Influence of Microplastics on the Nutritional and Locomotive Activity of Dinoflagellate Oxyrrhis marina in the Experiment
- Authors: Rauen T.V.1, Mukhanov V.S.1, Baiandina I.S.1, Lyakh A.M.1
-
Affiliations:
- A. O. Kovalevsky Institute of Biology of the Southern Seas of Russian Academy of Sciences
- Issue: Vol 17, No 2 (2024)
- Pages: 296-307
- Section: ВОДНАЯ ТОКСИКОЛОГИЯ
- URL: https://ogarev-online.ru/0320-9652/article/view/262113
- DOI: https://doi.org/10.31857/S0320965224020088
- EDN: https://elibrary.ru/xtgdhh
- ID: 262113
Cite item
Full Text
Abstract
The incorporation of microplastic particles (MPs) into the microbial food chain and their impact on physiology of consuming organisms has been largely underexplored. The heterotrophic dinoflagellate Oxyrrhis marina serves as a good model for understanding these processes. In this work, flow cytometry methods were used to analyze the dynamics of consumption by this predator of its natural prey, the microalga Isochrysis galbana (ISO), and plastic microspheres (MS) of the same size. In addition, the effect of the diets containing these components on the swimming speed and movement patterns of Oxyrrhis marina cells was evaluated using a computer method for analyzing video recordings of O. marina movement. It was shown that from the first minutes of the experiment, the dinoflagellates actively consumed both the preys, but by the end of the experiment, the number of MS in the medium decreased to a lesser extent, from 4.4 to 2.2 · 105/mL, while Isochrysis galbana cells were almost completely grazed, and their abundance decreased by more than two orders of magnitude, from 4.9 · 105 cells/mL to 2.3 · 103 cells/mL. Such dynamics were associated with compensation for the number of microspheres in the medium due to their excretion and repeated phagocytosis by Oxyrrhis marina. The increase in the size of dinoflagellate cells, which was a consequence of the consumption of plastic microspheres, did not lead to a noticeable decrease in their mobility and impaired locomotion. ‘Unproductive’ feeding of the dinoflagellates on microplastics did not supply them with nutrients and was the reason for a statistically significant decrease in their abundance (compared to the control and experiment with microalgae). This seemed to be due to the unreasonably high energy consumption of their population for constant search, phagocytosis, and excretion of microspheres. There were no signs of the predator’s rejection of such an unproductive nutrition strategy; on the contrary, cell mobility increased over time, which only worsened the situation. Such processes can have far-reaching negative consequences for the entire food chain. In particular, microplastics “packaged” by unicellular organisms can be transported to higher trophic levels and accumulate in mollusks, fish, and larger predators.
Full Text
Сокращения
МП – микропластик, MS – микросферы
ВВЕДЕНИЕ
Проблема загрязнения Мирового океана пластиком, которая в последние десятилетия находится в фокусе внимания мирового научного сообщества, становится с каждым годом все более актуальной. Отсутствие новых, стандартизованных подходов к изготовлению полимеров и их утилизации, а также пандемия COVID-19, повлекшая за собой многократный рост производства средств индивидуальной защиты (Prata, 2020; Silva, 2021) значительно усугубили ситуацию.
На пластик приходится 80–85% морского мусора (Maes et al., 2021). По данным работы (Law, Narayan, 2022), из 31.9 млн тонн пластиковых отходов, загрязнивших прибрежные районы мира только в 2010 г., ~4.8–12.7 млн тонн попало в океан. Такая ситуация оказывает негативное воздействие на все морские экосистемы (Galloway et al., 2017; Carbery et al., 2018; Beaumont et al., 2019). В частности, деградация и последующая деструкция полимерной основы пластмасс приводят к образованию МП (Cooper, Corcoran, 2010; Chubarenko et al., 2020) – микрочастиц размером <5 мм, так или иначе попадающих в водную среду (Thompson et al., 2004; Barnes et al., 2009). По мере разложения пластиковых материалов их экологическое и токсическое воздействие усложняется.
Положительная или нейтральная плавучесть многих частиц МП в водной среде (Kukulka et al., 2012), а также размеры, сопоставимые с фитопланктоном — начальным звеном пищевой цепи, определяют один из основных, связанных с МП экологических рисков — биодоступность и его вовлечение в водную трофическую цепь (Cole et al., 2013). Это, в свою очередь, оказывает неблагоприятное воздействие на включенных в пищевую цепь гидробионтов — от эффекта ложного насыщения, блокировки пищеварительной системы с негативными последствиями для роста и размножения организмов (Sussarellu et al., 2016; Welden, Cowie 2016; Botterell et al., 2019) до нарушения моторики (Cole et al., 2013). Кроме того, пластик является вектором передачи входящих в его состав и сорбированных из водной среды токсических веществ (Ateia et al., 2020) потребляющим его организмам (Welden, Cowie 2016; Naik et al., 2019; Lomonaco et al., 2020).
Биоаккумуляцию МП гидробионтами неоднократно констатировали в различных исследованиях. В частности, его потребление отмечено у детритофагов, ракообразных, двустворчатых моллюсков и т.д. (Desforges et al., 2015; Rehse et al., 2016; Egbeocha et al., 2018; Wu et al., 2020). В то же время, литературных данных по потреблению МП простейшими недостаточно (Rillig, Bonkowski, 2018). Связь микропластикового загрязнения с трофикой микроорганизмов зоопланктона, составляющих основу пищевой цепи, и его влияние на их физиологию — наименее изученная проблема (Bermúdez et al., 2021). При этом потребление МП именно зоопланктонными одноклеточными может иметь серьезные последствия для морских пищевых сетей, поскольку они служат важным связующим звеном между первичными продуцентами и высшими трофическими организмами (Bermúdez et al., 2021).
