Многолетние изменения первичной продукции планктона в лагунной экосистеме Вислинского залива Балтийского моря
- Авторы: Александров С.В.1,2
-
Учреждения:
- Институт океанологии им. П.П. Ширшова Российской академии наук
- Балтийский федеральный университет им. И. Канта
- Выпуск: Том 17, № 1 (2024)
- Страницы: 43-54
- Раздел: Статьи
- URL: https://ogarev-online.ru/0320-9652/article/view/261518
- DOI: https://doi.org/10.31857/S0320965224010037
- EDN: https://elibrary.ru/zakieo
- ID: 261518
Цитировать
Полный текст
Аннотация
На основе анализа многолетних (2001–2020 гг.) данных проанализирована динамика первичной продукции и обилия фитопланктона (по концентрации хлорофилла а) в лагунной экосистеме Вислинского залива при значительных экосистемных изменениях. Многолетняя динамика характеризовалась увеличением первичной продукции до гипертрофного уровня (>450 г С/(м2 · год)) в 2006–2010 гг. После массового развития двустворчатого моллюска-фильтратора Rangia cuneata первичная продукция 2011–2020 гг. сохранилась на гипертрофном уровне, несмотря на значительные изменения в фитопланктоне. Средняя годовая первичная продукция в 2001–2020 гг. была на 60% выше, чем в 1974–1976 гг. Первичная продукция превышает минерализацию органического вещества в воде в среднем на 60%, что ведет к вторичной эвтрофикации залива, а также загрязнению Балтийского моря.
Ключевые слова
Полный текст
ВВЕДЕНИЕ
Вислинский залив — одна из крупнейших лагун Европы (площадь 838 км2, объем 2.3 км3), представляет собой достаточно обособленный водоем, отделенный от Балтийского моря песчаной косой с узким проливом (рис. 1). Водоем находится под сильным воздействием природных условий (водообмен с морем, речной сток, климатические изменения), биологической инвазии и антропогенного воздействия. Гидрологический, гидрохимический режимы и структура биоценозов солоновато-водного Вислинского залива, во многом, определяются взаимодействием морских и речных вод (17.0 и 3.6 км3/год соответственно) (Chubarenko, Margoński, 2008).
Водосборная территория залива (23 870 км2) расположена в густонаселенном районе с развитыми сельским хозяйством и промышленностью. Большие объемы минеральных форм биогенных элементов поступают в восточную часть залива с водосборной площади р. Преголя (в пределах Калининградской обл. и Варминско-Мазурского воеводства Республики Польша). Значительное загрязняющее влияние оказывает расположение в восточной части залива Калининградской агломерации с населением >800 тыс. человек. Сточные воды г. Калининград по 2015 г. в основном подвергались только механической очистке, на выносимые со сточными водами фосфор и азот приходилось до половины общего количества биогенных элементов, поступающих с водосборной территории (Горбунова и др., 2017). Морфометрические особенности и гидрологический режим в лагунной экосистеме способствуют накоплению поступающих биогенных элементов в воде и донных осадках и обуславливают высокий уровень эвтрофирования. В долговременном аспекте экологическую ситуацию должен изменить ввод в г. Калининград в 2016 г. современных очистных сооружений, но в первые годы их эксплуатации значительного уменьшения концентрации азота и фосфора не произошло, хотя наблюдалось пространственное перераспределение (Александров, Сташко, 2021)
В Балтийском регионе в последние десятилетия наблюдаются климатические изменения, которые ведут к устойчивому тренду повышения температуры воды в Вислинском заливе (в том числе увеличение числа “теплых лет”). Летом отмечается сильный прогрев воды (>20–22°C), оптимальный для цианобактерий, формирующих “цветение” воды. До 2010 г. в Вислинском заливе наблюдалось интенсивное летнее “цветение” воды. Период, характеризующийся регулярным массовым развитием цианобактерий, предшествовал вселению североамериканского двустворчатого моллюска Rangia cuneata (Sowerby, 1831), который впервые отмечен в 2010 г. в российской и в 2011 г. польской части (Рудинская, Гусев, 2012; Warzocha, Drgas, 2013). Вислинский залив подвержен биологической инвазии, в том числе вселение двух видов (полихеты Marenzelleria neglecta и моллюска Rangia cuneata) вызвало масштабные изменения в структуре донного сообществ (Науменко и др., 2014). Интенсивное развитие моллюска-фильтратора R. cuneata привело в 2011–2020 гг., кроме существенного изменения структуры и биомассы зообентоса, к значительному уменьшению “цветения” воды (Kownacka et al., 2020; Александров, Рудинская, 2022).
Первичная продукция (ПП) фитопланктона лежит в основе биологической продуктивности вод. Изменения ПП и ее соотношение с деструкцией (минерализацией) органического вещества в планктоне служат важнейшим показателем развития водных экосистем под влиянием антропогенного загрязнения и эвтрофирования, климатических изменений и “цветения” воды, биоинвазии и других факторов. В этом аспекте важнейшую роль приобретают многолетние систематические исследования с достаточной периодичностью и пространственным охватом разнородных условий, позволяющие отслеживать долговременные изменения в водных экосистемах. Первые данные по ПП Вислинского залива получены в 1974–1976 гг. российскими и польскими учеными (Nedoszytko, Wiktor, 1978; Крылова, 1984). В 2001 г. начаты непрерывные круглогодичные исследования на российской акватории, в рамках которых сделан ряд заключений об уровне ПП и трофическом статусе Вислинского залива (Александров, 2009; Aleksandrov, 2010).
Цель работы — анализ многолетних изменений и современного уровня продуктивности фитопланктона и трофического статуса Вислинского залива на фоне значительных изменений в биологических сообществах и антропогенного загрязнения на основе непрерывного ряда данных (2001–2020 гг.) по ПП и концентрации хлорофилла (Хл).
