Особенности структуры сообществ зоопланктона пойменных водоемов Средней Оби
- Авторы: Ермолаева Н.И.1, Носков Ю.А.2,3, Крицков И.В.3
-
Учреждения:
- Институт водных и экологических проблем Сибирского отделения Российской академии наук
- Институт систематики и экологии животных Сибирского отделения Российской академии наук
- Томский государственный университет
- Выпуск: Том 17, № 1 (2024)
- Страницы: 179-193
- Раздел: Статьи
- URL: https://ogarev-online.ru/0320-9652/article/view/261541
- DOI: https://doi.org/10.31857/S0320965224010151
- EDN: https://elibrary.ru/yzhblq
- ID: 261541
Цитировать
Полный текст
Аннотация
Исследован зоопланктон пойменных водоемов Средней Оби, расположенных на различном удалении от основного русла реки. Показано, что в водоемах поймы развитие летнего комплекса зоопланктона начинается одновременно с прохождением паводка, в летние месяцы в них отмечено наибольшее видовое разнообразие и наибольшая биомасса. Чем чаще происходит заполнение водоема полыми водами, тем выше в нем видовое разнообразие и численность зоопланктона. Выявлены факторы, статистически значимо определяющие развитие зоопланктона в пойменных водоемах: частота затопления, температура воды, содержание органических веществ и для ряда таксонов — газовый режим. Подтверждено, что зоопланктон пойменных водоемов значимо отличается от сообществ материнской реки и от озер надпойменной террасы значительным фаунистическим разнообразием, повышенным видовым богатством и специфической видовой структурой.
Ключевые слова
Полный текст
ВВЕДЕНИЕ
Пойменные озера, известные своим высоким биоразнообразием и экологической ценностью, являются важными элементами ландшафта крупных рек (Amoros, Bornette, 2002; Funk et al., 2009; Górski et al., 2013). Это, как правило, мелкие, астатичные водоемы с различными экологическими условиями. Их можно рассматривать как переходные зоны от речных к непроточным озерным экосистемам (Baranyi et al., 2002; Dembowska, Napiórkowski, 2015; Obolewski et al., 2016). В соответствии с концепцией импульса половодья (Junk et al., 1989), функционирование пойменных озер зависит от речных паводков. Концепция предполагает, что волна паводка служит гомогенизирующим фактором, выравнивающим условия в озерах и главным фактором формирования их биологических ресурсов за счет взаимного обмена водой, питательными веществами и организмами (Thomaz et al., 2007; Paidere, 2009; Chaparro et al., 2018; Obolewski et al., 2018). Степень, продолжительность и частота затопления пойменных озер, а также уровень воды в озерах зависят от многих факторов — расположения озера, его удаленности от реки, колебаний уровня реки во время паводка и т.д. (Amoros, Bornette, 2002; Chaparro et al., 2015, 2021). Характер связи пойменных водоемов с рекой играет значимую роль в формировании структуры сообществ гидробионтов, в частности зоопланктона (Schöll et al., 2012; Dias et al., 2016; Dittrich et al., 2016).
К настоящему времени накоплено достаточно большое количество данных по зоопланктону пойменных озер различных речных систем. Как правило, такие исследования, в том числе и многолетние мониторинговые, касаются какого-то конкретного сезона: летнего или летне-осеннего в пик развития зоопланктонных организмов (Крылов, Жгарева, 2016; Шурганова и др., 2018), весеннего (Подшивалина, 2022). Наиболее подробно исследованы в плане динамики зоопланктона в период открытой воды некоторые пойменные озера р. Висла (Napiórkowski et al., 2019). Работ, посвященных зоопланктону пойменных водоемов Западной Сибири, к настоящему моменту очень мало. Проведены исследования на р. Иртыше в среднем (Литош и др., 2021) и в нижнем (Суставов, 2019) течении. На р. Оби выполнены обширные работы по исследованию динамики планктона в крупных сорах нижнего течения (Семенова, Алексюк, 2009), тогда как малые водоемы, расположенные на пойме, оказались вне внимания исследователей.
Уникальность р. Обь и ее отличие от остальных сибирских рек заключается в обширной пойме, которая, благодаря равнинному рельефу и заболоченности Западной Сибири, может достигать 60 км в поперечнике. Это вторая по величине в мире пойма после р. Амазонки (Vorobyev et al., 2015). Однако данных по биотической структуре пойменных водоемов р. Оби, в том числе и по зоопланктону, в настоящее время крайне мало.
Пойма крупной равнинной реки представляет собой сложный геоморфологический комплекс, находящийся под воздействием основной реки и отличающийся гидрологическими, микроклиматическими, почвенно-растительными характеристиками из-за затопления водами половодий и паводков. При этом особый гидрологический режим свойственен каждой высотной отметке поймы. В зависимости от уровня волны паводка озера, находящиеся на различных отметках, объединяются с рекой не ежегодно (Савичев, 2010; Хромых, 2007). На выбранном отрезке р. Обь левый берег представляет собой участок обширной поймы с множеством озер, правый — высокий яр. Озера, расположенные на правом берегу, никогда не подвергаются воздействию паводковых вод. Такое разнообразие объектов позволяет провести сравнительное исследование разнотипных озер поймы и надпойменных террас, расположенных на сравнительно небольшой площади в одних и тех же климатических условиях.
Цель настоящей работы — исследование состава и количества зоопланктона пойменных водоемов Средней Оби с различным характером затопления и сравнение структуры их летнего зоопланктона с таковой в озерах надпойменной террасы. Работа выполнена в рамках комплексного исследования поймы р. Оби.
МАТЕРИАЛ И МЕТОДЫ ИССЛЕДОВАНИЯ
Исследования проводили с сентября 2018 по сентябрь 2019 г. на участке Средней Оби. Изучены основное русло р. Оби и ряд пойменных и надпойменных водоемов, расположенных на различном удалении от основного русла (рис. 1). Рассматриваемый участок расположен приблизительно в 165 км на северо-запад от г. Томска, в Кривошеинском р-не Томской обл. Среди пойменных водоемов для изучения на левобережной пойме были выбраны временный водоем (согра), оз. Инкино, Иштанское болото, среди надпойменных водоемов — таежное оз. Щучье, расположенное в 3.5 км восточнее с. Красный Яр на правом берегу р. Оби (рис. 1). В р. Оби пробы отбирали с лодки в рипали в левом рукаве реки, прилегающем к исследуемой территории поймы (57.2541° с.ш., 84.1970° в.д.) (рис. 1).
Рис. 1. Карта-схема расположения исследованных озер. 1 – временный водоем (согра), 2 – оз. Инкино, 3 – Иштанское болото, 4 – оз. Щучье, 5 – р. Обь.
Озеро Инкино (57.2318° с.ш., 84.2559° в.д.) находится на террасе высотой 6 м выше среднего уровня р. Оби в летнюю межень на расстоянии 2200 м от ближайшего берега реки. Площадь водного зеркала в сентябре 2019 г. была 7.72 га, средняя глубина 1.7 м. В летний период проективное покрытие макрофитов превышает 40% площади. Доминантный вид макрофитов — телорез алоэвидный, содоминанты — несколько видов осок, водокрас, рогоз узколистный.
Согра (57.2364° с.ш., 84.19864° в.д.) находится на расстоянии 3200 м и выше уровня р. Оби на 7 м. Временный водоем площадью ~0.05 га, глубина в весенний период не превышает 0.6 м. Водоем сильно заболоченный, зарастает тростником и осоками, их проективное покрытие достигает ~70% площади водоема. Растительность представлена молодью ивы, в воде активно развиваются сообщества пузырчатки обыкновенной. Подверглась затоплению паводковыми водами в 2018 г. В 2019 г. к сентябрю пересохла. Зимой полностью промерзает.
