Effect of Global Warming on the Fish Population Parameters in the Upper Volga Reservoirs
- Authors: Gerasimov Y.V.1, Solomatin Y.I.1, Bazarov М.I.1, Lаpshin О.М.2, Tsvetkov А.I.1
-
Affiliations:
- Papanin Institute for Biology of Inland Waters, Russian Academy of Sciences
- Russian Federal Research Institute of Fisheries and Oceanography
- Issue: Vol 17, No 4 (2024)
- Pages: 587-603
- Section: ИХТИОЛОГИЯ
- URL: https://ogarev-online.ru/0320-9652/article/view/269867
- DOI: https://doi.org/10.31857/S0320965224040074
- EDN: https://elibrary.ru/YJTZTL
- ID: 269867
Cite item
Full Text
Abstract
As a result of global warming, the average annual water temperature has significantly increased in the Upper Volga reservoirs. Warming and the subsequent deterioration of the oxygen regime had a significant effect on most of the fish populations inhabiting temperate waters. This led to changes in the population structure of many fish species. Such phenomena as the disappearance or a sharp decline in the abundance of cold-water species (European smelt, vendace, burbot and pike) in the Rybinsk reservoir coincided with the period of warming. The disappearance of European smelt in the Rybinsk Reservoir and the favorable temperature regime contributed to the appearance and rapid increase in the abundance of the Caspian invader, the Black Sea sprat, which occupied the empty niche of the European smelt and became instead the dominant species in the pelagic zone of the Upper Volga reservoirs. Warming resulted in a decrease in the abundance and the growth rate of burbot and pike. Climate warming had an indirect effect on many species through oxygen deficiency or transformation of the forage base (ruff, zander, perch, roach), which also led to a decrease in abundance and the growth rate.
Full Text
ВВЕДЕНИЕ
На территории европейской части России за последние 30 лет отмечается стабильный тренд на увеличение темпа повышения температур воздуха. По данным исследователей он составляет 0.49–0.53°С/10 лет, температуры воды в Рыбинском водохранилище в среднем – 0.76°С за 10 лет с максимальным значением в июле – 1°С/10 лет (Литвинов и др., 2012; Литвинов, Законнова, 2014; Законнова, Литвинов, 2016). При этом постепенно происходит исчезновение границ “межсезонья”, уменьшение сроков ледостава. По многолетним данным средняя дата очищения Рыбинского водохранилища ото льда – 3 мая. В период потепления (1976–2010 гг.) повышение температуры воздуха в зимние месяцы способствовало более раннему очищению ото льда акватории водохранилища. Средняя продолжительность периода, свободного ото льда, увеличилась с 193 до 220 сут (Литвинов и др., 2018). В связи с этим изменились сроки перехода температуры воды через экологически важные ее значения. До потепления переход температуры через 4°C весной (установление гомотермии) наблюдали в среднем 6 мая, через 10°C (начало биологического лета) – 19 мая, в настоящее время даты сместились на 4 и 16 мая соответственно. Аналогичная картина наблюдается осенью, когда даты обратного перехода приходятся на более поздние сроки. В результате продолжительность вегетационного (безледного) периода в водохранилище увеличилась на 20 сут (Литвинов и др., 2012).
В водохранилище значительно возросло количество декад с температурой ≥20°С (вторая декада июля на 31.6%, первая декада августа – на 36.4%), зарегистрирован сдвиг периода максимального прогрева водохранилища на третью декаду июля – первую декаду августа.
Повышение температуры имело негативные последствия, связанные с качеством водной среды, особенно с трансформацией циклов биогенных элементов (С, N, Р), их повторного вовлечения в циркуляцию в воде, которое приводило к увеличению растворенного в воде органического вещества, снижению прозрачности и содержания кислорода в придонных слоях воды.
Впервые массовое ухудшение кислородного режима в открытой акватории водохранилища выявлено в 2010 г., когда разница температур была лишь 3°С (у поверхности 29°С, у дна – 26°С) за счет значительного прогрева всей толщи воды (Лазарева и др., 2012, Лазарева, 2014). Аноксию наблюдали в придонном слое воды высотой 3‒5 м над дном, она сопровождалась интенсивным выделением газов из донных отложений (Лазарева и др., 2018).
К 2013 г. количество участков с содержанием кислорода <4 мг/л достигло 20‒25% акватории, максимальная мощность слоя с дефицитом кислорода увеличилась с 5 до 7 м над дном. Дефицит кислорода – основная причина уменьшения численности моллюсков-фильтраторов, наблюдаемого в донных сообществах водохранилища. После 2010 г. количество велигеров дрейссены (Dreissena polymorpha Pallas) и их функциональные характеристики снизились в 5–6 раз (Лазарева и др., 2015). Их вклад в общую фильтрацию воды гидробионтами упал в 5‒7 раз (с 40% до 6‒8%). В настоящее время это сказывается на самоочищающей способности вод водохранилищ (Лазарева и др., 2015) и, вероятно, приведет к дальнейшему ее снижению и ухудшению качества воды в ближайшем будущем.
Помимо этого, меняется таксономический состав гидробионтов. Появляются новые, более эвритермные виды, одни экологические группировки сменяются другими (Перова и др., 2018; Лазарева и др., 2018).
Потепление и последующее за ним ухудшение кислородного режима оказало заметное влияние на бóльшую часть популяций рыб, населяющих водоемы умеренной зоны. Но процесс потепления климата совпал по времени со значительными социальными преобразованиями в Российской Федерации, что, в свою очередь, отразилось и на рыбном хозяйстве страны и стало следствием менее эффективного регулирования и контроля над промыслом в 1990–2010 годах. по сравнению с 1980-ми. Следствием снижения контроля стало увеличение интенсивности нелегального изъятия рыбы. Это значительно осложнило разделение влияния антропогенных и естественных факторов, поскольку и те, и другие стали причиной заметных изменений в рыбных сообществах водоемов Верхней Волги. Среди верхневолжских водохранилищ наиболее исследовано Рыбинское водохранилище: динамику популяционных показателей рыб, обитающих в нем, непрерывно регистрировали на протяжении >70 лет, что и стало причиной выбора этого водоема.
Цель настоящей работы – исследовать влияние потепления климата и его последствий на популяции массовых видов рыб водоемов Верхней Волги на примере Рыбинского водохранилища.
МАТЕРИАЛ И МЕТОДЫ ИССЛЕДОВАНИЯ
Плотность распределения и размерно-видовой состав рыбного населения Рыбинского водохранилища определяли методом тралово-акустической съемки. Исследования проводили с борта научно-исследовательского судна Института биологии внутренних вод РАН, оснащенного гидроакустической аппаратурой и системой кормового траления разноглубинными тралами. Материал собирали в открытой части Рыбинского водохранилища в летне-осенний период по единой сетке из 20 станций.
Отлов рыбы в придонном слое и в толще воды осуществляли с помощью донного и пелагического тралов. Параметры донного трала – горизонтальное раскрытие 18 м, вертикальное раскрытие 2 м, ячея в кутке 20 мм; пелагического трала – горизонтальное раскрытие 17 м, вертикальное раскрытие 1.8 м, ячея в кутке 4 мм.
На каждой станции проводили по три траления. Пелагическим тралом тралили в поверхностном слое и на горизонтах от 2 до 6 м в зависимости от вертикального распределения рыб, которое оценивали по данным гидроакустики. Длина ваеров 75 м, продолжительность траления 10 мин, скорость судна ~4.5 км/ч. Третье траление осуществляли донным тралом в придонном слое. Длина ваеров 100 м, продолжительность траления 30 мин, скорость судна ~4.5 км/ч.
Гидроакустические съемки проводили во время тралений, а также по предварительно запланированным пилообразным галсам. Использовали научный эхолот Simrad EY500 с антенной ES120-7C (рабочая частота 120 кГц, расщепленный луч, круговая диаграмма направленности, угол луча 7°), съемки проводили согласно современным методикам и рекомендациям (Simmonds, MacLennan, 2005; Parker-Stetter et al., 2009).
Во время исследований осуществляли сквозную калибровку гидроакустической аппаратуры по образцовой металлической сфере. Обработку полученной информации проводили с помощью программного обеспечения Myriax Echoview v. 5.0.
Средний размер, массу рыб и видовой состав скоплений определяли по траловым уловам. Весь улов обрабатывали в судовой лаборатории согласно общепринятой методике (Правдин, 1966).
РЕЗУЛЬТАТЫ ИССЛЕДОВАНИЯ
В настоящее время список рыб Рыбинского водохранилища, учитывая виды, вселившиеся в водоем в последнее время, а также виды, обнаруженные по единичным поимкам, включает 54 вида. В настоящей работе представлены материалы по наиболее массовым из них. Эти виды населяли водохранилище задолго до наступления потепления, за исключением черноморско-каспийской тюльки (Clupeonella cultriventris (Nordmann, 1840)). Многие из них играют существенную роль в рыбном промысле с первых лет существования Рыбинского водохранилища и до настоящего времени. По характеру ответной реакции на потепление эти виды разделены на две группы.
