Early Detection of Contamination with Microplastics by Changing the Phototaxis of Freshwater Mesozooplankton to Paired Photostimulation
- Authors: Dyomin V.V.1, Morgalev Y.N.2, Morgalev S.Y.2, Morgaleva T.G.2, Davydova A.Y.1, Polovtsev I.G.1, Kondratova O.V.2, Kosiakova A.A.2, Mostovaya A.K.2
-
Affiliations:
- National Research Tomsk State University
- Center for Biotesting of Nanotechnologies and Nanomaterials Safety, National Research, Tomsk State University
- Issue: Vol 17, No 2 (2024)
- Pages: 335-347
- Section: МЕТОДЫ ИССЛЕДОВАНИЯ
- URL: https://ogarev-online.ru/0320-9652/article/view/262118
- DOI: https://doi.org/10.31857/S0320965224020122
- EDN: https://elibrary.ru/xsskun
- ID: 262118
Cite item
Full Text
Abstract
Our previous studies showed that the change in the plankton response to light could be an indicator of environmental pollution. This study experimentally reveals that the response of Daphnia magna Straus and Daphnia pulex plankton ensembles to photostimulation depends on the intensity of the attracting light. This makes it difficult to identify the occurrence and change of pollutant concentration. The large variability in the magnitude of the behavioral response is caused by the nonlinear response of plankton ensembles to the intensity of the attractor stimulus. As the intensity of the photostimulation increases, the variability of the phototropic response passes through increase, decrease and relative stabilization phases. The paper proposes a modification of the photostimulation method — paired photostimulation involving successive exposure to two photostimuli of increasing intensity. The first stimulus stabilizes the behavioral response, while the increase in response to the second stimulus makes it possible to more accurately assess the responsiveness of the plankton ensemble. The study demonstrates good reliability and increased sensitivity of this method of detecting changes in environmental toxicity compared to single photostimulation or traditional bioindication through the survival rate of test organisms.
Full Text
ВВЕДЕНИЕ
Хотя использование пластиковых материалов принесло огромные социальные выгоды, “пластиковый век” наступил с большими проблемами (Wagner et al., 2014). Одна из новых проблем, вызывающих все большую озабоченность, — накопление пластика в морских и пресноводных экосистемах. Особую тревогу вызывает огромное количество микропластика (частицы от 1 мкм до 5 мм), плавающего на поверхности океана (Jambeck et al., 2015; Wagner, Lambert, 2018), которое в настоящее время оценивается от десятков до сотен тысяч тонн (Weiss et al., 2021; Pedrotti et al., 2022). Считается, что большая часть морского микропластика (mPl), поступает из наземных источников, включая поверхностные воды рек, озер и водохранилищ (Ильина и др., 2021; Ivanova et al., 2021; Frank et al., 2021; Lisina et al., 2021; Weiss et al., 2021; Pedrotti et al., 2022; Nava et al., 2023).
Микропластик представляет собой гетерогенный класс загрязняющих веществ с широким спектром действия. Разнообразные характеристики микропластика (тип материала, размер частиц и форма частиц) делают их потенциально доступными для широкого круга нейстонных (плавучие материалы, плотность <1 г/см3), пелагических (материалы во взвешенном состоянии) и бентосных видов (осадочные материалы плотностью >1 г/см3) (Scherer et al., 2018). Это позволяет микропластику легче проникать в водные пищевые сети, чем более крупным частицам.
Известно, что широкий спектр организмов, включая зоопланктон (ракообразных Daphnia magna Straus, 1820; Gammarus pulex L., 1758; Notodromas monacha O. F. Müller, 1776 и брюхоногих моллюсков Potamopyrgus antipodarum J.E. Gray, 1843), рыб и китообразных, способен поглощать микропластик. Считается, что коловратки, кладоцеры и мидии особенно склонны к проглатыванию микропластика, поскольку обычно питаются взвешенными твердыми частицами. Например, коловратки (Anuraeopsis fissa Gosse, 1851) и кладоцеры (Daphnia sp.) могут охотно питаться пластиковыми шариками (Cózar et al., 2014; Van Sebille et al., 2015). Фильтраторы (например, дафниды) используют развитый фильтрационный аппарат для фильтрации взвешенных частиц, а копеподы активно захватывают и перерабатывают взвешенные частицы модифицированными придатками (Wagner et al., 2014).
При попадании в организм микропластик может оказывать разнообразное негативное воздействие на водные организмы в виде физических и/или химических повреждений (Wagner et al., 2014; Wagner, Lambert, 2018). К настоящему времени исследования потенциальных неблагоприятных последствий, вызванных воздействием микропластика, по сравнению с морскими видами, для пресноводных организмов немногочисленны, и в основном проведены на фильтраторах Daphnia magna (Besseling et al., 2014; Ogonowski et al., 2016; Rehse et al., 2016), амфиподах Hyalella azteca Saussure, 1858 (Au et al., 2015) и Gammarus pulex L., 1758 (Weber et al., 2018), пресноводных улитках Potamopyrgus antipodarum J.E. Gray, 1843 (Romero-Blanco et al., 2021), а также нескольких рыбах (Karami et al., 2016; Lu et al., 2016; Rochman et al., 2013). В то время как имеющиеся исследования показывают, что широкий спектр водных таксонов подвержен неблагоприятным последствиям проглатывания микропластика, токсикологические последствия для пресноводных видов почти не изучены.
Исследования на морских видах показали недостаток питательных веществ, вызванный интенсивным поглощением микропластика, заменяющим часть естественного рациона (Cole et al., 2015; Phuong et al., 2016; Welden, Cowie, 2016). Кроме того, обнаружены дополнительные эффекты, связанные с питанием: закупорка и повреждение желудочно-кишечного тракта (Wright et al., 2013), воспалительные реакции (Von Moos et al., 2012) и десорбция ксенобиотиков (Browne et al., 2013). Значительное сокращение потребления водорослей морскими веслоногими рачками Centropages typicus при воздействии микропластика влияет на рост и развитие плодовитость и выживаемость организмов (Svetlichny et al., 2021).
При длительном воздействии микропластиком нарушается динамика размножения и выживание популяции (Browne et al., 2015), что может иметь серьезные последствия для пищевых цепочек, поскольку фильтраторы находятся в основе пищевых цепей и, в конечном итоге, привести к нарушению экологического баланса (Li et al., 2016).
Имеются данные, что негативное воздействие на водные организмы усугубляется способностью частиц микропластика сорбировать широкий спектр стойких органических загрязнителей и микроэлементов из окружающей среды. В обзорной работе (Сапрыкин, Самойлова, 2021) дан подробный анализ многочисленных лабораторных исследований о негативных последствиях воздействия химических веществ, связанных с микропластиком, — вызывают клеточную токсичность, отрицательно влияют на популяции рыб, энергетические запасы прибрежных крабов, скорость метаболизма и выживаемость азиатских зеленых мидий, а также на рост, развитие и выживаемость дафний.
