4, 447-457, doi: 10.1016/j.chom.2008.09.007.
- Sonnenburg, J. L., Xu, J., Leip, D. D., Chen, C.-H., Westover, B. P., et al. (2005) Glycan foraging in vivo by an intestine-adapted bacterial symbiont, Science, 307, 1955-1959, doi: 10.1126/science.1109051.
- Bergman, E. N. (1990) Energy contributions of volatile fatty acids from the gastrointestinal tract in various species, Physiol. Rev., 70, 567-590, doi: 10.1152/physrev.1990.70.2.567.
- Iannucci, L. F., Sun, J., Singh, B. K., Zhou, J., Kaddai, V. A., Lanni, A., Yen, P. M., and Sinha, R. A. (2016) Short chain fatty acids induce UCP2-mediated autophagy in hepatic cells, Biochem. Biophys. Res. Commun., 480, 461-467, doi: 10.1016/j.bbrc.2016.10.072.
- Russo, M., and Russo, G. L. (2018) Autophagy inducers in cancer, Biochem. Pharmacol., 153, 51-61, doi: 10.1016/ j.bcp.2018.02.007.
- Scarlatti, F., Maffei, R., Beau, I., Codogno, P., and Ghidoni, R. (2008) Role of non-canonical Beclin 1-independent autophagy in cell death induced by resveratrol in human breast cancer cells, Cell Death Differ., 15, 1318-1329, doi: 10.1038/cdd.2008.51.
- Cai, H., Scott, E., Kholghi, A., Andreadi, C., Rufini, A., et al. (2015) Cancer chemoprevention: evidence of a nonlinear dose response for the protective effects of resveratrol in humans and mice, Sci. Transl. Med., 7, 298ra117, doi: 10.1126/scitranslmed.aaa7619.
- Ferraresi, A., Titone, R., Follo, C., Castiglioni, A., Chiorino, G., et al. (2017) The protein restriction mimetic Resveratrol is an autophagy inducer stronger than amino acid starvation in ovarian cancer cells, Mol. Carcinog., 56, 2681-2691, doi: 10.1002/mc.22711.
- Tang, Q., Li, G., Wei, X., Zhang, J., Chiu, J.-F., et al. (2013) Resveratrol-induced apoptosis is enhanced by inhibition of autophagy in esophageal squamous cell carcinoma, Cancer. Lett., 336, 325-337, doi: 10.1016/j.canlet.2013.03.023.
- Fukuda, T., Oda, K., Wada-Hiraike, O., Sone, K., Inaba, K., et al. (2016) Autophagy inhibition augments resveratrol-induced apoptosis in Ishikawa endometrial cancer cells, Oncol. Lett., 12, 2560-2566, doi: 10.3892/ol.2016.4978.
- Wang, J., Li, J., Cao, N., Li, Z., Han, J., et al. (2018) Resveratrol, an activator of SIRT1, induces protective autophagy in non-small-cell lung cancer via inhibiting Akt/mTOR and activating p38-MAPK, Onco Targets Ther., 11, 7777-7786, doi: 10.2147/OTT.S159095.
- Bode, L. M., Bunzel, D., Huch, M., Cho, G.-S., Ruhland, D., et al. (2013) In vivo and in vitro metabolism of trans-resveratrol by human gut microbiota, Am. J. Clin. Nutr., 97, 295-309, doi: 10.3945/ajcn.112.049379.
- Jarosova, V., Vesely, O., Marsik, P., Jaimes, J. D., Smejkal, K., et al. (2019) Metabolism of stilbenoids by human faecal microbiota, Molecules, 24, E1155, doi: 10.3390/molecules24061155.
- Luca, S. V., Macovei, I., Bujor, A., Miron, A., Skalicka-Woźniak, K., et al. (2020) Bioactivity of dietary polyphenols: the role of metabolites, Crit. Rev. Food. Sci. Nutr., 60, 626-659, doi: 10.1080/10408398.2018.1546669.
- Kasi, P. D., Tamilselvam, R., Skalicka-Woźniak, K., Nabavi, S. F., Daglia, M., et al. (2016) Molecular targets of curcumin for cancer therapy: an updated review, Tumour Biol., 37, 13017-13028, doi: 10.1007/s13277-016-5183-y.
- Fu, H., Wang, C., Yang, D., Wei, Z., Xu, J., et al. (2018) Curcumin regulates proliferation, autophagy, and apoptosis in gastric cancer cells by affecting PI3K and P53 signaling, J. Cell. Physiol., 233, 4634-4642, doi: 10.1002/jcp.26190.