В настоящей работе авторы исследовали потребление МП гетеротрофной динофлагеллятой Oxyrrhis marina (Dujardin, 1841). Этот организм был выбран неслучайно. Во-первых, O. marina успешно используется в аквакультурных производствах (Stottrup, 1986; Ханайченко, Битюкова, 1999), где 90% оборудования изготовлено из пластика, износ которого влечет за собой внедрение МП в среду выращивания организмов (Wu et al., 2020), и возможность его включения в искусственные цепи питания существенно снижает качество конечной продукции аквакультуры (Wu et al., 2020). Во-вторых, гетеротрофные динофлагелляты — основные потребители бактерио- и фитопланктона в водной среде, следовательно, направляют энергию первичной продукции на более высокие трофические уровни (Стельмах, Мансурова, 2021). Таким образом, динофлагелляты служат связующим трофическим звеном между микробной петлей и классической пищевой сетью океана (Steinberg, Landry, 2017) и играют ключевую роль в углеродном цикле (Hansen, 1991; Roberts, 2011). Потребление пластиковых частиц может серьезно влиять на механизмы этих процессов. В-третьих, O. marina уже длительное время cчитается универсальным модельным организмом, своеобразной “белой крысой” планктонологии (Montagnes, 2011; Roberts, 2011), который часто используется в качестве индикатора ряда фундаментальных процессов, связанных с морскими планктонными простейшими — ключевым компонентом динамики пелагической пищевой сети (Sherr, Sherr, 2002). Соответственно, имеется существенный арсенал данных, что определяет возможность сравнивать с ними полученные результаты.
Ранее, в ряде работ было показано, что O. marina активно потребляет частички пластика, если по своим размерам они напоминают его привычную пищу — клетки микроводорослей (Lyakurwa, 2017; Fulfer, Menden-Deuer, 2021; Rauen et al., 2023). По нашим наблюдениям (Rauen et al., 2023), отдельные клетки O. marina содержали в пищеварительных вакуолях до 5–6 МS диаметром 4 мкм, что оказывало заметное влияние на форму и размеры клеток. Это, в свою очередь, могло вести к изменениям в скорости и характере движения клеток и, как следствие, нарушениям поведенческих паттернов. Вид O. marina использует быструю вертикальную и горизонтальную миграции при поиске пищи (Deuer, Grünbaum, 2006). Можно предположить, что у содержащих МП динофлагеллят подобные миграции могут быть затруднены, нарушены процессы обнаружения и поимки жертвы.
Цель работы — выявить изменения в локомоции клеток O. marina (скорости и траектории движения) при их питании пластиковыми MS, которые по своим размерам соответствуют клеткам микроводорослей — основным кормовым объектам данного вида в природных условиях.
МАТЕРИАЛ И МЕТОДЫ ИССЛЕДОВАНИЯ
Культивирование. В эксперименте использовали культуры рабочей коллекции кормовых организмов отдела аквакультуры и морской фармакологии Института биологии южных морей — гаптофитовой микроводоросли Isochrysis galbana (Parke, 1949) и динофлагелляты O. marina. Микроводоросли культивировали на среде Уолна (Coutteau, 1996) при температуре 22 ± 1ºС, постоянном освещении 5 тыс. люкс, без аэрации. В экспериментах использовали аликвоты культур в экспоненциальной фазе роста. Культуры предварительно адаптировали к условиям эксперимента, O. marina держали в течение 2 сут без корма.
Рис. 1. Схема приготовления экспериментальных суспензий в контроле (CNRL) и опытах с микроводорослями I. galbana (ISO) и пластиковыми микросферами (MS) из следующих компонентов: m — питательной среды, O.m. — маточной культуры динофлагелляты O. marina, I.g. — маточной культуры I. galbana, ms — суспензии пластиковых микросфер.
Подготовленную культуру O. marina делили на три серии в трех повторностях. В первую серию (контроль — CNRL) к 6 мл культуры O. marina добавляли 300 мкл стерильной морской воды, во вторую (ISO) – в качестве жертвы добавляли 300 мкл культуры I. galbana, в третью (MS) – 300 мкл морской воды с пластиковыми МS (рис. 1). В эксперименте использовали полистирольные многоцветные микросферы (MS) Polychromatic Red диаметром 5.6 мкм (возбуждение — 491 нм, изготовитель Polysciences, Inc. США). Концентрацию микроводорослей и микросфер в экспериментальных сосудах уравнивали по численности путем разбавления исходных суспензий стерильной морской водой. Численное соотношение хищник: жертва было ~1 : 30. Начальные концентрации клеток в экспериментальных сосудах представлены в табл. 1.
Таблица 1. Начальные численности Oxyrrhis marina, Isochrysis galbana и пластиковых МS в контроле (CNRL) и опытах с I. galbana (ISO) и MS
Серия сосудов | Численность, 103/мл | ||
O. marina | I. galbana | MS | |
CNRL | 14.8 ± 0.9 | 0 | 0 |
ISO | 12.9 ± 1.0 | 490.4 ± 21.9 | 0 |
MS | 14.2 ± 1.1 | 0 | 438.8 ± 29.4 |
Полученные смеси инкубировали в конических стеклянных колбах в течение 6 ч при постоянном перемешивании, освещении и температуре 22 ± 1ºС. Контроль состояния клеток, измерения численности O. marina, I. galbana и микросфер, а также видеорегистрацию движения динофлагеллят проводили методами микроскопии и проточной цитометрии после отбора 1 мл проб во всех экспериментальных сосудах в начале эксперимента и спустя 2 и 6 ч.