МАТЕРИАЛ И МЕТОДЫ ИССЛЕДОВАНИЯ
Исследования проводили с 2001 по 2020 гг. на протяжении всего безледного периода с марта–апреля по ноябрь–декабрь. Преимущественно съемки были ежемесячные, но в отдельные годы выполняли только сезонные наблюдения. ПП определяли в разные годы на пяти–семи стандартных станциях, их расположение соответствовало гидрологическому и гидрохимическому делению залива и позволяло охватить всю российскую акваторию (рис. 1). Интенсивность фотосинтеза определяли с помощью кислородной модификации скляночного метода с краткосрочной (3–5 ч) экспозицией проб на четырех глубинах, соответствующих 100, 46, 10 и 1% приходящей солнечной радиации, деструкцию органического вещества — на этих глубинах и у дна. С учетом измеряемой в течение всего светового дня люксметром “ТКА-ЛЮКС” фотосинтетически активной радиации, величины ПП пересчитывали на сутки. ПП и деструкцию за безледный период оценивали методом численного интегрирования и принимали за годовую (ΣΣА и ΣΣR), поскольку подледный фотосинтез почти отсутствует (Алимов и др., 2013). Дополнительно на всех станциях определяли Хл а экстракционным спектрофотометрическим методом согласно ГОСТ 17.1.04.02-90 на основе методики (SCOR-UNESCO, 1966) и уравнений (Jeffrey, Humphrey, 1975) на глубинах, соответствующих 100 и 1% приходящей солнечной радиации и у дна. Всего в 2001–2020 гг. проведено 148 экспедиций, на которых ПП измерена на 896 станциях (10 750 проб) и выполнены 2 690 определений Хл а на этих станциях.
Рис. 1. Карта-схема расположения станций наблюдения в Вислинском заливе (1–4, 6, 7, 9 – номера станций).
РЕЗУЛЬТАТЫ И ИХ ОБСУЖДЕНИЕ
Сезонная динамика ПП и Хл а. Для Вислинского залива характерна выраженная сезонная динамика гидрологических и гидрохимических показателей, определяющих развитие планктонных сообществ. Активная вегетация фитопланктона в заливе начинается после таяния и очищения водоема ото льда, в этот период может происходить интенсивное развитие холодноводных диатомовых водорослей (Дмитриева, Семенова, 2012; Дмитриева, 2017). В 2001–2020 гг. водоем очищался ото льда с 29 января (2002 г.) по 4 апреля (2013 г.). Формирование льда, обычно покрытого снегом, начиналось с 30 ноября (2010 г.), но во многие годы в течение декабря лед отсутствовал и образовывался только в январе. В целом длительность безледного периода, для которого рассчитывали ПП планктона в 2001–2020 гг., достигала 258– 366 сут, в среднем 294 сут. В последние 5 лет (2016–2020 гг.) отмечено увеличение средней продолжительности до 308 сут, что может свидетельствовать о влиянии климатических изменений на длительность вегетационного периода в Вислинском заливе.
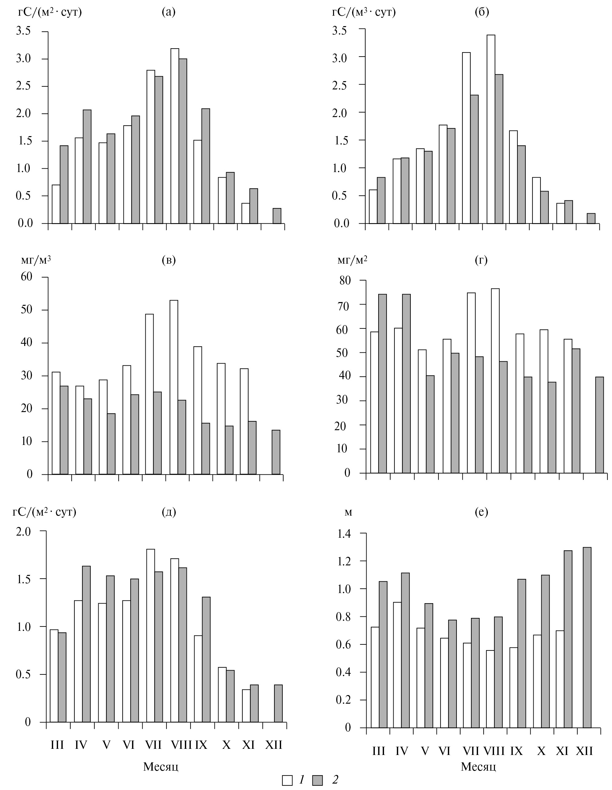
В 2014–2020 гг. были зарегистрированы более теплые зимы, когда водоем очищался от льда преимущественно в середине февраля, по сравнению с более поздним (мартовским) очищением в 2001–2013 гг. Это обусловило в последние годы более ранний прогрев и температуру воды в марте >4°С, соответствующую началу гидрологической весны (рис. 2а). Сезонная динамика ПП планктона характеризуется быстрым увеличением с началом весеннего прогрева воды. В этот период после зимней аккумуляции и поступления с паводковыми водами содержание минерального азота и фосфора достигает 2230 мкг N/л и 40 мкг P/л (Александров, Сташко, 2021), что может обуславливать кратковременное интенсивное развитие диатомовых водорослей. Значительное увеличение ПП обычно наблюдается в апреле, когда освещенность и температура воды уже не лимитируют развитие фитопланктона. Это подтверждают данные по суточному ассимиляционному числу (САЧ) или удельной фотосинтетической активности хлорофилла, которые используют для оценки фотосинтеза фитопланктона. Ее величина зависит от состава и физиологического состояния фитопланктона и условий среды (Бульон, 1994; Минеева, 2009). В апреле по сравнению с мартом величины САЧ увеличивались почти в 3 раза (в среднем с 21 до 54 мг С/(мг Хл · сут)) (рис. 2б), обуславливая высокую продуктивность фитопланктона в этот период. В 2001–2010 гг. ПП в столбе воды (ΣА) была в среднем 1.6 г С/(м2 · сут) (рис. 3а). После 2011 г. отмечается выраженный весенний пик в апреле (ΣА 2.1 г С/(м2 · сут)), что может свидетельствовать о перестройке в фитопланктоне, а одновременное двукратное увеличение ПП в марте, вероятно, отражает влияние климатических условий. Одновременно с ПП в 2011–2020 гг. увеличилась деструкция органического вещества (рис. 3д). Концентрация Хл а в марте–апреле в условиях интенсивного развития моллюска-фильтратора снизилась в м3 (с 27–31 до 23–27 мг/м3), но одновременно увеличилась во всем фотическом слое (с 58–60 до 66–74 мг/м2) из-за большей прозрачности воды (рис. 3в, 3г, 3е).