- Yang, C., Ma, X., Wang, Z., Zeng, X., Hu, Z., et al. (2017) Curcumin induces apoptosis and protective autophagy in castration-resistant prostate cancer cells through iron chelation, Drug Des. Devel. Ther., 11, 431-439, doi: 10.2147/DDDT.S126964.
- Xu, Y., Wu, Y., Wang, L., Qian, C., Wang, Q., et al. (2020) Identification of curcumin as a novel natural inhibitor of rDNA transcription, Cell Cycle, 19, 3362-3374, doi: 10.1080/15384101.2020.1843817.
- Xiao, K., Jiang, J., Guan, C., Dong, C., Wang, G., et al. (2013) Curcumin induces autophagy via activating the AMPK signaling pathway in lung adenocarcinoma cells, J. Pharmacol. Sci., 123, 102-109, doi: 10.1254/jphs.13085FP.
- Bi, Y., Shen, C., Li, C., Liu, Y., Gao, D., et al. (2016) Inhibition of autophagy induced by quercetin at a late stage enhances cytotoxic effects on glioma cells, Tumour. Biol., 37, 3549-3560, doi: 10.1007/s13277-015-4125-4.
- Heger, M., van Golen, R. F., Broekgaarden, M., and Michel, M. C. (2014) The molecular basis for the pharmacokinetics and pharmacodynamics of curcumin and its metabolites in relation to cancer, Pharmacol. Rev., 66, 222-307, doi: 10.1124/pr.110.004044.
- Jabczyk, M., Nowak, J., Hudzik, B., and Zubelewicz-Szkodzińska, B. (2021) Curcumin and its potential impact on microbiota, Nutrients, 13, 2004, doi: 10.3390/nu13062004.
- Scazzocchio, B., Minghetti, L., and D’Archivio, M. (2020) Interaction between gut microbiota and curcumin: a new key of understanding for the health effects of curcumin, Nutrients, 12, 2499, doi: 10.3390/nu12092499.
- Shen, L., and Ji, H.-F. (2019) Bidirectional interactions between dietary curcumin and gut microbiota, Crit. Rev. Food Sci. Nutr., 59, 2896-2902, doi: 10.1080/10408398.2018.1478388.
- Zam, W. (2018) Gut microbiota as a prospective therapeutic target for curcumin: a review of mutual influence, J. Nutr. Metab., 2018, 1367984, doi: 10.1155/2018/1367984.
- Song, G., Lu, H., Chen, F., Wang, Y., Fan, W., et al. (2018) Tetrahydrocurcumin-induced autophagy via suppression of PI3K/Akt/mTOR in nonsmall cell lung carcinoma cells, Mol. Med. Rep., 17, 5964-5969, doi: 10.3892/mmr.2018.8600.
- Wu, J.-C., Lai, C.-S., Badmaev, V., Nagabhushanam, K., Ho, C.-T., et al. (2011) Tetrahydrocurcumin, a major metabolite of curcumin, induced autophagic cell death through coordinative modulation of PI3K/Akt-mTOR and MAPK signaling pathways in human leukemia HL-60 cells, Mol. Nutr. Food Res., 55, 1646-1654, doi: 10.1002/mnfr.201100454.
- Russo, M., Milito, A., Spagnuolo, C., Carbone, V., Rosén, A., et al. (2017) CK2 and PI3K are direct molecular targets of quercetin in chronic lymphocytic leukaemia, Oncotarget, 8, 42571-42587, doi: 10.18632/oncotarget.17246.
- Wang, K., Liu, R., Li, J., Mao, J., Lei, Y., et al. (2011) Quercetin induces protective autophagy in gastric cancer cells: involvement of Akt-mTOR- and hypoxia-induced factor 1α-mediated signaling, Autophagy, 7, 966-978, doi: 10.4161/auto.7.9.15863.
- Moon, J.-H., Eo, S. K., Lee, J. H., and Park, S.-Y. (2015) Quercetin-induced autophagy flux enhances TRAIL-mediated tumor cell death, Oncol. Rep., 34, 375-381, doi: 10.3892/or.2015.3991.
- Guo, H., Ding, H., Tang, X., Liang, M., Li, S., et al. (2021) Quercetin induces pro-apoptotic autophagy via SIRT1/AMPK signaling pathway in human lung cancer cell lines A549 and H1299 in vitro, Thoracic. Cancer, 12, 1415-1422, doi: 10.1111/1759-7714.13925.