Иштанское болото (57.1392° с.ш., 84.1409° в.д.) находится на расстоянии 3000 м от ближайшего меандра р. Оби, поступление воды на этот низменный участок ограничивают гривы высотой 7.5–8.0 м выше уровня реки. Площадь достигает >2.5 тыс. га. Болото представляет собой обводненный кочкарник, степень зарастания макрофитами >90%. Кочки сформированы различными видами осок. У водоема не было связи с рекой с 2015 г., и к моменту проведения работ он сильно обмелел. Глубина в месте отбора проб не превышала 0.3 м, осенью снижалась до 0.1 м. Зимой полностью перемерзает.
Озеро Щучье (57.130298° с.ш., 84.606291° в.д.) – типичное для данного региона таежное озеро округлой формы с площадью водного зеркала 16.1 га и глубиной до 2 м. Водная растительность представлена на дне мхами, по периметру бордюр из различных осок и разреженные заросли тростника и рогоза.
Уровень воды в р. Оби, по данным ближайшего к участку работ гидрометрического поста Молчаново, в течение года претерпевает значительные колебания. Абсолютный минимум за 22 года наблюдений (25 см над нулем поста (по Балтийской системе)) зарегистрирован 01.03.2012 г., абсолютный максимум (951 см) наблюдали 06.05.2015 г. Половодье на Средней Оби начинается со второй половины апреля, его пик приходится на начало июня.
Средний перепад уровней в р. Обь во время паводка достигает ~6 м. Озеро Инкино затапливается при уровнях половодья >600 см (средний и выше среднего), время стояния воды до 2 мес. Частота затопления согры — один раз в 5–6 лет, время стояния полой воды, как правило, ≤2 нед. Иштанское болото заливается полой водой в среднем раз в 11 лет, оз. Щучье не затопляется.
Для сбора зоопланктона процеживали 50–100 л воды (в зависимости от уровня трофности водоема и сезона) через сеть Апштейна с размером ячеи 64 мкм. Пробы отбирали в центре водоемов из верхнего 0.5-метрового горизонта, чтобы исключить захват взвеси из придонных слоев. В некоторых случаях глубину отбора ограничивала глубина водоема. Отобранные пробы фиксировали 4%-ным раствором формалина и обрабатывали общепринятыми в гидробиологии методами (Руководство…, 1992). Науплиальные и младшие копеподитные стадии веслоногих рачков до вида не определяли.
Индекс Шеннона вычисляли с учетом показателей численности и биомассы. Для оценки уровня сапробности водоемов использовали индекс Пантле и Букк (Slàdeček, 1973). При расчете индекса использованы значения региональных показателей индикаторной значимости, полученные для зоопланктонных организмов водоемов юга Западной Сибири (Ермолаева, Двуреченская, 2013). Дополнительно вычисляли фаунистический индекс трофности Мяэметса (E) (Мяэметс, 1980) и индекс трофности по Андрониковой (I) (Андроникова, 1996).
Расчет индекса трофности E базируется на количестве видов-индикаторов эвтрофных и олиготрофных вод с учетом соотношения таксономических групп планктонных организмов:
,
где K — число видов Rotifera, А — число видов Copepoda, V — число видов Cladocera, х — число мезо-эвтрофных видов, у — число олиго-мезотрофных видов. Виды-индикаторы трофических типов определяли по: (Андроникова, 1996) также с учетом региональных показателей индикаторной значимости (Ермолаева, Двуреченская, 2013).
Индекс трофности по Андрониковой (I) – соотношение биомассы смежных трофических уровней:
.
Растворенный кислород (CellOx 325; точность ± 5%), электропроводность (TetraCon 325; ± 1.5%), температуру воды (± 0.2°C) и рН (с погрешностью 0.01 единицы рН) измеряли in situ в месте отбора проб зоопланктона, на глубине 20 см с помощью мультиметра ProfiLineMulti3320 (WTW, Германия), растворенный CO2 в воде измеряли с помощью портативного регистратора GM70 (Vaisala, Финляндия).
Поглощение ультрафиолета при длинах волн 245 и 254 нм (UV 245 и UV 254) измеряли с использованием 10‑мм кварцевой кюветы на спектрофотометре EppendorfBioSpectrometer. UV 245 и UV 254 используются как показатели содержания органического вещества, поскольку выявлена высокая корреляция UV 254 с концентрацией общего (TOC) и растворенного органического углерода (DOC) (Albrektienė et al., 2012; Szerzyna et al., 2017), а UV 245 – с ХПК (Namour, Jaffrezic, 2010).
Оценка степени различия озер по гидрофизическим характеристикам проведена на основе анализа данных по температуре воды, концентрации растворенного O2, электропроводности, рН, UV 245, UV 254 и концентрации CO2 и подтверждена с использованием непараметрического критерия Краскела–Уоллиса (Hammer et al., 2001). Относительную значимость факторов окружающей среды в объяснении изменчивости количественных показателей отдельных видов зоопланктона определяли с помощью пошагового регрессионного анализа в пакете программ STATISTICA v. 12. (TerBraak, 1995; Zuur et al., 2010; Legendre, Legendre, 2012). Данные подвергнуты преобразованию Хеллингера (log (х+1)), что позволяет придать одинаковый вес всем переменным (TerBraak, 1995; Zuur et al., 2010; Legendre, Legendre, 2012).
РЕЗУЛЬТАТЫ ИССЛЕДОВАНИЯ
По данным Западно-Сибирского управления по гидрометеорологии и мониторингу окружающей среды в 2018 г. высота паводка на исследованном участке р. Обь была 748 см. В 2019 г. перепад уровней достигал ~610 см (Доп. мат. рис. S1).
Соединение Иштанского болота с поймой в последний раз произошло в 2015 г. с 15 мая по 22 июня. Согра объединилась с поймой с 4 по 20 мая 2018 г., оз. Инкино сохраняло связь с рекой через протоки в 2018 г. с 20 апреля по 22 июня, в 2019 г. — с 16 апреля по 18 мая. Все водоемы вне паводка изолированы от основного русла р. Оби.
Неметрическое многомерное шкалирование (nMDS) выявило значительные различия в экологических условиях исследуемых пойменных озер в период открытой воды (температура (Т), концентрация растворенного кислорода (О2), концентрация растворенного углекислого газа (СО2), электропроводность (Cond), УФ-поглощение при длинах волн 245 и 254 нм (UV 245 и UV 254), pH) (рис. 2). Все исследованные водоемы имели статистически значимые различия по концентрациям О2 и СО2, электропроводности, содержанию органического углерода по UV 254, ХПК по UV 245 и pH (табл. 1).
Рис. 2. Отображение результатов многомерного шкалирования (nMDS) в пространстве двух шкал, полученных на основе Евклидовых расстояний между условиями окружающей среды в исследованных водоемах. 1 – временный водоем (согра), 2 – оз. Инкино, 3 – Иштанское болото, 4 – оз. Щучье, 5 – р. Обь. Т — температура, О2 – концентрация растворенного кислорода, СО2 – концентрация растворенного углекислого газа, Cond — электропроводность, UV 245 и UV 254 – УФ-поглощение при длинах волн 245 и 254 нм и pH. (Стресс: 0.0011).