Цитометрический анализ. Для исследования динамики количества MS, численности и размеров клеток O. marina и микроводорослей I. galbana в экспериментальных емкостях применяли проточный цитометр CytomicsTM FC 500 (Beckman Coulter, США), оборудованный 488 нм однофазным аргоновым лазером, и программное обеспечение CXP. Идентификацию (и гейтинг) MS и популяций микроорганизмов проводили по их размерам и фруоресцентному сигналу на 2-параметрических цитограммах прямого светорассеивания (FS) и автофлуоресценции в красной (FL4, 675 нм) и зеленой (FL1, 525 нм) областях спектра на безразмерных логарифмических шкалах (рис. 2).
Рис. 2. Графики для расчета общей численности (метод гейтинга) гетеротрофной динофлагелляты O. marina (OXY) и ее кормовых объектов — микросфер (MS) и гаптофитовой микроводоросли I. galbana (ISO) на 2-параметрических цитограммах прямого светорассеивания (FS) и флуоресценции в красной (FL4, 675 нм; слева) и зеленой (FL1, 525 нм; справа) областях спектра. OXY* – клетки динофлагеллят, потребляющие I. galbana и микросферы, OXY** – клетки динофлагеллят с микросферами в пищевых вакуолях (Rauen, 2023).
Все пищевые объекты (микроводоросли и MS) обладали красной их автофлуресценцией, тогда как только MS флуоресцировали также в зеленой части спектра. Голодные клетки O. marina идентифицировали только по сигналу FS, однако при питании микроводорослями и MS клетки динофлагеллят приобретали красную и/или зеленую флуоресценцию, интенсивность которой была пропорциональна количеству жертв в пищеварительных вакуолях (кластеры клеток OXY* и OXY** на рис. 2). Таким образом, проточная цитометрия позволяла не только исследовать динамику численности всех компонентов эксперимента, но и количественно оценивать долю популяции хищника с пищевыми объектами в вакуолях.
Концентрацию MS и микроорганизмов рассчитывали по скорости протока пробы (15 и 60 мкл/мин для хищника и жертв соответственно), времени счета (100–360 с) и количеству клеток (или MS), зарегистрированных в этот промежуток времени (минимум, 3000 клеток или частиц для каждой из повторностей) в соответствующих гейтах (рис. 2). Средние размеры клеток (ESD — эквивалентный сферический диаметр, мкм) в популяции O. marina определяли по величине сигнала FS после соответствующих калибровочных измерений набора микросфер разного диаметра. Контроль качества измерений проводили с помощью калибровочных флуоросфер Flow-CheckTM (Beckman Coulter) с известной концентрацией в пробе.
Микроскопия. Микрофотосъемку микросфер и микроорганизмов проводили под микроскопом Nikon Eclipse TS100-F, оборудованным цифровой камерой, в эпифлуоресцентном (набор светофильтров для возбуждения в синей области спектра) и световом режимах. Благодаря ярко-зеленой флуоресценции, MS были хорошо видны в питательной среде и в пищеварительных вакуолях O. marina (рис. 3).
Рис. 3. Клетки динофлагелляты O. marina с одной (а, б) и несколькими (в–е) МS в пищеварительных вакуолях в светлом поле (а, г) и эпифлуоресцентном режиме (б, в, д, е) (Rauen, 2023).
Пищевое поведение O. marina оценивали по количеству поглощенных пищевых объектов и по их убыванию в питательной среде.
Оценка двигательного поведения O. marina. Двигательное поведение оценивали по числу подвижных клеток, скорости и траектории их движения. Для определения скоростей движения использовали методику для сперматозоидов рыб (Baiandina, Khanaychenko, 2019). Видеосъемку движения динофлагеллят проводили в трех повторностях сразу после отбора проб в сосудах CNRL, ISO и MS. Каплю пробы объемом 0.1 мл наносили на предметное стекло так, чтобы суспензия не растекалась. Каплю не накрывали покровным стеклом, что позволяло клеткам O. marina свободно двигаться в суспензии.
В процессе видеозаписи каждой из трех повторностей поле зрения меняли три раза, выбирая участки с наиболее подвижными клетками. Поскольку активные клетки быстро уходили из поля зрения, их подвижность анализировали на протяжении коротких (15 с) отрезков времени. В программе VirtualDubMod проводили конвертацию видеофайлов, сохраняли отдельные файлы в формате AVI (uncompressed) без аудиодорожки, с частотой 20 кадров/с. Видеоролики анализировали в программе ImageJ с установленным плагином wrMTrck_Batch (Nussbaum-Krammer, 2015), который сохранял координаты клеток, их средние криволинейные и прямолинейные скорости в формате TXT, траектории движения клеток — в формате PNG (рис. 4).
Рис. 4. Трекинг движения динофлагеллят в программе ImageJ (а), набор треков, полученный в одном из экспериментов (б), и схема определения коэффициента спрямленности траектории движения O. marina (в). Обозначения L и l приведены в тексте.
По полученным в ImageJ длинам пути каждой клетки O. marina рассчитывали скорости их движения (мкм/с) и процент подвижных клеток для каждого образца. Клетки со скоростью <20 мкм/с считали малоподвижными и не учитывали при подсчете средних скоростей. Процент подвижных клеток рассчитывали из соотношения обнаруженных клеток со скоростями больше и меньше 20 мкм/с.
Для оценки степени извилистости пути, по которому двигались динофлагелляты, определяли так называемый коэффициент спрямленности траектории как отношение длины отрезка l, соединяющего начало и конец траектории, к общей длине траектории L (рис. 4в). Величина коэффициента менялась в диапазоне от 0 (максимальная извилистость пути) до 1 (прямолинейное движение).
