Comparative Aspects of the Study of Morpho-physiological and Biochemical Parameters of Somatic Growth in Populations of Two Species of Black Sea Bivalvia Mollusks — Cerasoderma glaucum and Flexopecten glaber ponticus
- Authors: Shcherban S.A.1, Temnykh A.V.1
-
Affiliations:
- Kovalevsky Institute of Biology of the Southern Seas of Russian Academy of Scieces
- Issue: Vol 17, No 2 (2024)
- Pages: 266-275
- Section: ЭКОЛОГИЧЕСКАЯ ФИЗИОЛОГИЯ И БИОХИМИЯ ГИДРОБИОНТОВ
- URL: https://ogarev-online.ru/0320-9652/article/view/262098
- DOI: https://doi.org/10.31857/S0320965224020058
- EDN: https://elibrary.ru/xtsfyg
- ID: 262098
Cite item
Full Text
Abstract
Presented are the results of the analysis of the morpho-physiological and biochemical indicators of somatic growth in the Black Sea bivalve mollusks, the cockle Cerastoderma glaucum (Bruguiere, 1789) and the scallop Flexopecten glaber ponticus (Bucguoy, Dautzenberg et Dollfus, 1889), living in the vicinity of Sevastopol. The examples are of three size-age groups, in the length range from 12 to 30 mm for both species, the features of tissue biosynthesis (somatic growth) of soft tissues were studied. According to the total RNA content and the RNA/DNA index in the C. glaucum, it was shown that in the groups 17–22 and 23–28 mm (age two–three years), the level of synthesis of protein structures is 1.3–1.7 times higher than in the underyearlings. In individuals of the F. glaber ponticus with linear sizes of 13–17 and 21–24 mm (underyearlings), the level of synthesis of protein structures was 1.2–1.5 times higher than in larger individuals (age two years). The species specificity of somatic growth was most significantly manifested in the middle and older size groups of the studied mollusks. The values of biochemical growth parameters in both species indicated an average level of tissue growth in comparison with other previously obtained data for the mass Black Sea bivalves. Linear regression models of size-weight values showed that for both species, the change in size explains 62–86% of the variation in body weight of the mollusk. Analysis of weight parameters (total mass/soft tissue mass) indicates a positive allometry of somatic tissue growth.
Full Text
ВВЕДЕНИЕ
При изучении ростовых характеристик у гидробионтов, в частности, моллюсков, применяется ряд методов, включающих морфометрические, физиологические и биохимические параметры.
Cerastoderma glaucum (Bruguiere, 1789) (сердцевидка) – двустворчатый моллюск средиземноморского происхождения, коренной представитель черноморской малакофауны, обитающий на рыхлых грунтах крымского побережья (Михайлова, 1987; Ревков, 2003; Савикин, Набоженко, 2010; Ревков и др., 2014 и др.). В исследованиях последних, как минимум 30 лет, приведены только данные по численности и биомассе сердцевидки и оценена относительная роль вида в биоценотическом сходстве внутри районов исследований (Петров, Алемов, 1993; Стадниченко, Золотарев, 2009; Ревков 2003; Алемов, 2021).
Сердцевидка встречается в донных биоценозах Черного моря на илистых грунтах и ракушечниках, редко образует собственные локальные ценозы, в основном встречается в местах обитания следующих видов: мидия (Mytilus galloprovincialis (Lamarck, 1819)), абра (Abra segmentum (Reclus, 1843)), спикула (Spicula subtruncata (de Costa, 1778)) и полититапес (Polititapes aureus (Gmelin, 1791)). Отмечено, что Cerastoderma glaucum предпочитает акватории бухт с пониженным водообменом и заиленными грунтами (Ревков, 2003, 2006, 2014; Макаров, 2020а, 2020б и другие). На юго-западном побережье п-ова Крым C. glaucum встречается в разных районах Севастопольской бухты, в устье р. Черная и на мелководье (Алемов, 1999, 2021; Ревков и др., 2014; Тимофеев, 2016; Болтачева и др., 2018; Бородина, Задорожный, 2020; Макаров, 2020а, 2020б). Моллюск размерами близок к видам рода Abra и Chamelea (Скарлато, 1972; Анистратенко и др., 2011), его длина не превышает 35 мм (Скарлато, Старобогатов, 1972). Особей длиной <12 мм относят к сеголеткам и годовикам (Михайлова, 1987). Жизненный цикл по продолжительности близок к другим видам двустворчатых моллюсков (абры, анадары и гребешка) и в среднем ≥7 лет.
К настоящему моменту вид остается слабоизученным. В последние несколько лет стали появляться работы по особенностям структуры жаберного аппарата (Тимофеев, 2016) и адаптации к некоторым стрессовым факторам (Бородина, Задорожный, 2020; Гостюхина, 2020; Гостюхина, Андреенко, 2020), но они единичны. Особенности тканевого соматического роста для черноморской сердцевидки пока не изучены.