- Wu, Q., Tian, A.-L., Durand, S., Aprahamian, F., Nirmalathasan, N., et al. (2020) Isobacachalcone induces autophagy and improves the outcome of immunogenic chemotherapy, Cell Death Dis., 11, 1015, doi: 10.1038/s41419-020-03226-x.
- Xu, P., Chen, Q., Chen, X., Qi, H., Yang, Y., et al. (2023) Morusin and mulberrin extend the lifespans of yeast and C. elegans via suppressing nutrient-sensing pathways, GeroScience, 45, 949-964, doi: 10.1007/s11357-022-00693-2.
- Zhou, X., Yue, G. G.-L., Chan, A. M.-L., Tsui, S. K.-W., Fung, K.-P., et al. (2017) Eriocalyxin B, a novel autophagy inducer, exerts anti-tumor activity through the suppression of Akt/mTOR/p70S6K signaling pathway in breast cancer, Biochem. Pharmacol., 142, 58-70, doi: 10.1016/j.bcp.2017.06.133.
- Sun, J., Feng, Y., Wang, Y., Ji, Q., Cai, G., et al. (2019) α-Hederin induces autophagic cell death in colorectal cancer cells through reactive oxygen species dependent AMPK/mTOR signaling pathway activation, Int. J. Oncol., 54, 1601-1612, doi: 10.3892/ijo.2019.4757.
- Shin, S., Jing, K., Jeong, S., Kim, N., Song, K.-S., et al. (2013) The omega-3 polyunsaturated fatty acid DHA induces simultaneous apoptosis and autophagy via mitochondrial ROS-mediated Akt-mTOR signaling in prostate cancer cells expressing mutant p53, Biomed. Res. Int., 2013, 568671, doi: 10.1155/2013/568671.
- Prajapat, S. K., Subramani, C., Sharma, P., Vrati, S., and Kalia, M. (2022) Avobenzone, Guaiazulene and Tioxolone identified as potent autophagy inducers in a high-throughput image based screen for autophagy flux, Autophagy Rep., 1, 523-536, doi: 10.1080/27694127.2022.2132075.
- Ortiz, M. I., Fernández-Martínez, E., Soria-Jasso, L. E., Lucas-Gómez, I., Villagómez-Ibarra, R., et al. (2016) Isolation, identification and molecular docking as cyclooxygenase (COX) inhibitors of the main constituents of Matricaria chamomilla L. extract and its synergistic interaction with diclofenac on nociception and gastric damage in rats, Biomed. Pharmacother., 78, 248-256, doi: 10.1016/j.biopha.2016.01.029.
- Ye, Q., Zhou, L., Jin, P., Li, L., Zheng, S., et al. (2021) Guaiazulene triggers ROS-induced apoptosis and protective autophagy in non-small cell lung cancer, Front. Pharmacol., 12, 621181, doi: 10.3389/fphar.2021.621181.
- Reinke, A., Chen, J. C.-Y., Aronova, S., and Powers, T. (2006) Caffeine targets TOR complex I and provides evidence for a regulatory link between the FRB and kinase domains of Tor1p, J. Biol. Chem., 281, 31616-31626, doi: 10.1074/jbc.M603107200.
- Saiki, S., Sasazawa, Y., Imamichi, Y., Kawajiri, S., Fujimaki, T., et al. (2011) Caffeine induces apoptosis by enhancement of autophagy via PI3K/Akt/mTOR/p70S6K inhibition, Autophagy, 7, 176-187, doi: 10.4161/auto.7.2.14074.
- Wanke, V., Cameroni, E., Uotila, A., Piccolis, M., Urban, J., et al. (2008) Caffeine extends yeast lifespan by targeting TORC1, Mol. Microbiol., 69, 277-285, doi: 10.1111/j.1365-2958.2008.06292.x.
- Sinha, R. A., Farah, B. L., Singh, B. K., Siddique, M. M., Li, Y., et al. (2014) Caffeine stimulates hepatic lipid metabolism by the autophagy-lysosomal pathway in mice, Hepatology, 59, 1366-1380, doi: 10.1002/hep.26667.
- Moon, J.-H., Lee, J.-H., Park, J.-Y., Kim, S.-W., Lee, Y.-J., et al. (2014) Caffeine prevents human prion protein-mediated neurotoxicity through the induction of autophagy, Int. J. Mol. Med., 34, 553-558, doi: 10.3892/ijmm.2014.1814.