Таблица 1. Физико-химические параметры воды исследованных пойменных озер и р. Оби
Показатель | Иштанское болото | Согра | оз. Инкино | р. Обь | оз. Щучье |
T, °C | 0.9–19.6 14.1 ± 4.9 | 0.4–25.0 17.6 ± 7.4 | 0.4–23.8 16.9 ± 5.3 | 0.4–22.9 15.4 ± 7.5 | 0.7–23.0 13.1 ± 9.8 |
O2, мг/л** | 0.04–4.56 2.28 ± 2.24 | 3.05–7.68 4.98 ± 2.70 | 0.20–8.45 7.19 ± 2.03 | 1.42–11.95 11.09 ± 1.62 | 2.94–6.34 5.50 ± 1.84 |
Cond, мкС/см** | 446–879 605 ± 159 | 100–220 162 ± 23.0 | 14–183 108 ± 36 | 193–393 207 ± 93 | 37–60 48 ± 8.0 |
pH** | 7.21–7.59 7.43 ± 0.22 | 7.00–7.65 7.24 ± 0.11 | 6.65–7.86 7.41 ± 0.78 | 7.50–9.13 8.67 ± 0.46 | 6.47–6.78 6.59 ± 0.21 |
UV 245* | 0.105–0.486 0.235 ± 0.134 | 0.703–1.875 1.205 ± 0.493 | 0.177–0.422 0.260 ± 0.070 | 0.050–0.121 0.094 ± 0.034 | 1.376–1.963 1.625 ± 0.174 |
UV 254* | 0.099–0.477 0.227 ± 0.131 | 0.643–1.732 1.109 ± 0.458 | 0.165–0.388 0.241 ± 0.064 | 0.045–0.155 0.086 ± 0.036 | 1.268–1.827 1.502 ± 0.164 |
CO2, мМ/л** | 4040–26000 14030 ± 9990 | 119–6052 2717 ± 2223 | 670–5265 2001 ± 1331 | 80–3310 239 ± 159 | 1600–2820 2233 ± 465 |
Примечание. Над чертой — min–max показателя, под чертой — среднее ± стандартное отклонение. Жирным шрифтом выделены существенно различающиеся показатели среди водных объектов. Непараметрический критерий Краскела–Уоллиса,
*p ≤ 0.05;
** p ≤ 0.001.
Средние показатели электропроводности возрастают от ежегодно заливаемого оз. Инкино к Иштанскому болоту, наиболее редко подвергающемуся воздействию паводков. Воды р. Оби относятся к гидрокарбонатному классу группы кальция и обогащены железом (в среднем 3 ПДКвх), марганцем (в среднем 2 ПДКвх), медью и цинком (до 10 ПДКвх). Причина вышеуказанных отклонений от нормативных значений — не антропогенное загрязнение, а геохимические особенности водосбора (Современное..., 2012).
Половодье временно гомогенизирует химический состав пойменных озер. После обособления водоемов от основного русла основное влияние на гидрохимические показатели оказывают процессы испарения. Чем дольше период изоляции водоема от реки — тем выше в нем концентрации растворенных элементов, т.е. наблюдается закономерный рост минерализации.
Низкое среднее содержание кислорода в Иштанском болоте, согре и оз. Щучье объясняется в первую очередь активными биохимическими процессами. Разложение органического вещества, фотоокисление и биоокисление железоорганических коллоидов и прочих способствуют снижению концентрации кислорода в согре и оз. Щучье. Иштанское болото на момент обследования представляло собой типичный дистрофный водоем с дефицитом кислорода. Озеро Инкино в летние месяцы обогащается кислородом за счет фотосинтеза погруженной растительности и переходит в разряд заморных при разложении этой накопленной растительной биомассы.
Всего в результате исследования зарегистрировано 133 вида и формы зоопланктона, в том числе 58 видов Rotifera (44% всех видов), 44 вида Cladocera (33%), и 31 вид Copepoda (24 Cyclopoida, пять Calanoida и два Harpacticoida), а также науплиальные и копеподитные стадии Copepoda, которые не были определены до вида (Доп. мат. табл. S1).
Наибольшее количество видов в течение года было зарегистрировано в оз. Инкино, наименьшее — в Иштанском болоте (табл. 2). Самая высокая плотность зоопланктона в июле отмечена в оз. Инкино, в сентябре — в согре, наименьшая в течение всего периода исследования — в Иштанском болоте (рис. 3).
Таблица 2. Структура зоопланктона исследованных озер и р. Обь
Водный объект | n | n Cop | nClad | nRot | Е | I | S | HN. | HB |
Иштанское болото | 15 | 14 | 0 | 1 | 0.01 | 0 | 1.68/1.66 | 1.06/1.28 | 0.97/0.63 |
Согра | 53 | 18 | 15 | 20 | 0.19 | 0.02 | 1.58/– | 1.34/– | 1.67/– |
оз. Инкино | 68 | 17 | 31 | 20 | 0.25 | 0.76 | 1.62/1.58 | 1.26/1.84 | 2.00/2.39 |
р. Обь | 47 | 12 | 12 | 23 | 0.35 | 0.04 | 1.67/1.62 | 1.09/1.30 | 1.67/2.08 |
оз. Щучье | 35 | 10 | 11 | 14 | 0.36 | 0.02 | 1.58/1.58 | 1.24/1.91 | 1.97/1.16 |
Примечание. n — общее число видов, nClad — число видов Cladocera, nCop — число видов Copepoda, nRot — число видов Rotifera, Е — фаунистический индекс трофности Мяэметса, I — индекс трофности по Андрониковой (Bхищников/Bмирных, июль 2019), S — индекс сапробности Пантле и Букк (июль/сентябрь 2019), H — индекс Шеннона по численности (бит/экз.) и биомассе (бит/мг) (июль/сентябрь 2019). “–” – отсутствие данных (р. Согра высохла).
Рис. 3. Численность (N, тыс. экз./м3) и биомасса (B, мг/м3) (а, в, д, ж, и) и соотношение таксономических групп зоопланктона (% общей численности) (б, г, е, з, к) в период открытой воды в водных объектах: а, б — оз. Инкино; в, г — согра; д, е — Иштанское болото; ж, з—р. Обь; и, к — оз. Щучье. 1 – численность, 2 – биомасса, 3 – Rotifera, 4 – Cladocera, 5 – Copepoda.
В Иштанском болоте в период открытой воды наблюдали постоянный дефицит кислорода. В мае при температуре 9°С содержание кислорода было 4.56 мг/л. В июле, при прогреве воды до 19°С, содержание растворенного кислорода упало до 0.04 мг/л, а в сентябре при снижении температуры до 12°С повысилось до 1.15 мг/л. Зоопланктон представляли веслоногие ракообразные, лишь в конце мая и в июне в пробах встречались единичные коловратки Mytilina trigona (Gosse) (рис. 3). В мае, наряду с доминирующим Cyclops vicinus Uljanin, в пробах было отмечено значительное количество фитофильных и нектобентосных форм: Ectocyclops phaleratus (Koch), Eucyclops macruroides (Lilljeborg), Paracyclops fimbriatus (Fischer). Высокую численность обеспечивали науплиальные и копеподитные стадии Cyclopoida. В июне при снижении общей численности биомасса возросла, доминировали крупные половозрелые Megacyclops viridis (Jurine) и M. gigas (Claus). В июле, с повышением температуры до 19°С, M. gigas выпал из состава зоопланктона, при этом значительное развитие получили тепловодно-стенотермный Microcyclops bicolor (Sars G.O.) и Macrocyclops albidus (Jurine). Численность и биомасса зоопланктона возросли синхронно. В сентябре отмечен только Cyclops kolensis Lilljeborg, количественное обилие снизилось (рис. 3).