Flexopecten glaber ponticus (черноморский гребешок) в Черном море обитает чаще на глубинах до 30–40 м, а также на мелководье, преимущественно на илисто-песчанных, ракушечных грунтах и на мидийно-устричных банках (Кракатица, 1972; Ревков, 2003 и др.). В базе Всемирного регистра морских видов WoRMS F. glaber ponticus приведен как единственный подвид Flexopecten glaber (L. 1788). В последние десятилетия в южной и восточной акваториях п-ова Крым крайне редко обнаруживают ценоз гребешка (Ревков, 2018), однако тенденция меняется в сторону увеличения распространения вида уже сейчас, по крайней мере, у берегов Крыма (Ревков, Болтачева, 2022). Совсем недавно появились результаты по особенностям морфометрии и роста молоди в процессе садкового выращивания (Ревков и др., 2021).
По данным (Кракатица, 1972; Ревков, 2018; Ревков и др., 2021; Ревков, Болтачева, 2022), максимальный линейный размер гребешка достигает 55 мм. В прибрежных зонах и в бухтах его максимальные размеры также могут быть такой величины, однако, в основном, это особи до 30–35 мм. Половозрелость у вида наступает при достижении длины раковины ~40 мм (Пиркова, Ладыгина, 2017).
Для обоих видов остались неизученными многие аспекты, в частности, параметры линейного и массового роста, физиолого-биохимические особенности этих процессов, а также особенности тканевого биосинтеза у популяций этих видов.
Цель работы — дать сравнительную оценку морфо-физиологических параметров и биохимических показателей роста тканей двустворчатых моллюсков сердцевидки Cerastoderma glaucum и черноморского гребешка Flexopecten glaber ponticus в условиях еcтественного обитания.
МАТЕРИАЛ И МЕТОДЫ ИССЛЕДОВАНИЯ
Для сравнительного анализа особей разных размерно-возрастных групп Сerastoderm glaucum и Flexopecten glaber ponticus образцы собирали на илисто-песчаных грунтах мелководья (до 1 м) в бухтах Казачья и Карантинная, расположенных недалеко друг от друга (район г. Севастополя), в апреле 2018 и 2022 гг. Это кутовая часть бухт, с идентичным водообменом. Температура морской воды на момент отбора была 12–14°C. Особи обоих видов находились в стадии относительно стабильного роста и не имели гонад в стадии активной подготовки к нересту. При проведении вскрытия моллюсков наличие половых продуктов у взрослых особей не отмечали. После отбора биологического материала моллюскам обеспечивали период краткой адаптации — содержали в аквариуме с проточной системой в течение суток. Анализ проводили для трех размерно-возрастных групп с диапазоном длин 12–30 мм у каждого вида. Выбор именно таких групп дает возможность сравнения полученных результатов с ростовыми параметрами аналогичных групп анадары, работы с которой уже проводили ранее (Ревков, Щербань, 2017; Щербань, 2018; Shcherban, 2012 и другие). К тому же особи большего размера в районе исследований отсутствовали.
Объем выборочных образцов имел разное количество экземпляров (10–16) для групп обоих видов. Для гребешка как полиморфного вида отбирали особей бежевого фенотипа, составляющих значительную часть от всех морф данного вида и близких к естественной окраске раковины относительно другого вида.
Длину и ширину каждой особи определяли с точностью до 0.1 см. Для каждого моллюска измеряли сырую массу — общую и выделенных мягких тканей, а также массу раковины. Сырые ткани гомогенизировали. Для устранения пигментных и липидных компонентов навески тканей (гомогенаты, без учета гепатопанкреаса) массой 70–90 мг промывали 4 мл смеси Фолча (хлороформ (2) – метанол (1)) по три раза. Далее в обезжиренных пробах тканей определяли содержание суммарных РНК (сум.РНК) и ДНК видоизмененным методом А. С. Спирина (Дивавин, 1984). Исследуемые показатели измеряли спектрофотометрически на приборе СФ-2000 методом разностей инстинкций, при длинах волн 270 и 290 нм. Результаты измерений сум. РНК и ДНК выражали в мкг/мг сухой ткани. На основе полученных абсолютных величин рассчитывали ростовой индекс — РНК/ДНК, его выражали в условных единицах (у.е.).
В работе приведены средние по размерным группам величины и стандартные отклонения (SD).
Для анализа размерно-массовых параметров и прогнозирования величин общей массы моллюсков по их размеру, а также массы мягких тканей по общей массе, для построения отражающей данные зависимости модели применяли регрессионный анализ. На графиках линейных регрессионных моделей приведены коэффициенты детерминации, иллюстрирующие долю наблюдений, для которых справедлива модель при уровне значимости p = 0.05. Для оценки влияния таких факторов, как видовая принадлежность и возрастная группа, на рост мягких тканей моллюсков применяли двухфакторный дисперсионный анализ two-way-ANOVA.
РЕЗУЛЬТАТЫ И ИХ ОБСУЖДЕНИЕ
Представленные результаты характеризуют состояние параметров массы и уровень “мгновенных скоростей роста” мягких тканей моллюсков в данный период их жизненного цикла (период стабильного роста).