- Pietrocola, F., Malik, S. A., Mariño, G., Vacchelli, E., Senovilla, L., et al. (2014) Coffee induces autophagy in vivo, Cell Cycle, 13, 1987-1994, doi: 10.4161/cc.28929.
- Freedman, N. D., Park, Y., Abnet, C. C., Hollenbeck, A. R., and Sinha, R. (2012) Association of coffee drinking with total and cause-specific mortality, N. Engl. J. Med., 366, 1891-1904, doi: 10.1056/NEJMoa1112010.
- Sun, C., Zhang, J., Hou, J., Hui, M., Qi, H., et al. (2023) Induction of autophagy via the PI3K/Akt/mTOR signaling pathway by Pueraria flavonoids improves non-alcoholic fatty liver disease in obese mice, Biomed. Pharmacother., 157, 114005, doi: 10.1016/j.biopha.2022.114005.
- Kang, A.-W., Sun, C., Li, H.-T., Zhong, K., Zeng, X.-H., et al. (2023) Puerarin extends the lifespan of Drosophila melanogaster by activating autophagy, Food Funct., 14, 2149-2161, doi: 10.1039/D2FO02800J.
- Wu, Q., Tian, A.-L., Li, B., Leduc, M., Forveille, S., et al. (2021) IGF1 receptor inhibition amplifies the effects of cancer drugs by autophagy and immune-dependent mechanisms, J. Immunother. Cancer, 9, e002722, doi: 10.1136/ jitc-2021-002722.
- Honma, Y., Sato-Morita, M., Katsuki, Y., Mihara, H., Baba, R., et al. (2018) Trehalose activates autophagy and decreases proteasome inhibitor-induced endoplasmic reticulum stress and oxidative stress-mediated cytotoxicity in hepatocytes, Hepatol. Res., 48, 94-105, doi: 10.1111/hepr.12892.
- Meier, J. L., and Grose, C. (2017) Variable effects of autophagy induction by trehalose on herpesviruses depending on conditions of infection, Yale J. Biol. Med., 90, 25-33.
- Chen, X., Li, M., Li, L., Xu, S., Huang, D., et al. (2016) Trehalose, sucrose and raffinose are novel activators of autophagy in human keratinocytes through an mTOR-independent pathway, Sci. Rep., 6, 28423, doi: 10.1038/srep28423.
- He, Q., Koprich, J. B., Wang, Y., Yu, W., Xiao, B., et al. (2016) Treatment with trehalose prevents behavioral and neurochemical deficits produced in an AAV α-synuclein rat model of Parkinson’s disease, Mol. Neurobiol., 53, 2258-2268, doi: 10.1007/s12035-015-9173-7.
- Krüger, U., Wang, Y., Kumar, S., and Mandelkow, E.-M. (2012) Autophagic degradation of tau in primary neurons and its enhancement by trehalose, Neurobiol. Aging, 33, 2291-2305, doi: 10.1016/j.neurobiolaging.2011.11.009.
- Aguib, Y., Heiseke, A., Gilch, S., Riemer, C., Baier, M., et al. (2009) Autophagy induction by trehalose counteracts cellular prion infection, Autophagy, 5, 361-369, doi: 10.4161/auto.5.3.7662.
- Wada, S., Kubota, Y., Sawa, R., Umekita, M., Hatano, M., et al. (2015) Novel autophagy inducers lentztrehaloses A, B and C, J. Antibiot. (Tokyo), 68, 521-529, doi: 10.1038/ja.2015.23.
- Campbell, G. R., and Spector, S. A. (2011) Hormonally active vitamin D3 (1alpha,25-dihydroxycholecalciferol) triggers autophagy in human macrophages that inhibits HIV-1 infection, J. Biol. Chem., 286, 18890-18902, doi: 10.1074/jbc.M110.206110.
- Høyer-Hansen, M., Bastholm, L., Mathiasen, I. S., Elling, F., and Jäättelä, M. (2005) Vitamin D analog EB1089 triggers dramatic lysosomal changes and Beclin-1 mediated autophagic cell death, Cell Death Differ., 12, 1297-1309, doi: 10.1038/sj.cdd.4401651.
- Høyer-Hansen, M., Nordbrandt, S. P. S., and Jäättelä, M. (2010) Autophagy as a basis for the health-promoting effects of vitamin D, Trends Mol. Med., 16, 295-302, doi: 10.1016/j.molmed.2010.04.005.
- Lee, Y., Kwon, J., Jeong, J. H., Ryu, J.-H., and Kim, K. I. (2022) Kazinol C from Broussonetia kazinoki stimulates autophagy via endoplasmic reticulum stress-mediated signaling, Anim. Cells Syst., 26, 28-36, doi: 10.1080/ 19768354.2021.2023628.