Имеются данные о положительной корреляции между обилием микропластика в морской воде и общей численностью зоопланктона, особенно копепод (Vasilopoulou et al., 2021). Кроме того, фильтраторы более уязвимы для воздействия взвешенных микропластиков (Scherer et al., 2018), и их индивидуальное поведение может изменяться в ответ на загрязнители окружающей среды или стрессоры. Изменения в поведении — сигналы раннего предупреждения о последствиях, которые могут повлиять на всю экосистему, поскольку они связывают физиологические изменения в организмах и экологические процессы в системе (Wong, Candolin, 2015).
На фоне измененного физиологического состояния гидробионтов при воздействии загрязняющих веществ, в том числе микропластика (Mattsson et al., 2017), изменяется реакция эвригалинного зоопланктона на фотостимуляцию (Dyomin et al., 2020, 2021). Хотя механизм данного воздействия на зоопланктон до настоящего времени остается малоизученным, проведенные нами исследования показали, что парная фотостимуляция позволяет обнаруживать появление поллютантов в водной среде по поведенческим реакциям (Morgalev et al., 2022).
Современная тенденция в мониторинге мирового океана с использованием погружных приборов, осуществляющих регистрацию параметров поведенческих реакций автохтонных организмов в реальном масштабе времени in situ, обеспечивает высокую репрезентативность выборки и достоверную биоиндикацию (Dyomin et al., 2019a).
Созданное в Томском государственном университете оборудование (цифровые голографические камеры и гидробиологические зонды на их основе) (Dyomin et al., 2019б) обеспечивает измерение параметров отдельных частиц, но отличается от известных аналогичных устройств возможностью фотостимуляции аттракторным (привлекающим) излучением, вызывающим фототропную реакцию зоопланктона (Dyomin et al., 2020). Наряду с ранним обнаружением загрязнений пресноводных экосистем микропластиком, к числу преимуществ данного метода относится оперативный контроль состояния природных водоемов, позволяющий зарегистрировать негативное воздействие на биоту поллютантов в низких концентрациях, которое, как правило, не удается обнаружить аналогичными устройствами и традиционными методами биоиндикации.
Цель работы — выявить возможность, особенности и условия использования метода парной фотостимуляции для раннего обнаружения контаминации акваторий микропластиком.
МАТЕРИАЛ И МЕТОДЫ ИССЛЕДОВАНИЯ
Исследуемые организмы. Исследования проведены с использованием двух видов пресноводного зоопланктона — ветвистоусых ракообразных (Cladocera) Daphnia magna и Daphnia pulex. Культура D. magna получена от ООО “Европолитест” (Россия). Особи D. pulex выделены из природной популяции в окрестностях г. Томск и адаптированы к лабораторным условиям в течение 8 мес. Введение диких видов в лабораторную культуру описано нами ранее (Dyomin et al., 2021). Содержание культур и эксперименты проводили в условиях, согласно рекомендациям методики (ISO 6341, 2012)1: температура 22 ± 2°С, pH 7.0–8.5, культивационная среда — вода питьевая (СанПиН 2.1.3684-21)2, содержание O2 6 мг/дм³, фотопериод 12 ч свет/12 ч темнота.
Поллютанты. В качестве поллютантов использовали вещество с выраженной токсичностью — стандартный модельный токсикант K₂Cr₂O₇(Merck KGaA, Germany), а также микропластик, изготовленный из материалов, биологически инертных в макроформе. Микропластик готовили по методике, разработанной в нашей лаборатории, из волокон тканых полипропиленовых мешков (OOO “Терра”, Россия), состаренных в естественных условиях на протяжении 12 лет (Morgalev et al., 2022). Концентрацию и размер микрочастиц определяли на снимках, полученных с помощью конфокального микроскопа (Zeiss, LSM 780 NLO) при возбуждении лазером с длиной волны 405 нм.
Рис. 1. Концентрация и размер микропластика: а — изображение частиц микропластика на снимке под конфокальным микроскопом (№ 1‒15 размер ≤10 px, и № 1‒6 размер >10 px); б — на диаграмме содержание в образцах частиц размером ≤10 пикселей и >10 пикселей
Автолюминесценция частиц микропластика исключает учет частиц из других материалов. В слоях размером 850 × 850 × 2.7 мкм (рис. 1а) частицы микропластика визуализировались как компактные группы с площадью 1÷25 пикселей (0.7÷19 мкм2). Подсчитывали количество частиц с размерами <10 пикселей (диаметр круга с эквивалентной площадью ~4 мкм) и >10 пикселей (рис. 1б). Содержание в слое частиц размером <10 пикселей составило 15.4 ± 1.4 шт. и более крупного размера 6.7 ± 1.3 шт. (70 и 30% соответственно). Концентрация микропластика в полученной исходной суспензии составляла ~107 частиц/дм³(200 мг/дм³).
Цифровая голографическая камера. Конструкция погружной цифровой голографической камеры (DHC) подробно описана ранее (Dyomin et al., 2020). DHC позволяет регистрировать голограммы контролируемого объема, который просвечивается лазерным пучком (рис. 2), с дальнейшим последовательным численным восстановлением изображений слоев среды с заданным шагом и исследованием частиц, находящихся в этих слоях. Использовали лазеры с длиной волны 532 нм для фотостимуляции двигательной активности планктона и 650 нм для регистрации голограмм. Длина волны аттракторного освещения для фотостимуляции близка к локальному максимуму спектра отражения микроводорослей — основного источника питания зоопланктона. Максимальная мощность излучения лазера на выходе из иллюминатора освещающего модуля (рис. 2) составляла 4 мВт и регулировалась изменением управляющего напряжения. Это создавало максимальную освещенность 4600 лк.
Рис. 2. Схема пучков, формирующих контролируемый объем для регистрации голограммы (а), фотография столбов света с гидробионтами (б). 1 – DHC, 2 – регистрирующий модуль DHC, 3 – освещающий модуль DHC, 4 – емкость с водой, 5 – контролируемый объем (РО), ограниченный пучками регистрирующего (красный) и аттракторного (зеленый) света, 6 – зеркально-призматическая система формирования рабочего объема, 7 – полупроводниковый лазерный диод (λ = 650 нм), 8 – полупроводниковый лазерный диод (λ = 532 нм), 9 – оптоволоконный мультиплексор, 10 – расширитель луча, 11 – иллюминаторы, 12 – селективный фильтр, 13 – принимающая линза, 14 – CMOS камера.
При проведении лабораторных экспериментов DHC помещали в емкость объемом 90 дм³, заполненную 50 дм³ исследуемой водной среды, что обеспечивало нахождение оптической части ниже уровня жидкости.
Принципы метода парной фотостимуляции. Использование фототропной реакции планктона в качестве индикатора воздействия, не вызывающего необратимых изменений планктонного сообщества, предполагает регистрацию динамики реакции на фотостимуляцию (ΔR) по сравнению с фоновой.