Морфометрические характеристики разных групп моллюсков
Первичные данные линейно-массовых характеристик моллюсков приведены в табл. 1. Исходя из табличных данных для церастодермы, получен цифровой диапазон средних общих масс, который для размерной категории 12–16 мм (группа I) достигал 1.05–2.65 г ( 1.8 ± 0.5), категории 17–22 мм Группа I— 2.20–4.10 г (3.0 ± 0.6) и для категории 23–27 мм (группа III) — 4.15–7.34 г (6.0 ± 1.2). Для черноморского гребешка близких размеров диапазон масс составлял 0.42–0.82 г (среднее 0.6 ± 0.1), 1.52–2.8 г (2.2 ± 0.4) и 2.08–4.61 г (3.6 ± 0.7) соответственно, что существенно меньше. Такие значительные различия общих масс при предельно одинаковых линейных размерах частично объясняются наличием массивных, тяжелых раковин церастодермы, доля которых, в отличие от черноморского гребешка, намного выше.
Таблица 1. Линейные размеры (L, мм) и общая сырая масса (W, г) черноморских двустворок церастодермы Cerastoderma glaucum и гребешка Flexopecten glaber ponticus трех размерно-возрастных групп
Группа I | Группа II | Группа III | |||||||||
Церастодерма, (n = 12) | Гребешок, (n = 13) | Церастодерма, (n = 16) | Гребешок (n = 13) | Церастодерма, (n = 10) | Гребешок, (n = 12) | ||||||
L | W | L | W | L | W | L | W | L | W | L | W |
12 13 13 13 14 14 15 16 16 16 16 16 | 1.05 1.26 1.21 1.62 1.75 1.88 1.50 2.22 2.10 2.10 2.25 2.65 | 13 13 13 13 14 15 15 15 16 16 17 17 17 | 0.42 0.43 0.44 0.44 0.53 0.66 0.63 0.62 0.78 0.70 0.82 0.68 0.67 | 17 17 18 18 18 19 19 19 19 19 20 20 20 20 21 22 | 2.95 2.44 2.30 2.90 2.20 2.68 2.90 2.45 2.90 2.90 3.56 3.10 4.10 3.22 4.04 4.00 | 21 21 21 22 22 22 23 23 24 24 24 24 24 | 1.91 1.82 1.66 1.91 1.52 1.69 2.23 2.28 2.50 2.80 2.48 2.60 2.77 | 23 23 23 25 25 26 26 26 27 27 | 4.30 4.80 4.15 6.65 5.90 6.97 6.20 7.34 7.20 6.82 | 25 25 26 26 27 27 27 28 28 29 29 30 | 3.02 2.08 3.29 3.30 3,00 3.45 3.75 4.31 4.10 4.20 4.38 4.61 |
Примечание. n – число особей.
Процентное содержание мягких тканей у церастодермы в группе I было 9.8–11.9% (среднее 10.7%), группе II — 9.0–19.5% (13.3%) и группе III — 11.5–7.0% (13.9%), незначительно увеличиваясь с размерами и общей массой особей. У гребешка средние значения по группам достигали 11.6, 15.6 и 18.5% соответственно (рис. 1). Если сравнивать данные, полученные нами для двухлеток сердцевидки, с данными для другого массового черноморского вида — анадары, то при длине ее раковины 23+ мм, доля тканей в общей массе была выше в 1.3 раза и находилась в пределах 17.5–20.8%; а для черноморского гребешка еще выше — 16.7–23.0%. Ранее было установлено, что у черноморского гребешка и анадары сходных размеров эта величина почти одинакова (18.5 и 19.0% соответственно) (Щербань, Мельник, 2020).
Рис. 1. Относительные величины масс мягких тканей у разноразмерных групп моллюсков Cerastoderma glaucum и Flexopecten glaber ponticus. 1 – церастодерма; 2 – гребешок. Размерные группы (диапазон для обоих видов): группа I (а) – 12–17 мм; группа II (б) – 17–24 мм; группа III (в) – 23–30 мм.
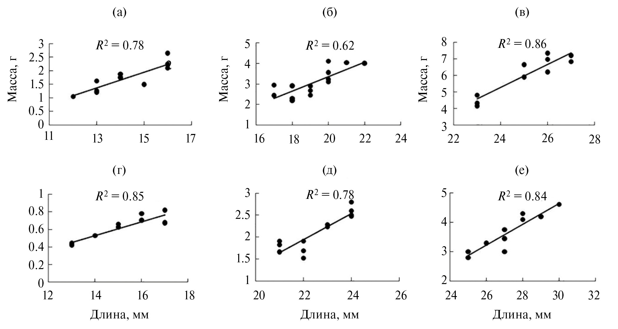
Для понимания особенностей и числовых значений аллометрии роста построены линейные модели регрессии линейно-массовых показателей, масс тканей общей массы моллюска (рис. 2, рис. 3). Для групп I–III сердцевидки (рис. 2а–в) коэффициенты детерминации, показывающие доли дисперсии общей массы, объясняемые созданными регресионными моделями зависимости от длины раковины, R2 = 0.78, R2 = 0.62, R2 = 0.86 были соответственно. В группе I и группе III модель линейной регрессии хорошо соответствует данным, на которых она построена, в 78 и 86% случаев входная переменная (длина моллюска) объясняет вариации массы тела сердцевидки. В группе II показатели — 62% общей массы. Для гребешка (рис. 2г–2е) получены коэффициенты детерминации R2 = 0.85, R2 = 0.78, R2 = 0.84, т.е. во всех группах изменение факторного признака определяет высокую долю изменчивости результативного признака.