Рис. 2. Динамика температуры воды (а) и суточного ассимиляционного числа (б) в 2001–2010 гг. (1) и 2011–2020 гг. (2).
Рис. 3. Показатели продуктивности фитопланктона в 2001–2010 гг. (1) и 2011–2020 гг. (2): а — первичная продукция; б — максимальная скорость фотосинтеза; в, г — концентрация Хл в фотическом слое (в м3 и под м2, соответственно); д — деструкция органического вещества, е — прозрачность воды.
Массовое развитие вселенца моллюска-фильтратора Rangia cuneata привело к существенной перестройке структуры бентоса Вислинского залива. Его биомасса с 2010 г. по 2011 г. увеличилась с 5 до 305 г/м2, потом возросла до 663 г/м2 в 2012 г. и достигла максимума 1606 г/м2 в 2015 г., составляя 96–98% общей биомассы зообентоса (Александров, Рудинская, 2022). Такие изменения значительно повлияли на структуру и биомассу фитопланктона (Kownacka et al., 2020; Dmitrieva et al., 2021), что обосновывает необходимость отдельного рассмотрения показателей сезонной динамики ПП и концентрации Хл а в два периода (2001–2010 и 2011–2020 гг.).
В сезонной динамике ПП непрерывно возрастает, достигая максимума в июле–августе, при наибольших величинах прогрева воды (до 20–25°С), освещенности и длительности светового дня, соответствуя ранее установленным закономерностям, в частности, для лагун и водохранилищ (Минеева, 2009; Александров, 2009). Летом наблюдаются максимальные за год величины САЧ (интенсивности фотосинтеза), которые были в августе 2001–2010 и 2011–2020 гг. в среднем 88 и 107 мг С/(мг Хл · сут) соответственно (рис 2, 3). До 2010 г это совпадало с интенсивным развитием цианобактерий, формирующих “цветение” воды, когда концентрации Хл а в фотическом слое в среднем для акватории были 49–53 мг/м3 или 74–77 мг/м2. Аналогичное “цветение” воды отмечали в польской части залива, где концентрация Хл а регулярно превышала 100 мг/м3 (Kownacka et al., 2020). В июле–августе 2001–2010 гг. ΣА была в среднем 2.8–3.2 г С/(м2 · сут), а ПП на глубине максимального фотосинтеза (Aopt) – 3.1–3.5 г С/(м3 · сут) (рис. 3а, 3б). На формирование “цветения” воды летом влияет благоприятное для цианобактерий стехиометрическое соотношение минеральных форм азота и фосфора (N:P <16) за счет увеличения минерального фосфора (до 30–60 мкг N/л). Фосфор при стратификации и сильном прогреве вод может в значительном количестве поступать из донных осадков (Kruk et al., 2016; Petkuviene et al., 2016).
Массовое развитие вида-вселенца моллюска- фильтратора R. cuneata с 2011 г. и до настоящего времени оказало значительное влияние на летний фитопланктон, обусловив значительное снижение интенсивности “цветения” воды и увеличение ее прозрачности (Kownacka et al., 2020; Александров, Рудинская, 2022). Концентрация Хл а на российской акватории в июле–августе 2011–2020 гг. снизилась в 2 раза (до 23–25 мг/м3). Для всего фотического слоя из-за увеличившейся прозрачности воды, снижение Хл а было меньше, но также значительно (на 40%) (рис. 3в, 3г, 3е). Аналогичное уменьшение наблюдали для биомассы фитопланктона, которая также снизилась в 2.5 раза (с 12.2 г/м3 в 2002–2010 гг. до 4.8 г/м3 в 2011–2019 гг.) (Dmitrieva et al., 2021). Снижение биомассы фитопланктона и концентрации Хл а отразилось на уменьшении величин ΣА и особенно Aopt, но благодаря возросшей глубине фотической зоны и более высоким САЧ (в среднем 77 и 107 мг С/(мг Хл · сут) в июле и августе), ПП по-прежнему была максимальной (рис. 3).
Климатические условия оказывают значительное влияние на ПП и обилие фитопланктона (Хл а) в Вислинском заливе. Самые высокие величины отмечены для тех летних месяцев, когда условия находились в оптимуме (максимальные прогрев, наибольшая устойчивость водных масс) и наблюдалось “цветение” воды при массовом развитии цианобактерий. В частности, в июле 2006 г. при наибольшем за 2001–2020 гг. прогреве воды (25.7°С) отмечены максимальные величины продукции и обилия фитопланктона (ΣА 5.8 г С/ (м2 · год)), Aopt 7.5 г С/(м3 · год), Хл а 79 мг/м3 в среднем для российской акватории). Такая зависимость от летнего прогрева вод сохранилась и после массового развития R. cuneata в 2011 г. Одновременно, ранний весенний прогрев и повышенная температура осенью в 2010–2020 гг. соответствовали более высоким величинам ΣА весной и осенью (рис. 2, рис. 3). Температура воды — фактор среды, оказывающий наибольшее влияние на величину ПП в Вислинском заливе. По результатам анализа ежемесячных данных за безледный период (март–декабрь), высокий коэффициент детерминации (R2 = 0.61) между ΣА и температурой воды получен для периода 2001–2010 гг., когда для залива был характерен одновершинный тип сезонной динамики ПП и Хл а с выраженным летним максимумом (рис. 4а). После вселения моллюска-фильтратора R. cuneata и снижения уровня летнего развития цианобактерий, наблюдается увеличение величин ΣА (>2 гС/(м2 · год)) при температуре 8–12°С, что соответствует весеннему максимуму ПП в апреле 2011–2020 гг. одновременно с максимумом Хл а (рис. 3а, 3г, рис. 4б).