Группа I. Виды, на популяции которых потепление оказало прямое воздействие, ставшее основной причиной снижения их численности.
Снеток (жилая форма европейской корюшки (Osmerus eperlanus (L., 1758)) – мелкий короткоцикловый вид-вселенец Рыбинского водохранилища. Доминировал в пелагиали Рыбинского водохранилища с 1950-х до середины 1990-х годов.
До зарегулирования на затопленном в настоящее время участке р. Волги снеток периодически появлялся (Арнольд, 1925), но его натурализация в речных условиях не происходила. После зарегулирования первые сведения о появлении снетка в Рыбинском водохранилище поступили от рыбаков в 1943 г., – он появился в первый же год после заполнении водохранилища и стал постоянно отмечаться в контрольных уловах. В 1949 г. был организован промышленный лов снетка с применением мелкоячейных орудий лова (Васильев, 1951). За весь период его обитания в Рыбинском водохранилище трижды наступали периоды, когда популяция снетка резко снижала свою численность. Причиной этого были аномально жаркие летние месяцы или низкие уровни заполнения водохранилища. Влияние температуры обусловлено тем, что снеток – холодноводный вид, его верхняя летальная температура 26–27°С (Иванова, Лапкин, 1982). В аномально жарком 1972 г. в течение летних месяцев температура в водохранилище не опускалась ниже 25°С, т. е. среднемесячная температура в июле превысила многолетнюю “норму” (19.6°С) почти на 6°С (Буторин, Смирнов, 1973; Буторин и др., 1982). Столь высокие для Рыбинского водохранилища того периода летние температуры привели к гибели большей части популяции снетка. Уловы сократились в 35 раз (Пермитин, Половков, 1977; Иванова, 1982).
Для популяции снетка, который является псаммофилом, критичны и очень низкие уровни заполнения водохранилища, когда остаются необводненными песчаные мелководья, нерестилища снетка. Так, в 1952 г. на период нереста снетка уровень был ниже среднего многолетнего на 1.58 м. Незалитыми оказались >700 км2 прибрежья. В результате численность популяции резко сократилась, уловы упали в 10 раз – со 150 т в 1952 г. до 15 т в 1953 г. (Васильев, 1955). В мае 1996 г. при еще более низком уровне (ниже среднего многолетнего на 1.70 м), чем в 1952 г., незалитыми оказались 854 км2 мелководий. В результате осенью в контрольных уловах было отмечено всего 19 особей в возрасте 1+ и 2+, сеголетки вообще отсутствовали. Уловы снетка уменьшились с 1045–2117 экз./10 мин траления в 1994–1995 г. до 37 экз./10 мин траления в 1996 г.
В конце 1990-х годов сочетанное действие низкого уровня 1996 г. и прогрессирующее потепление к началу 2000-х годов привело к постепенному исчезновению снетка из Рыбинского водохранилища. В 1998 г., на фоне снижении численности, изменилось и его распределение – впервые за несколько предшествующих десятилетий снеток был обнаружен лишь на 50% контрольные траловых станций. В 2002 г. он полностью исчез из Рыбинского водохранилища и до настоящего времени так и не восстановил свою численность (Рыбы…, 2015).
В начале 2000-х годов опустевшую нишу заняла черноморско-каспийская тюлька (Clupeonella cultriventris (Nordmann, 1840)) – как и снеток, мелкий короткоцикловый вид–вселенец. Снеток доминировал в пелагиали Рыбинского водохранилища с 1950-х до середины 1990-х годов, тюлька – с начала 2000-х годов по настоящее время.
После полного исчезновения снетка в Рыбинском водохранилище (в 2002 г.) в последующие годы отмечены два периода, когда снеток опять появлялся в водохранилище (табл. 1). Оба раза этому предшествовало появления снетка в верховьях Шекснинского плеса, поскольку водоемом–донором в 1950-е (Васильев, 1950; Поддубный, 1971) и в 2000-е годы было Белое озеро, из которого снеток проникал в Рыбинское водохранилище по р. Шексна. В последующие годы снеток постепенно расселялся до центрального плеса водохранилища, но в годы с аномально высокой среднемесячной температурой воды в июле (в 2010 г. и 2021 г.), превышавшей 25°С, опять полностью исчезал (Герасимов и др., 2023). Это согласуется с многолетними данными (с 1950-х по 1990-е годы) по зависимости урожайности популяции снетка Рыбинского водохранилища от июльской температуры воды (рис. 1). За период с 1940-х и до середины 1990-х годов максимальные уловы регистрировались в годы, когда среднемесячная температура воды в июле была в диапазоне 18–19°С.
Рис. 1. Зависимость урожайности популяции снетка Рыбинского водохранилища от среднемесячной температуры воды (T) в июле (r = –0.43, p = 0.01).
Таблица 1. Улов снетка за 10 мин траления пелагическим тралом за период с 2000 по 2021 гг.
Годы | Улов, экз. | Годы | Улов, экз. |
2000 | 23 | 2011 | 0 |
2001 | 2 | 2012 | 1 |
2002 | 0 | 2013 | 19 |
2003 | 0 | 2014 | 5 |
2004 | 0 | 2015 | 6 |
2005 | 2 | 2016 | 2 |
2006 | 3 | 2017 | 49 |
2007 | 1 | 2018 | 122 |
2008 | 5 | 2019 | 28 |
2009 | 8 | 2020 | 0 |
2010 | 0 | 2021 | 0 |
Европейская ряпушка (Coregonus albula (L., 1758)). Первое обнаружение ряпушки в водохранилище относится к 1940-м годам, Л.И. Васильев (1952), ссылаясь на сообщения рыбаков, указывает 1943 г., по данным А.А. Световидовой (1962), она появилась в 1948 г. По мнению всех исследователей (Васильев, 1950, 1952; Носков, 1956; Световидова, 1962), единственный возможный путь ее проникновения в Рыбинское водохранилище через р. Шексна из Белого озера (Вологодская обл.).