Рис. 2. Характер зависимости между длиной раковины и общей массой у моллюсков Cerastoderma glaucum (а–в) и Flexopecten glaber ponticus (г–е). Размерные группы (диапазон для обоих видов): группа I (а, г) – 12–17 мм, группа II (б, д) – 17–24 мм, группа III (в, е) – 23–30 мм.
Рис. 3. Характер зависимости между массой мягких тканей и общей массой у моллюсков Cerastoderma glaucum (а–в) и Flexopecten glaber ponticus (г–е). Размерные группы (диапазон для обоих видов): группа I (а, г) –12–17 мм, группа II (б, д) – 17–24 мм, группа III (в, е) – 23–30 мм.
Для линейных моделей регрессии массы мягких тканей и общей массы церастодермы (рис. 3а–3в) у особей групп I и III коэффициенты детерминации достигали R2 = 0.97 и R2 = 0.90, т.е. модели имели высокую значимость. Для моллюсков группы II только 45% дисперсии массы мягких тканей объяснялось общей массой моллюска. У черноморского гребешка (рис. 3г–3е) получена высокая степень значимости модели только для группы I (R2 = 0.95). Для моллюсков с длиной 21–30 мм коэффициенты детерминации находились в диапазоне 0.61–0.68.
Биохимические характеристики роста мягких тканей разных групп моллюсков
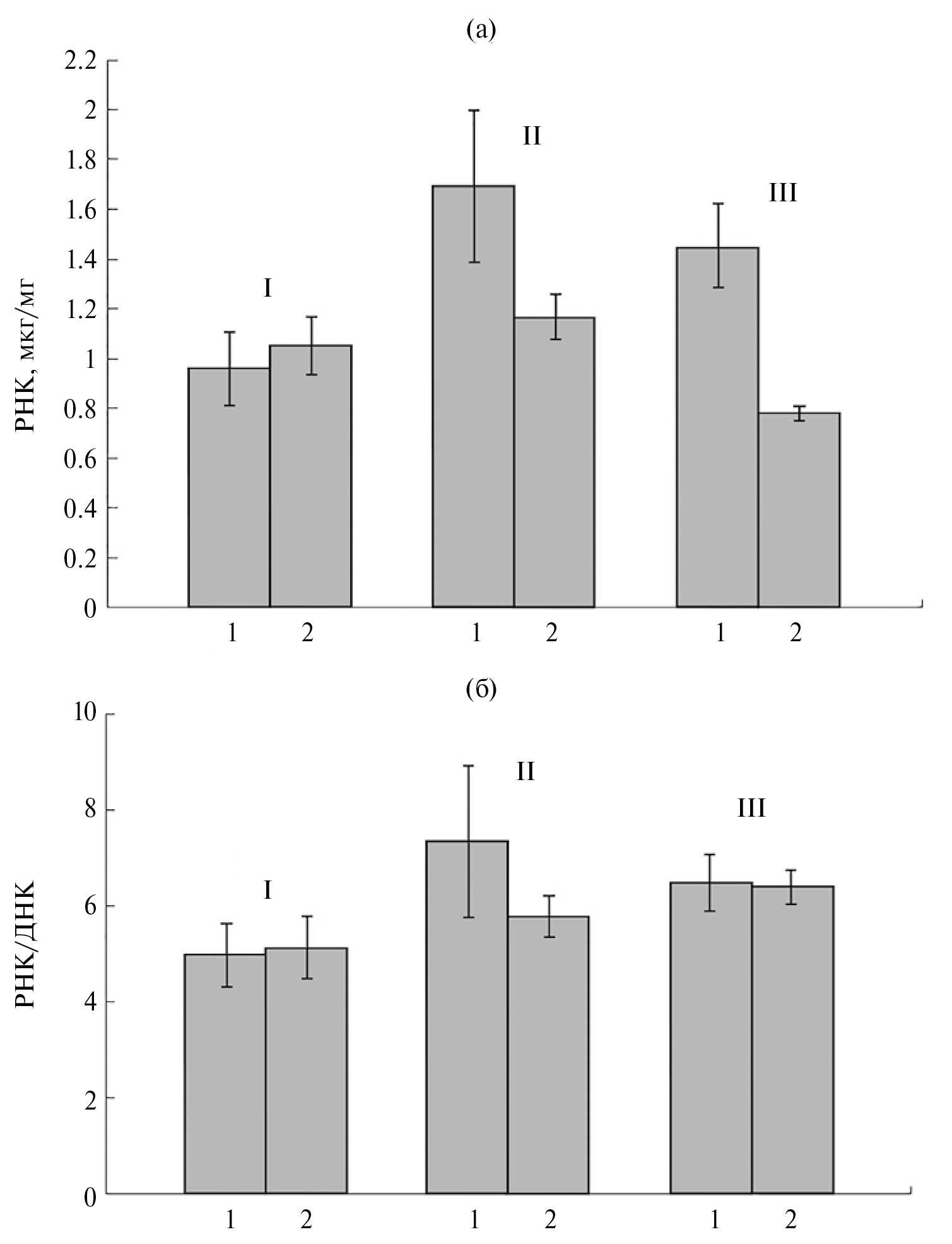
Для каждой из выбранных трех групп моллюсков рассчитывали значения двух показателей — содержание суммарных РНК и индекса РНК/ДНК (рис. 4). Оба параметра применимы для характеристики тканевого биосинтеза белка у морских двустворчатых моллюсков. Основное количество работ по данной тематике приходилось на период с 80-х–начала 2000-х годов и касалось, в основном, анализа роста личинок и молоди моллюсков, выращиваемых в аквакультуре (Вялова и др., 2008; Martinez et al., 1992; Stillman et al., 1996; Mayrand et al., 1997 и др.), а также в условиях экспериментов при питании различными культурами водорослей, в условиях стимуляции нереста, дефицита пищи и аноксии (Mayrand et al., 1997; Shcherban, 2012; Karavanceva, Shcherban, 2014 и др.). Имеются данные и по черноморским массовым видам двустворчатых, обитающим в естественных биоценозах (Shcherban, 2013).
У особей церастодермы с размерами раковин 17–22 и 23–27 мм (группы II и III) уровень синтеза в 1.5–1.7 раза превышал таковой у более мелких особей (группа I). Так, значения сум.РНК у них были 1.69 ± 0.61 и 1.45 ± 0.34 мкг/мг ткани соответственно, у группы I 0.95 ± 0.29 мкг/мг ткани. Статистическая обработка данных не показала достоверных различий значений между группами II и III (рис. 4а). При сравнении показателя сум.