Согра оказалась самым прогреваемым из всех исследованных водоемов (табл. 1). Уже в мае температура в ней достигала 16°C, в июле — 25°С. В период открытой воды в зоопланктоне преобладали веслоногие ракообразные (рис. 3). В мае коловратки в сообществе встречались единично, доминировали науплиусы и младшие копеподитные стадии рода Cyclops. В июне возрастала доля ветвистоусых и в численности, и в биомассе сообщества. Доминировали по численности Chydorus sphaericus (O.F. Müller), Megacyclops viridis, Macrocyclops albidus. В биомассу значительный вклад обеспечивали, помимо вышеперечисленных видов, Simocephalus vetulus (O.F. Müller) и Polyphemus pediculus (L.). За счет развития крупных форм при незначительном изменении численности биомасса зоопланктона заметно возросла (рис. 3). В июле по мере прогревания водоема происходило ухудшение кислородного режима (снижение концентрации растворенного кислорода с 7.68 мг/л до 3.89 мг/л) и повышение уровня трофности водоема (коэффициент спектрального поглощения UV 254 возрастал с 0.70 до 1.88). При этом снижались видовое разнообразие и количественные показатели ветвистоусых и возрастала роль коловраток. В состав доминантов по численности вошли Trichotria pocillum (Müller), Asplanchna priodonta Gosse, Anuraeopsis fissa (Gosse), Lecane crenata (Harring), L. luna (Müller), L. styrax (Harring & Myers), Rotaria rotatoria (Pallas). По биомассе доминировали Megacyclops viridis, Thermocyclops crassus (Fischer) и Daphnia pulex Leydig. В сентябре, несмотря на еще большее снижение концентрации растворенного кислорода (3.05 мг/л) и снижение температуры до 11°С, были отмечены самые высокие для согры показатели численности и биомассы зоопланктона (рис. 3). Основу сообщества представляли Megacyclops viridis и Daphnia pulex, коловратки отсутствовали.
Температура воды в оз. Инкино в мае в период паводка была 12°С, максимальная в июле — 24°С. Озеро отличалось наибольшим видовым разнообразием и самыми высокими показателями биомассы зоопланктона. В период паводка доминировали веслоногие ракообразные, главным образом, ювенильные стадии. Доминировали по численности и биомассе Cyclops scutifer Sars G.O., Eucyclops macruroides, Eurytemora affinis (Poppe). В мае–июне возрастало видовое разнообразие и численность коловраток и ветвистоусых (табл. 2, рис. 3). Максимальная численность и биомасса зоопланктона были зарегистрированы в июне. Лидерами по численности были из ветвистоусых Chydorus sphaericus, из коловраток Conochilus unicornis Rousselet и Euchlanis incisa Carlin, из веслоногих Cyclops scutifer, Eucyclops serrulatus (Fischer), Thermocyclops crassus. В биомассу значительный вклад вносили Eurycercus lamellatus (O.F. Müller), Simocephalus serrulatus (Koch), Megacyclops viridis, Macrocyclops albidus. По мере ухудшения газового режима (в мае содержание растворенного кислорода достигало 8.27 мг/л, снижаясь к июлю по мере прогрева воды до 5.16 мг/л) произошло сокращение численности всех групп и изменение видовой структуры. В сентябре в сообществе доминировали по численности из веслоногих Mesocyclops leuckarti (Claus), Cyclops kolensis Lilljeborg и Thermocyclops crassus, из ветвистоусых Ceriodaphnia pulchella Sars и Eubosmina coregoni Baird, из коловраток Euchlanis incisa и Polyarthra dolichoptera Idelson.
В р. Оби динамика зоопланктона была схожа с таковой в оз. Инкино. Минимальные показатели численности и биомассы зарегистрированы во время паводка, максимальные — в июне (рис. 3). Во время паводка в русле реки сообщество зоопланктона в основном было представлено веслоногими, главным образом, ювенильными стадиями. Доминировали по численности Cyclops scutifer и C. strenuus Fischer. На спаде волны половодья в составе зоопланктонного сообщества доминировали коловратки Synchaeta pectinata, S. stylata Wierzejski, Polyarthra dolichoptera. В летний период по численности преобладали коловратки за счет массового развития Ascomorpha ecaudis (Perty) (до 45 тыс. экз./м3), Synchaeta pectinata Ehrenberg (до 12 тыс. экз./м3), Keratella quadrata (Müller) (>19 тыс. экз./м3). Высокой численности достигали и представители рода Brachionus: B. angularis Gosse, B. calyciflorus Pallas, B. calyciflorus var. dorcas Gosse, B. quadridentatus Hermann, B. leydigii Cohn. В осенне-зимний период доминирующая роль переходила к веслоногим Mesocyclops leuckarti, Megacyclops viridis и Cyclops vicinus. В сентябре 2019 г. в реке отмечена достаточно высокая биомасса Cladocera за счет появления в планктоне значительного количества фитофильных форм: Pleuroxus striatus (Schödler) (740 экз./м3), Alona intermedia Sars (400 экз./м3), Disparalona rostrata (Koch) (240 экз./м3) и др. По-видимому, эти виды скатились в основное русло с песчаной литорали при снижении уровня реки.
В оз. Щучье видовой состав зоопланктона характерен для малых материковых озер таежной зоны Западной Сибири (Ермолаева, 2020). Видовое разнообразие невысокое (табл. 2). В подледный период и в период распаления льда основу численности представляют коловратки Kellicottia longispina, Polyarthra remata Skorikov, Synchaeta longipes Gosse. В летне-осенний период в состав структурообразующего комплекса входят, помимо вышеперечисленных видов, Polyarthra dolichoptera и Asplanchna priodonta. Численность зоопланктона возрастает с апреля по сентябрь. Максимальная численность отмечена в июле за счет массового развития коловраток и большого количества науплиев и копеподитов веслоногих раков. К осени количественные показатели снижаются. Ветвистоусые входят в состав сообщества зоопланктона в летне-осенний период. Доминируют эврибионты Bosmina longirostris, Daphnia longispina (O.F. Müller), Diaphanosoma brachyurum (Liévin). Из веслоногих круглогодично встречались Mesocyclops leuckarti и Megacyclops viridis. Весной в состав доминирующего комплекса входил Cyclops strenuus, в сентябре высокой численности достигал Megacyclops gigas. Летом субдоминантами среди ракообразных были в основном высокоспециализированные виды ветвистоусых, приспособленные к жизни на подводных субстратах, — Graptoleberis testudinaria (Fischer), Pleuroxus truncatus (O.F. Müller) и нейстонный Scapholeberis mucronata (O.F. Müller).
Индекс видового сходства Серенсена между зоопланктонными сообществами р. Оби и оз. Инкино в апреле перед паводком достигал 0.18; в мае (период паводка, когда ожидается максимальная гомогенизация зоопланктона реки и пойменных водоемов) – 0.26; в июле — лишь 0.10. Сходство между зоопланктонными сообществами реки и остальных пойменных водоемов было значительно ниже. Кластерный анализ на основе видового разнообразия зоопланктона, выявленного за весь период наблюдения, выделил р. Обь и материковое оз. Щучье в отдельный кластер, в другом объединились все пойменные водоемы (рис. 4).
Рис. 4. Дендрограмма биоценотического сходства зоопланктона изученных водоемов на основе значений меры Брея–Кертиса (группировка по принципу Neigbour joining clustering (Saitou & Nei, 1987)). 1 – временный водоем (согра), 2 – оз. Инкино, 3 – Иштанское болото, 4 – оз. Щучье, 5 – р. Обь.