Стандартный способ измерения этого показателя — величина изменения реакции (количества рачков) на единицу прироста интенсивности освещения (ΔR/ΔI). Поскольку реакция биологических систем на возрастающий по интенсивности стимул отличается от линейной, в зависимости от интенсивности воздействия можно получить широкий спектр значения ΔR/ΔI. Кроме того, точность определения показателя ΔR/ΔI снижается по нескольким причинам: ненулевая вариабельность поведенческой реакции планктона в фоне (межиндивидуальный разброс); повышение вариабельности поведенческой реакции в случае недостаточной интенсивности фотостимуляции, не приводящей к активации систем, обеспечивающих реализацию поведенческой реакции. Ранее проведенные лабораторные и полевые эксперименты показали, что один из вариантов выхода из данной ситуации — применение метода парной фотостимуляции (Morgalev et al., 2022). Первое, меньшее по интенсивности воздействие, активирует функциональную систему, ответственную за поведенческую реакцию (Anokhin, 1974), соответственно снижаются межиндивидуальный разброс и энтропия в системе (Morgalev, Morgaleva, 2007). Второе, более интенсивное воздействие, вызывает движение рачков со скоростью, соответствующей их физиологическому состоянию. Применение парной фотостимуляции существенно снижает ошибку экстраполяции и позволяет увеличить точность оценки степени воздействия на зоопланктон, в том числе степени токсического воздействия.
Дизайн эксперимента. В день эксперимента за 1 ч до начала синхронизированную односуточную культуру рачков кормили водорослями Chlorella vulgaris B. согласно прописи методики (ISO 6341, 2012). Через 1 ч в аквариум с камерой DHC переносили рачков в количестве 200 ± 10 экз., что соответствовало концентрации в естественных водоемах (4000 экз./м3). Эксперименты проводили после адаптации рачков (через 1 ч) с регистрацией фототропной реакции в чистой (контроль) и контаминированной (опыт) среде в течение 3 ч.
Растворы или дисперсные суспензии поллютантов в культивационной воде вносили в объеме 0.5 дм³.
Динамику фототропной реакции регистрировали в течение восьми циклов: первый цикл (фон) до введения культивационной воды (в контрольной серии) или поллютанта (в опытных сериях) и семь последовательных циклов через 10, 30, 60, 90, 120, 150 и 180 мин после внесения воды или поллютанта. Каждый цикл составлял 15-минутную непрерывную регистрацию 30 голограмм и был разделeн на три равных 5-минутных интервала с регистрацией по 10 голограмм: без включения аттракторного освещения (I0); при аттракторном освещении с интенсивностью I1 (1150 лк); при последующей второй фотостимуляции с освещенностью I2 (3450 лк). После каждого цикла (кроме второго) следовала 15-минутная пауза без освещения для восстановления численности рачков.
По результатам обработки десяти последовательно зарегистрированных голограмм вычисляли среднюю концентрацию рачков за время первой и второй ступени фотостимуляции (С1 и С2 соответственно), а также отношение прироста концентрации рачков при переходе от первой ко второй интенсивности к концентрации рачков во время второй интенсивности:
Статистическую обработку данных проводили с использованием программы Statistica v.10 (StatSoft, Inc, USA). После проверки на нормальность распределения по Shapiro–Wilk’s W-test различия средних значений определяли по t-критерию Стьюдента для независимых переменных (двусторонний p-уровень).
Данные приведены в виде M ± m, где m — стандартная ошибка среднего M.
РЕЗУЛЬТАТЫ ИССЛЕДОВАНИЯ
Пороговая интенсивность фотостимуляции для появления поведенческой реакции рачков. Рачки начинали собираться в освещенном столбе водной среды при мощности аттракторного излучения 200 ± 15 мкВт, что соответствовало 5% максимальной мощности излучения лазера. Стабильные результаты получены при аттракторном освещении с мощностью излучения ≥20% максимальной мощности излучения лазера. Учитывая полученные данные, в дальнейших исследованиях применяли следующие градации освещенности: 25, 50, 75 и 100% максимальной, что соответствовало освещенности 1150 лк, 2300 лк, 3450 лк и 4600 лк соответственно. Важно подчеркнуть, что лазер с длиной волны 650 нм, используемый для регистрации голограмм, не вызывал сбора рачков даже при длительном непрерывном воздействии (15 мин), а длительность его включения в условиях эксперимента была ≤50 мкс/мин.
Выбор параметров парной фотостимуляции. Для использования парной фотостимуляции необходимо определить способность ансамбля рачков перестраиваться за время действия второй экспозиции.
При ступенчато нарастающей по интенсивности пятиминутной фотостимуляции регистрировали ступенчатое нарастание концентрации рачков в контролируемом объеме (рис. 3а).
При отсутствии аттракторного освещения (фон) почти все рачки находились вне наблюдаемых столбов водной среды, и их концентрация в рабочем объеме (C) в среднем за 5 мин была 0.1 ± 0.1 экз./дм³. После включения аттракторного освещения с интенсивностью 25% максимальной мощности излучения лазера в освещенных столбах водной среды фиксировали единичные особи (C = 0.6 ± 0.4 экз./дм³). Начиная с освещенности 50%, отмечали выраженный положительный фототаксис рачков, их концентрация существенно возрастала (C = 5.0 ± 1.2 экз./дм³ (р = 0.001, df = 18)), достигая при интенсивности освещения 75 и 100% C = 14.0 ± 1.4 экз./дм³ (р <0.0001, df = 18) и C = 24.6±1.4 экз./дм³(р <0.0001, df = 18) соответственно. Следует отметить, что с возрастанием интенсивности аттракторного освещения снижается вариабельность концентрации рачков со 100% в фоне до 6 при максимальной освещенности.
При ступенчатом нарастании интенсивности фотостимуляции с пятиминутными перерывами между каждым пятиминутным освещением аттракторным светом не происходило полного восстановления концентрации рачков в периоды отсутствия аттракторного освещения (рис. 3б).
Рис. 3. Концентрация рачков (экз./дм³) при ступенчатом непрерывном (а) и ступенчатом прерывистом (б) нарастании интенсивности аттракторного освещения (I, % от максимального).
Степень восстановления концентрации рачков зависела от интенсивности аттракторного освещения. При интенсивности аттракторного света 25% максимально возможной для данного лазера, концентрация рачков за 5-минутный перерыв снижалась на 92.3% среднего значения в период фотостимуляции, при интенсивности 50% — на 74.1%, при 75 – на 68.7. После фотостимуляции с интенсивностью 100% в зоне регистрации оставалось 50% рачков, т.е. в перерывах происходит рассредоточение части рачков из зоны регистрации. Поэтому целесообразно предъявлять вторую по интенсивности фотостимуляцию непосредственно после действия первой, без перерыва между ними.
Для выбора интенсивности первой ступени фотостимуляции (I1) определяли порог фототаксиса рачков в интервале аттракторного освещения 5–50% максимальной мощности с шагом нарастания 5%. В диапазоне выше пороговой определяли интенсивность, при которой происходит локальное снижение коэффициента вариации концентрации рачков. Это значение использовали как I1.