- Lan, F., Cacicedo, J. M., Ruderman, N., and Ido, Y. (2008) SIRT1 modulation of the acetylation status, cytosolic localization, and activity of LKB1, J. Biol. Chem., 283, 27628-27635, doi: 10.1074/jbc.M805711200.
- DiNicolantonio, J. J., McCarty, M. F., Assanga, S. I., Lujan, L. L., and O’Keefe, J. H. (2022) Ferulic acid and berberine, via Sirt1 and AMPK, may act as cell cleansing promoters of healthy longevity, Open Heart, 9, e001801, doi: 10.1136/openhrt-2021-001801.
- Guo, P., Wang, P., Liu, L., Wang, P., Lin, G., et al. (2023) Naringin alleviates glucose-induced aging by reducing fat accumulation and promoting autophagy in Caenorhabditis elegans, Nutrients, 15, 907, doi: 10.3390/nu15040907.
- Salama, A. A. A., Yassen, N. N., and Mansour, H. M. (2023) Naringin protects mice from D-galactose-induced lung aging and mitochondrial dysfunction: implication of SIRT1 pathways, Life Sci., 324, 121471, doi: 10.1016/j.lfs.2023.121471.
- Kepp, O., Chen, G., Carmona-Gutierrez, D., Madeo, F., and Kroemer, G. (2020) A discovery platform for the identification of caloric restriction mimetics with broad health-improving effects, Autophagy, 16, 188-189, doi: 10.1080/ 15548627.2019.1688984.
- Liu, M., Li, N., Lu, X., Shan, S., Gao, X., et al. (2022) Sweet tea (Rubus Suavissmus S. Lee) polysaccharides promote the longevity of Caenorhabditis elegans through autophagy-dependent insulin and mitochondrial pathways, Int. J. Biol. Macromol., 207, 883-892, doi: 10.1016/j.ijbiomac.2022.03.138.
- Espín, J. C., González-Sarrías, A., and Tomás-Barberán, F. A. (2017) The gut microbiota: a key factor in the therapeutic effects of (poly)phenols, Biochem. Pharmacol., 139, 82-93, doi: 10.1016/j.bcp.2017.04.033.
- Palikaras, K., Daskalaki, I., Markaki, M., and Tavernarakis, N. (2017) Mitophagy and age-related pathologies: Development of new therapeutics by targeting mitochondrial turnover, Pharmacol. Ther., 178, 157-174, doi: 10.1016/j.pharmthera.2017.04.005.
- Heilman, J., Andreux, P., Tran, N., Rinsch, C., and Blanco-Bose, W. (2017) Safety assessment of Urolithin A, a metabolite produced by the human gut microbiota upon dietary intake of plant derived ellagitannins and ellagic acid, Food Chem. Toxicol., 108, 289-297, doi: 10.1016/j.fct.2017.07.050.
- Singh, A., Andreux, P., Blanco-Bose, W., Ryu, D., Aebischer, P., et al. (2017) Orally administered urolithin a is safe and modulates muscle and mitochondrial biomarkers in elderly, Innov. Aging, 1, 1223-1224, doi: 10.1093/geroni/igx004.4446.
- Muñoz-Esparza, N. C., Latorre-Moratalla, M. L., Comas-Basté, O., Toro-Funes, N., Veciana-Nogués, M. T., et al. (2019) Polyamines in food, Front. Nutr., 6, 108, doi: 10.3389/fnut.2019.00108.
- Eisenberg, T., Abdellatif, M., Schroeder, S., Primessnig, U., Stekovic, S., et al. (2016) Cardioprotection and lifespan extension by the natural polyamine spermidine, Nat. Med., 22, 1428-1438, doi: 10.1038/nm.4222.
- Schroeder, S., Hofer, S. J., Zimmermann, A., Pechlaner, R., Dammbrueck, C., et al. (2021) Dietary spermidine improves cognitive function, Cell Rep., 35, 108985, doi: 10.1016/j.celrep.2021.108985.
- Schwarz, C., Stekovic, S., Wirth, M., Benson, G., Royer, P., et al. (2018) Safety and tolerability of spermidine supplementation in mice and older adults with subjective cognitive decline, Aging, 10, 19-33, doi: 10.18632/aging.101354.