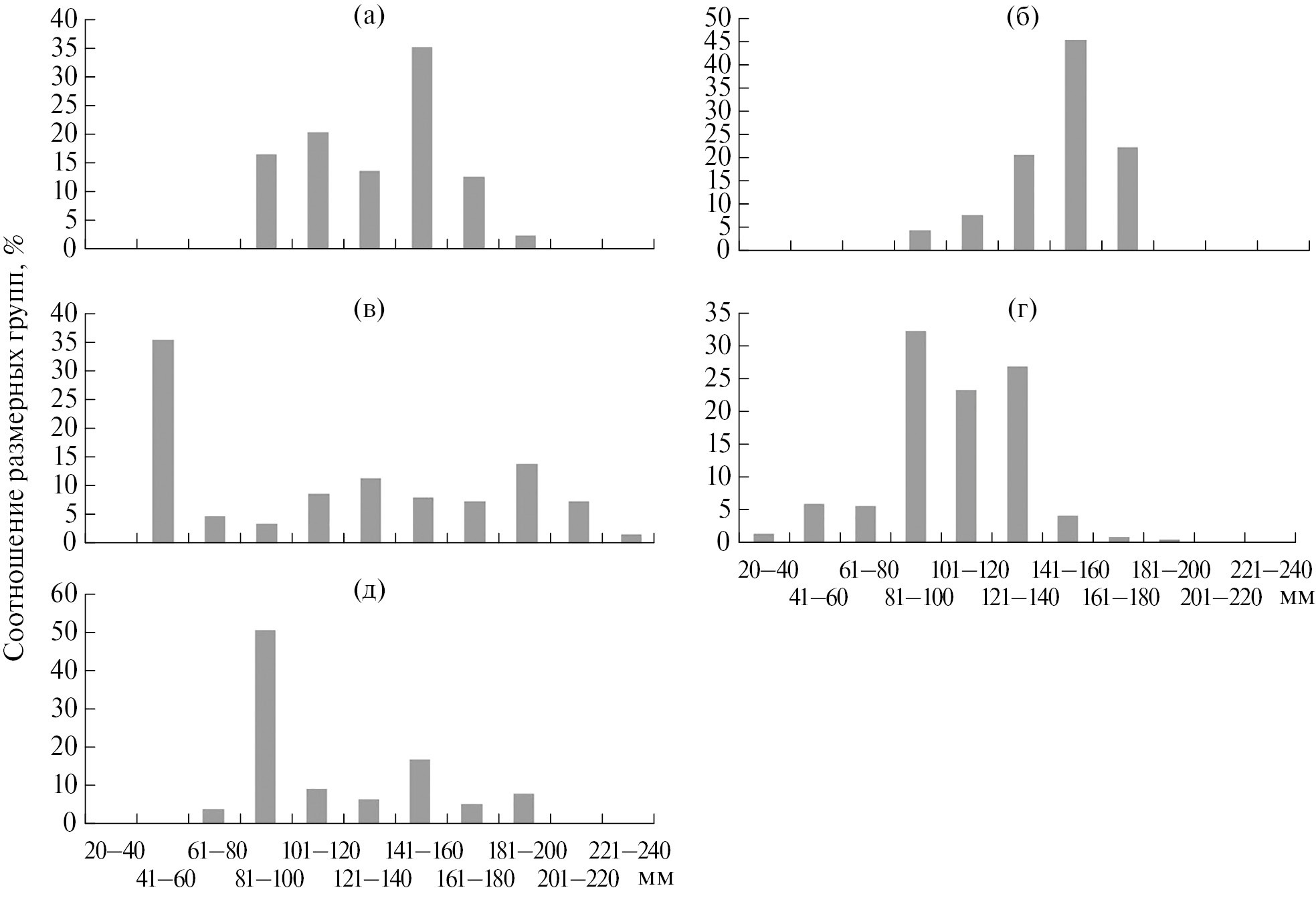
Ряпушка в Рыбинском водохранилище никогда не достигала промысловых скоплений, но присутствовала в уловах пелагического трала со 100%-ной встречаемостью. Будучи, как и снеток, холодноводным видом и псаммофилом, ряпушка в конце 1990-х годов в результате сочетанного действия низкого уровня 1996 г. и прогрессирующего потепления резко снизила свою численность. В 1997 г. в контрольных уловах сеголетки ряпушки отсутствовали. Но, в отличие от снетка, с начала 2000-х годов началось постепенное восстановление ее популяции (коэффициент регрессии b = 0.37; коэффициент корреляции r = 0.51; p < 0.05), в настоящее время численность ряпушки находится на уровне 1960-х годов. Устойчивость ряпушки к воздействию потепления обусловлена тем, что в годы с аномально высокими температурами отмечали увеличение доли ряпушки в уловах учетных донных тралов, т. е. ряпушка переживала неблагоприятные периоды с высокими температурами в придонных горизонтах. Так, даже в аномально теплом 2010 г. в открытой акватории мелководного (средняя глубина 5 м) Рыбинского водохранилища разница температур была 3°С (у поверхности 29°С, у дна – 26°С) (Лазарева и др., 2012, 2014). В периоды аномально высокого прогрева воды в уловах пелагического трала ряпушка отсутствовала, однако в уловах донного трала ее отмечали в значительных количествах, и она была представлена всеми размерными группами (рис. 2). В том числе и особи с размерами <80 мм, которые в годы с “нормальными” для Рыбинского водохранилища температурами в придонных горизонтах не встречаются. В такие периоды ряпушка может переходить с планктонного питания на бентос (Королева и др., 2014).
Рис. 2. Динамика размерной структуры ряпушки Рыбинского водохранилища из уловов донных тралов: а – 1960-е; б – 1980-е (с “нормальными температурами”); в – 1970-е; г – 1990-е; д – 2000-е (с экстремальными летними температурами) годы.
Налим (Lota lota (L., 1758)). До образования Рыбинского водохранилища численность и промысловое значение налима в р. Волге с притоками были невелики (Кулемин, 1944). До заполнения Рыбинского водохранилища вид обитал на каменисто-галечных участках русел и поймы рек, и численность его популяций была низкой (Сергеев, 1959). В первые пять лет существования водохранилища налим не составлял существенной доли в промысловых уловах. Численность популяции начала заметно увеличиваться с середины 1940-х годов, в 1950-х его уловы уже превышали 200 т в год (Васильев, 1950). Максимальные уловы налима зарегистрированы в начале 1960-х годов (до 500 т, >17% общего вылова рыбы), затем начали снижаться и в 1970-е года были в ~2 раза ниже максимальных (153 ± 41 т).
Налим, как ряпушка и снеток, – холодноводный псаммофил. На численность более длинноциклового, чем снеток и ряпушка, налима неблагоприятные условия нереста в 1996 г. повлияли в меньшей степени. Основным негативным фактором оказалось существенное потепление воды Рыбинского водохранилища. Именно с началом быстрого повышения температуры в начале 2000-х годов произошло резкое снижение численности популяции налима, что негативно сказалось на его учетных траловых и промысловых уловах (рис. 3).
Рис. 3. Динамика вылова налима: а – улов учетным тралом, б – годовые промысловые уловы (сети, ловушки) в Рыбинском водохранилище с 1995 по 2021 гг.
Численность популяции налима держалась на низком уровне до 2005 г. В 2006 г. было зарегистрировано увеличение численности популяции налима (рис. 3а). Официальные промысловые уловы не показали этого увеличения, поскольку были ограничены установленной в период понижения его численности величиной допустимого улова (рис. 3б). В зимних промысловых уловах налима в этот период встречались особи семи возрастных групп. По численности доминировали особи в возрасте 3 и 4 года, т. е. поколения 2005–2006 годов. Но, в 2010 г. лето оказалось аномально жарким, температура воды в Рыбинском водохранилище в самый жаркий период в придонных слоях достигала 28°С (Лазарева и др., 2012, 2014). В популяции налима произошло очередное снижение численности (рис. 3а). В настоящее время пока нет определенных данных относительно последующей динамики развития популяции налима.
Помимо значительного снижения численности, у налима в 2000-е годы отмечено и снижение темпа роста по сравнению с предыдущими годами. Это подтверждают результаты анализа уловов промысловых ловушек (рис. 4).
Рис. 4. Длина (а) и масса (б) особей налима различных возрастных групп в уловах из промысловых ловушек в 1980-х (1) и 2000-х (2) годах.
В уловах из ловушек наибольшая разница отмечена между особями в возрасте 3+ … 4+, наименьшая – между особями более старших возрастных групп. Объясняется это тем, что особи в возрасте 5+ и старше – остатки поколений, появившихся до 2005‒2006 годов при самой низкой численности популяции (рис. 4). Особи в возрасте младше 5+ – рыбы первых относительно урожайных поколений, появившиеся от производителей, переживших потепление начала 2000-х годов, которые и обеспечили увеличение численности популяции в период с 2006 по 2009 гг.
Снижение темпа роста холодноводных рыб при повышении температуры воды в последнее время отмечают и у других представителей арктического фаунистического комплекса (Wrona et al., 2006; Rijnsdorp et al., 2009).
Щука (Esox lucius L., 1758). Существует множество работ, в которых показано, что распределение щуки необязательно связано с зоной распространения водных макрофитов. В тех водоемах, где у нее в течение летних месяцев есть возможность выбора местообитания, крупные особи предпочитают более глубокие зоны, где температура ниже, чем на мелководьях (Воронин, 1973; Chapman, Mackay, 1984; Neumann et al., 1994; Casselman, Lewis, 1996; Diana, 1996; Иванова, Свирская, 2005; Pierce et al., 2013).
Верхняя летальная температура для неполовозрелых особей в лабораторных условиях составляет 29.4°С (Casselman, 1978), в естественной среде − 30°С (Ridenhour, 1957), для сеголетков − 35°C (Голованов и др., 2012). По утверждению некоторых авторов (Casselman, Harvey, 1975; Grimm, 1983), указанные параметры среды могут быть факторами отбора. Тепловая устойчивость у щуки снижается с возрастом (McCauley, Huggins, 1979), летний прогрев воды >28°C ведет к гибели крупных рыб, и это может стать фактором, лимитирующим численность крупных особей в популяции (Neumann et al., 1994).
Различия в пространственном распределении размерных групп щуки Рыбинского водохранилища в летний период обусловливают неодинаковую их доступность для разных орудий лова. Мелкие щуки (SL 10–30 см), обитающие на прибрежных мелководьях, наиболее доступны для облова закидными неводами. Крупные щуки (SL 40–70 см), предпочитающие участки с глубинами >10 м на пойме и руслах затопленных рек, встречаются в уловах исследовательского трала. Наиболее широкий размерный диапазон наблюдается в уловах сетями, которые устанавливают на затопленной пойме с глубинами 4–10 м. Это подтверждается различиями в частоте встречаемости щук разного размера в исследовательских неводных, сетных и траловых уловах (рис. 5). В неводных уловах встречаются особи SL 10–70 см, основу составляют рыбы SL 20–45 см; в траловых уловах – SL 30–100 и 40–55 см соответственно; в сетных уловах − SL 15–100 и 40–55 см соответственно.
Рис. 5. Размерный состав щуки (SL, см) в уловах неводом (1), тралом (2) и сетями (3) в Рыбинском водохранилище в 1953–2015 гг.