Статистические методы обработки данных. Статистический анализ данных проводили в программах MS Excel и STATISTICA v.10. Численности клеток, микросфер и размеры клеток динофлагеллят представлены в виде средних значений и их стандартных отклонений (M ± SD), средние скорости движения и процент подвижных клеток — в виде медиан и 25 и 75 процентилей. На графиках использовали “коробочный” вид предоставления данных, где центральное значение — это медиана, в коробочке находится 50% данных, усы представляют собой процентили 95 и 5. Выборки данных были проверены на нормальность с помощью теста Колмогорова–Смирнова. Для оценки статистической значимости различий выборок нормально распределенных данных использовали дисперсионный анализ (ANOVA), критерий Фишера (F). Различия считали значимыми при р ≤ 0.05.
РЕЗУЛЬТАТЫ ИССЛЕДОВАНИЯ
Динамика численности хищника и жертв в ходе эксперимента. Численность клеток O. marina в течение эксперимента во всех сосудах изменялась незначительно (рис. 5а). Наибольшие изменения (15%) – статистической значимости уменьшение численности динофлагеллят с 14.2 ± 1.1 до 12.2 ± 1.1 тыс. кл./мл к концу эксперимента, наблюдали в сосудах с MS, наименьшие (3%) – в контроле (CNRL), где численность снижалась с 14.8 ± 0.9 до 14.3 ± 0.5 тыс. кл./мл (рис. 4а).
В эксперименте с микроводорослями (ISO) численность динофлагеллят возрастала с 12.9 ± 1.0 до 13.7 ± 1.0 тыс. кл./мл в первые 2 ч инкубирования, пока в среде сохранялось достаточное количество микроводорослей, а затем, когда они были почти полностью выедены, численность динеофлагеллят снижалась почти до первоначальных значений (рис. 5а).
Рис. 5. Динамика численности динофлагеллят O. marina (а), микроводорослей I. galbana (ISO) и пластиковых микросфер (MS) (б), доли клеток O. marina с микросферами в пищеварительных вакуолях (б) (OXY*) и средних размеров (ESD) клеток O. marina (в), в контроле (CNRL), при питании микроводорослями (ISO) и микросферами (MS). Вариабельность представлена границами стандартного отклонения.
В эксперименте ISO численность клеток I. galbana снижалась более, чем на два порядка в течение 6 ч инкубирования, с 4.9 · 105 кл./мл до 2.3 · 103 кл./мл (рис. 5б). Быстрое выедание микроводорослей в первые 2 ч совпадало с нарастанием численности динофлагеллят, о котором было сказано выше (рис. 5а).
В отличие от микроводорослей, которые почти полностью выедались динофлагеллятами к концу эксперимента, численность МS в среде снижалась меньшими темпами — только наполовину к концу эксперимента (рис. 5б), с 4.4 ± 0.3 до 2.2 ± 0.3 · 105 /мл. Такая динамика, однако, была обусловлена тем, что МП, в отличие от микроводорослей, не мог быть усвоен динофлагеллятами, и через некоторое время они экскретировали MS обратно в среду.
Таким образом, первоначальное снижение концентрации MS в среде было связано с их выеданием и накоплением в пищеварительных вакуолях, а последующее их выведение в среду вело к “компенсации” численности. Достижение баланса между процессами потребления и экскреции МS должно было характеризоваться выходом кривой их численности на плато, но только в случае отсутствия иных процессов, ведущих к потере МS (например, их налипания на стенки сосудов).
Цитометрические данные о содержании микросфер в клетках динофлагеллят позволили установить, что доля клеток O. marina с внутриклеточным микропластиком быстро возрастала и достигала 93% ко 2-му ч инкубирования (а, возможно, и ранее). К концу эксперимента она увеличивалась лишь до 94%, что могло означать достижение упомянутого выше баланса.
Изменения размеров клеток O. marina. Величина ESD клеток O. marina в маточной культуре была 27.6 ± 0.6 мкм и не менялась в начале эксперимента в контроле (CNRL). В экспериментальных сосудах ISO и МS наблюдали небольшой рост размеров клеток (29.3 ± 1.8 и 32.5 ± 3.5 мкм соответственно) в течение первых 10 мин эксперимента (рис. 4в). В течение эксперимента размеры клеток O. marina увеличивались во всех экспериментальных сосудах, но наибольшие абсолютные значения ESD (40.4 ± 1.2 мкм) были достигнуты при потреблении пластиковых МS (рис. 4в), что могло быть связано с накоплением большого их количества в клетках динофлагеллят.
Локомоция клеток O. marina в сосудах с разными диетами. В первые минуты после начала эксперимента средние скорости движения и доля подвижных клеток O. marina во всех экспериментальных сосудах изменялись в достаточно широких пределах — от 24 до 170 мкм/с и от 42 до 100% соответственно. Хотя в контроле наблюдали более высокие скорости (медиана 142 мкм/с, 25–75 процентили 125–153 мкм/с), чем в ISO (81, 36–139 мкм/с) и MS (73, 43–145 мкм/с), отличия между всеми вариантами не были статистически значимыми (p >0.05) из-за широкого разброса данных в опытах с микроводорослями и микросферами (рис. 6а). Похожий результат был получен и для доли подвижных клеток (рис. 6б).