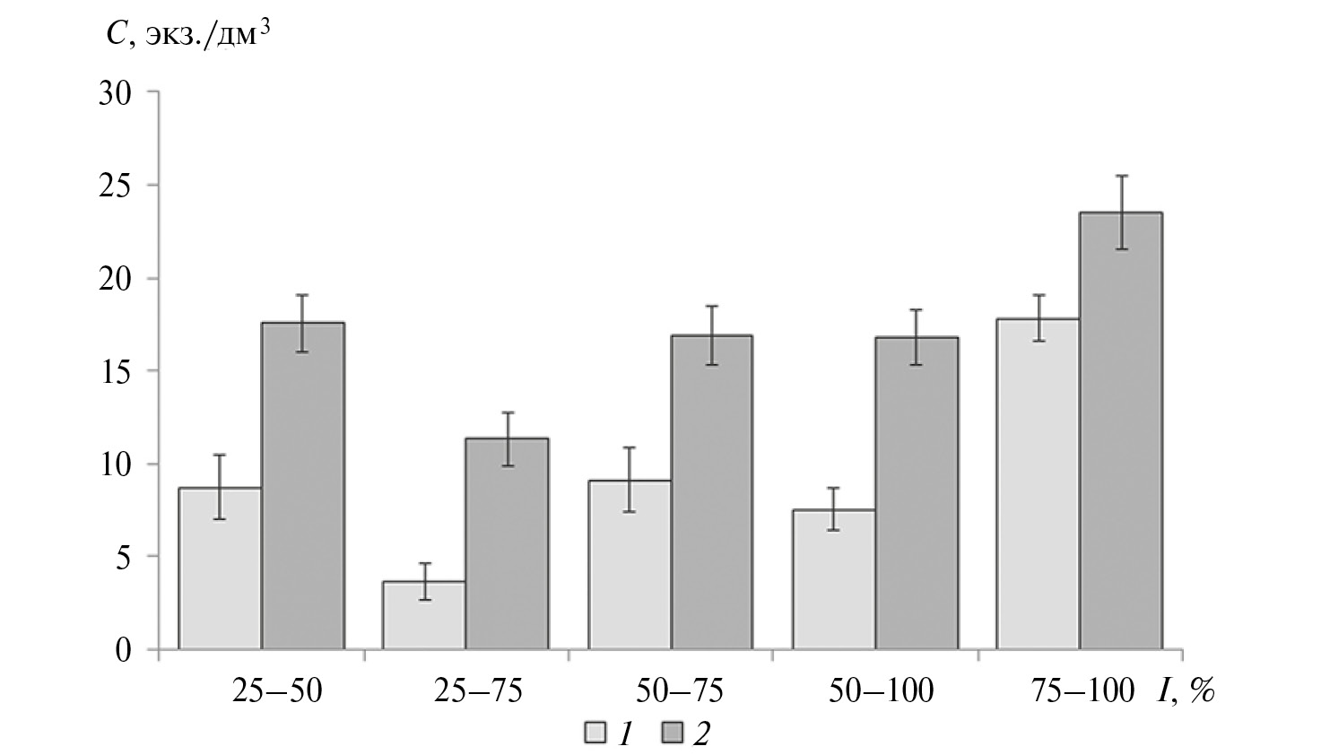
При различных сочетаниях интенсивности аттракторного освещения первой и второй ступеней парной фотостимуляции уровень прироста реакции различен. Наибольший относительный прирост концентрации рачков (211 ± 27%) наблюдали при сочетании уровня освещенности 25–75% (рис. 4).
Рис. 4. Концентрация рачков (C, экз./дм³) в зависимости от соотношения интенсивности аттракторного освещения (I, % максимальной) при первой (1) и второй (2) ступенях парной фотостимуляции.
Выявлены следующие особенности в поведенческих реакциях рачков: максимальный прирост концентрации рачков в ответ на вторую фотостимуляцию был при сочетании интенсивности аттракторного освещения первой и второй ступеней парной фотостимуляции 25–75% максимальной интенсивности; восстановление исходного состояния ансамбля рачков происходило за >10 мин, поэтому минимальный промежуток времени до следующего тестирования должен превышать 15 мин.
С учетом полученных данных разработана схема последующих серий экспериментов.
Реакция на нарастающую концентрацию модельного токсиканта K₂Cr₂O₇. После регистрации параметров фототаксиса в фоне, поэтапно, через каждые 30 мин повышали концентрацию токсиканта до 0.06 мг/дм³, 0.12 мг/дм³ и 0.24 мг/дм³. Время воздействия поллютанта при каждой концентрации было 30 мин.
Рис. 5. Зависимость концентрации рачков (С, экз./дм³) и прироста их концентрации (∆С/С₂, п.п.) при парной фотостимуляции от концентрации токсиканта CK₂Cr₂O₇, /3.
Снижение концентрации рачков Daphnia magna в контролируемом объеме происходило при фотостимуляции как низкой интенсивности, так и высокой (рис. 5). Однако эти изменения концентраций рачков были недостоверными из-за большой вариабельности значений. Результирующая модель множественной регрессии при освещении I1 = 1150 лк (25% максимальной) и I2 = 3450 лк (75% максимальной):
где Токс — произведение концентрации на время действия токсиканта, ΔС = С2 – С1 – разница концентрации рачков (экз./дм³) за 5 мин фотостимуляции при второй и первой интенсивности фотостимуляции, C1 – концентрация рачков (экз./дм³) за 5 мин фотостимуляции с интенсивностью I1, C2 – концентрация рачков (экз./дм³) за 5 мин фотостимуляции с интенсивностью I2, – отношение ΔС к концентрации при второй интенсивности, объясняет связь с предикторами на 74% (adjusted R2 = 0.74) с точностью 0.55 (p <0.0001). Это позволило отказаться от скоростных характеристик перемещения рачков.
Показатель ΔC/C2 градуально снижался по мере нарастания концентрации токсиканта, т.е. наблюдали угнетение фототропной реакции. Достоверное снижение этого показателя (с 48.0 ± 5.3 п.п. в фоне до 29.0 ± 3.2 п.п., p <0.0001, df = 18) происходило при концентрации токсиканта 0.12 мг/дм³.
Динамика фототаксиса при экспозиции планктона в контаминированных средах. Моделирование различной токсичности среды может осуществляться двумя способами: увеличением концентрации токсиканта или увеличением времени нахождения рачков в среде с его неизменной концентрацией.
Контрольная серия (внесение культивационной воды). Предварительное исследование показало, что внесение 0.5 дм³ культивационной воды без поллютанта не приводило к достоверному изменению показателей, в том числе показателя .
Контаминация бихроматом калия. Внесение бихромата калия в количестве, создающем в аквариуме концентрацию 0.12 мг/дм³, приводило к изменению показателя рачков D. magna (рис. 6а): до внесения поллютанта значение было 86 ± 12 п.п.; после внесения наблюдали увеличение вариабельности показателя и только через 120 мин он достоверно снижался до 56 ± 7 п.п. (р = 0.04, df = 18). Дальнейшее снижение достигало 48 ± 5 п.п. (р = 0.009, df = 18) через 150 мин и 53 ± 6 п.п. (р = 0.02, df = 18) до 180 мин. Таким образом, этот показатель фототаксиса отражал нарастание кумулятивной дозы токсиканта.