Многолетние данные по уловам показывают, что начиная с 1990-х годов количество щук в траловых уловах снижается (b = 0.36; r = 0.58; p <0.05) (Герасимов и др., 2018). В значительной мере это обусловлено повышением температуры воды в водохранилище, обусловленное климатическими изменениями. Механизм данного явления заключается в том, что у щуки Рыбинского водохранилища существует внутрипопуляционная дифференциация по отношению к температуре, которая проявляется уже в первые годы жизни. Установлено (Иванова, Свирская, 2000, 2002), что общее число позвонков у сеголетков щуки Рыбинского водохранилища варьирует от 57 до 62, при низкой температуре воды в период эмбрионального развития в потомстве повышается доля многопозвонковых особей, при высокой – малопозвонковых. У сеголетков со средним числом позвонков 61.33 ± 0.13 (инкубация икры в холодной воде) показатели тепловой устойчивости (окончательно предпочитаемой температуры и критического термического максимума) ниже, чем у особей со средним числом позвонков 60.20 ± 0.15 (инкубация икры в теплой воде) (Иванова, Свирская, 2000, 2002). Среди исследованных крупных щук с наиболее высоким темпом линейного роста 45.5% имеют в осевом скелете 61 и 62 позвонка (Герасимов и др., 2018).
Для щук Рыбинского водохранилища характерен растянутый нерест, который может длиться с апреля по май. За этот период температура на нерестилищах меняется от 7.5 до 14.0°C. Нерест щуки в некоторые годы из-за позднего наполнения водохранилища до отметки, когда заливаются нерестовые растительные субстраты, часто сдвигался на более поздние сроки и проходил при более высокой температуре воды. До 2000-х годов, когда средние значения температуры в мае достигали в разные годы 8.0–8.8°C, это не оказывало заметного влияния на численность глубоководной (многопозвонковой) части популяции щуки. Но в 2000-е гг., когда среднемесячная температура мая повысилась до 10.6°C, подобные сдвиги во время нереста привели к доминированию малопозвонковых особей в пополнении популяции щуки Рыбинского водохранилища и соответственно к снижению численности пополнения глубоководной части популяции щуки.
Потепление климата в 2000-е гг. значительно повлияло и на характер роста крупных щук. Годовые приросты длины (ΔSL) крупных особей щуки в Рыбинском водохранилище в годы с температурной нормой (11.4 ± 1.7 см) и на современном этапе (8.8 ± 1.5 см) по расчисленным данным достоверно различаются (критерий Манна–Уитни, p <0.05).
Группа II. Виды, на популяции которых потепление оказало опосредованной воздействие, что, в первую очередь, было обусловлено изменениями в кормовой базе этих видов или дефицитом кислорода. Большинство видов, для которых критическими были изменения в кормовой базе, нагуливались в пелагиали водохранилища. Основная причина этих изменений – появление в Рыбинском водохранилище в начале 1990-х годов черноморско-каспийской тюльки (Clupeonella cultriventris (Nordmann, 1840)). Вселившись в водоем в период депрессивного состояния популяции снетка, она с 2002 г. и до настоящего времени остается доминирующим видом в пелагиали Рыбинского водохранилища, достигая в некоторые годы до 99% общей численности рыб в уловах пелагического трала. Наиболее часто в уловах пелагического трала вместе с тюлькой встречается молодь леща и плотвы (63–74% тралений). Реже в скоплениях тюльки присутствуют синец, ряпушка, молодь окуня и судака (46–55% тралений).
Снеток и тюлька – короткоцикловые виды рыб, для которых характерны годовые колебания численности. Если в период доминирования снетка корреляция между его численностью и общей численностью других видов в улове пелагического трала отсутствовала (r = 0.06, p = 0.72), то после появления тюльки увеличение ее численности всегда сопровождалось достоверным снижением общей численности других видов (r = –0.73, p <0.04). Тюлька оказалась более сильным конкурентом, чем снеток. В уловах пелагическим тралом при численности доминирующего вида от 100 до 300 экз./за 10 мин траления примесь других видов при доминировании снетка в среднем достигала 77 ± 58 экз./на 100 экз. снетка, при доминировании тюльки – 41 ± 28 экз./на 100 экз. тюльки. При уловах от 300 до 700 экз./за 10 мин траления этот показатель в скоплениях снетка был 34 ± 18 экз./на 100 экз. снетка, в скоплениях тюльки – 6 ± 3 экз./на 100 экз. тюльки. Лишь в уловах >900 экз. снетка/за 10 мин траления количество рыб других видов снижалось до единичной встречаемости (10 ± 5 экз./на 100 экз. снетка). Следовательно, появление тюльки в 2000-е годы при ее высокой конкурентной способности послужило одной из причин снижения плотности молоди других видов в пелагических скоплениях.
Речной окунь (Perca fluviatilis L., 1758). Молодь окуня в Рыбинском водохранилище в первый год жизни образует два типа скоплений: прибрежные и пелагические.
Прибрежные скопления образуются за счет молоди, которая после выклева остается в прибрежье. В уловах мальковой волокушей доля окуня достигает в среднем 20.2 ± 9.2%, занимая по численности второе место после молоди плотвы.
Пелагические скопления молоди окуня образуются за счет ее выноса в центральный плес водохранилища из притоков и заливов. В 1980-е годы, когда численность молоди окуня в водохранилище достигала максимальных значений, плотность рыб в скоплениях варьировала в пределах от 0.02 до 10 экз./м3 (Конобеева, 1983). За 10 мин траления учетным мальковым тралом в этих скоплениях вылавливали до 4 тыс. сеголетков окуня (Поддубный, 1971; Конобеева и др., 1980).
До 1990-х годов доля молодь окуня в уловах пелагического малькового трала составляла до 33 ± 12%, но с 1990-х годов началось резкое снижение ее численности (табл. 2). Поскольку у прибрежной молоди подобного снижения численности не отмечено (табл. 2), это не связано с ухудшением условий нереста или снижением численности нерестового стада, а вызвано иными причинами. Основной причиной такого снижения может быть ухудшение условий питания в пелагиали из-за потепления.
Таблица 2. Доля молоди окуня (%) в уловах учетного пелагического малькового трала (пелагические скопления) и учетного малькового невода (прибрежные скопления) в разные периоды существования Рыбинского водохранилища
Скопления молоди | 1950-е | 1960-е | 1970-е | 1980-е | 1990-е | 2000-е | 2010-е |
Прибрежные | 37.51 | 8.796 | 14.16 | 23.49 | 16.89 | 27.47 | 13.22 |
Пелагические | 41.47 | 29.89 | 23.95 | 37.12 | 8.20 | 9.30 | 1.18 |
В пелагических скоплениях окуня Рыбинского водохранилища всегда присутствовала определенная доля физиологически ослабленной молоди окуня, у которой высока вероятность естественного отхода. Доля таких особей в годы с климатической температурной нормой в июне может достигать 33%, в июле – 11%, при этом в годы с аномально теплым летом их доля возрастает (Халько и др., 1985). Связано это с ухудшением условий питания, обусловленное невозможностью части молоди (особенно отстающей в росте) перейти с питания планктоном на питание молодью других видов рыб, у которых в условиях повышенной температуры наблюдается увеличение темпа роста, способствующее быстрому ее выходу из-под пресса молоди окуня (рис. 6а–6в). Высокий темп роста, присущий молоди окуня, который еще больше ускоряется в годы с аномально теплым летом (рис. 6г), не обеспечивается рационом, основанном на мелких планктонных организмах, а молодь других рыб становиться для него недоступной. Это приводит к истощению и высокой естественной смертности молоди окуня на первом году жизни (Халько и др., 1985). Следовательно, наблюдаемое общее потепление воды Рыбинского водохранилища могло послужить причиной резкого снижения численности сеголетков окуня в пелагических скоплениях.
Рис. 6. Рост молоди в прибрежных скоплениях: уклейки (а, б), густеры (в, г), плотвы (д, е), окуня (ж, з) в 1980-е (I) и 2010-е (II) годы.
Карповые. Как и молодь окуня, молодь массовых видов карповых образует в Рыбинском водохранилище и прибрежные и пелагические скопления. Пелагические скопления образуются за счет выноса молоди в центральный плес водохранилища с нерестилищ в притоках и заливах. К этим видам относятся синец (Abramis ballerus (L., 1758)), уклейка (Alburnus alburnus (L., 1758)), плотва (Rutilus rutilus (L., 1758), густера (Blicca bjoerkna (L., 1758)), лещ (Abramis brama (L., 1758)), чехонь (Pelecus cultratus (L., 1758)).