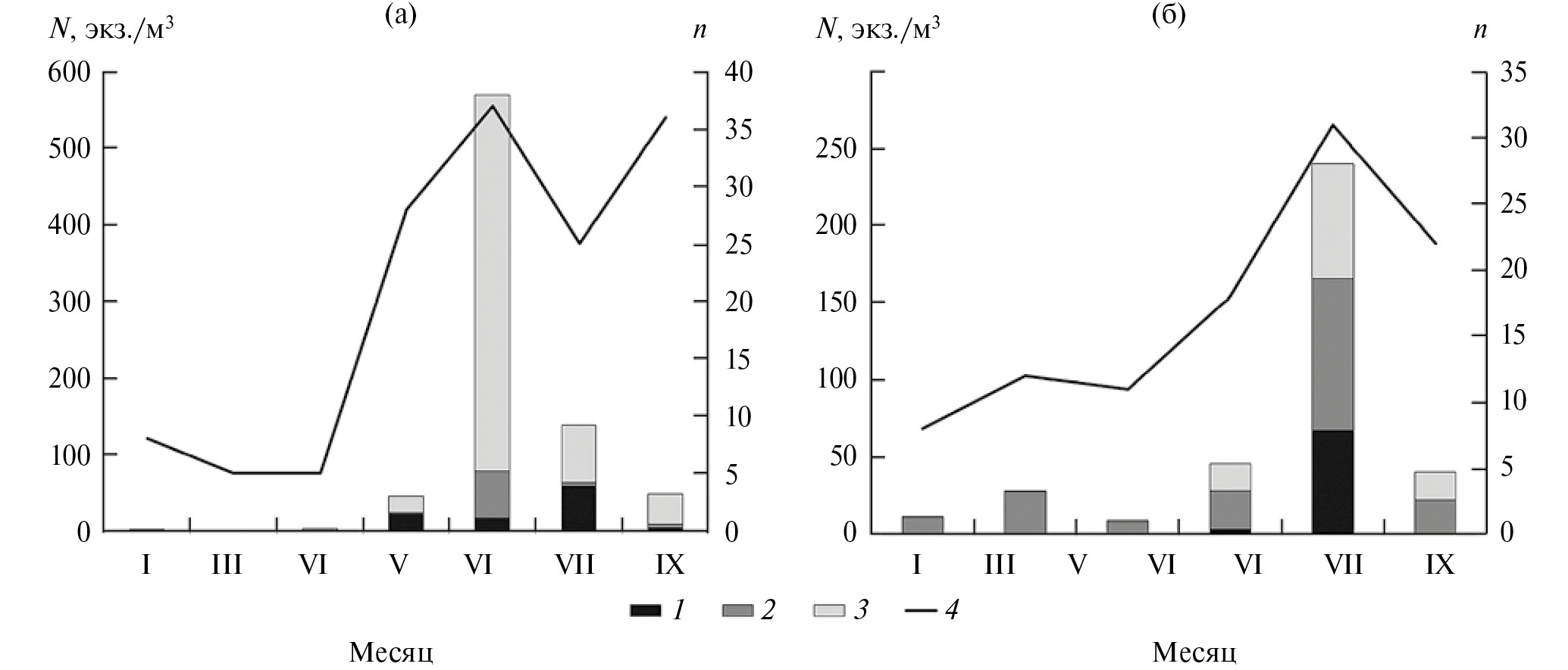
Сравнивая годовые вариации численности различных групп зоопланктона материкового оз. Щучье и пойменного оз. Инкино, можно отметить, что в оз. Щучье развитие летнего зоопланктонного сообщества начинается в июне, в пойменном озере — в мае в период залития водоема паводковыми водами (рис. 5). В пойменных озерах основу численности и биомассы в весенние месяцы представляли веслоногие раки, летом, по мере прогревания водоемов, увеличивалась доля коловраток и ветвистоусых. В материковом озере по численности в весенний период доминировали коловратки, максимальное видовое разнообразие и численность ракообразных также отмечены летом.
Рис. 5. Годовая динамика численности (N, тыс. экз./м3) и число видов (n) зоопланктона пойменного оз. Инкино (а) и материкового оз. Щучье (б). 1 – Copepoda, 2 – Cladocera, 3 – Rotifera, 4 – число видов.
По трофическому индексу Андрониковой все исследованные водные объекты относятся к олиготрофному типу. По фаунистическому индексу Мяэметса ультраолиготрофное только Иштанское болото. Показатель индекса в согре уже пограничный между олиго- и мезотрофным типом. Река Обь, озера Инкино и Щучье — мезотрофные водные объекты (табл. 2).
Индекс сапробности Пантле и Букк позволяет отнести все водоемы к β-мезосапробному типу. В материковом оз. Щучье этот индекс сохраняет стабильность, в пойменных водоемах наблюдается некоторое снижение индекса от лета к осени (табл. 2).
Индекс Шеннона характеризует разнообразие и выравненность в структуре сообщества. Максимальные показатели и по численности, и по биомассе характерны для оз. Инкино. В оз. Щучье в сентябре снижаются число видов и численность зоопланктона, растет доля некоторых доминирующих видов, в оз. Инкино продолжается формирование сообщества, выравненность по представленности видов возрастает, как и количество видов.
В пойменных водоемах обнаружен ряд видов, которые ранее не были отмечены ни в русле Средней Оби, ни в озерах надпойменных террас в зоне южной тайги Западной Сибири (Ермолаева, 2020; Yermolaeva et al., 2021). Это, например, характерные для заболоченных водоемов Tretocephala ambigua (Lilljeborg), Euchlanis incisa, E. meneta Myers, Kurzia latissima (Kurz), Acantholeberis curvirostris (O.F. Muller), Streblocerus serricaudatus (Fischer), Ectocyclops phaleratus; приуроченные к зарослям макрофитов Lecane bulla (Gosse), L. crenata, L. styrax, Trichocerca rattus (Müller), T. rattus f. carinata (Ehrenberg), Alonella exigua Lilljeborg, Mytilina trigona, M. ventralis (Ehrenberg); для временных водоемов Diacyclops bisetosus (Rehberg), Microcyclops bicolor, M. varicans (Sars G.O.); холодноводные формы, зарегистрированные в русле р. Оби севернее 60° с.ш., либо в северных дистрофных болотистых водоемах — Monommata longiseta (Müller), Keratella serrulata f. curvicornis Rylov, Rotaria rotatoria, Ophryoxus gracilis (Sars G.O.), Holopedium gibberum Zaddach, Eurytemora affinis; и напротив, характерный для мелких и теплых водоемов степной и лесостепной зоны Plationus patulus (Müller, 1786).
С помощью множественной пошаговой регрессии выявлено, что частота затопления пойменных водоемов наиболее значимо влияет на численность зоопланктона и на число видов (табл. 3). В первую очередь от этого показателя положительно зависит численность Cladocera. Веслоногие при рассмотрении группы в целом не показали значимой зависимости от изученных факторов.
Таблица 3. Значимые зависимости численности и видового богатства таксономических групп зоопланктона от факторов среды по результатам пошагового регрессионного анализа (p <0.05)
Зависимый показатель | R2 | Уравнение регрессии |
N | 0.52 | 19417.05 + 48469.48 × Ff |
NClad | 0.70 | 75371.85 + 36937.24 × Ff — 3728.48×O2 |
NRot | 0.66 | – 44647.71 + 95798.78 × UV245 – 96535.23 × UV254 |
NCop | – | – |
n | 0.78 | 14.54 + 16.39 × Ff — 0.02 × Cond |
nClad | 0.80 | 20.41 + 14.43 × Ff — 0.02 × Cond |
nRot | 0.79 | – 18.19 + 35.89 × UV245 – 36.51 × UV254 – 2.35 × pH |
nCop | – | – |
Примечание. N — общая численность; n — общее число видов; Ff (flood frequency) – частота затопления, Cond (conductivity) – электропроводность, UV245, UV254 – поглощение ультрафиолета при длинах волн 245 и 254 нм, R2 – коэффициент детерминации. “–” – зависимости не выявлены.
Поскольку в течение сезона открытой воды происходила замена одного вида другим в каждой группе, проведен анализ методом пошаговой множественной регрессии. В анализ включили 59 видов зоопланктона, отмеченных хотя бы в трех разных водоемах и в течение хотя бы трех месяцев наблюдения, чтобы вариабельность показателей была статистически достоверной. Значимые зависимости численности от изученных факторов продемонстрировали 14 видов (табл. 4). В этот перечень не вошли виды с широкой экологической лабильностью и узкие отмеченные единично стенобионты.