Рис. 4. Зависимость осредненных для залива величин первичной продукции (ПП) от температуры воды с марта по декабрь 2001–2010 гг. (а) и 2011–2020 гг.
С наступлением осени происходит снижение показателей ПП и концентрации Хл а из-за прекращения интенсивной вегетации водорослей, уменьшения солнечной радиации и охлаждения вод. Осенние (сентябрь–ноябрь) концентрации Хл а в 2011–2020 гг. также были в 2 раза ниже, чем в предыдущие десятилетия, как следствие активной жизнедеятельности R. cuneata. Однако величины ΣА, наоборот, увеличились в результате значительного увеличения прозрачности воды (с 0.6–0.7 до 1.1–1.3 м) и САЧ (с 48 до 69 мг С/(мг Хл · сут)). Дополнительное влияние, вероятно, оказывал прогрев воды, влияющий на вегетацию фитопланктона. Температура воды по экспедиционным данным в сентябре–октябре 2011–2020 гг. была выше на 2°С, в ноябре — на 4°С. В декабре перед замерзанием водоема отмечены минимальные величины ΣА и Хл а, которые, в частности 17.12.2018 г. достигали лишь 0.13 гС/(м2 · сут) и 7 мг/м3 соответственно.
В целом сезонная динамика ПП планктона в лагунной экосистеме Вислинского залива сходна с наблюдаемым в лагунной экосистеме Куршского залива и в других высокоэвтрофных водоемах умеренной зоны (Трифонова, 1990; Александров, 2009). В сезонной динамике присутствует выраженный летний максимум в период наибольшего прогрева воды. В 1990–2000‑х гг. это соответствовало массовому развитию цианобактерий Anabaena sp., Woronichinia compacta (Lemmermann 1899) Komárek and Hindák 1988, Oscillatoria sp. и др. до уровня “цветения” воды (Семенова, Смыслов, 2009; Nawrocka, Kobos, 2011; Дмитриева, Семенова, 2012; Дмитриева, 2017; Kownacka et al., 2020). Летний максимум в июле или августе наблюдался во все годы за период 2001–2020 гг. (кроме 2013 и 2017 гг.), а также при первом исследовании ПП в 1974–1976 гг. в российской и польской частях залива (Nedoszytko, Wiktor, 1978; Крылова, 1984), что свидетельствует о сходстве продукционных процессов на протяжении последних десятилетий. До 2011 г. в сезонной динамике ПП и Хл а мог отмечаться слабо выраженный весенний пик в апреле или мае, в другие годы наблюдали равномерное увеличение до лета. Значимым результатом существенной перестройки структуры планктона в результате массового развития моллюска R. cuneata в 2011–2020 гг. стало формирование выраженного второго пика развития и продукции фитопланктона весной, который в отдельные годы мог быть больше летнего (ΣА 2.6 и 2.5 г С/(м2 · сут), Хл а 39 и 40 мг/м3 в 2013 и 2017 гг.). Также отмечено удлинение до сентября периода повышенных величин ПП. Такие изменения способствовали компенсации снижения ПП и Хл а после прекращения “цветения” воды (массового развития цианобактерий) в 2011–2020 гг. Сформировавшаяся в 2011–2020 гг. сезонная динамика ПП и Хл а отражает значительное летнее уменьшение биомассы фитопланктона из-за его значительного потребления моллюском-фильтратором (Kownacka et al., 2020). Одновременно, это снижает неблагоприятные эффекты “цветения” воды при массовом развитии цианобактерий (биологическое загрязнение, включая накопление альготоксинов, замор рыб и другие).
Многолетняя изменчивость ПП и Хл а. По опубликованным данным (Александров, 2009, Aleksandrov, 2010), в период 2001–2009 гг. для Вислинского залива было характерно интенсивное первичное продуцирование органического вещества фитопланктоном и значительная межгодовая изменчивость ПП и Хл а, обусловленная гидрометеорологическими факторами. В 2001–2010 гг. годовая ПП варьировала в широком диапазоне 320–553 г С/(м2 · год) (табл. 1). Наиболее высокая ПП (>450 г С/(м2 · год) была в годы (2002, 2005–2008, 2010 гг.), когда летом наблюдались условия (средний за лето прогрев воды по экспедиционным данным выше 20°С), благоприятные для массового развития цианобактерий. В 2006–2010 гг. ПП значительно возросла, по сравнению с 2001–2005 гг. (в среднем с 377 до 482 г С/(м2 · год)), и стала устойчиво соответствовать гипертрофному уровню (>450 г С/(м2 · год)) по трофической классификации экосистем Балтийского моря (Wasmund et al., 2001) (табл. 1, рис. 5). Увеличение трофического статуса подтверждают и другие показатели, традиционно рассчитываемые для летнего периода. Средние за июнь–август величины Aopt и ΣА в 2006–2010 гг. выросли в среднем на 50% и 70% и стали значительно превышать уровень для гипертрофных водоемов (>3.0 г С/(м3 · сут), >2.0 г С/(м2 · сут) согласно (Бульон, 1990), по сравнению с преимущественно эвтрофным состоянием залива в 2001–2005 гг. Наибольшую ПП (>500 г С/(м2 · год) наблюдали в 2006 и 2010 гг., когда наряду с массовым развитием цианобактерий летом, был выраженный весенний пик биомассы фитопланктона (до 20 г/м3), прежде всего диатомовых водорослей Diatoma elongatum (Lyngb.) (Дмитриева, 2017). Интенсивное развитие фитопланктона и высокая ПП весной (до 2.1 г С/(м2 · сут) в апреле 2010 г.) вносила вклад в повышение годовой ПП.