В последние годы потепление климата и высокая промысловая нагрузка привели к снижению в Рыбинском водохранилище численности массовых видов хищников (окуня, судака, щуки). Это, а также хорошее состояние кормовой базы создали условия для появления в 1980-е и 2010-е годы высокоурожайных поколений массовых видов карповых и способствовало увеличению их темпа роста (рис. 6). Но это, в первую очередь, относится к прибрежным скоплениям молоди этих рыб.
В пелагических скоплениях молодь входит в конкурентные отношения с доминирующим видом – тюлькой, чем и обусловлено снижение количества особей массовых видов (рис. 7а–7в) и общей численности молоди карповых (рис. 7г) в уловах пелагического трала в 2000-е годы.
Рис. 7. Динамика численности молоди массовых видов карповых рыб в траловых уловах в Рыбинском водохранилище с 1950-х по 2000-е годы (I–VI): а – синец, б – лещ, в – плотва, г – карповые.
Плотва. Ежегодный дефицит кислорода в придонных слоях в конце летнего периода, спровоцированный потеплением, – основная причина уменьшения численности моллюсков Dreissena polymorpha в донных сообществах водохранилища. Следствием этого стало снижение численности и темпа роста моллюскоядной части популяции плотвы. В Рыбинском водохранилище D. polymorpha появилась в 1950-е годы. В период 1960–1965 гг. плотва повсеместно перешла на потребление этого моллюска (Поддубный, 1966). Появление D. polymorpha в пищевом рационе плотвы способствовало ее дивергенции на две экологические расы: прибрежную (со смешанным спектром питания) и пойменно-придонную (преимущественно моллюскоядную), различающиеся по комплексу морфологических признаков. При этом пойменно-придонная форма обладает более высоким темпом роста по сравнению с прибрежной формой (Изюмов и др., 1982).
По мнению ряда авторов (Изюмов, 1981; Изюмов и др., 1982), молодь пойменно-придонной и прибрежной плотвы нагуливается в прибрежье, питаясь одной и той же пищей. Лишь достигнув возраста 5–6 лет (Касьянов и др., 1981), пойменно-придонная плотва уходит на глубины 4–8 м и переходит на питание моллюсками, и с этого возраста у нее значительно повышается темп роста. Прибрежная же плотва остается на мелководьях, продолжая питаться растительностью и зарослевой фауной.
Снижение численности D. polymorpha послужило причиной снижения темпа роста плотвы, причем разница между темпом роста плотвы в 1980-е и 2000-е годы становится достоверной с возраста 6 лет, когда плотва начинает активно питаться этим моллюском (табл. 3).
Таблица 3. Средние размеры плотвы (длина по Смиту (FL), мм) в сетных уловах в 1980-е и 2000-е годы
Возраст | 1984 г. | 2007 г. | p-value |
5+ | 200 ± 7 | 208 ± 4 | p = 0.11 |
6+ | 235 ± 4 | 219 ± 3 | p <0.001 |
7+ | 252 ± 2 | 242 ± 2 | p <0.001 |
8+ | 277 ± 3 | 255 ± 2 | p<0.001 |
9+ | 293 ± 2 | 270 ± 2 | p <0.001 |
10+ | 304 ± 4 | 285 ± 5 | p <0.001 |
Обыкновенный ерш (Gymnocephalus cernuus (L., 1758)). Причины массовой гибели ерша и, соответственно, сокращения численности в Рыбинском водохранилище до конца не определены. По одной из версий причина этого – паразитарные инвазии, которые повторяются с периодичностью раз в 32–33 года (Жохов и др., 2006). На Верхней Волге впервые инвазия отмечена в 1931–1933 гг. После заполнения Рыбинского водохранилища инвазии наблюдали в 1963–1965 и в 1996–1998 гг. После последней эпизоотии (1996–1998 гг.) с 2003 г. численность ерша в водохранилище начала очень медленно восстанавливаться из небольших групп рыб, сохранившихся в верховьях рек и плесов (Жохов и др., 2006; Герасимов и др., 2009).
По другой версии (Экологические…, 2001), основной причиной его гибели ежегодно становится наблюдаемый в последние десятилетия дефицит кислорода в придонных слоях водохранилища, особенно на его русловых участках. Это обусловлено гниением отмирающих и оседающих на дно водорослей, масса которых резко возросла в годы потепления климата (Лазарева и др., 2018). То, что это может быть основной причиной сокращения численности популяции ерша, подтверждается его хроническим отсутствием в уловах донным тралом в 1990-е и 2000-е годы (Герасимов, Новиков, 2001) и ежегодно наблюдаемыми на поверхности погибшими особями. Их гибель совпадает по срокам с ежегодными периодами массового отмирания водорослей, вызывающих интенсивное “цветение” воды в водохранилище. Ежегодная гибель ерша сильно замедляет восстановление его популяции после массовой гибели в конце 1990-х годов.
Судак (Sander lucioperca (L., 1758)). В южных естественных водоемах мальки судака при длине тела 25–30 мм переходят на питание придонными ракообразными – гаммаридами и мизидами, а затем уже становятся типичными хищниками (Романова, 1958). В Рыбинском водохранилище, где крупные ракообразные малочисленны и малодоступны молоди судака, эта переходная фаза питания отсутствует, и на хищное питание в первое лето переходит только часть наиболее крупной молоди. Другая часть сеголетков судака очень долго, вплоть до октября, питается исключительно зоопланктоном. Соотношение планктофагов и хищников в популяции во многом зависит от климатических условий. В отдельные годы доля хищников к осени возрастает до 60% (Романова, 1958). В годы с жарким летом доля особей, перешедших на хищное питание, всегда ниже. Причина заключается в быстром росте молоди кормовых видов при повышении температуры воды, в результате чего она быстрее становится недоступной для молоди судака, темп роста которой при этом снижается (Поддубный, 1971). Быстрорастущие хищники к осени обгоняют планктофагов в росте почти в 2 раза. Дальнейшая судьба планктофагов неизвестна, хотя, по данным В.В. Барсукова (1959), они вполне жизнестойки, и их обнаруживали при обратном расчислении роста судаков, достигших промысловых размеров.
До середины 1990-х годов в питании сеголетков судака доминировали сеголетки окуня, плотвы и снетка. Известно, что соотношение длин сеголетков судака и его кормовых объектов тесно связано с формой тела последних (Романова, 1958). Так, у судака длиной 25 мм длина жертв (окуня, плотвы и снетка) достигает 50, 73 и 96% длины хищника соответственно. Это указывает на то, что наибольшую относительную длину имели рыбы прогонистые, с наименьшей высотой тела, то есть снеток, который был доступен для бóльшей части молоди судака в течение всего лета. Во второй половине 1990-х годов в результате потепления снеток исчез, и одновременно с его исчезновением в пелагических скоплениях произошло резкое снижение численности молоди окуня. Кроме того, повышение температуры воды, способствовало увеличению темпа роста других потенциальных жертв – сеголетков других видов карповых и окуневых.
С 2000 г. доминирующим в пелагиали водохранилища становится новый для водохранилища вид – каспийская тюлька. Еe средняя численность в уловах в начале 2000-х годов достигала 223 ± 159 экз./10 мин траления или ~90% улова пелагического трала (Экологические…, 2001). Однако появление тюльки не сняло проблемы с переходом ранней молоди судака на питание рыбной пищей, поскольку тюлька значительно более высокотелая, чем снеток (отношение длины к высоте тела 3.3 против 6.4). Кроме того, тюлька оказалась более сильным конкурентом, чем снеток, в том числе и в отношении молоди судака. Корреляция между численностью тюльки и численностью молоди судака в улове пелагического трала имеет высокое отрицательное значение (r = –0.76, p <0.05).
Все вышеперечисленное стало причиной ухудшения условий питания молоди судака в пелагиали Рыбинского водохранилища. Так, в период доминирования в пелагических скоплениях снетка доля сеголетков судака, перешедших на хищное питание, варьировала от 30 до 87%, в их желудках, кроме снетка, встречалась ранняя молодь еще четырех видов рыб – уклеи, плотвы, окуня и синца (Романова, 1958; Иванова, 1966; Половкова, Халько, 1981). В 2000-е гг. этот показатель не превышал 10% (например, в 2008 г. – 7, в 2009 г. – 9%), а жертвы были представлены всего двумя видами – тюлькой (80) и сеголетками окуня (20%). В аномально жаркое лето и осень 2010 г. молодь судака, перешедшая на хищное питание, не была отмечена.
Все эти факторы (исчезновение снетка, снижение численности окуня, увеличение темпа роста других потенциальных жертв) и послужили причиной снижения темпа роста молоди судака, начиная со второй половине 1990-х годов (рис. 8).
Рис. 8. Динамика средней длины судака разных возрастных групп с 1950-х по 2000-е годы (I–VI): а– 1+; б – 2+; в – 5+; г – 6+; д – 7+; е – 8+.