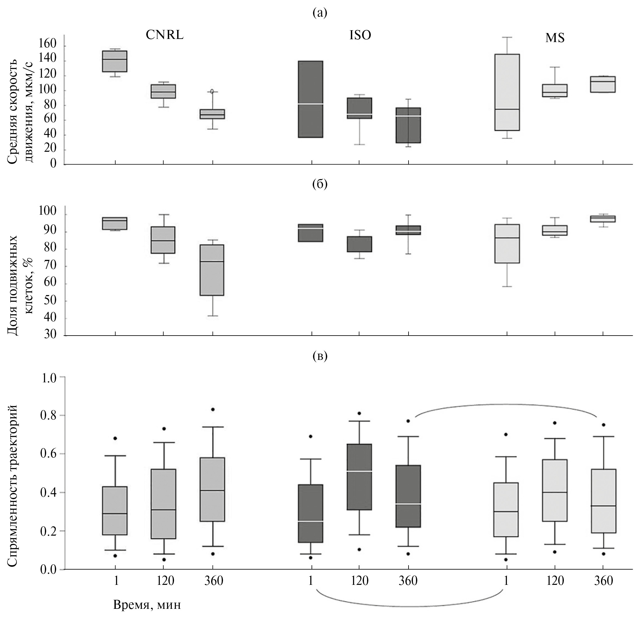
Рис. 6. Средние скорости движения клеток (а), доля подвижных клеток (б) и коэффициент спрямленности траекторий движения (в) динофлагеллят O. marina в экспериментальных сосудах с добавлением I. galbana (ISO), пластиковых микросфер (MS) и в контроле (CNRL) в начале эксперимента, через два и шесть часов. Показаны медианы, процентили 25–75% и 5–95%. Точки обозначают выбросы, дуги соединяют статистически не отличающиеся наборы значений, измеренные в одинаковые минуты эксперимента.
Через 2 ч после начала эксперимента локомоторная активность динофлагеллят, потребляющих MS, включая скорость движения и долю подвижных клеток, оказалась достоверно выше, чем в опыте с микроводорослями (ISO), а к окончанию эксперимента (6 ч) статистически значимо превышала значения и в ISO, и в CNRL (рис. 6а, 6б). При этом, если в опыте ISO не происходило значимых изменений обоих показателей на протяжении эксперимента, в контроле наблюдали устойчивый тренд их снижения, а в опыте MS — наоборот, увеличение (рис. 6а, 6б).
Динамика коэффициентов спрямленности траектории движения динофлагеллят, которую наблюдали в эксперименте, еще более усложняла картину: с течением времени в контроле (CNRL) коэффициент спрямленности непрерывно возрастал, тогда как в двух других экспериментах (ISO, MS) он возрастал к 2 ч эксперимента и уменьшался к 6 ч (рис. 6в), причем указанные изменения во времени были статистически значимыми. По крайней мере, результаты, полученные в контроле, можно было объяснить стратегией поиска пищевых ресурсов — более прямолинейные траектории движения давали динофлагеллятам бóльший шанс обнаружить новое пищевое “пятно”, тогда как общие энергозатраты на этот поиск снижались за счет снижения средней скорости движения. К окончанию эксперимента (6 ч) значения коэффициента в опытах ISO и MS различались незначительно и были достоверно ниже, чем в контроле (рис. 6в). Таким образом, в присутствии пищевых объектов треки движения динофлагеллят были более извилистыми.
ОБСУЖДЕНИЕ РЕЗУЛЬТАТОВ
Связь загрязнения водных объектов МП с трофикой одноклеточного микрозоопланктона и его влияние на физиологию этих организмов — наименее изученная проблема (Bermúdez et al., 2021). Потребление частиц МП одноклеточным микрозоопланктоном может иметь серьезные последствия для морских пищевых сетей, поскольку они является важным связующим звеном между первичными продуцентами и высшими трофическими уровнями (Bermúdez et al., 2021).
Ранее в работах (Fulfer, Menden-Deuer, 2021; Rauen et al., 2023) было установлено, что O. marina активно потребляет МП даже в присутствии альтернативных видов корма. В настоящем исследовании также наблюдали активное выедание этим видом пластиковых микрочастиц — в конце эксперимента доля клеток, содержащих в своих пищеварительных вакуолях МП, достигала 95%. Необходимо отметить, что потребление МП динофлагеллятами оказывало негативный эффект на их популяцию, вело к снижению ее численности (в сравнении с контролем и опытом с микроводорослями). Вероятно, это было связано с “холостым” питанием — невозможностью получить питательные вещества из частиц МП и, соответственно, невосполнением энергетических затрат популяции динофлагеллят на поиск и поимку этих частиц. Полученный нами результат хорошо согласуется с предыдущими исследованиями, которые показали, что потребление пластика вело к снижению скорости роста динофлагеллят O. marina и Gyrodinium sP. (Fulfer, Menden-Deuer, 2021). Поглощение МП оказывает влияние не только на динамику роста динофлагеллят O. marina, но и на размер и форму их клеток. Как и в прежних исследованиях (Lyakurwa, 2018; Rauen et al., 2023), нами было отмечено, что некоторые клетки O. marina могут накапливать в своих пищеварительных вакуолях множество частиц пластика. В эксперименте нами зарегистрированы рекордно большие размеры клеток O. marina (ESD до 40 мкм), содержащих до пяти–шести микросфер. Наше предположение, что связанное с потреблением МП увеличение размеров клеток (и изменение их плавучести) влияет на локомоцию клеток было основано на свидетельствах, полученных другими авторами. Действительно, потребление МП гидробионтами (Barboza et al., 2018; Kim, An, 2020), включая одноклеточные организмы (Zhang et al., 2022), вызывали аномалии плавательного поведения, снижение скорости и расстояния их перемещения. Тем не менее, наши результаты не выявили явных нарушений в локомоторном поведении динофлагеллят O. marina при их “питании” МП. Двигательная активность и характеристики траекторий движения динофлагеллят, содержащих МS, оставались в пределах “нормы”, которую наблюдали в сосудах с обычным для O. marina пищевым объектом — микроводорослями Isochrysis galbana.
Вместе с тем, на разных стадиях эксперимента были выявлены статистически значимые изменения в доле подвижных клеток, скорости и извилистости траектории движения динофлагеллят, которые могли быть обусловлены сменой стратегии питания микроорганизмов в меняющихся условиях. В частности, в отсутствие жертв в контроле скорости движения Oxyrrhis marina имели тенденцию к снижению, а траектории — к спрямленности, однако в опытных сосудах с добавлением одной из жертв (Isochrysis galbana или микросфер) динофлагелляты двигались по более закрученным трекам и на меньших скоростях. Похожие результаты были получены в исследованиях, которые объясняли подобную стратегию необходимостью оставаться в пищевом “пятне” (Deuer, Grünbaum, 2006).