Таблица 1. Показатели трофического статуса Вислинского залива
Показатель | Период исследований | |||
2001–2005 гг. | 2006–2010 гг. | 2011–2015 гг. | 2016–2020 гг. | |
Прозрачность, м | 0.56–0.70 0.64 ± 0.02 | 0.47–0.69 0.56 ± 0.04 | 0.66–0.85 0.75 ± 0.03 | 0.68–0.94 0.83 ± 0.05 |
Концентрация Хл а, мг/м3 | 37–62 49 ± 5 | 27–57 42 ± 5 | 12–36 27 ± 4 | 14–27 20 ± 3 |
Концентрация Хл а, мг/м2 | 56–104 77 ± 8 | 49–71 60 ± 4 | 23–77 53 ± 9 | 30–62 43 ± 6 |
Aopt, г С /(м3 · сут) | 1.5–2.6 2.1 ± 0.2 | 2.9–4.1 3.5 ± 0.3 | 1.9–3.2 2.5 ± 0.3 | 1.3–2.4 1.8 ± 0.2 |
ΣА, г С/(м2 · сут) | 1.7–2.9 2.1 ± 0.2 | 2.4–3.6 3.1 ± 0.2 | 2.2–3.4 2.6 ± 0.3 | 1.9–2.7 2.3 ± 0.1 |
САЧ, мг С/(мг Хл · сут) | 37–79 51 ± 7 | 66–134 91 ± 14 | 45–184 103 ± 27 | 44–73 59 ± 5 |
ΣΣА, г С /(м2 · год) | 320–450 377 ± 23 | 446–523 482 ± 15 | 413–536 469 ± 25 | 428–526 480 ± 17 |
ΣΣR, г С/(м2 · год) | 201–512 292 ± 58 | 229–289 264 ± 11 | 236–352 300 ± 19 | 295–359 330 ± 12 |
ΣΣA/ΣΣR | 0.7–1.8 1.4 ± 0.2 | 1.6–2.3 1.8 ± 0.1 | 1.2–1.9 1.6 ± 0.1 | 1.2–1.7 1.5 ± 0.1 |
Примечание. Хл а, Aopt, ΣА, САЧ — средние за лето величины, ΣΣR –деструкция в столбе воды за год. Над чертой — пределы колебаний в разные годы, под чертой — среднемноголетние величины с ошибкой (для Хл, Aopt, ΣA, САЧ — на основе средних за лето).
Развитие моллюска-фильтратора Rangia cuneata в 2011–2020 гг. привело к значительному уменьшению биомассы водорослей и, как следствие, к снижению в 2011–2015 гг. средних за лето концентраций Хл а с 42 до 27 мг/м3. Такая тенденция продолжилось в 2016–2020 гг. (табл. 1). Вместе с тем, наблюдали увеличение прозрачности воды и особенно удельной фотосинтетической активности хлорофилла (САЧ). Интенсивность фотосинтеза значительно возросла, в частности средняя за лето величина САЧ достигла 103 мг С/(мг Хл · сут), тогда как в 2001–2005 гг. была 51 мг С/(мг Хл · сут). Полученные данные соответствуют отрицательной зависимости между ассимиляционными числами и Хл а в фитопланктоне, выявленной для других водоемов. В частности, показано двукратное увеличение САЧ при уменьшении концентрации Хл а и трофности в водохранилищах р. Волга (Минеева, 2009). Произошедшие изменения в величинах САЧ в Вислинском заливе, вероятно, связаны с составом фитопланктона и доступностью биогенных элементов и требуют дальнейшего анализа после опубликования данных по структуре и биомассе фитопланктона за период 2011–2020 гг. По опубликованным данным (Бульон, 1994), в озерных экосистемах умеренных широт средняя величина САЧ близка к 30 и при благоприятных условиях может достигать 60–70 мг С/(мг Хл · сут). Для широкого трофического диапазона водохранилищ р. Волга она достигала летом в среднем 40–90 мг С/(мг Хл · сут) (Минеева, 2009). Наблюдаемые в Вислинском заливе величины САЧ, особенно в 2011–2015 гг., соответствуют верхнему диапазону фотосинтетической активности Хл, который обеспечивается высоким содержанием биогенных элементов (Александров, Сташко, 2021). Как следствие, даже после вселения моллюска R. cuneata и уменьшения обилия фитопланктона (по концентрации Хл а) продукционные показатели (ΣА, ΣΣА) в 2011–2020 гг. соответствовали гипертрофному состоянию (табл. 1). Дополнительное формирование в последнее десятилетие выраженного второго пика развития и продукции фитопланктона весной также способствовало тому, что годовая ПП осталась на уровне 413–536 г С/(м2 · год) (в среднем 469 и 480 г С/(м2 · год) в 2011–2015 гг. и 2016–2020 гг., соответственно), достигнутом в предыдущий период (2006–2010 гг.) (рис. 5).
Рис. 5. Первичная продукция (ПП) планктона в Вислинском заливе в 2001–2020 гг.
ПП как комплексный показатель гидрохимических и гидробиологических процессов может быть одним из основных критериев оценки эффективности очистки бытовых и промышленных стоков, поступающих в водоемы (Кожова, 1993). Ожидавшийся с 1990‑х гг. ввод в г. Калининград в 2016 г. современных очистных сооружений с целью снижения загрязнения и эвтрофирования вод не оказал значимого влияния на снижение ПП в заливе в 2016–2020 гг. Несмотря на уменьшение локального загрязнения в отдельных районах, концентрации биогенных элементов в воде, влияющие на ПП, остались на высоком уровне из-за их многолетней аккумуляции, в том числе в донных осадках (Александров, Сташко, 2021). Необходимы более длительные наблюдения для оценки природоохранных мероприятий в масштабе всей крупной лагунной экосистемы.