Рост судака старших возрастных групп также определялся, в первую очередь, условиями питания в разные периоды формирования водохранилища. Так, поколения судака 1950-х годов росли значительно хуже, чем последующие. Это происходило на фоне натурализации в водохранилище снетка, проникшего из Белого озера. В середине 1950-х годов снеток занимал третье место по численности в пелагических скоплениях рыб, уступая только молоди плотвы и окуня. К концу десятилетия он стал массовым видом, доминируя в пелагиали водохранилища. В этот период судак в основном питался молодью окуня (51), ерша (15) и снетка (13%) (Романова, 1958). В 1960–1970-е годах продолжала расти численность основных кормовых видов рыб: окуня, снетка и ерша, который в 1970-е годы занимал третье место по численности в уловах донным тралом (до 20% общей численности) (Экологические…, 1993). На долю окуня в питании судака приходилось 27–36, ерша – 20–27, снетка – 12–20, плотвы – 6–11%. Совместно эти четыре вида кормовых объектов достигали 77–88% всего числа съедаемых судаками рыб (Иванова, 1966). Рост судака в эти годы был высоким, а в 1980-е – максимальным.
Характерно, что в 1950–1980-е годы в питании судака отсутствовала его собственная молодь, хотя численность сеголетков судака постоянно увеличивалась и в 1980-е годы достигла максимума. Это, по мнению ряда авторов (Барсуков, 1959; Остроумов, 1959; Ильина, Поддубный, 1961), указывает на хорошие условия его нагула.
В 1990-е гг. рост всех возрастных групп судака начинает снижаться. В первой половине 1990-х годов изменения в спектре питания судака были еще не очень заметны. В это время резко сократилась только популяция ерша: он фактически исчез из уловов донного трала (Экологические…, 2001). Соответственно, происходило уменьшение его доли в питании судака с 14 до 7%, при этом возрастала доля карповых: плотвы до 20% и синца до 7%. Основными объектами питания оставались окунь (40%) и снеток (20%). Наиболее глубокие изменения произошли во второй половине 1990-х годов. Снижение общей плотности пелагических скоплений рыб, а также значительные перестройки в их видовой структуре (исчезновение снетка и снижение численности окуня) вызвали существенные изменения в рационе судака. Сократились доли всех до этого основных кормовых объектов: окуня до 28, ерша до 2%. Из пищевого спектра полностью исчез снеток, но появились тюлька (9) и собственная молодь (38%) в количестве, которое не фиксировали за все время наблюдений в водохранилище. Уровень потребления собственной молоди судаком, по мнению В.В. Барсукова (1959) и А.А. Остроумова (1959), служит показателем ухудшения условий питания.
В 2000-е годы исчезновение снетка и ерша из спектра питания судака компенсируется появлением тюльки, поскольку судак в первый же год перешел на ее интенсивное потребление. Так, с 2000 по 2003 годы тюлька доминировала в питания взрослого судака – до 61% числа съеденных рыб (Степанов, Кияшко, 2008). В 2004 г., после окончания процесса натурализации, численность тюльки в Рыбинском водохранилище стабилизировалась на более низком уровне, и еe значение в пищевом спектре судака уменьшилось до 48%. Переход половозрелого судака на питание тюлькой не привел к восстановлению темпа его роста до уровня 1980-х годов, что, как и в случае с неполовозрелыми особями, стало следствием существенных негативных изменений условий питания – смене спектра питания в результате снижения численности основных кормовых объектов (ерша и молоди окуня). Исчезновение снетка и снижение доступности рыб-жертв в результате ускорения их роста в большей мере повиляло на рост неполовозрелой части популяции.
Берш. Сходное с судаком снижение темпа роста наблюдали и у берша (рис. 9), что обусловлено теми же причинами, что и у судака. Основная причина – потепление климата, наиболее ярко проявляющееся в 2000-е годы. Следствием этого стало повышение темпа роста молоди кормовых видов, в результате чего она быстро становилась недоступной для молоди берша. Эта проблема для берша, как более мелкого по сравнению с судаком хищника, оказалась более острой.
Рис. 9. Темп роста берша Рыбинского водохранилища. 1 – 1970-е, 2 – 2000-е годы.
Кроме этого, повышение температуры способствовало снижению численности основных объектов питания берша – молоди окуня и ерша. Снеток, третий по встречаемости в питании берша вид исчез, его заменила тюлька – более высокотелый и подвижный вид, требующий больших энергетических трат при поимке. Эти факторы (исчезновение снетка, снижение численности окуня и ерша), послужили причиной снижения темпа роста половозрелых особей берша в 2000-е годы.
Обыкновенный сом (Silurus glanis (L., 1758)), очевидно, единственный вид, на популяцию которого потепления климата не оказало негативного воздействия. Этот вид всегда был относительно редок на Верхней Волге, Рыбинское водохранилище – северная граница его ареала. В настоящее время, с потеплением наметилась тенденция к некоторому увеличению его численности. На это указывает промысловая статистика (рис. 10а), а также данные учетного лова Института биологии внутренних вод РАН (рис. 10б).
Рис. 10. Динамика промысловых (а) и учетных (б) уловов сома Рыбинского водохранилища.
Первые относительно большие учетные уловы сома (по 22 экз. в год) были получены в 1988–1989 годы (Зеленецкий, 2008). Основу уловов в эти годы составили сомы в возрасте 5–7 лет со средней массой 1.641–3.029 кг. Очевидно, именно это поколение дало новые высокоурожайные поколения, которые к 1999–2001 гг. сформировали популяцию с максимальной за все время существования водохранилища численностью. В этот период были зафиксированы самые высокие уловы на усилие: в Дарвинском государственном заповеднике (ставные сети – 34 экз. сома за год) и Института биологии внутренних вод РАН (9 сомов за 10 мин траления). Выловленные тралом сомы имели массу ~1.5 кг, промысловую длину ~50 см и возраст 5+. Доминирование в уловах сомов в возрасте 5+ – 7+ связано с тем, что в этом возрасте они достигают половой зрелости и начинают участвовать в нересте, и именно в нерестовый период с повышением двигательной активности становятся наиболее доступными для отлова.
В содержимом желудков сомов отмечено семь видов рыб, из них наиболее часто встречались ерш, лещ, плотва и густера (от 21.5 до 25.5%). На другие виды (окунь, синец, тюльку) приходилось лишь по 2%. Все указанные виды карповых и тюлька остаются многочисленными в Рыбинском водохранилище, т. е. в настоящее время сохраняется обильная кормовая база для сома. Увеличившийся в настоящее время темп роста молоди карповых и окуневых не препятствует успешному питанию сома, обладающего большими размерами рта. Следовательно, основной фактор, способствующий современному увеличению численности сома на фоне благоприятных условий для его питания – температура, определяющая эффективность воспроизводства и продолжительность периода для активного нагула.
ЗАКЛЮЧЕНИЕ
Потепление климата оказало заметное и неоднозначное влияние на большую часть популяций рыб, населяющих водоемы умеренной зоны и Рыбинское водохранилище в частности (Рыбы…, 2015). По характеру ответной реакции виды разделились на две группы. В первую группу вошли виды (снеток, ряпушка, налим и щука), на которых потепление оказало прямое воздействие, т. е. максимальные температуры прогрева воды в летний период (аномальные для Рыбинского водохранилища) достигали для них критических значений. В результате у этих видов произошло резкое уменьшение численность и снижение темпа роста (ряпушка, налим и щука), а снеток полностью выпал из ихтиофауны водохранилища. Во вторую группу вошли виды (окунь, берш и судак), на которые потепление повлияло опосредовано. Основной причиной стали негативные изменения в их кормовой базе, связанные с исчезновением или снижением численности основных кормовых видов, в первую очередь, ерша, снетка и молоди окуня. Из-за периодически развивающегося в летне-осенний период дефицита кислорода в придонном слое снизилась численность ерша; в результате высоких температур, достигающих летальных значений, исчез снеток; ухудшение условий питания привело к снижению численности молоди окуня в пелагических скоплениях.
Появление и быстрое увеличение численности каспийского вселенца – черноморско-каспийской тюльки, занявшей опустевшую нишу снетка и ставшей вместо него доминирующим видом в пелагиали водоемов Верхней Волги, полностью не компенсировало негативных изменений в кормовой базе. Особенно это обострило проблему с переходом на хищное питание молоди судака, берша и окуня в первое лето жизни, поскольку более высокотелая (по сравнению со снетком) тюлька быстро становилась недоступной для молоди этих хищников, а питание планктоном снижало жизнестойкость их молоди на первом году жизни и, особенно, в зимний период.