У D. pulex динамика показателя носила более сложный характер. При фоновом значении 51 ± 4 п.п., показатель снижался до 36 ± 5 п.п. (р = 0.03, df = 18) через 60 мин, и почти не изменялся до 120 мин. Далее значение повышалось до начального уровня (рис. 6б).
Контаминация микропластиком. Частицы микропластика в концентрации 5·105 ед./дм³ (0.5 мг/дм³) приводила к разнонаправленному изменению показателя ΔC/C2 рачков D. magna (рис. 6а). До внесения поллютанта значение достигало 67 ± 4 п.п. После внесения поллютанта этот показатель снижался до 51 ± 3 п.п. (р = 0.004, df = 18) через 60 мин и до 48 ± 4 п.п. (р = 0.003, df = 18) через 90 мин. Через 1.5 ч происходило увеличение показателя через 120 мин до 64 ± 6 п.п. (р = 0.68, df = 18) и дальнейшее снижение до 59±5 п.п. (р = 0.2, df = 18) к через 150 мин и до 48±6 п.п. (р = 0.017, df = 18) через 180 мин. Таким образом, как и при действии бихромата калия, показатель фототаксиса отражал возрастание кумулятивной дозы поллютанта.
Рис. 6. Динамика показателя ∆С/С₂ рачков Daphnia magna Straus (а) и Daphnia pulex (б) при внесении культивационной воды (1) и CK₂Cr₂O₇, (2) и микропластика (3).
Внесение микропластика приводило к разнонаправленному изменению у рачков D. pulex (рис. 6б). После внесения поллютанта, после недостоверного повышения до 74 ± 5 п.п. (р = 0.01, df =18) на десятой минуте, показатель снижался до 51 ± 6 п.п. (р = 0.001, df = 18) через 60 мин; до 49 ± 5 п.п. (р = 0.002, df = 18) через 90 мин и до 48 ± 4 п.п. (р = 0.001, df = 18) через 120 мин. После этого наблюдался подъем показателя до 67 ± 8 п.п. (р = 0.46, df = 18) через 150 мин и до 68 ± 12 п.п. (р <0.65, df = 18) через 180 мин. Изменение показателя С/С2 происходило аналогично его изменению при контаминации бихроматом калия.
Рис. 7. Динамика концентрации D. magna (a) и D. pulex (б) в среде, контаминированной микропластиком.
Следует отметить, что по результатам данных, полученных с помощью DHC, после внесения микропластика в ответ на фотостимуляцию наблюдали различную динамику численности рачков D. magna и D. pulex (рис. 7). Если за время пребывания в контаминированной среде в контролируемом DHC объеме концентрация D. magna на первой и второй ступенях фотостимуляции оставалась приблизительно постоянной (5.1 ± 0.5 экз./дм³ и 11.7 ± 0.5 экз./дм³ соответственно), то концентрация D. pulex снижалась на первой ступени с 7.7 ± 2.9 экз./дм³ (30 мин) до 1.3 ± 0.6 экз./дм³ (180 мин), и на второй ступени — с 21.9 ± 2.0 экз./дм³ (30 мин) до 4.0±1.2 экз./дм³ (180 мин).
ОБСУЖДЕНИЕ РЕЗУЛЬТАТОВ
В доступной нам литературе отсутствуют данные об использовании парной фотостимуляции при биоиндикации загрязнения водных экосистем. Однако имеются многочисленные данные о светозависимой миграции зоопланктона (Overholt et al., 2016; Kim et al., 2018; Colangeli et al., 2019; Moeller et al., 2019; Simão et al., 2019; Sha et al., 2021). Причем эта миграция меняется вплоть до инверсии знака фототаксиса при контаминации водной среды (Maher et al., 2014; Colangeli et al., 2019; Simão et al., 2019; Bedrossiantz al., 2020; Sha et al., 2021), в том числе фотореактивными частицами, такими как нанооксид цинка и микропластик (Bhuvaneshwari et al., 2017; Lehutso et al., 2021).
Имеются данные о наличии корреляции фототропной реакции с длиной волны, интенсивностью и продолжительностью предъявляемых световых стимулов (Mimouni et al., 1993; Storz et al., 1998; Maher et al., 2014; Overholt et al., 2016). Кроме того, выявлены различия в поведении веслоногих раков как на межвидовом, так и на внутривидовом уровне (Overholt et al., 2016).
Бихромат калия считается модельным токсикантом в большинстве стандартных биотестов (OECD 202, 200443; ISO 6341:2012; OECD 236, 20134; OECD 203, 20195) для определения чувствительности гидробионтов, поэтому используется многочисленными авторами в качестве тестирующего воздействия при проведении лабораторных исследований. Реакция на токсическое воздействие K₂Cr₂O₇ в возрастающей концентрации однозначна и градуальна, что позволяет сравнивать чувствительность тест-организмов и тест-реакций при проведении биотестирования.
В нашей работе установлено, что при контаминации среды модельным токсикантом и частицами микропластика общая закономерность — угнетение фототропной реакции рачков D. magna и D. pulex на парную фотостимуляцию.
Аналогично формуле Габера:
Э = C∙t,
де Э — эффект, С и t – концентрация и время действия (цит. по: Ержанова, 2023), кумулятивная доза воздействия может быть вычислена как D = C ∙ tex, где C — концентрация токсиканта, tex — время экспозиции рачков в контаминированной среде. Для D. magna и D. pulex при проверке чувствительности к модельному токсиканту в соответствии с (OECD 202, 2004) 50%-ная смертность наступает в течение 24 ч в диапазоне концентраций 0.9÷2.0 мг/дм³, т.е. полулетальная доза (LD50) находится в диапазоне 21–48 мг/дм³∙ ч. Тогда предельно допустимое воздействие, не вызывающее достоверную реакцию (<10%) LD10, достигает ~3 мг/дм³∙ ч.
В нашем эксперименте реакция на внесение токсиканта проявлялась у D. magna через 2 ч экспозиции, у D. pulex — через 1 ч. Это соответствует кумулятивным дозам воздействия 0.24 мг/дм³∙ ч и 0.12 мг/дм³∙ ч, что существенно меньше LD10 ~3 мг/дм³∙ ч, определенной по гибели рачков. Таким образом, чувствительность особей D. pulex выше, у них регистрируется более ранняя, но транзиторная реакция, что необходимо учитывать при создании систем раннего реагирования.