Таким образом, в современный период по показателям ПП Вислинский залив можно рассматривать как гипертрофный водоем, относящийся к самым высокопродуктивным водным экосистемам. Ранее до 2010 г. для российской и польской частей Вислинского залива указывались соответствующие или близкие к гипертрофному состоянию величины биомассы фитопланктона, а также концентрации Хл а и общего фосфора (Семенова, Смыслов, 2009; Aleksandrov, 2010; Nawrocka, Kobos, 2011; Дмитриева, Семенова, 2012; Kownacka et al., 2020). Годовая ПП планктона в Вислинском заливе в 2 раза превышает таковую в Гданьском бассейне (231 г С/(м2 · год)), т.е. в наиболее эвтрофированной открытой части Балтийского моря, с которой он сообщается через морской пролив (Kudryavtseva et al., 2011).
Наряду с высокой скоростью фотосинтеза для Вислинского залива характерна высокая скорость деструкции (минерализации) органического вещества (ΣR), отражающая потребление кислорода планктонным сообществом (бактерио-, фито-, зоопланктоном). В 2001–2010 гг. деструкция интенсивно проходила летом (июль–август) в период “цветения” воды и максимальной ПП (рис. 3д). Изменение сезонной динамики обилия и продуктивности фитопланктона в 2011–2020 гг. отразилось на деструкции. Ее высокие величины (в среднем >1.5 г С/(м3 · сут) стали регистрировать с апреля по август из-за интенсивного развития фитопланктона весной (апрель–май) и летом (июль–август). В эти сезоны создается наибольшее количество органического вещества в виде биомассы водорослей, которое активно используется бактериопланктоном и зоопланктоном, с потреблением кислорода. В частности, в августе 2008–2009 гг. отмечали двукратное увеличение рациона зоопланктона, что было связано с массовым развитием ветвистоусых ракообразных и высокой температурой воды (Дмитриева, Семенова, 2012). Одновременно летом наблюдается максимум развития бактериопланктона, наибольшее количество которого выявлено в местах наибольшего скопления фитопланктона (Янкявичюс и др., 1993). Бактерий осуществляют до 60%, а в отдельные периоды до 90% деструкции планктонного сообщества (Садчиков, 2001).
Отношение ПП и деструкции в столбе воды характеризует соотношение автотрофных и гетеротрофных процессов в водной экосистеме. На соотношение годовых величин ПП (ΣΣА) и деструкции (ΣΣR) влияет уровень эвтрофирования водоема. В частности, во многих мезотрофных озерах и эстуариях наблюдается годовая сбалансированность (ΣΣА/ΣΣR ≈1) между процессами образования органического вещества фитопланктоном и его минерализацией в планктоне (Бульон, 1994; D’Avanzo et al., 1996). В эвтрофных водоемах часто ΣΣА/ΣΣR >1. В Вислинском заливе на протяжении всех лет исследования (кроме 2001 г.) величины ΣΣА/ΣΣR в столбе воды до дна варьировали в диапазоне 1.2–2.3, что свидетельствует о многолетнем накоплении органического вещества в лагунной экосистеме. Для рассмотренных выше периодов (2001–2005, 2011–2015, 2016–2020 гг.) получены близкие средние соотношения 1.4–1.6, с небольшим повышением в 2005–2010 г. (ΣΣА/ΣΣR = 1.8), когда был резкий рост ПП (табл. 1). Изменения, произошедшие в биомассе и продуктивности фитопланктона после вселения в 2011–2020 гг. R. cuneata, а также работа очистных сооружений в 2016–2020 гг., не оказали существенного влияния на соотношение ΣΣА/ΣΣR. В целом 2001–2020 гг. характеризуются относительной устойчивостью автотрофных и гетеротрофных процессов, несмотря на значительную межгодовую изменчивость ΣΣА (320–536 г С/(м2 · год) и ΣΣR (201–512 г С/(м2 · год)).
Устойчивость водных экосистем чаще всего связывают с их способностью выдерживать изменения, вызванные воздействием извне, сохраняя свои структуру и функциональные особенности. Наиболее показательными считаются средние за год величины, и устойчивость экосистемы можно оценить как отношение многолетний величины к максимальной (Алимов и др., 2013). Рассчитанные для Вислинского залива соотношения средней ΣΣА к максимальной ΣΣА за пятилетние периоды были 0.92 за 2006–2010 гг., 0.87 за 2011–2015 гг. и 0.92 за 2016–2020 гг. Полученные величины до вселения моллюска-фильтратора и в последние 5 лет были близки, после его вселения (2011–2015 гг.) наблюдали большее отклонение от средней. Аналогичные соотношения получены для деструкции органического вещества в планктоне (ΣΣR) – 0.91, 0.85, 0.92. В 2011–2020 гг. произошла адаптация экосистемы залива для устойчивой реализации гипертрофного уровня ПП, соответствующего гидрохимическому режиму (Aleksandrov, 2010), несмотря на значительные изменения в фитопланктоне (Kownacka et al., 2020).
Избыточная биологическая продуктивность (ΣΣА/ΣΣR >1) ведет к вторичному (биологическому) загрязнению лагунной экосистемы Вислинского залива за счет накопления органики. При первом исследовании ПП в 1974–1976 гг. средняя для российской акватории залива ΣΣА была 276 г С/(м2 · год) (Крылова, 1984). Средняя годовая ПП в 2001–2020 гг. (320–536, в среднем 452 г С/(м2 · год)) на 63% превышала таковую в 1974–1976 гг. В последние годы (2016–2020 гг.) ПП в среднем достигла 480 г С/(м2 · год) – на 74% выше, чем в 1974–1976 гг., свидетельствуя о значительном эвтрофировании Вислинского залива в специфических условиях лагунной экосистемы.