Таблица 4. Зависимости численности некоторых видов зоопланктона от факторов среды по результатам пошагового регрессионного анализа (p <0.05)
Вид | R2 | Уравнение регрессии |
Alona intermedia Sars | 0.65 | 10623.27 + 3590.51 × Ff — 1417.34× pH |
Ceriodaphnia pulchella G.O. Sars | 0.59 | 72379.06 + 16354.80 × Ff — 9567.83 × pH — 1466.58 × O2 |
Chydorus sphaericus (O.F. Müller) | 0.48 | –236.44 + 8826.5 × Ff |
C. ovalis Kurz | 0.78 | 2980.97 – 313.51 × O2 + 298.14 × T — 6.09 × Cond — 959.44 × UV254 |
Daphnia pulex Leydig | 0.58 | –879.57 + 23268.60 × UV254 – 21269.58 × UV245 |
Graptoleberis testudinaria (Fischer) | 0.62 | 14004.46 + 3505.92 × Ff — 1859.27 × pH — 285.44 × O2+ 139.22 × T |
Kurzia latissima (Kurz) | 0.47 | –63.32 + 622.74 × Ff |
Asplanchna priodonta Gosse | 0.68 | –26071.48 + 37392.88 × UV254 + 224.55 × T — 36659.00 × UV245 |
A. herricki de Guerne | 0.30 | 899.26 – 120.09 × pH |
Trichocerca elongata (Gosse) | 0.53 | –1494.53 + 501.05 × Ff |
Cyclops strenuus Fischer | 0.34 | –540.12 + 158.14 × O2 |
Thermocyclops crassus (Fischer) | 0.26 | –210.75 + 5327.13 × Ff + 312.41 × T |
Microcyclops bicolor (Sars G.O.) | 0.29 | –9.54 + 0.01 × СО2 |
Paracyclops fimbriatus (Fischer) | 0.24 | 19.53 + 3444.68 × Ff |
Примечание. Обозначения, как в табл. 3.
Число видов зоопланктона определялось сложным сочетанием факторов среды, зачастую имеющих разнонаправленное действие. Основное значение для большинства видов имела частота затопления водоема, для ряда таксонов определяющими оказались содержание органического вещества (UV254), ХПК (UV254) и газовый режим.
Значимый вклад в объяснение изменчивости видовой структуры вносила и температура. Численность ряда видов (Chydorus ovalis, Graptoleberis testudinaria, Asplanchna priodonta, Thermocyclops crassus) продемонстрировала достоверную положительную связь с ростом температуры. По мере роста температуры в пойменных водоемах наблюдали некоторое снижение рН (уравнение регрессии для Graptoleberis testudinaria в табл. 4) и снижение уровня минерализации (уравнение регрессии для Chydorus ovalis в табл. 4), что связано с поступлением болотных вод с прилегающих территорий.
ОБСУЖДЕНИЕ РЕЗУЛЬТАТОВ
Ежегодные весенне-летние паводки на р. Обь вызывают включение пойменных озер в речную систему. Ряд авторов указывает на значимую корреляцию между периодичностью затопления и рядом физико-химических и биологических параметров пойменных водоемов, а, следовательно, и их населения (Baranyi et al., 2002; Gruberts et al., 2007; Крылов, Жгарева, 2016). Считается, что паводки дестабилизируют экологические условия в пойменных озерах за счет уменьшения прозрачности воды, понижения температуры воды и подавляя развитие (Paillex et al, 2017; Chaparro et al., 2018; Zhang et al, 2018). Однако эти выводы справедливы, по-видимому, для высоких паводков, когда происходит физическая промывка пойменных озер речными водами. Такие паводки редки. В период наших наблюдений высота паводковой волны соответствовала средним показателям в многолетнем ряду. Постепенное заполнение озера речной водой в таких гидрологических условиях могло простимулировать развитие зоопланктона в соответствии с теорией “промежуточного нарушения”, а не в соответствии с концепцией импульса половодья (Thomaz et al., 2007; Wantzen et al., 2008. Paidere, 2009; Liu et al., 2022). Гипотеза промежуточного нарушения предполагает, что разнообразие местных видов максимально, когда значимое изменение экологических условий не слишком редкое, не слишком частое и не слишком интенсивное. В условиях такого “мягкого” воздействия большее число видов успевает адаптироваться к флуктуациям окружающей среды. Как правило, плотность и разнообразие зоопланктона выше в озерах, соединенных даже временно с основным руслом реки по сравнению с изолированным, поскольку в таких условиях происходит обогащение фауны пойменного водоема организмами из речного потока (Hein et al, 2004; Kobayashi et al. 2015; Napiórkowski et al, 2019).
Ветвистоусые и коловратки частично поступают в пойменные водоемы с паводковыми водами, но, вероятно, в основном за счет развития покоящихся яиц из донных отложений. Это объясняет отсутствие гомогенизации всех водоемов и низкий уровень сходства по видовому и численному составу зоопланктона в период наводнения, и тем более в период изоляции от основного русла, поскольку в каждом водоеме в летний период формируется собственное сообщество и свой собственный банк покоящихся стадий (Chaparro et al., 2021).
В пойменных водоемах, затапливаемых редко, сообщества зоопланктона зависят в первую очередь от местных эколого-морфологических параметров, а зачастую и от локальных биологических факторов (например, эффективный хищник попал в ловушку в конкретном пойменном водоеме, а не в другом, или произошло заселение растениями, ранее не присутствовавшими в данной локальной экосистеме и т.п.). Например, отсутствие мелких коловраток в согре вполне может быть связано с присутствием хищной пузырчатки.
Различия в сроках развития летних группировок зоопланктона в пойменном оз. Инкино и в таежном озере, расположенном на надпойменной террасе оз. Щучье, в первую очередь можно объяснить сдвигом в темпах прогрева воды. В оз. Щучье, питающемся за счет грунтовых вод, распаление льда происходит позже, чем наступает залитие поймы водами р. Оби. В апреле в оз. Инкино льда уже нет и температура воды >4°С, а в мае — 12°С, тогда как в оз. Щучье в апреле еще наблюдается ледовый покров, а в мае температура не превышает 8°С. Соответственно и развитие летнего зоопланктонного сообщества начинается в пойменном водоеме примерно на месяц раньше (рис. 5).
Отметим, что концентрация растворенного кислорода для ряда видов и всей группы кладоцер в регрессионных уравнениях включена со знаком “минус”, т.е. численность данных представителей зоопланктона сокращается при улучшении кислородного режима, что может показаться парадоксальным. Однако следует учитывать, что множество измеренных значений концентрации кислорода даже после преобразования Хеллингера не вписываются в линейную модель, наиболее точно описываются логарифмическим уравнением и вносят значительные помехи в регрессионную модель. Необходимо принимать во внимание и экологические факторы. В пойменных водоемах, испытывающих периодическое влияние половодья, зоопланктон формирует, по сути, метасообщества с высокой неоднородностью видового состава и лабильностью структуры и динамики сообществ в зависимости от уровня и частоты затопления, физических, химических и биологических характеристик паводковых вод, от динамики изменения внешних факторов после изоляции водоемов от основного русла реки и т.д. Озера на надпойменной террасе находятся в более стабильных условиях и в условиях ежегодного зимнего замора, в них формируется особый видовой состав зоопланктона, представленный в летние месяцы из года в год небольшим количеством эврибионтных видов, по-видимому, максимально устойчивых к кислородному голоданию (Ермолаева, 2020). Наличие значительной доли эвриоксибионтных видов в изучаемом массиве данных могло не просто нивелировать значение дефицита кислорода как фактора, объясняющего изменчивость количественных показателей отдельных групп и видов зоопланктона, а перевести кислородные условия в подчиненное положение относительно трофических.
Вышеобозначенные различия в условиях формирования сообществ в пойменных и коренных озерах достаточно убедительно объясняют и несовпадения в динамике изменения разнообразия и выравненности представленности видов (по индексу Шеннона). В оз. Щучье все экологические ниши за длительный период оформились и распределились, снижение числа видов и численных показателей зоопланктона осенью вполне закономерно в связи с температурными преференциями того или иного таксона. В оз. Инкино после стресса (“паводковый импульс”) запускается новый цикл формирования сообщества, который не успевает закончиться к осени. Продолжается разграничение экологических ниш в многовидовом сообществе, возрастает выравненность представленности таксонов, поскольку времени для конкурентного исключения видов со сходными экологическими требованиями, учитывая время их развития, не хватает.