Различия в фототропной реакции сообществ D. magna и D. pulex при контаминации среды микропластиком не столь велики. Достоверная реакция на внесение микропластика проявлялась у D. magna через 30 мин экспозиции, у D. pulex — через 60 мин. Это соответствует кумулятивным дозам воздействия 2.5 ∙ 105 частиц/дм³∙ ч и 5 ∙ 105 частиц/ дм³∙ ч. Как и в случае контаминации бихроматом калия, у D. pulex регистрировали транзиторную реакцию, у D. magna угнетение фототаксиса на парную фотостимуляции имело нарастающий характер. В то же время, скорость снижения показателя (тангенса угла наклона линии, аппроксимирующей динамику этого показателя (Morgalev et al., 2022)) у D. pulex в первые два часа после внесения поллютанта существенно больше (14.4 ± 0.5 п.п./ч), чем у D. magna (5.6 ± 0.7 п.п./ч, p >0.0001), что указывает на их более высокую чувствительность.
Полученные предлагаемым нами методом данные о повышенной чувствительности D. pulex к молекулярному токсиканту K₂Cr₂O₇, аналогичны результатам, полученным с использованием стандартных методов биотестирования. Различие заключается в большей чувствительности метода парной фотостимуляции в начальные сроки после внесения токсиканта.
Можно предположить, что при увеличении размера частиц микропластика и уменьшении их биодоступности они перестанут представлять опасность для данного звена пищевой цепи, по крайней мере, в качестве антинутриента или балластного вещества, адсорбирующего и концентрирующего вредные вещества.
Таким образом, токсичность пластиков для мезопланктона зависит от видовой принадлежности рачков. На связь чувствительности с видовой принадлежностью, размерами и даже пищевыми предпочтениями рачков указано в работе (Bai et al., 2021). Из данного факта вытекает необходимость учета интегральной реакции всего мезопланктонного сообщества, что возможно только при регистрации реакций автохтонного планктона in situ.
Сопоставление с данными литературы представляет большую трудность из-за разного дизайна экспериментов, и, главным образом, с ограниченным количеством данных по фототропной реакции рачков. В связи с разнообразием применяемых исследователями частиц микропластика невозможно определить, насколько предложенный нами метод более чувствителен к контаминации микропластика. Однако сам факт наличия зависимости реакции на парную фотостимуляцию от кумулятивной дозы частиц микропластика, причем в достаточно короткое время, показывает перспективность применения этого метода для оперативного обнаружения загрязнения акватории.
ЗАКЛЮЧЕНИЕ
В лабораторных экспериментах показано, что контаминация среды обитания микропластиком приводит к изменению параметров поведенческой фототропной реакции мезозоопланктона. Для повышения чувствительности данного способа обнаружения малых сублетальных концентраций микропластика разработан метод парной фотостимуляции поведенческой реакции мезозоопланктона, заключающийся в последовательном предъявлении световых стимулов нарастающей интенсивности. Определены оптимальные параметры и режимы аттракторного освещения. Применение парной фотостимуляции существенно повышает чувствительность метода выявления загрязнений по поведенческим реакциям автохтонного мезопланктона. Чувствительность фототропной реакции при парной стимуляции к наличию поллютантов превосходит чувствительность метода определения токсичности среды по гибели тест-организмов. Минимальная вариабельность и максимальный отклик при воздействии поллютантов характерны для показателя ΔC/C2 – отношения разницы концентрации рачков при первой и второй интенсивности фотостимуляции к концентрации рачков при второй интенсивности. Выполненные исследования показали перспективность использования фототропной реакции зоопланктона для мониторинга качества среды его обитания с целью ранней диагностики загрязнений акваторий микропластиком.
ФИНАНСИРОВАНИЕ
Экспедиционная часть работы выполнена при финансовой поддержке программы развития Томского государственного университета (Приоритет-2030), экспериментальные исследования выполнены в рамках Государственного задания Министерства науки и высшего образования Российской Федерации (Проект № FSWM-2020-0019).
1 ISO 6341:2012 “Water quality – Determination of the inhibition of the mobility of Daphnia magna Straus (Cladocera, Crustacea) – Acute toxicity test”.
2 СанПиН 2.1.3684–21 “Санитарно-эпидемиологические требования к содержанию территорий городских и сельских поселений, к водным объектам, питьевой воде и питьевому водоснабжению, атмосферному воздуху, почвам, жилым помещениям, эксплуатации производственных, общественных помещений, организации и проведению санитарно-противоэпидемических (профилактических) мероприятий”.
3 OECD (2004), Test No. 202: Daphnia sp. Acute Immobilisation Test, OECD Guidelines for the Testing of Chemicals, Section 2, OECD Publishing, Paris, https://doi.org/10.1787/9789264069947-en.
4 OECD, 2013. Test No 236: Fish Embryo Acute Toxicity (FET) Test. OECD Guidelines for the Testing of Chemicals, Section, 2, 1-22. https://doi.org/10.1787/20745761.
5 OECD, 2019. Test no. 203: Fish, acute toxicity test. OECD guideline for the testing of chemicals. OECD. OECD Publishing, Paris. https://doi.org/10.1787/9789264069961-en.
About the authors
V. V. Dyomin
National Research Tomsk State University
Email: S.morgalev@gmail.com
Russian Federation, Tomsk
Yu. N. Morgalev
Center for Biotesting of Nanotechnologies and Nanomaterials Safety, National Research, Tomsk State University
Email: S.morgalev@gmail.com
Russian Federation, Tomsk
S. Yu. Morgalev
Center for Biotesting of Nanotechnologies and Nanomaterials Safety, National Research, Tomsk State University
Email: S.morgalev@gmail.com
Russian Federation, Tomsk
T. G. Morgaleva
Center for Biotesting of Nanotechnologies and Nanomaterials Safety, National Research, Tomsk State University
Author for correspondence.
Email: S.morgalev@gmail.com
Russian Federation, Tomsk
A. Yu. Davydova
National Research Tomsk State University
Email: S.morgalev@gmail.com
Russian Federation, Tomsk
I. G. Polovtsev
National Research Tomsk State University
Email: S.morgalev@gmail.com
Russian Federation, Tomsk
O. V. Kondratova
Center for Biotesting of Nanotechnologies and Nanomaterials Safety, National Research, Tomsk State University
Email: S.morgalev@gmail.com
Russian Federation, Tomsk
A. A. Kosiakova
Center for Biotesting of Nanotechnologies and Nanomaterials Safety, National Research, Tomsk State University
Email: S.morgalev@gmail.com
Russian Federation, Tomsk
A. K. Mostovaya
Center for Biotesting of Nanotechnologies and Nanomaterials Safety, National Research, Tomsk State University
Email: S.morgalev@gmail.com
Russian Federation, Tomsk
References
- Ильина О.В., Колобов М.Ю., Ильинский В.В. 2021. Пластиковое загрязнение прибрежных поверхностных вод среднего и южного Байкала // Водн. ресурсы. Т. 48(1). С. 42. https://doi.org/10.31857/s0321059621010181
- Ержанова А.Е. Гигиеническое нормирование. https://ppt-online.org/123121. Accessed May 03, 2023.