Благоприятное воздействие по всем показателям потепление оказало на популяцию сома Рыбинского водохранилища. Температура воды в водохранилище в годы с климатической нормой лимитировала развитие его популяции, поскольку Рыбинское водохранилище – северная граница распространения сома Волжского бассейна, а с наступлением потепления его численность и темп роста увеличились. Благоприятным можно считать воздействие потепления и на популяции массовых бати-пелагических карповых: леща, густеры, синца и плотвы. Растянутый вегетационный период, хорошее состояние кормовой базы и снижение численности хищников способствует формированию урожайных поколений. Но это относится только к их молоди, подрастающей в прибрежье. Молодь, которую с нерестилищ выносит в пелагиаль, с вселением тюльки растет в условиях жесткой пищевой конкуренции. Однако судьба пелагической молоди этих видов и в годы доминирования снетка была неизвестна. По-видимому, она полностью выедалась хищниками и не участвовала в формировании пополнения.
ФИНАНСИРОВАНИЕ
Работа проведена в рамках государственного задания Регистрационный № НИОКТР 121051100104-6 “Биоразнообразие, структура и функционирование пресноводных рыб континентальных водоемов и водотоков”. Никаких дополнительных грантов на проведение или руководство данным конкретным исследованием получено не было.
About the authors
Yu. V. Gerasimov
Papanin Institute for Biology of Inland Waters, Russian Academy of Sciences
Author for correspondence.
Email: gu@ibiw.ru
Russian Federation, Borok, Nekouzskii raion, Yaroslavl oblast
Yu. I. Solomatin
Papanin Institute for Biology of Inland Waters, Russian Academy of Sciences
Email: gu@ibiw.ru
Russian Federation, Borok, Nekouzskii raion, Yaroslavl oblast
М. I. Bazarov
Papanin Institute for Biology of Inland Waters, Russian Academy of Sciences
Email: gu@ibiw.ru
Russian Federation, Borok, Nekouzskii raion, Yaroslavl oblast
О. М. Lаpshin
Russian Federal Research Institute of Fisheries and Oceanography
Email: gu@ibiw.ru
Russian Federation, Moscow
А. I. Tsvetkov
Papanin Institute for Biology of Inland Waters, Russian Academy of Sciences
Email: gu@ibiw.ru
Russian Federation, Borok, Nekouzskii raion, Yaroslavl oblast
References
- Арнольд И.Н. 1925. Материалы по описанию рыболовства на Белом озере // Изв. отд. прикл. ихтиологии и научно-пром. исследований. Т. 3. Вып. 1. С. 5.
- Барсуков В.В. 1959. Возрастной состав стада и темп роста судака Рыбинского водохранилища // Тр. Ин-тa биологии водохр. АН СССР. М.: Наука. Вып. 1(4). C. 188.
- Буторин Н.В., Курдина Т.Н., Бакастов С.С. 1982. Температура воды и грунтов Рыбинского водохранилища. Л.: Наука.
- Буторин Н.В., Смирнов А.М. 1973. Особенности распределения температуры воды в Рыбинском водохранилище летом 1972 г. // Биология внутр. вод: Информ. бюл. Л. № 20. С. 50.
- Васильев Л.И. 1950. Формирование ихтиофауны Рыбинского водохранилища. Сообщение I. Изменение видового состава ихтиофауны Верхней Волги в первые годы после образования водохранилища // Тр. биол. ст. “Борок”. Вып. 1. С. 236.
- Васильев Л.И. 1951. Формирование ихтиофауны Рыбинского водохранилища. Сообщение II. Возрастной состав рыб Рыбинского водохранилища // Тр. биол. ст. “Борок”. Вып. 1. С. 256.
- Васильев Л.И. 1952. О ряпушке Рыбинского водохранилища // Тр. Всесоюз. гидробиол. об-ва. Т. IV. С. 106.
- Васильев Л.И. 1955. Некоторые особенности формирования промысловой ихтиофауны Рыбинского водохранилища за период 1941–1952 гг. // Тр. биол. ст. “Борок”. Вып. 2. С. 142.
- Воронин Ф.Н. 1973. О двух экологических формах обыкновенной щуки // Лимнология Северо-Запада СССР. Таллин: Изд-во Ин-та зоологии и ботаники АН ЭССР. С. 116.
- Герасимов Ю.В., Иванова М.Н., Стрельников А.С. 2009. Динамика пелагических скоплений рыб и изменения в составе пищи окуневых на разных этапах формирования ихтиофауны Рыбинского водохранилища // Матер. XXVIII Междунар. конф. “Биологические ресурсы Белого моря и внутренних водоемов Европейского Севера”. Петрозаводск. С. 142.
- Герасимов Ю.В., Иванова М.Н., Свирская А.Н. 2018. Пространственное распределение и внутрипопуляционная структура щуки (Esox lucius L.) Рыбинского водохранилища в период потепления климата // Вопр. ихтиологии. Т. 58. № 1. С. 31.
- Герасимов Ю.В., Комарова А.С., Тарлева А.Ф., и др. 2023. Динамика численности и распределение снетка – формы европейской корюшки (Osmerus eperlanus L.)) – и черноморско-каспийской тюльки (Clupeonella cultriventris) в Рыбинском водохранилище в период их совместного обитания. // Вопр. ихтиологии. Т. 63, № 5. С. 554–566 https://doi.org/10.1134/S0032945223040057.
- Герасимов Ю.В., Новиков Д.А. 2001. Ихтиомасса и распределение рыб в Рыбинском водохранилище // Экологические проблемы Верхней Волги. Ярославль: Изд-во Ярослав. гос. техн. ун-та. С. 194.
- Голованов В.К., Смирнов А.К., Капшай Д.С. 2012. Сравнительный анализ окончательно избираемой и верхней летальной температуры у молоди некоторых видов пресноводных рыб // Тр. Карельск. науч. центра РАН. Сер. эксперим. биология. № 2. С. 70.
- Жохов А.Е., Пугачева М.Н., Молодожникова Н.М., Мироновский А.Н. 2006. Гельминтофауна ерша Gymnocephalus cernuus L. (Perciformes, Percidae) Рыбинского водохранилища: восстановление после депрессии численности хозяина // Вопр. ихтиологии. Т. 46. № 5. С. 702.
- Законнова А.В., Литвинов А.С. 2016. Многолетние изменения гидроклиматического режима Рыбинского водохранилища // Тр. Ин-та биологии внутр. вод им. И.Д. Папанина РАН. № 75(78). С. 16.
- Зеленецкий Н.М. 2008. Краткие данные по сому (Silurus glanis L.) Рыбинского водохранилища // Водные экосистемы: трофические уровни и проблемы поддержания разнообразия: Матер. Всерос. конф. с междунар. участием “Водные и наземные экосистемы: проблемы и перспективы исследований”. Вологда. С. 290.
- Иванова М.Н. 1966. Питание и пищевые взаимоотношения хищных рыб в Рыбинском, Горьковском и Куйбышевском водохранилищах: Автореф. дис. … канд. биол. наук. М.: МГУ. 17 с.
- Иванова М.Н. 1982. Популяционная изменчивость пресноводных корюшек. Рыбинск: Б.и.
- Иванова М.Н., Лапкин В.В. 1982. Влияние температуры на жизнедеятельность и распределение пресноводной корюшки в водоемах // Биология внутренних вод: Информ. бюл. № 55. С. 37.
- Иванова М.Н., Свирская А.Н. 2000. Число позвонков и некоторые биологические показатели молоди щуки Esox lucius // Вопр. ихтиологии. Т. 40. № 5. С. 606.
- Иванова М.Н., Свирская А.Н. 2002. Изменчивость числа позвонков, длины и массы тела сеголеток щуки Esox lucius в зависимости от условий обитания родителей // Вопр. ихтиологии. Т. 42. № 4. С. 503.
- Иванова М.Н., Свирская А.Н. 2005. Влияние температурного режима на особенности распределения и роста щуки Esox lucius в Рыбинском водохранилище // Матер. Междунар. конф. “Поведение рыб”. Борок. М.: Изд-во Акварос. С. 185.
- Изюмов Ю.Г., Касьянов А.Н., Яковлев В.Н. 1982. Популяционная морфология плотвы (Rutilus rutilus) водоемов Верхней Волги // Фенетика популяций. М.: Наука. С. 222.
- Изюмов Ю.Г. 1981. Экологические морфы плотвы Rutilus rutilus (L.) в Рыбинском водохранилище // Биология внутренних вод: Информ. бюл. № 50. С. 65.
- Ильина Л.К., Поддубный А.Г. 1961. О некоторых закономерностях динамики стад промысловых рыб в Рыбинском водохранилище. Совещание по динамике численности рыб // Тр. совещ. ихтиологической комиссии АН СССР. М.: Изд-во АН СССР. Вып. 13. C. 374.
- Касьянов А.Н., Яковлев В.Н., Изюмов Ю.Г., Жгарева Н.Н. 1981. Изменчивость глоточных зубов плотвы Rutilus rutilus (L.) в зависимости от типа питания // Вопр. ихтиологии. Т. 21. Вып. 4. С. 595.