В условиях интенсивного водообмена с морем часть избыточной ПП, не подвергнутой разложению в Вислинском заливе, выносится через морской пролив, способствуя загрязнению и эвтрофикации прилегающей акватории Балтийского моря. Согласно спутниковым наблюдениям, вынос вод Вислинского залива с повышенным содержанием взвеси и Хл а распространяется в море на 20–30 км (Буканова и др., 2022). Гданьский бассейн, куда поступает сток из Вислинского залива, относится к наиболее эвтрофированным районам Балтийского моря (Кудрявцева и др., 2018).
ЗАКЛЮЧЕНИЕ
Особенности гидрохимической ситуации и гидрологический режим в лагунной экосистеме Вислинского залива обуславливают высокий уровень ПП планктона, соответствующий гипертрофному состоянию. Климатические условия оказывают значительное влияние на продуктивность и обилие (по концентрации Хл а) фитопланктона, в значительной степени определяя летний максимум, а также более раннее начало активной вегетации. Многолетняя динамика ПП характеризуется увеличением до гипертрофного уровня в 2006–2010 гг. и устойчивостью при значительных экосистемных изменениях, произошедших в период наблюдений. Массовое развитие двустворчатого моллюска-фильтратора Rangia cuneata привело к существенной перестройке сезонной динамики биомассы, концентрации Хл а и продукции фитопланктона. Уменьшение летом концентрации Хл а (“цветения” воды) в 2 раза стало компенсироваться увеличением ассимиляционных чисел и прозрачности воды, а также интенсивным весенним развитием фитопланктона. За период 2011–2020 гг. произошла адаптация лагунной экосистемы для устойчивой реализации ПП на максимальном гипертрофном уровне, соответствующем гидрохимическому режиму, несмотря на значительные изменения в фитопланктоне. Ввод в г. Калининграде в 2016 г. современных очистных сооружений не оказал значимого влияния на снижение ПП в Вислинском заливе. Средняя годовая ПП в 2001–2020 (320–536, в среднем 452 г С/(м2 · год) на 60% выше, чем в 1974–1976 гг. Годовая ПП превышает деструкцию (минерализацию) органического вещества в среднем на 60%, что ведет к вторичной эвтрофикации лагуны, а также аутвеллингу и загрязнению Балтийского моря.
ФИНАНСИРОВАНИЕ
Анализ временной динамики выполнен в рамках госзадания Института океанологии им. П.П. Ширшова РАН (тема №FMWE-2021-0012); влияния условий среды — в рамках госзадания БФУ им. И. Канта (тема №FZWM-2023-0004).
Сокращения: ПП – первичная продукция; САЧ – суточное ассимиляционное число; Хл а – хлорофилл а; Aopt – первичная продукция на глубине максимального фотосинтеза, ΣА, ΣΣА – первичная продукция в столбе воды за сутки и год, соответственно.
Об авторах
С. В. Александров
Институт океанологии им. П.П. Ширшова Российской академии наук; Балтийский федеральный университет им. И. Канта
Автор, ответственный за переписку.
Email: hydrobio@mail.ru
Россия, Москва; Калининград
Список литературы
- Александров С.В. 2009. Многолетние изменения трофического статуса Куршского и Вислинского заливов Балтийского моря // Биология внутр. вод. № 4. С. 27.
- Александров С.В., Сташко А.В. 2021. Пространственное распределение и сезонная динамика биогенных элементов в Вислинском заливе в 2019 году // Изв. Калин. гос. техн. ун-та. № 60. С. 11. https://doi.org/10.46845/1997-3071-2021-60-11-21
- Александров С.В., Рудинская Л.В. 2022. Первичная продукция и концентрация хлорофилла фитопланктона в Вислинском заливе в условиях биоинвазии моллюска // Актуальные проблемы планктонологии: Матер. IV Всерос. конф. Калининград: Калининград. гос.-техн. ун-т. С. 14.
- Алимов А.Ф., Богатов В.В., Голубков С.М. 2013. Продукционная гидробиология. СПб.: Наука.
- Буканова Т.В., Бубнова Е.С., Александров С.В. 2022. Дистанционный мониторинг морской площадки карбонового полигона “Росянка” (Балтийское море): первые результаты // Современные проблемы дистанционного зондирования Земли из космоса. Т. 19. № 6. С. 234. https://doi.org/10.21046/2070-7401-2022-19-6-234-247
- Бульон В.В. 1994. Закономерности первичной продукции в лимнических экосистемах. СПб.: Наука.
- Горбунова Ю.А., Чубаренко Б.В., Домнин Д.А. 2017. Биогенная нагрузка на водосборный бассейн реки Преголи от антропогенных источников // Изв. КГТУ. № 47. C. 34.
- Горбунова Ю.А., Чубаренко Б.В., Домнин Д.А. 2018. Методика выделения приоритетных источников биогенной нагрузки с водосборного бассейна реки Преголи // Изв. КГТУ. 2018. № 50. С. 13.
- Дмитриева О.А. 2017. Исследование закономерностей пространственно-временных изменений структурных и количественных показателей фитопланктона в различных районах Балтийского моря: Автореф. дис. … канд. биол. наук. Калининград. 24 с.
- Дмитриева О.А., Семенова А.С. 2012. Сезонная динамика и трофические взаимоотношения фито- и зоопланктона в Вислинском заливе Балтийского моря // Океанология. Т. 52. № 6. С. 851.
- Кожова О.М. 1993. Стратегия изучения первичной продукции как начального звена продукционного процесса в водоеме // Методические вопросы изучения первичной продукции планктона внутренних водоемов. СПб.: Гидрометеоиздат. С. 4.