РНК у аналогичной группы анадары (длина 25–30 мм, также природные условия обитания) было установлено, что уровень тканевого биосинтеза по этому показателю очень близок — 1.65 мкг/мг ткани (Ревков, Щербань, 2017), у черноморского гребешка в 2 раза ниже — 0.78 мкг/мг ткани. Также, у двух групп гребешка в диапазоне длин 13–24 мм уровень тканевого синтеза в 1.2–1.5 раза превышал таковой у особей с длиной раковины 25–30 мм (группа III, двухлетки) – 1.05 ± ± 0.18, 1.17 ± 0.19 и 0.78 ± 0.06 мкг/мг ткани соответственно. Статистическая обработка данных показала наличие достоверных различий в значениях по группам у этого показателя. Таким образом, в пределах диапазонов длин наблюдались некоторые различия у каждого из видов, а в группах с более крупными размерами (от 17 мм для церастодермы и от 21 мм для гребешка) – и между видами, однако для сеголетков межвидовых различий не обнаружено за счет пересекающихся диапазонов стандартных отклонений (рис. 4а). Сравнительный анализ содержания суммарных РНК у особей аналогичных размерных групп анадары (длиной 14–17 и 22–27 мм) также показал, что по данному показателю уровень тканевого биосинтеза у анадары в несколько раз выше, значения индекса РНК/ДНК имели величину с максимальной величиной в 9.6 y.e. (Щербань, 2010, 2018; Shcherban, 2012). Видовая специфика тканевого роста отмечена нами на примере второй и третьей групп, у которых разность в величине показателя была в ≥1.4 раза.
Другой ростовой параметр — расчетный индекс РНК/ДНК. Анализ диапазонов варьирования ростового индекса у двустворчатых моллюсков, в частности черноморских, показал, что он достаточно широк и находится в пределах 2–16 у.е. (Щербань, 2018 и другие). Ранее проведенные исследования на молоди черноморских видов — устриц Crassostrea gigas (Bruguiere, 1789), мидий Mytilus galloprovincialis (Lam.) и анадары Anadara kagoshimensis) (Tokunaga, 1906) (Щербань, 2010, 2018; Shcherban, 2012 и другие) из их естественных поселений, на искусственных коллекторных носителях и в условиях эксперимента (для A. kagoshimensis) свидетельствовали о более высоком уровне тканевого соматического роста у этих видов, по сравнению с изучаемым гребешком и церастодермой. Особо значимые величины (как и по линейно-массовым параметрам) отмечены для спата, годовиков и молоди устриц, выращиваемых на коллекторах марихозяйства в пос. Кацивели, Южный берег Крыма (Щербань, 2018).