- Pietrocola, F., Lachkar, S., Enot, D. P., Niso-Santano, M., Bravo-San Pedro, J. M., et al. (2015) Spermidine induces autophagy by inhibiting the acetyltransferase EP300, Cell Death Differ., 22, 509-516, doi: 10.1038/cdd.2014.215.
- Yuan, X., Tian, G. G., Pei, X., Hu, X., and Wu, J. (2021) Spermidine induces cytoprotective autophagy of female germline stem cells in vitro and ameliorates aging caused by oxidative stress through upregulated sequestosome-1/p62 expression, Cell Biosci., 11, 107, doi: 10.1186/s13578-021-00614-4.
- Baek, A. R., Hong, J., Song, K. S., Jang, A. S., Kim, D. J., et al. (2020) Spermidine attenuates bleomycin-induced lung fibrosis by inducing autophagy and inhibiting endoplasmic reticulum stress (ERS)-induced cell death in mice, Exp. Mol. Med., 52, 2034-2045, doi: 10.1038/s12276-020-00545-z.
- Messerer, J., Wrede, C., Schipke, J., Brandenberger, C., Abdellatif, M., et al. (2023) Spermidine supplementation influences mitochondrial number and morphology in the heart of aged mice, J. Anat., 242, 91-101, doi: 10.1111/joa.13618.
- Til, H. P., Falke, H. E., Prinsen, M. K., and Willems, M. I. (1997) Acute and subacute toxicity of tyramine, spermidine, spermine, putrescine and cadaverine in rats, Food Chem. Toxicol., 35, 337-348, doi: 10.1016/S0278-6915(97)00121-X.
- Srivastava, V., Zelmanovich, V., Shukla, V., Abergel, R., Cohen, I., et al. (2023) Distinct designer diamines promote mitophagy, and thereby enhance healthspan in C. elegans and protect human cells against oxidative damage, Autophagy, 19, 474-504, doi: 10.1080/15548627.2022.2078069.
- Hawrysh, P. J., Gao, J., Tan, S., Oh, A., Nodwell, J., et al. (2023) PRKN/parkin-mediated mitophagy is induced by the probiotics Saccharomyces boulardii and Lactococcus lactis, Autophagy, 19, 2094-2110, doi: 10.1080/ 15548627.2023.2172873.
- Fedotova, E. I., Dolgacheva, L. P., Abramov, A. Y., and Berezhnov, A. V. (2022) Lactate and pyruvate activate autophagy and mitophagy that protect cells in toxic model of Parkinson’s disease, Mol. Neurobiol., 59, 177-190, doi: 10.1007/s12035-021-02583-8.
- Xu, C., Wu, Y., Tang, L., Liang, Y., and Zhao, Y. (2023) Protective effect of cistanoside A on dopaminergic neurons in Parkinson’s disease via mitophagy, Biotechnol. Appl. Biochem., 70, 268-280, doi: 10.1002/bab.2350.
- Kang, H. T., and Hwang, E. S. (2009) Nicotinamide enhances mitochondria quality through autophagy activation in human cells, Aging Cell, 8, 426-438, doi: 10.1111/j.1474-9726.2009.00487.x.
- Zhang, L., Zhang, X., Zhang, T., Guo, Y., Pei, W., et al. (2023) Linolenic acid ameliorates sarcopenia in C. elegans by promoting mitophagy and fighting oxidative stress, Food Funct., 14, 1498-1509, doi: 10.1039/D2FO02974J.
- Li, S., Liu, M., Chen, J., Chen, Y., Yin, M., et al. (2023) L‐carnitine alleviates cardiac microvascular dysfunction in diabetic cardiomyopathy by enhancing PINK1‐Parkin ‐dependent mitophagy through the CPT1a‐PHB2‐PARL pathways, Acta Physiol., 238, e13975, doi: 10.1111/apha.13975.
- D’Amico, D., Olmer, M., Fouassier, A. M., Valdés, P., Andreux, P. A., et al. (2022) Urolithin A improves mitochondrial health, reduces cartilage degeneration, and alleviates pain in osteoarthritis, Aging Cell, 21, e13662, doi: 10.1111/acel.13662.
- Singh, A., D’Amico, D., Andreux, P. A., Dunngalvin, G., Kern, T., et al. (2022) Direct supplementation with Urolithin A overcomes limitations of dietary exposure and gut microbiome variability in healthy adults to achieve consistent levels across the population, Eur. J. Clin. Nutr., 76, 297-308, doi: 10.1038/s41430-021-00950-1.
Supplementary files





