Наши наблюдения подтвердили, что видовой состав зоопланктона, его количественные показатели и сезонная динамика во всех исследованных водоемах зависят в первую очередь от гидрологического режима. Наибольшие видовое разнообразие и максимальная плотность наблюдаются в оз. Инкино, ежегодно соединяющемся с р. Обью в период паводка Наименьшие видовое разнообразие и максимальная плотность были в Иштанском болоте, которое к моменту наблюдений уже 4 года не имело связи с р. Обью. В нем наблюдается хронический дефицит кислорода в воде, при этом концентрация СО2 достигает ≥26000 мМ/л. В результате снижается видовое разнообразие и численность всех групп зоопланктона. Водоемы, подобные Иштанскому болоту, особенно если их обследуют в конце июля — в августе, по биоиндикационным показателям часто относят к олиготрофным и даже к ультраолиготрофным, хотя, по сути, они дистрофные (Литош и др., 2021). Иштанское болото по трофическому индексу Андрониковой и по фаунистическому индексу Мяэметса (табл. 2) относится к олиготрофному и даже ультраолиготрофному типу. Однако, наряду с неблагоприятным газовым режимом, содержание органического углерода в воде болота на порядок ниже, чем в оз. Щучье и в согре, и сопоставимо с таковым в “свежепромытом” оз. Инкино. Цвет воды коричневый, на дне отмечается значительное количество растительных остатков, что характерно именно для дистрофных водоемов.
ЗАКЛЮЧЕНИЕ
Максимальное видовое богатство зоопланктона (68 видов) зарегистрировано в пойменном оз. Инкино, имеющем ежегодную связь с руслом р. Оби. Наименьшее число видов (15) отмечено в дистрофном Иштанском болоте. Основную долю видового богатства зоопланктона пойменных озер, как и в русле р. Обь, представляли коловратки. Наибольшее видовое богатство зоопланктона было сосредоточено в пойменных водоемах (95 видов). В реке на исследованном участке и в озере надпойменной террасы оно достигало 47 и 35 соответственно. Только в пойменных водоемах отмечено 25 видов, не встреченных ни в материнской реке, ни в озере надпойменной террасы. Таким образом, зоопланктон пойменных водоемов отличается от сообществ собственно р. Оби и озера надпойменной террасы значительным фаунистическим разнообразием, повышенным видовым богатством и специфической видовой структурой. Численность и биомасса зоопланктона пойменных озер, достаточно часто имеющих связь с рекой, значительно выше таковых в озере надпойменной террасы и собственно р. Оби. Залитие водоемов паводковыми водами ежегодно начинает новый цикл развития зоопланктона. Максимальный уровень видового сходства зоопланктона оз. Инкино с планктоном р. Оби наблюдается после паводка. Среди ведущих факторов внешней среды, определяющих развитие зоопланктона в исследованных пойменных водоемах, наиболее значимы частота затопления, температура воды, содержание органических веществ и для ряда таксонов — газовый режим.
ФИНАНСИРОВАНИЕ
Работа выполнена в рамках государственного задания Института водных и экологических проблем СО РАН № 121031200178-8 при поддержке Программы развития Томского государственного университета (Приоритет-2030) согласно договору о сотрудничестве с Томским государственным университетом. Исследования проводили на базе Уникальной научной установки “Система экспериментальных баз, расположенных вдоль широтного градиента” Томского государственного университета при финансовой поддержке Минобрнауки России (Соглашение № 075-15-2021-672).
ДОПОЛНИТЕЛЬНЫЕ МАТЕРИАЛЫ
Дополнительный материал (рис. S1, табл. S1) публикуется только в электронном формате на сайтах https://link.springer.com и https://www.elibrary.ru
Рис. S1. Уровень воды реки Обь по данным Западно-Сибирского управления по гидрометеорологии и мониторингу окружающей среды (гидропост Молчаново) (https://www.fishingsib.ru/waterinfo/gauging-station/molchanovo/enk8p7w5AJ8tQMu8/).
Табл. S1. Видовой состав зоопланктона Средней Оби и исследованных пойменных озер в 2018–2019 гг.
Об авторах
Н. И. Ермолаева
Институт водных и экологических проблем Сибирского отделения Российской академии наук
Автор, ответственный за переписку.
Email: hope413@mail.ru
Россия, Барнаул
Ю. А. Носков
Институт систематики и экологии животных Сибирского отделения Российской академии наук; Томский государственный университет
Email: hope413@mail.ru
Россия, Новосибирск; Томск
И. В. Крицков
Томский государственный университет
Email: hope413@mail.ru
Россия, Томск
Список литературы
- Андроникова И.Н. 1996. Структурно-функциональная организация зоопланктона озерных экосистем разных трофических типов. СПб.: Наука.
- Ермолаева Н.И., Двуреченская С.Я. 2013. Региональные индексы индикаторной значимости зоопланктонных организмов в водоемах юга Западной Сибири // Экология. № 6. С. 476. https://doi.org/10.7868/S0367059713060061.
- Ермолаева Н.И. 2020. Факторы пространственно-временной организации сообществ зоопланктона озер юга Западной Сибири: Автореф. дис. … докт. биол. наук.
- Крылов А.В., Жгарева Н.Н. 2016. Влияние поемности на летний зоопланктон малых озер // Изв. РАН. Сер. геогр. № 1. C. 58. https://doi.org/10.15356/0373-2444-2016-1-58-66.
- Литош Т.А., Цыганкова Ю.В., Визер Л.С., Цапенков А.В. 2021. Зоопланктонные и зообентосные сообщества пойменных озер реки Иртыш в пределах Омской области // Рыб-во и рыбн. хоз-во. № 6. С. 17. https://doi.org/10.33920/sel-09-2106-02
- Мяэметс А.Х. 1980. Изменения зоопланктона // Антропогенное воздействие на малые озера. Л.: Наука. С. 54.
- Подшивалина В.Н. 2022. Весенний зоопланктон пойменных озер: разнообразие, структура и особенности формирования в связи с изменчивостью гидрологического режима// Экология. Т. 60. № 3. С. 234. https://doi.org/10.31857/S036705972203009X
- Руководство по гидробиологическому мониторингу пресноводных экосистем. 1992. СПб.: Гидрометеоиздат.
- Савичев О.Г. 2010. Влияние крупных притоков на химический состав вод средней Оби // Вестн. Томск. гос. ун-та. № 340. С. 222.
- Семенова Л.А., Алексюк В.А. 2009. Зоопланктон Нижней Оби // Вестн. экологии, лесоведения и ландшафтоведения. № 10. С. 156.
- Современное состояние водных ресурсов и функционирование водохозяйственного комплекса бассейна Оби и Иртыша. 2012. Новосибирск: Изд-во Сиб. отд. РАН.
- Суставов А.А. 2019. Особенности структуры и обилие сообществ зоопланктона водоемов пойменно-руслового комплекса Нижнего Иртыша // Всерос. молодежная науч. конф. “Актуальные проблемы экологии Волжского бассейна”. № 1. С. 434.
- Хромых В.С. 2007. Динамика ландшафтов поймы средней Оби // Вестн. Томск. гос. ун-та. № 300 (I). С. 223.
- Шурганова Г.В., Жихарев В.С., Кудрин И.А. и др. 2018. Зоопланктон пойменных озeр реки Керженец (Керженский заповедник, Нижегородская область) // Самар. науч. вестник. Т. 7. № 2(23). С. 138.
- Albrektiene R., Rimeika M., Zalieckiene E. et al. 2012. Determination of organic matter by UV absorption in the ground water // J. Environ. Eng. Landsc. Manag. V. 20. P. 163. https://doi.org/10.3846/16486897.2012.674039
- Amoros C., Bornette G. 2002. Connectivity and biocomplexity in water bodies of riverine floodplains // Freshwatеr Biol. V. 47. P. 761.