Согласно полученным нами величинам индекса РНК/ДНК для разных групп церастодермы — 4.9 ± 1.30 у.е. для группы I, 7.3 ± 3.16 и 6.5 ± 1.18 у.е. для групп II и III соответственно (рис. 4б). У II и III групп, как и по показателю содержания сум. РНК, различия недостоверны. Уровень соматического роста по данному параметру у них выше (в среднем в 1.3–1.4 раза), чем у особей более мелкого размера (12–16 мм), однако в целом оценивается как средний. Следует отметить, что для объяснения существенной разницы у первых двух групп необходимо учесть большой разброс значений внутри второй группы (7.3 ± 3.16 у.е.), а также близость диапазонов линейных размеров, возможно, на стыке длин все особи — это молодь. Затем, при достижении определенных размеров (в нашем случае предположительно в диапазоне ≥14мм), наблюдается период более стабильного уровня роста, с тенденцией к повышению.
Рис. 4. Среднее для групп содержание суммарных РНК для тканевых гомогенатов (а) и значения индекса РНК/ДНК тканевых гомогенатов (б) особей Cerastoderma glaucum (1) и Flexopecten glaber ponticus (2). Размерные группы церастодермы: I — 12–16 мм, II — 17–22 мм, III — 23–28 мм. Размерные группы гребешка: I — 13–17 мм, II –21–24 мм, III — 25–30 мм. Вертикальными планками обозначены стандартные отклонения (SD).
Все три значения РНК/ДНК для сердцевидки сопоставимы с величинами для размерных групп гребешка — 5.1–6.4 у.е., что свидетельствует о “близком” уровне тканевого соматического роста у обоих видов (рис. 4б). В результате двухфакторного дисперсионного анализа, где в качестве факторов взяты видовая принадлежность и размер особи при р = 0.05, получены следующие результаты: для фактора “размер” расчетное значение критерия Фишера составило F =2.14 при Fкр= 1.86, p = 0.02; для фактора “видовая принадлежность” – F = 1.8, Fкр= 4.18, p = 0.86. Таким образом, выявлено, что с вероятностью 95% значения РНК/ДНК зависят от размера и не зависят от видовой принадлежности моллюска.
В заключение отметим, что применимость указанных выше биохимических показателей в гидробиологической практике может заключаться: в использовании индекса РНК/ДНК в качестве индикаторного индекса “мгновенной скорости” роста организмов на ювенильных и ранних стадиях развития; в использовании индекса РНК/ДНК и величин содержания сум. РНК для характеристики особенностей синтеза белка (и его тканевой ретенции) в связи с годовыми жизненными циклами вида, в оценке тканевых и онтогенетических особенностей этого процесса в разных условиях существования; для сравнительной оценки скоростей тканевого роста у разных видов.
ЗАКЛЮЧЕНИЕ
Линейные модели регрессии размерно-массовых величин показали, что для групп I и III церастодермы изменение размера объясняет 78 и 86%, в группе II — 62% вариации массы тела моллюска. Для гребешка величины коэффициентов детерминации находились в диапазоне 0.78–0.85, т.е. во всех группах изменение факторного признака “размер” определяло высокую долю изменчивости результативного признака “масса”. Для линейных моделей регрессии между параметрами массы (общая масса/масса мягких тканей) у групп церастодермы с длиной раковины 12–16 и 23–27 мм коэффициенты детерминации достигали 0.97 и 0.90, т.е. модели имеют высокую значимость, для средней размерной категории лишь 45% дисперсии массы мягких тканей объяснялось общей массой моллюска. У черноморского гребешка с размерами 13–17 мм изменчивость массы может быть предсказана по результатам измерений линейных размеров на 95%, для моллюсков с длиной 21–30 мм — на 61–68%. Полученные данные указывают в целом на положительную аллометрию тканевого соматического роста у обоих видов. Доля мягких тканей у церастодермы составляла 10.7–13.9% общей массы моллюска, что в среднем в 1.3 раза ниже, чем у черноморского гребешка (23+ мм). В пределах диапазонов длин у каждого из видов имеются различия по уровню тканевого биосинтеза, хотя для сеголетков обоих видов такие различия нивелированы. Видовая специфика соматического роста наиболее существенно проявилась у средней и старшей размерных групп изучаемых моллюсков, в особенности, по значениям величин суммарных РНК. Значения биохимических ростовых показателей у обоих видов свидетельствовали о среднем уровне тканевого соматического роста по сравнению с другими, ранее полученными данными для массовых черноморских двустворок.
ФИНАНСИРОВАНИЕ
Работа выполнена в рамках госзадания Института биологии южных морей (№ госрегистрации 121041400077-1) “Функциональные, метаболические и токсикологические аспекты существования гидробионтов и их популяций в биотопах с различным физико-химическим режимом”.
About the authors
S. A. Shcherban
Kovalevsky Institute of Biology of the Southern Seas of Russian Academy of Scieces
Author for correspondence.