Интерпретация достаточно сложной динамики локомоторных характеристик, которую наблюдали в нашем эксперименте, представляется многогранной задачей, требующей рассмотрения в достаточной мере обоснованной стратегии питания Oxyrrhis marina. В присутствии МП на поведенческие паттерны одноклеточных организмов оказывают влияние множество факторов — длительность контакта с частицами МП, наличие альтернативной жертвы, концентрация и вид частиц МП и т.д. (Zhang et al., 2022). На основе полученных нами экспериментальных результатов можно предположить, что на подвижность динофлагеллят могли влиять два ключевых фактора — состояние голода или насыщения и присутствие или отсутствие пищевых объектов в среде. Соответственно, в каждом из вариантов диеты на разных этапах эксперимента возникали разные комбинации этих факторов: голод и отсутствие пищи в контроле; голод и постоянное присутствие пищевых частиц в опыте с МП; наконец, непрерывное изменение этих факторов в опыте с микроводорослями — с постепенным насыщением и убыванием количества пищи. Варианты CNRL и MS отличались тем, что на протяжении всего эксперимента эти факторы не менялись. Тем не менее, как показали эксперименты, стратегия питания и локомоторное поведение динофлагеллят существенно менялись в этих относительно постоянных условиях. Наблюдаемое на протяжении эксперимента снижение локомоторной активности динофлагеллят в контроле могло быть связано с необходимостью сокращения энергетических трат на безуспешный поиск источника пищи. Подобная коррекция пищевой стратегии позволяла популяции избежать потерь и переждать неблагоприятный период, такую же стратегию клеток O. marina наблюдали и в других исследованиях (Deuer, Grünbaum, 2006). В опыте MS, наоборот, подобной коррекции не происходило, что вело к катастрофическим последствиям — динофлагелляты продолжали наращивать потребление пластиковых частиц (“холостое” питание), не получая при этом отдачи в виде питательных веществ и энергии. Будучи фальшивым пищевым ресурсом, МП подает консументам фальшивые сигналы “съешь меня”.
Описанные выше процессы могут иметь далеко идущие последствия для всей морской экосистемы. Снижение численности одноклеточного микрозоопланктона негативно влияет на его непосредственных консументов — более крупный зоопланктон, и далее создает восходящий каскадный эффект сокращения численности популяций вверх по пищевой цепи (Calbet, 2008). Кроме того, “упакованный” одноклеточными организмами МП переносится на более высокие трофические уровни, что ведет к его биоаккумуляции в рыбах и более крупных хищниках (Athey et al., 2020).
ЗАКЛЮЧЕНИЕ
Динофлагелляты O. marina активно потребляли пластиковые MS, хотя темпы их выедания были ниже, чем основного пищевого объекта — микроводорослей. По сравнению с контролем, питание микроводорослями или МS приводило к более значимому увеличению размеров клеток динофлагеллят, причем максимальные размеры (до 40 мкм) были достигнуты при потреблении пластиковых МS. Их количество в пищеварительных вакуолях динофлагеллят могло достигать 6 шт. Увеличение размеров клеток динофлагеллят, которое было следствием фагоцитоза пластиковых МS, не вело к заметному снижению их подвижности и нарушению локомоции. Более того, в опыте с МS наблюдали максимальные средние скорости движения динофлагеллят на завершающей стадии эксперимента. Отсутствие пищевых объектов в среде (в контроле) приводило к снижению скорости движения, процента подвижных клеток и спрямлению траекторий клеток динофлагеллят. В присутствии пищевых объектов (и микроводорослей, и МП) треки движения динофлагеллят были более извилистыми, однако эти отличия не были статистически значимыми. “Холостое” (не обеспечивающее питательными веществами) питание динофлагеллят МП приводило к статистически значимому снижению их численности (по сравнению с контролем и опытом с микроводорослями), что могло быть обусловлено неоправданно высокими энергозатратами их популяции на постоянный поиск, фагоцитоз и экскрецию микросфер. Признаков отказа хищника от подобного “холостого” питания не было выявлено, наоборот, — подвижность клеток со временем возрастала, что только ухудшало ситуацию. В целом, явных нарушений в локомоторном поведении динофлагеллят O. marina при их “питании” МП не было зарегистрировано, однако его негативные последствия наступали, по крайней мере, в результате несоответствия энергетической стоимости питания и затрат на его обеспечение и выражались в значимом сокращении популяции.
ФИНАНСИРОВАНИЕ
Работа выполнена в рамках государственного задания Института биологии южных морей по темам «Комплексное исследование механизмов функционирования морских биотехнологических комплексов с целью получения биологически активных веществ из гидробионтов» (№ гос. регистрации 124022400152-1); «Биоразнообразие как основа устойчивого функционирования морских экосистем, критерии и научные принципы его сохранения» (№ гос. регистрации 124022400148-4); «Трансформация структуры и функций экосистем морской пелагиали в условиях антропогенного воздействия и изменений климата» (№ гос. регистрации 124030400057-4).
About the authors
T. V. Rauen
A. O. Kovalevsky Institute of Biology of the Southern Seas of Russian Academy of Sciences
Author for correspondence.