- Baranyi C., Hein T., Holarek C. et al. 2002. Zooplankton biomass and community structure in a Danube River floodplain system: Effects of hydrology // Freshwatеr Biol. V. 47. P. 473.
- Chaparro G., Horvath Z., O’Farrel I. et al. 2018. Plankton metacommunities in floodplainwetlands under contrasting hydrological conditions // Freshwatеr Biol. V. 63. P. 380.
- Chaparro G., Kandus P., O’Farrel I. 2015. Effect of spatial heterogeneity on zooplankton diversity: Amultiscale habitat approximation in a floodplain lake // River Res. Appl. V. 31. P. 85.
- Chaparro G., Mariani M., Hein T. 2021. Diversity of dormant and active zooplankton stages: spatial patterns across scales in temperate riverine floodplains // J. Plankton Res. V. 43. № 1. P. 61. https://doi.org/10.1093/plankt/fbaa063
- Dembowska E., Napiórkowski P.A. 2015. Case study of the planktonic communities in two hydrologically different oxbow lakes (Vistula River, Central Poland) // J. Limnol. V. 74. P. 346.
- Dias J.D., Simões N.R., Meerhoff M. et al. 2016. Hydrological dynamics drives zooplankton matacommunity structure in a Neotropical floodplain // Hydrobiologia. V. 781. P. 109.
- Dittrich J., Dias J.D., Bonecker C.C. et al. 2016. Importance of temporal variability at different spatial scales for diversity of floodplain aquatic communities // Freshwatеr Biol. V. 61. P. 316.
- Funk A., Reckendorfer W., Kucera-Hirzinger V. et al. 2009. Aquatic diversity in a former floodplain: Remediation in an urban context // Ecol. Eng. V. 35. P. 1476.
- Górski K., Collier K.J., Duggan I.C. et al. 2013. Connectivity and complexity of floodplain habitats govern zooplankton dynamics in a large temperate river system // Freshwatеr Biol. V. 58. P. 1458.
- Gruberts D., Druvietis I., Parele J. et al. 2007. Impact of hydrology on aquatic communities of floodplain lakes along the Daugava River (Latvia) // Shallow lakes in a changing world. Developments in hydrobiology. V. 196. Dordrecht: Springer. P. 223. https://doi.org/10.1007/978-1-4020-6399-2_21
- Hammer Ø., Harper D.A.T., Ryan P.D. 2001. Past: Paleontological statistics software package for education and data analysis // Palaeontol. Electron. V. 4. http://palaeo-electronica.org/2001_1/past/issue1_01.htm
- Hein T., Baranyi C., Reckendorfer W., Schiemer F. 2004. The impact of surface water exchange on the nutrient and particle dynamics in side-arms along the River Danube, Austria // Sci. Total Environ. V. 328.0. Iss. 1–3. P. 207. https://doi.org/10.1016/j.scitotenv.2004.01.006
- Junk W.J., Bayley P.B., Sparks R.E. 1989. The flood pulse concept in river-floodplain systems // Can. Spec. Publ. Fish Aquat. Sci. V. 106. P. 110.
- Kobayashi T., Ralph T.J., Ryder D.S. et al. 2015. Spatial dissimilarities in plankton structure and function during flood pulses in a semi-arid floodplain wetland system // Hydrobiologia. V. 747. P. 19. https://doi.org/10.1007/s10750-014-2119-7
- Legendre P., Legendre L. 2012. Numerical Ecology. Amsterdam: Elsevier.
- Liu B., Zhou C., Zheng L. et al. 2022. Metacommunity concepts provide new insights in explaining zooplankton spatial patterns within large floodplain systems // Water. V. 14. P. 93. https://doi.org/10.3390/w14010093
- Namour P., Jaffrezic N. 2010. Sensors for measuring biodegradable and total organic matter in water // Trends in Anal. Chem. V. 29(8). P. 848. https://doi.org/ff10.1016/j.trac.2010.04.013ff.ffhal-00547575f
- Napiórkowski P., Bąkowska M., Mrozińska N. et al. 2019. The effect of hydrological connectivity on the zooplankton structure in floodplain lakes of a regulated large river (the Lower Vistula, Poland) // Water. V. 11(9). P. 1924. https://doi.org/10.3390/w11091924
- Obolewski K., Glińska-Lewczuk K., Bąkowska M. 2018. From isolation to connectivity: the effect offloodplain lake restoration on sediments as habitats for macroinvertebrate communities // Aquat. Sci. V. 80. № 4. https://doi.org/10.1007/s00027-017-0556 x
- Obolewski K., Glińska-Lewczuk K., Ożgo M., Astel A. 2016. Connectivity restoration of floodplain lakes: Anassessment based on macroinvertebrate communities // Hydrobiologia. V. 774. P. 23.
- Paidere J. 2009. Influence of flooding frequency on zooplankton in the floodplains of the Daugava River (Latvia) // Acta Zool. Lit. V. 19. P. 306.
- Paillex A., Castella E., zu Ermagassen P.S.E. et al. 2017. Large river floodplain as a natural laboratory: non-native macroinvertebrates benefit from elevated temperatures // Ecosphere. V. 8. № 10. https://doi.org/10.1002/ecs2.1972
- Saitou N., Nei M. 1987. The neighbor-joining method: a new method for reconstructing phylogenetic trees // Mol. Biol. Evol. № 4. P. 406.
- Schöll K., Kiss A., Dinka M., Berczik A. 2012. Flood-Pulse effects on zooplankton assemblages in ariver-floodplain system (Gemenc Floodplain of the Danube, Hungary) // Int. ReV. Hydrobiol. V. 97. P. 41.
- Sladeček V. 1973. System of water quality from the biological point of view // Arch. Hydrobiol. Ergebn. Limnol. № 3.
- Szerzyna S., Mołczan M., Wolska M. et al. 2017. Absorbance based water quality indicators as parameters for treatment process control with respect to organic substance removal // E3S Web of Conferences. V. 17. Article 00091. https://doi.org/10.1051/e3sconf/20171700091
- TerBraak C.J.F. 1995. Non-linear methods for multivariate statistical calibration and their use in palaeoecology: A comparison of inverse (k-Nearest Neighbours, PLS and WA-PLS) and classical approaches // Chemom. Intell. Lab. Syst. V. 28. P. 165.
- Thomaz S.M., Bini L.M., Bozelli R.L. 2007. Floods increase similarity among aquatic habitats in River-floodplain systems // Hydrobiologia. V. 579. P. 1.
- Vorobyev S.N., Pokrovsky O.S., Kirpotin S.N. et al. 2015. Flood zone biogeochemistry of the Ob River middle course // Appl. Geochem. V. 63. P. 133. https://doi.org/10.1016/j.apgeochem.2015.08.005
- Wantzen K.M., Junk W.J., Rothhaupt K.O. 2008. An extension of the floodpulse concept (FPC) for lakes // Ecological Effects of Water-Level Fluctuations in Lakes. Developments in Hydrobiology. V. 204. Dordrecht: Springer. P. 151. https://doi.org/10.1007/978-1-4020-9192-6_15
- Yermolaeva N., Dvurechenskaya S., Kirillov V., Puzanov A. 2021. Dependence of long-term dynamics of zooplankton in the Ob River on interannual changes in hydrological and hydrochemical parameters // Water. V. 13. P. 1910. https://doi.org/10.3390/w13141910
- Zhang K., Xu M., Wu Q. et al. 2018. The response of zooplankton communities to the 2016 extreme hydrological cycle in floodplain lakes connected to the Yangtze River in China // Environ. Sci. Pollut. Res. V. 25. P. 23286.
- Zuur A.F., Ieno E.N., Elphick C.S. 2010. A protocol for data exploration to avoid common statistical problems // Methods of Ecology and Evolution. № 1. P. 3. https://doi.org/10.1111/j.2041-210X.2009.00001.x
Дополнительные файлы