Email: Shcherbansa@yandex.ru
Russian Federation, Sevastopol
A. V. Temnykh
Kovalevsky Institute of Biology of the Southern Seas of Russian Academy of Scieces
Email: Shcherbansa@yandex.ru
Russian Federation, Sevastopol
References
- Алемов С.В. 1999. Современное состояние макрозообентоса Севастопольской бухты по данным бентосной съемки 1997 г. // Экология моря. Вып. 48. С. 73.
- Алемов С.В. 2021. Межгодовая и сезонная динамика сообществ макрозообентоса Севастопольской бухты (Черное море) в начале XXI века на участках с различным уровнем загрязнения // Тр. Карадагской науч. ст. им. Т.И. Вяземского — природного заповедника РАН. № 1(17). С. 3. https://doi.org/.org/10.21072/eco.2021.17.01
- Анистратенко В.В., Халиман И.А., Анистратенко О.Ю. 2011. Моллюски Азовского моря. Киев: Наукова думка.
- Болтачева Н.А., Макаров М.В., Бондаренко Л.В., Ковалева М.А. 2018. Макрозообентос рыхлых грунтов под мидийно-устричной фермой (Черное море, район Севастополя) // Мор. биол. журн. Т. 3. № 1. С. 9. https://doi.org/.org/10.21072/mbj.2018.03.1.02
- Бородина А.В., Задорожный П.А. 2020. Динамика каротиноидов в тканях моллюска-фильтратора Cerastoderma glaucum (Bruguiere, 1789) в годовом цикле // Журн. эвол. биохим. и физиол. Т. 56. № 1. С. 3. https://doi.org/10.31857/S0044452920010027
- Вялова О.Ю., Бородина А.А., Щербань С.А. 2008. Первые результаты вселения и выращивания тихоокеанской устрицы Crassostrea gigas различной плоидности в Черном море // Матер. 3-й междунар. науч.-практ. конф. “Морские прибрежные экосистемы. Водоросли, беспозвоночные и продукты их переработки” (Владивосток, 8–10 сентября 2008 г.). Владивосток.
- Гостюхина О.Л. 2020. Особенности антиоксидантной глутатионовой системы в тканях черноморского двустворчатого моллюска Cerastoderma glaucum (Cardiidae) // Биология внутр. вод. № 3. С. 299. https://doi.org/.org/10.31857/S0320965220030079
- Гостюхина О.Л., Андреенко Т.И. 2020. Активность супероксиддисмутазы и каталазы в тканях трех видов черноморских двустворчатых моллюсков: Cerastoderma glaucum (Bruguiere, 1789), Anadara kagoshimensis (Tokunaga, 1906) и Mytilus gallohrovincialis Lam. в связи с адаптацией к условиям их обитания // Журн. эвол. биохим. и физиол. Т. 56. № 2. С. 108. https://doi.org/.org/10.31857/S0044452920010040
- Дивавин И.А. 1984. Нуклеиновый обмен черноморских гидробионтов в различных бухтах юго-западного побережья Крыма // Экология моря. Вып. 2. С. 48.
- Кракатица Т.Ф. 1972. Распределение и запасы гребешка Pecten ponticus B.D. et D. (Mollusca, Bivalvia) в Черном море // Зоол. журн. Т. 51. Вып. 1. С. 136.
- Макаров М.В. 2020а. Сезонная изменчивость таксоцена Mollusca рыхлых грунтов контактной зоны реки Черной и Севастопольской бухты (юго-западный Крым) // Экосистемы. Вып. 21(51). С. 109. https://doi.org/.org/10.37279/2414-4738-2020-21-109-118
- Макаров М.В. 2020б. Современное состояние малакофауны рыхлых грунтов в вершинной части бухты Казачьей (Черное море) // Экологическая безопасность прибрежной и шельфовой зон моря. № 1. С. 119. https://doi.org/.org/10.22449/2413-5577-2020-1-1%2019-130
- Михайлова Т.В. 1987. Структура популяции Cerastoderma glaucum в некоторых районах северо-западной части Черного моря // Экология моря. № 25. С. 50.
- Петров А.Н., Алемов С.В. 1993. Распределение, количественные характеристики и показатели состояния зообентоса в бухтах, различающихся по степени загрязнения // Ихтиофауна черноморских бухт в условиях антропогенного воздействия. Киев: Наукова думка. С. 25.
- Пиркова А.В., Ладыгина Л.В. 2017. Мейоз, эмбриональное и личиночное развитие черноморского гребешка Flexopecten glaber ponticus (Bucquoy, Dautzenberg &Dollfus, 1889) (Bivalvia, Pectinidae) // Мор. биол. журн. Т. 2. № 4. С. 50.
- Ревков Н.К. 2003. Таксономический состав донной фауны крымского побережья Черного моря // Современное состояние биоразнообразия прибрежных вод Крыма. Севастополь: ЭКОСИ– Гидрофизика. Севастополь. С. 209.
- Ревков Н.К. 2006. Таксоцен моллюсков биотопа рыхлых грунтов Балаклавской бухты (Крым, Черное море) // Экология моря. Вып. 72. С. 38.