Email: taschi@mail.ru
Russian Federation, Sevastopol
V. S. Mukhanov
A. O. Kovalevsky Institute of Biology of the Southern Seas of Russian Academy of Sciences
Email: taschi@mail.ru
Russian Federation, Sevastopol
Iu. S. Baiandina
A. O. Kovalevsky Institute of Biology of the Southern Seas of Russian Academy of Sciences
Email: taschi@mail.ru
Russian Federation, Sevastopol
A. M. Lyakh
A. O. Kovalevsky Institute of Biology of the Southern Seas of Russian Academy of Sciences
Email: taschi@mail.ru
Russian Federation, Sevastopol
References
- Стельмах Л.В., Мансурова И.М. 2021. Физиологический механизм выживания динофитовых водорослей в условиях биогенного лимитирования // Биология внутр. вод. № 2. С. 198. https://doi.org/10.31857/S0320965221020157
- Ханайченко А.Н., Битюкова Ю.Е. 1999. Избирательность питания личинок калкана и выбор стратегии их кормления // Экология моря. № 48. C. 63.
- Ateia M., Zheng T., Calace S. et al. 2020. Sorption behavior of real microplastics (MPs): Insights for organic micropollutants adsorption on a large set of well-characterized MPs // Sci. Total Environ. V. 720. P. 137634. https://doi.org/10.1016/j.scitotenv.2020.137634
- Athey S.N., Albotra S.D., Gordon C.A. et al. 2020. Trophic transfer of microplastics in an estuarine food chain and the effects of a sorbed legacy pollutant // Limnol., Oceanogr. V. 5. P. 154. https://doi.org/10.1002/lol2.10130
- Baiandina I.S., Khanaychenko A.N. 2019. Optimization of the method for determining the motility characteristics of fish spermatozoa using ImageJ Software and Excel Macros // J. Ichthyol. V. 59. № 1. P. 127. https://doi.org/.org/10.1134/S0032945219010016
- Barboza L.G.A., Vieira L.R., Guilhermino L. 2018. Single and combined effects of microplastics and mercury on juveniles of the European seabass (Dicentrarchus labrax): changes in behavioural responses and reduction of swimming velocity and resistance time // Environ. Pollut. V. 236. P. 1014. https://doi.org/10.1016/j.envpol.2017.12.082
- Barnes D.K.A., Galgani F., Thompson R.C., Barlaz M. 2009. Accumulation and fragmentation of plastic debris in global environments // Philosophical Transactions of the Royal Society. A. V. 364. P. 1985. https://doi.org/10.1098/rstb.2008.0205
- Beaumont N.J., Aanesen M., Austen M.C. 2019. Global ecological, social and economic impacts of marine plastic // Mar. Pollut. Bull. V. 142. P. 189. https://doi.org/10.1016/j.marpolbul.2019.03.022
- Bermúdez J.R., Metian M., Oberhänsli F., Taylor A. 2021. Preferential grazing and repackaging of small polyethylene microplastic particles (≤5 μm) by the ciliate Sterkiella sр. // Mar. Environ. Res. V. 166. P. 105260. https://doi.org/10.1016/j.marenvres.2021.105260
- Botterell Z.L., Beaumont N., Dorrington T. et al. 2019. Bioavailability and effects of microplastics on marine zooplankton: a review // Environ. Pollut. V. 245. P. 98. https://doi.org/10.1016/j.envpol.2018.10.065
- Calbet A. 2008. The trophic roles of microzooplankton in marine systems // ICES J. Mar. Sci. V. 65. P. 325. https://doi.org/.org/10.1093/icesjms/fsn013
- Carbery M., O’Connor W., Palanisami T. 2018. Trophic transfer of microplastics and mixed contaminants in the marine food web and implications for human health // Environ. International. V. 115. P. 400. https://doi.org/10.1016/j.envint.2018.03.007
- Chubarenko I., Efimova I., Bagaeva M. et al. 2020. On mechanical fragmentation of single-use plastics in the sea swash zone with different types of bottom sediments: Insights from laboratory experiments // Mar. Pollut. Bull. V. 150. P. 110726. https://doi.org/10.1016/j.marpolbul.2019.110726
- Cole M., Lindeque P., Fileman E. et al. 2013. Microplastic Ingestion by Zooplankton // Environ. Sci. Technol. V. 47. № 12. P. 6646. https://doi.org/10.1021/es400663f
- Cooper D.A., Corcoran P.L. 2010. Effects of mechanical and chemical processes on the degradation of plastic beach debris on the island of Kauai, Hawaii // Mar. Pollut. Bull. V. 60. № 5. P. 650. https://doi.org/10.1016/j.marpolbul.2009.12.026
- Coutteau P. 1996. Micro-Algae. Manual on the production and use of live food for aquaculture. Rome.
- Desforges J.P.W., Galbraith M., Ross P.S. 2015. Ingestion of microplastics by zooplankton in the Northeast Pacific Ocean // Arch. Environ. Contam. Toxicol. V. 69. № 3. P. 320. https://doi.org/.org/10.1007/s00244-015-0172-5
- Deuer S.M., Grünbaum D. 2006. Individual foraging behaviors and population distributions of a planktonic predator aggregating to phytoplankton thin layers // Limnol., Oceanogr. V. 51. P. 109. https://doi.org/.org/10.4319/lo.2006.51.1.0109
- Egbeocha C.O., Malek S., Emenike C.U., Milow P. 2018. Feasting on microplastics ingestion by and effects on marine organisms // Aquat. Biol. V. 27. P. 93. https://doi.org/10.3354/ab00701
- Fulfer V.M., Menden-Deuer S. 2021. Heterotrophic dinoflagellate growth and grazing rates reduced by microplastic ingestion // Frontiers in Marine Science. P. 1044. https://doi.org/10.3389/fmars.2021.716349
- Galloway T.S., Cole M., Lewis C. 2017. Interactions of microplastic debris throughout the marine ecosystem // Nature Ecol. Evol. V. 1. № 5. P. 1. https://doi.org/.org/10.1038/s41559-017-0116
- Hansen P.J. 1991. Quantitative importance and trophic role of heterotrophic dinoflagellates in a coastal pelagial food web // Mar. Ecol.: Prog. Ser. V. 73. № 2–3. P. 253.