- Конобеева В.К. 1983. О группировках молоди рыб в Рыбинском водохранилище // Пресноводные гидробионты и их биология. Л.: Наука. С. 193.
- Конобеева В.К., Конобеев А.Г., Поддубный А.Г. 1980. О механизме образования скоплений молоди окуня Perca fluviatilis L. в открытой части водохранилищ озерного типа (на примере Рыбинского водохранилища) // Вопр. ихтиологии. Т. 20. Вып. 2(121). С. 258.
- Королева И.М., Терентьев П.М., Кашулин Н.А. 2014. Популяционные характеристики европейской ряпушки в водоемах Мурманской области. Современное состояние биоресурсов внутренних вод // Матер. докл. II Всерос. конф. с междунар. участием. 6–9 ноября 2014 г. М.: ПОЛИГРАФ-ПЛЮС. С. 305.
- Кулемин А.А. 1944. Промысловая ихтиофауна бассейна р. Волга в связи с проблемой рыбохозяйственного освоения Рыбинского водохранилища // Уч. зап. Ярослав. пед. ин-та. Вып. 2. С. 64.
- Лазарева В.И., Минеева Н.М. Жданова С.М. 2012. Пространственное распределение планктона в водохранилищах Верхней и Средней Волги в годы с различными термическими условиями // Поволжский экол. журн. № 4. С. 394.
- Лазарева В.И. 2014. Потепление климата и его влияние на зоопланктон водохранилищ Волги // Экологический мониторинг. Часть VIII. Современные проблемы мониторинга пресноводных экосистем: учебное пособие. Нижний Новгород: Нижегород. ун-т. С. 182.
- Лазарева В.И., Степанова И.Э., Цветков А.И. и др. 2018. Кислородный режим водохранилищ Волги и Камы в период потепления климата: последствия для зоопланктона и зообентоса // Тр. Ин-та биологии внутр. вод им. И.Д. Папанина РАН. № 81(84). С. 47.
- Лазарева В.И., Копылов А.И., Соколова Е.А., Пряничникова Е.Г. 2015. Велигеры дрейссенид (Bivalvia, Dreissenidae) в трофической сети планктона Рыбинского водохранилища // Поволжский экол. журн. № 1. С. 42.
- Литвинов А.С., Законнова А.В. 2014. Экологические условия в Рыбинском водохранилище при потеплении климата // Географ. вестн. № 2(29). С. 41.
- Литвинов А.С., Законнова А.В., Поддубный С.А. 2018. Климат и гидрологический режим // Структура и функционирование экосистемы Рыбинского водохранилища в начале XXI века. Институт биологии внутренних вод им. И. Д. Папанина РАН. М.: РАН. С. 32.
- Литвинов А.С., Пырина И.Л., Законнова А.В. и др. 2012. Изменение термического режима и продуктивности фитопланктона Рыбинского водохранилища в условиях потепления климата // Бассейн Волги в XXI веке: структура и функционирование экосистем водохранилищ: Матер. докл. Всерос. конф. Борок: Ин-т биологии внутр. вод РАН. С. 167.
- Носков А.С. 1956. Ряпушка Рыбинского водохранилища: Автореф. дис. … канд. биол. наук. М. 11 с.
- Остроумов А.А. 1959. Характеристика поколений леща и судака Рыбинского водохранилища // Тр. Ин-тa биологии вдхр. АН СССР. Вып. 1(4). С. 211.
- Пермитин И.Е., Половков В.В. 1977. Особенности образования и динамика структуры скоплений пелагических рыб // Теоретические аспекты рыбохозяйственных исследований водохранилищ. Л.: Наука. С. 78.
- Перова С.Н., Пряничникова Е.Г., Жгарева Н.Н. 2018. Появление и распределение вселенцев в макрозообентосе водохранилищ Верхней Волги // Рос. журн. биол. инвазий. Т. 11. № 4. С. 41.
- Поддубный А.Г. 1966. Об адаптивном ответе популяций плотвы на изменение условий обитания // Тр. Ин-та биологии внутр. вод АН СССР. Вып. 10(13). С. 131.
- Поддубный А.Г. 1971. Экологическая топография популяции рыб в водохранилищах. Л.: Наука.
- Половкова С.Н., Халько В.В. 1981. О питании сеголетков судака в Рыбинском водохранилище // Биология внутренних вод: Информ. бюл. № 49. С. 39.
- Правдин И.Ф. 1966. Руководство по изучению рыб. М.: Пищ. пром-сть.
- Романова Г.П. 1958. Питание сеголетков судака в Рыбинском водохранилище // Тр. биол. ст. “Борок”. Вып. 3. М.: Изд-во АН СССР. С. 273.
- Рыбы Рыбинского водохранилища: популяционная динамика и экология. 2015. Ярославль: Филигрань.
- Световидова А.А. 1962. Некоторые биологические данные о рыбах северной части Рыбинского водохранилища // Тр. Дарвинского гос. заповедника. Вып. VI. С. 29.
- Сергеев Р.С. 1959. Материалы по биологии налима Рыбинского водохранилища // Тр. Ин-та биологии водохранилищ АН СССР. Вып. 1(4). С. 235.
- Степанов М.В., Кияшко В.И. 2008. Роль тюльки (Clupeonella cultriventris (Nordman)) в питании хищных рыб Рыбинского водохранилища // Биология внутр. вод. № 4. С. 86.
- Халько В.В., Базаров М.И., Дергачева Н.Г. 1985. О жизнестойкости молоди окуня различных экологических группировок. 2. Встречаемость ослабленных особей среди сеголетков окуня литоральных и пелагических нагульных скоплений // Биология внутр. вод: Информ. бюл. № 68. C. 37.
- Экологические проблемы Верхней Волги. 2001. Ярославль: Изд-во Ярослав. гос. техн. ун-та.
- Экологические факторы пространственного распределения и перемещения гидробионтов. 1993. СПб.: Гидрометеоиздат.
- Diana J.S. 1996. Energetics // Pike: biology and exploitation. L.: Chapman and Hall. P. 103.
- Casselman J.M. 1978. Effects of environmental factors on growth, survival, activity, and exploitation of northern pike // Amer. Fish. Soc. Spec. Publ. V. 11. P. 114.
- Casselman J.M., Harvey H.H. 1975. Selective fish mortality resulting from low winter oxygen // Verh. Int. Ver. Theor. Angew. Limnol. V. 19. P. 2418.
- Casselman J.M., Lewis C.A. 1996. Habitat requirements of northern pike (Esox lucius) // Can. J. Fish Aquat. Sci. V. 3. Suppl. 1. P. 161.
- Chapman C.A., Mackay W.C. 1984. Direct observation of habitat utilization by northern pike // Copeia. № 1. P. 255.
- Grimm M.P. 1983. Regulation of biomass of small (<41 cm) northern pike (Esox lucius L.), with special reference to the contribution of individuals stocked as fingerlings // Aquacult. Res. V. 14. P. 115.
- McCauley R.W., Huggins N.W. 1979. Ontogenetic and nonthermal seasonal effects on thermal preferenda of fish // Amer. Zool. V. 19. P. 267.
- Neumann R.M., Willis D.W., Sammons S.M. 1994. Seasonal growth of Northern Pike (Esox lucius) in a South Dakota Glacial Lake // J. Freshwater Ecol. V. 9. № 3. P. 191.
- Parker-Stetter S.L., Rudstam L.G., Sullivan P.J., Warner D.M. 2009. Standard operating procedures for fisheries acoustic surveys in the Great Lakes // Great Lakes Fish. Comm. Spec. Pub. 09-01.
- Pierce R.B., Carlson A.J., Carlson B.M., Staples D.F. 2013. Depths and thermal habitat used by large versus small northern pike in three Minnesota lakes // Trans. Amer. Fish. Soc. V. 142. P. 1629.
- Ridenhour R.L. 1957. Northern pike, Esox lucius L., population of Clear Lake, Iowa // Iowa State Coll. J. V. 32. P. 1.
- Rijnsdorp A.D., Peck M.A., Engelhard G.H. et al. 2009. Resolving the effect of climate change on fish populations // ICES J. Mar. Sci. V. 66. P. 1570.
- Simmonds J., MacLennan D. 2005. Fisheries Acoustics: Theory and Practice. Fish and Aquat. Res. Ser. 10. Blackwell Science.
- Wrona F.J., Prowse T.D., Reist J.D. et al. 2006. Climate impacts on Arctic freshwater ecosystems and fisheries: background, rationale and approach of the Arctic Climate Impact Assessment (ACIA) // J. Human Environment. V. 35. P. 326.
Supplementary files