- Сапрыкин А., Самойлов П.П. 2021. Микро- и нанопластики в окружающей среде (Аналитика, источники, распределение и проблемы экологии) // Экология. Сер. аналитических обзоров мировой литературы. № 110. С. 1. https://www.spsl.nsc.ru/wp-content/uploads/2022/04/V_110.pdf
- Anokhin P.K. 1974. Biology and Neurophysiology of the Conditioned Reflex and Its Role in Adaptive Behavior. Oxford: Pergamon Press. https://archive.org/details/biologyneurophys0000anok
- Au S.Y., Bruce T.F., Bridges W.C., Klaine S.J. 2015. Responses of Hyalella azteca to acute and chronic microplastic exposures // Environ. Toxicol. Chem. V. 34. P. 2564. https://doi.org/10.1002/etc.3093
- Bai Z., Wang N., Wang M. 2021. Effects of microplastics on marine copepods // Ecotoxicol. Environ. Saf. V. 217. P. 112243. https://doi.org/10.1016/j.ecoenv.2021.112243
- Bedrossiantz J., Martínez-Jerónimo F., Bellot M. et al. 2020. A high-throughput assay for screening environmental pollutants and drugs impairing predator avoidance in Daphnia magna // Sci. Total Environ. V. 740. P. 14004520. https://doi.org/10.1016/j.scitotenv.2020.140045
- Besseling E., Wang B., Lurling M., Koelmans A.A. 2014. Nanoplastic affects growth of S. obliquus and reproduction of D. magna // Environ. Sci. Technol. V. 48. P. 12336. https://doi.org/10.1021/es503001d
- Bhuvaneshwari M., Sagar B., Doshi S. et al. 2017. Comparative study on toxicity of ZnO and TiO2 nanoparticles on Artemia salina: effect of pre-UV-A and visible light irradiation // Environ. Sci. Pollut. Res. V. 24. P. 5633. https://doi.org/10.1007/s11356-016-8328-z
- Browne M.A., Nive S.J., Galloway T.S. et al. 2013. Microplastic moves pollutants and additives to worms, reducing functions linked to health and biodiversity // Curr. Biol. V. 23. P. 2388. https://doi.org/10.1016/j.cub.2013.10.012
- Browne M.A., Underwood A.J., Chapman M.G. et al. 2015. Linking effects of anthropogenic debris to ecological impacts // Proc. Biol. Sci. V. 282(1807). P. 20142929. https://dx.doi.org/10.1098/rspb.2014.2929
- Colangeli P., Schlägel U.E., Obertegger U. et al. 2019. Negative phototactic response to UVR in three cosmopolitan rotifers: A video analysis approach // Hydrobiologia. V. 844. P. 43. https://doi.org/10.1007/s10750-018-3801-y
- Cole M., Lindeque P., Fileman E. et al. 2015. The impact of polystyrene microplastics on feeding, function and fecundity in the marine copepod Calanus helgolandicus // Environ. Sci. Technol. V. 49(2). P. 1130. https://doi.org/10.1021/es504525u
- Cózar A., Echevarría F., González-Gordillo J.I. et al. 2014. Plastic debris in the open ocean // Proc. Natl. Acad. Sci. USA. V. 111(28). P. 10244. https://doi.org/10.1073/pnas.1314705111
- Dyomin V., Davydova A., Olshukov A., Polovtsev I. 2019а. Hardware means for monitoring research of plankton in the habitat: problems, state of the art, and prospects // OCEANS. Marseille. Marseille. France. P. 1. https://doi.org/10.1109/OCEANSE.2019.8867512
- Dyomin V., Gribenyukov A., Davydova A. et al. 2019b. Holography of particles for diagnostic tasks // Applied Optics. V. 58. P. 300. https://doi.org/10.1364/AO.58.00G300
- Dyomin V., Davydova A., Morgalev Y. et al. 2020. Planktonic response to light as a pollution indicato // J. Great Lakes Res. V. 46(1). P. 41. https://doi.org/10.1016/j.jglr.2019.10.012
- Dyomin V., Morgalev Y., Polovtsev I. et al. 2021. Phototropic response features for different systematic groups of mesoplankton under adverse environmental conditions // Ecol. Evol. V. 11(23). P. 16487. https://doi.org/10.1002/ece3.8072
- Frank Y.A., Vorobiev D.S., Kayler O.A. et al. 2021. Evidence for Microplastics Contamination of the Remote Tributary of the Yenisei River, Siberia — The Pilot Study Results // Water. V. 13(23). P. 3248. https://doi.org/.org/10.3390/w13223248
- Ivanova E.V., Pozdnyakov Sh.R., Tikhonova D.A. 2021. Analysis of microplastic concentrations in water and bottom sediments as a new aspect of ecological monitoring // IOP Conf. Ser.: Earth Environ. Sci. V. 834. P. 12057. https://doi.org/10.1088/1755-1315/834/1/012057
- Jambeck J.R., Geyer R., Wilcox C. et al. 2015. Plastic waste inputs from land into the ocean // Science. V. 347. P. 768. https://dx.doi.org/10.1126/science.1260352
- Karami A., Romano N., Galloway T., Hamzah H. 2016. Virgin microplastics cause toxicity and modulate the impacts of phenanthrene on biomarker responses in African catfish (Clarias gariepinus) // Environ Res. V. 151. P. 58. https://doi.org/10.1016/j.envres.2016.07.024
- Kim H., Lee J., Hagiwara A. 2018. Phototactic behavior of live food rotifer Brachionus plicatilis species complex and its significance in larviculture: A review // Aquaculture. V. 497. P. 253. https://doi.org/10.1016/j.aquaculture.2018.07.070
- Lehutso R., Wesley-Smith J., Thwala M. 2021. Aquatic Toxicity Effects and Risk Assessment of ‘Form Specific’ Product-Released Engineered Nanomaterials // Int. J. Mol. Sci. V. 22. P. 12468. https://doi.org/10.3390/ijms22221246
- Lisina A.A., Platonov M.M., Lomakov O.L. et al. 2021. Microplastic Abundance in Volga River: Results of a Pilot Study in Summer 2020 // Geography, Environment, Sustainability. V. 14(3). P. 82. https://doi.org/10.24057/2071-9388-2021-041
- Li W.C., Tse H.F., Fok L. 2016. Plastic waste in the marine environment: A review of sources, occurrence and effects // Sci. Total Environ. V. 566. P. 333. https://doi.org/10.1016/j.scitotenv.2016.05.084
- Lu Y., Zhang Y., Deng Y. et al. 2016. Uptake and accumulation of polystyrene microplastics in zebrafish (Danio rerio) and toxic effects in liver // Environ. Sci. Technol. V. 50(7). P. 4054. https://doi.org/10.1021/acs.est.6b00183
- Maher T., Zaccariello D., Stearns D. 2014. Photobehavioral Responses of Daphnia magna to Selected Light Cues // www.eposters.net/pdfs/photobehavioral-responses-of-daphnia-magna-to-selected-light-cues.pdf. Accessed May 03, 2023.