- Kim S.W., An Y.J. 2020. Edible size of polyethylene microplastics and their effects on springtail behavior // Environ. Pollut. V. 266. P. 115255. https://doi.org/10.1016/j.envpol.2020.115255
- Kukulka T., Proskurowski G., Morét Ferguson S. et al. 2012. The effect of wind mixing on the vertical distribution of buoyant plastic debris // Geoph. Res. Letters. V. 39(7). https://doi.org/10.1029/2012gl051116
- Law K.L., Narayan R. 2022. Reducing environmental plastic pollution by designing polymer materials for managed end-of-life // Nat. ReV. Mater. V. 7. № 2. P. 104. https://doi.org/
- Lomonaco T., Manco E., Corti A. 2020. Release of harmful volatile organic compounds (VOCs) from photo-degraded plastic debris: a neglected source of environmental pollution // J. Hazardous Mater. V. 394. P. 122596. https://doi.org/
- Lyakurwa D.J. 2017. Uptake and effects of microplastic particles in selected marine microalgae species; Oxyrrhis marina and Rhodomonas baltica. PhD thesis. Norwegian University of Science and Technol. P. 51.
- Maes T., McGlade J., Fahim I.S. 2021. From Pollution to Solution: a global assessment of marine litter and plastic pollution.
- Montagnes D.J., Lowe C.D., Roberts E.C. et. al. 2011. An introduction to the special issue: Oxyrrhis marina, a model organism? // J. Plankton Res. V. 33. № 34. P. 549. https://doi.org/.org/10.1093/plankt/fbq121
- Naik R.K., Naik M.M., D’Costa P.M., Shaikh F. 2019. Microplastics in ballast water as an emerging source and vector for harmful chemicals, antibiotics, metals, bacterial pathogens and HAB species: A potential risk to the marine environment and human health // Mar. Pollut. Bull. V. 149. P. 110525. https://doi.org/.org/10.1016/j.marpolbul.2019.110525
- Nussbaum-Krammer C.I., Neto M.F., Brielmann R.M et al. 2015. Investigating the spreading and toxicity of prion-like proteins using the metazoan model organism C. elegans // JoVE (J. Visual. ExP. № 95. P. e52321 https://doi.org/10.3791/52321
- Prata J.C., Silva A.L., Walker T.R. et al. 2020. COVID-19 pandemic repercussions on the use and management of plastics // Environ. Sci. Technol. V. 54. № 13. P. 7760. https://doi.org/.org/10.1021/acs.est.0c02178
- Rauen T.V., Mukhanov V.S., Aganesova L.O. 2023. Ingestion of microplastics by the heterotrophic dinoflagellate Oxyrrhis marina // Mar. Biol. J., V. 8, № 1. P. 64. https://doi.org/.org/10.21072/mbj.2023.08.1.06
- Rehse S., Kloas W., Zarfl C. 2016. Short-term exposure with high concentrations of pristine microplastic particles leads to immobilisation of Daphnia magna // Chemosphere. V. 153. P. 91. https://doi.org/10.1016/j.chemosphere.2016.02.133
- Rillig M.C., Bonkowski M. 2018. Microplastic and soil protists: a call for research // Environ. Pollut. V. 241. P. 1128. https://doi.org/10.1016/j.envpol.2018.04.147
- Roberts E.C., Wootton E.C., Davidson K. et al. 2011. Feeding in the dinoflagellate Oxyrrhis marina: linking behaviour with mechanisms // J. Plankton Res. V. 33. 4. P. 603. https://doi.org/10.1093/plankt/fbq118
- Sherr E.B., Sherr B.F. 2002. Significance of predation by protists in aquatic microbial food webs // Antonie Van Leeuwenhoek. V. 81. № 1. P. 293. https://doi.org/.org/10.1023/a:1020591307260
- Silva A.L.P., Prata J.C., Walker T.R. et al. 2021. Increased plastic pollution due to COVID-19 pandemic: Challenges and recommendations // Chem. Engineering J. V. 405. P. 126683. https://doi.org/10.1016/j.cej.2020.126683
- Steinberg D.K., Landry M.R. 2017. Zooplankton and the ocean carbon cycle // Annual review of marine science. V. 9. № 1. P. 413. https://doi.org/.org/10.1146/annurev-marine- 010814-015924
- Stottrup J.G., Richardson K., Kirkegaard E. et al. 1986. The cultivation of Acartia tonsa Dana for use as a live food source for marine fish larvae // Aquaculture. V. 52. № 2. P. 87.
- Sussarellu R., Suquet M., Thomas Y. et al. 2016. Oyster reproduction is affected by exposure to polystyrene microplastics // Proceedings of the National Academy of Sciences. V. 113. № 9. P. 2430. https://doi.org/10.1073/pnas.1519019113
- Thompson R.C., Olsen Y., Mitchell R.P. et al. 2004. Lost at sea: where is all the plastic? // Science. V. 304. P. 838.
- Welden N.A., Cowie P.R. 2016. Long-term microplastic retention causes reduced body condition in the langoustine, Nephrops norvegicus // Environ. Pollut. V. 218. P. 895. https://doi.org/10.1016/j.envpol.2016.08.020
- Wu F., Wang. et al. 2020. Accumulation of microplastics in typical commercial aquatic species: A case study at a productive aquaculture site in China // Sci. Total Environ. V. 708. P. 1.
- Zhang J., Li C., Chen X. et al. 2022. Paramecium bursaria as a Potential Tool for Evaluation of Microplastics Toxicity // Biology. V. 11. № 12. P. 1852. https://doi.org/10.3390/biology11121852
Supplementary files