- Крылова О.И. 1984. Функционирование планктона и бентоса Куршского и Вислинского заливов Балтийского моря в связи с их экологическими различиями: Автореф. дис. ... канд. биол. наук. М.: Ин-т эвол. морфологии и экологии животных.
- Кудрявцева Е.А., Александров С.В., Дмитриева О.А. 2018. Сезонная изменчивость первичной продукции и состава фитопланктона в береговой зоне российского сектора Гданьского бассейна Балтийского моря // Океанологические исследования. 2018. Т. 46. № 3. С. 99. https://doi.org/10.29006/1564-2291.JOR-2018.46(3).7
- Науменко Е.Н., Рудинская Л.В., Гусев А.А. 2014. Влияние видов-вселенцев на структуру зоопланктона и зообентоса в Вислинском заливе Балтийского моря // Региональная экология. № 1–2 (35). С. 21.
- Минеева Н.М. 2009. Первичная продукция планктона в водохранилищах Волги. Ярославль: Принтхаус.
- Рудинская Л.В., Гусев А.А. 2012. Вселение североамериканского двустворчатого моллюска Rangia cuneata (G.B. Sowerby I, 1831) (Bivalvia: Mactridae) в Вислинский залив Балтийского моря // Рос. журн. биол. инвазий. Т. 5. № 2. С. 115.
- Садчиков А.П. 2001. Трансформация органического вещества бактериальным сообществом в водоемах разной трофности // Гидробиол. журн. Т. 37. № 3. С. 7.
- Семенова С.Н., Смыслов В.А. 2009. Особенности развития фитопланктона Вислинского залива Балтийского моря на рубеже ХХ–ХХI веков // Биология внутр. вод. № 4. С. 13.
- Трифонова И.С. 1990. Экология и сукцессия озерного фитопланктона. Л.: Наука.
- Янкявичюс К., Баранаускене А., Антаниене А. и др. 1993. Уровень эвтрофирования залива Куршю Марес // Ecologija. № 2. C. 25.
- Aleksandrov S.V. 2010. Biological production and eutrophication of Baltic Sea estuarine ecosystems: The Curonian and Vistula Lagoons // Mar. Pollut. Bulletin. V. 61. № 4–6. P. 205. https://doi.org/10.1016/j.marpolbul.2010.02.015
- Chubarenko B., Margoński P. 2008. The Vistula lagoon // Ecology of Baltic coastal waters. Berlin, Heidelberg: Springer, 2008. P. 167‒195. https://doi.org/10.1007/978-3-540-73524-3_8.
- Dmitrieva O.A., Semenova A.S., Rudinskaya L.V. et al. 2021. Dynamics of planktonic communities in the Vistula lagoon before and after the invasion of Rangia cuneata (G.B. Sowerby I, 1831) // Invasion of alien species in Holarctic. Borok-VI: sixth international Symposium. Book of abstracts. Kazan: Buk. P. 60.
- D’Avanzo Ch., Kremer J.N., Wainright S.C. 1996. Ecosystem production and respiration in response to eutrophication in shallow temperate estuaries // Mar. Еcol. Prog. Ser. V. 141. P. 263. https://doi.org/10.3354/meps141263
- Jeffrey S.W., Humphrey G.F. 1975. New spectrophotometric equations for determining chlorophylls a, b, c1 and c2 in higher plants, algae and natural phytoplankton // Biochemie und Physiologie der Pflanzen. V. 167(2). P. 191. https://doi.org/10.1016/S0015-3796(17)30778-3
- Kownacka J., Całkiewicz J., Kornijów R. 2020. A turning point in the development of phytoplankton in the Vistula Lagoon (southern Baltic Sea) at the beginning of the 21st century // Oceanologia. V. 62 (4). P. 538. https://doi.org/10.1016/j.oceano.2020.08.004
- Kruk M., Jaworska B., Jablonska-Barna I. et al. 2016. How do differences in the nutritional and hydrological background influence phytoplankton in the Vistula Lagoon during a hot summer day? // Oceanologia. V. 58. № 4. P. 341. https://doi.org/10.1016/j.oceano.2016.05.004
- Kudryavtseva E.A., Pimenov N.V., Aleksandrov S.V. et al. 2011. Primary production and chlorophyll content in the Southeastern Baltic Sea in 2003–2007 // Oceanology. V. 51. № 1. P. 27. https://doi.org/10.1134/S0001437011010103
- Nawrocka L., Kobos J. 2011. The trophic state of the Vistula Lagoon: an assessment based on selected biotic and abiotic parameters according to the Water Framework Directive // Oceanologia. V. 53(3). P. 881. https://doi.org/10.5697/oc.53-3.881
- Nedoszytko B., Wiktor K. 1978. Primary production in the Vistula Lagoon waters // Zalew Wislany. Stud. Mater. Oceanol. KBN PAN. № 21. P. 95.
- Petkuviene J., Zilius M., Lubiene I. et al. 2016. Phosphorus Cycling in a Freshwater Estuary Impacted by Cyanobacterial Blooms // Estuaries and Coasts. V. 5. № 39. P. 1386. https://doi.org/10.1007/s12237-016-0078-0
- SCOR-UNESCO. 1966. Determination of photosynthetic pigments in sea-water. UNESCO Monographs on Oceanographic Methodology. Paris.
- Warzocha J., Drgas A. 2013. The alien gulf wedge clam (Rangia cuneata G. B. Sowerby I, 1831) (Mollusca: Bivalia: Mactridae) in the Polish part of the Vistula Lagoon (SE. Baltic) // Folia Malacologica. № 21(4). P. 291. https://doi.org/10.12657/folmal.021.030
- Wasmund N., Andrushaitis A., Lysiak-Pastuszak E. et al. 2001. Trophic status of the south-eastern Baltic sea: a comparison of coastal and open areas // Estuarine, Coastal and Shelf Science. V. 53. P. 849. https://doi.org/10.1006/ecss.2001.0828
Дополнительные файлы