- Mattsson K., Johnson E.V., Malmendal A. et al. 2017. Brain damage and behavioural disorders in fish induced by plastic nanoparticles delivered through the food chain // Sci. Reports. V. 7(1). P. 11452. https://doi.org/10.1038/s41598-017-10813-0
- Mimouni P., Luciani A., Clément P. 1993. How females of the rotifer Asplanchna brightwelli swim in darkness and light: An automated tracking study // Hydrobiologia V. 255. P. 101. https://doi.org/10.1007/BF00025827
- Moeller H.V., Laufkötter C., Sweeney E.M., Johnson M.D. 2019. Light-dependent grazing can drive formation and deepening of deep chlorophyll maxima // Nat. Commun. V. 10. P. 1978. https://doi.org/10.1038/s41467-019-09591-2
- Morgalev Yu., Dyomin V., Morgalev S. et al. 2022. Environmental Contamination with Micro- and Nanoplastics Changes the Phototaxis of Euryhaline Zooplankton to Paired Photostimulation // Water. V. 14. P. 3918. https://doi.org/10.3390/w14233918
- Morgalev Yu.N., Morgaleva T.G. 2007. Species and individual features of hemodynamic reactions in hypobarical hypoxia // Tomsk State University J. V. 300(2). P. 186.
- Nava V., Chandra S., Aherne J. et al. 2023. Plastic debris in lakes and reservoirs // Nature. V. 619. P. 317. https://doi.org/.org/10.1038/s41586-023-06168-4
- Ogonowski M., Schür C., Jarse´n Å., Gorokhova E. 2016. The effects of natural and anthropogenic microparticles on individual fitness in Daphnia magna // PLoS One. V. 11(5). P. e0155063. https://doi.org/10.1371/journal.pone.0155063
- Overholt E.P., Rose K.C., Williamson C.E. et al. 2016. Behavioral responses of freshwater calanoid copepods to the presence of ultraviolet radiation: Avoidance and attraction // J. Plankton Res. V. 38. P. 16. https://doi.org/10.1093/plankt/fbv113
- Pedrotti M.L., Lombard F., Baudena A. et al. 2022. An integrative assessment of the plastic debris load in the Mediterranean Sea // Sci. Total Еnviron. V. 838. P. 155958. https://doi.org/10.1016/j.scitotenv.2022.155958
- Phuong N.N., Zalouk-Vergnoux A., Poirier L. et al. 2016. Is there any consistency between the microplastics found in the field and those used in laboratory experiments? // Environ. Pollut. V. 211. P. 111. https://doi.org/10.1016/j.envpol.2015.12.035
- Rehse S., Kloas W., Zarfl C. 2016. Short-term exposure with high concentrations of pristine microplastic particles leads to immobilisation of Daphnia magna // Chemosphere. V. 153. P. 91. https://doi.org/10.1016/j.chemosphere.2016.02.133
- Rochman C.M., Hoh E., Kurobe T., Teh S.J. 2013. Ingested plastic transfers hazardous chemicals to fish and induces hepatic stress // Sci. ReP. V. 3. P. 3263. https://doi.org/10.1038/srep0326
- Romero-Blanco A., Remón-Elola A., Alonso, Á. 2021. Assessment of the Effects of Environmental Concentrations of Microplastics on the Aquatic Snail Potamopyrgus antipodarum // Water, Air and Soil Pollut. V. 232. P. 438. https://doi.org/10.1007/s11270-021-05379-7
- Scherer C., Weber A., Lambert S., Wagner M. 2018. Interactions of microplastics with freshwater biota, in Freshwater microplastics Emerging. Environmental Contaminants? Cham: Springer. P. 153. https://link.springer.com/content/pdf/10.1007/978-3-319-61615-5.pdf
- Sha Y., Zhang H., Lee M. et al. 2021. Diel vertical migration of copepods and its environmental drivers in subtropical Bahamian blue holes // Aquat. Ecol. V. 55. P. 1157. https://doi.org/10.1007/s10452-020-09807-4
- Simão F.C.P., Martínez-Jerónimo F., Blasco V., Moreno F. et al. 2019. Using a new high-throughput video-tracking platform to assess behavioural changes in Daphnia magna exposed to neuro-active drugs // Sci. Total Environ. V. 662. P. 160. https://doi.org/10.1016/j.scitotenv.2019.01.187
- Storz U., Paul R. 1998. Phototaxis in water fleas (Daphnia magna) is differently influenced by visible and UV light // J. ComP. Physiol. A. V. 183. P. 709. https://doi.org/10.1007/s003590050293
- Svetlichny L., Isinibilir M., Mykitchak T. et al. 2021. Microplastic consumption and physiological response in Acartia clausi and Centropages typicus: Possible roles of feeding mechanisms // Regional Studies in Mar. Sci. V. 43. P.101650. https://doi.org/10.1016/j.rsma.2021.101650
- Van Sebille E., Wilcox C., Lebreton L. et al. 2015. A global inventory of small floating plastic debris // Environ. Res. Lett. V. 10. P. 124006. https://dx.doi.org/10.1088/1748-9326/10/12/124006
- Vasilopoulou G., Kehayias G., Kletou D. et al. 2021. Microplastics Investigation Using Zooplankton Samples from the Coasts of Cyprus (Eastern Mediterranean) // Water. V. 13. P. 2272. https://doi.org/10.3390/w13162272
- Von Moos N., Burkhardt-Holm P., Köhler A. 2012. Uptake and effects of microplastics on cells and tissue of the blue mussel Mytilus edulis L. after an experimental exposure // Environ. Sci. Technol. V. 46(20). P. 11327. https://doi.org/10.1021/es302332w
- Wagner M., Lambert S. 2018. Freshwater microplastics: emerging environmental contaminants? // Springer Nature. https://link.springer.com/content/pdf/10.1007/ 978-3-319-61615-5.pdf
- Wagner M., Scherer Ch., Alvarez-Muñoz D. et al. 2014. Microplastics in freshwater ecosystems: what we know and what we need to know // Environ. Sci. Europe. V. 26. P. 12. https://doi.org/10.1186/s12302-014-0012-7
- Weber A., Scherer C., Brennholt N. et al. 2018. PET microplastics do not negatively affect the survival, development, metabolism and feeding activity of the freshwater invertebrate Gammarus pulex // Environ. Pollut. V. 234. P. 181. https://dx.doi.org/10.1016/j.envpol.2017.11.014
- Weiss A., Chambon V., Lee J.K. et al. 2021. Interacting with volatile environments stabilizes hidden-state inference and its brain signatures // Nat. Commun. V. 12. P. 2228. https://doi.org/10.1038/s41467-021-22396-6
- Welden N.A., Cowie P.R. 2016. Environment and gut morphology influence microplastic retention in langoustine, Nephrops norvegicus // Environ Pollut. V. 214. P. 859. https://doi.org/10.1016/j.envpol.2016.03.067
- Wong B.B., Candolin U. 2015. Behavioral responses to changing environments // BehaV. Ecol. V. 26. P. 665. https://dx.doi.org/10.1093/beheco/aru183
- Wright S.L., Thompson R.C., Galloway T.S. 2013. The physical impacts of microplastics on marine organisms: a review // Environ. Pollut. V. 178. P. 483. https://doi.org/10.1016/j.envpol.2013.02.031
Supplementary files