- Ревков Н.К. 2018. Черноморский гребешок Flexopecten glaber ponticus (Linnaeus,1788) // Красная книга города Севастополя. Калининград; Севастополь: ИД РОСТ. ДОАФК. С. 347.
- Ревков Н.К., Болтачева Н.А., Бондаренко Л.В. 2014. Многолетние изменения зообентоса в акватории Ялтинского залива (Южный берег Крыма, Черное море) // Мор. экол. журн. Т. 13. № 2. С. 49.
- Ревков Н.К., Щербань С.А. 2017. Особенности биологии двустворчатого моллюска Anadara kagoshimensis в Черном море // Экосистемы. Вып. 9(39). С. 47.
- Ревков Н.К., Пиркова А.В., Тимофеев В.А., Ладыгина Л.В., Щуров С.В. 2021. Рост и морфометрические особенности гребешка Flexopecten glaber (Bivalvia: Pectenidae) при садковом выращивании у берегов Крыма (Черное море) // Ruthenica: Русский малакологический журнал. Т. 31. № 3. С.127. https://doi.org/10.35885/ruthenica.2021.31(3).3
- Ревков Н.К., Болтачева Н.А. 2022. Восстановление биоценоза черноморского гребешка Flexopecten glaber (Bivalvia: Pectinidae) у берегов Крыма (район Ласпи) // Экологическая безопасность прибрежных и шельфовых зон моря. № 4. С. 90. https://doi.org/.org/10.22449/2413-5577-2022-4-90-103
- Савикин А.И., Набоженко М.В. 2010. Распространение двустворчатого моллюска Cerastoderma glaucum (Pioret, 1789) (Bivalvia: Cardidae) в Таганрогском заливе Азовского моря // Вестн. Юж. науч. центра РАН. Т. 6. Вып. 4. С. 105.
- Скарлато О.А., Старобогатов Я.И. 1972. Класс двустворчатые моллюски // Определитель фауны Черного и Азовского морей. Киев. Наук. думка. Т.3. С. 178.
- Стадниченко С.В., Золотарев В.Н. 2009. Популяционная структура морских двустворчатых моллюсков в районе дельты Дуная в 2007–2008 гг. // Экологическая безопасность прибрежной и шельфовой зон и комплексное использование ресурсов шельфа: Сб. науч. трудов НАН Украины. Морской гидрофиз. ин-т. Севастополь. ЭКОСИ–Гидрофизика. Вып. 20. С. 248.
- Тимофеев В.А. 2016. Морфологические изменения жаберного аппарата двустворчатых моллюсков в связи с условиями обитания // Системы контроля окружающей среды. № 4(24). С. 118.
- Щербань С.А., 2010. Тканевые особенности белкового синтеза у двустворчатого моллюска Anadara inaeguivalvis (Bruguiere) в условиях нормы и при дефицитепищи // Науковi запiси Тернопiльского нацiонального педагогiчного унiверситету. Серiя бiологiя. Спец. вып. Гiдроeкологiя. № 3(44). С. 323.
- Щербань С.А. 2018. Биохимические индикаторы пластического роста у представителей морских Bivalvia (Черное море) // Экосистемы. Вып. 14(44). С. 110.
- https://ekosystems.cfuv.ru/wp-content/uploads/ 2018/12/012scherban.pdf
- Щербань С.А., Мельник А.В. 2020. Размерно-возрастные и фенотипические особенности соматического роста черноморского гребешка (Flexopecten glaber ponticus, Bivalvia, Pectinidae) // Зоол. журн. Т. 99. № 4. С. 363.
- Karavanceva N.B., Shcherban S.A. 2014. Content of nucleic ads in gonads, sperms and eggs of the mussel Mytilus galloprovincialis at natural condition and thermal stimulaition // Hydrobiology J. V. 50. Iss. 6. P. 47.
- Martinez G., Torres M., Uribe E. 1992. Biochemical composition of broodstock and early juvenile Chilean scallops, Argopecten purpuratus L. held in two different environments // J. Shellfish Res. V. 1. № 2. P. 307.
- Mayrand E.J., Pellerin-Massicotte Vincent B.В. 1997. Small scale variability of biochemical indices of growth in Mya arenaria (L.) // J. Shellfish Res. V. 13. P. 199.
- Shcherban S.A. 2012. Tissue peculiarites of the protein anabolism in bivalve molluck Anadara inaeguivalvis in norm, under foot deficit and anoxia // Hydrobiology J. V. 48. №. 2. P. 21.
- Shcherban S.A. 2013. Biochemical indicators of processes of the protein synthesis and retention in hydrobionts. (А reweiv) // Hydrobiology J. V. 49. Iss. 4. P. 93.
- Stillman H.B., Dahlhoff E.P., Somero G.N. 1996. Biochemical indicators of physiological state in the intertidal mussel Mytilus californianus // The Physiologist. V. 37. P. 921.
Supplementary files






