Особенности распределения массовых видов ракообразных на прибрежном склоне Ладожского озера
- Авторы: Зуев Ю.А.1
-
Учреждения:
- Санкт-Петербургский филиал Всероссийского научно-исследовательского института рыбного хозяйства и океанографии
- Выпуск: № 2 (2023)
- Страницы: 210-223
- Раздел: ЗООПЛАНКТОН, ЗООБЕНТОС, ЗООПЕРИФИТОН
- URL: https://ogarev-online.ru/0320-9652/article/view/134951
- DOI: https://doi.org/10.31857/S0320965223020298
- EDN: https://elibrary.ru/BUWNJS
- ID: 134951
Цитировать
Полный текст
Аннотация
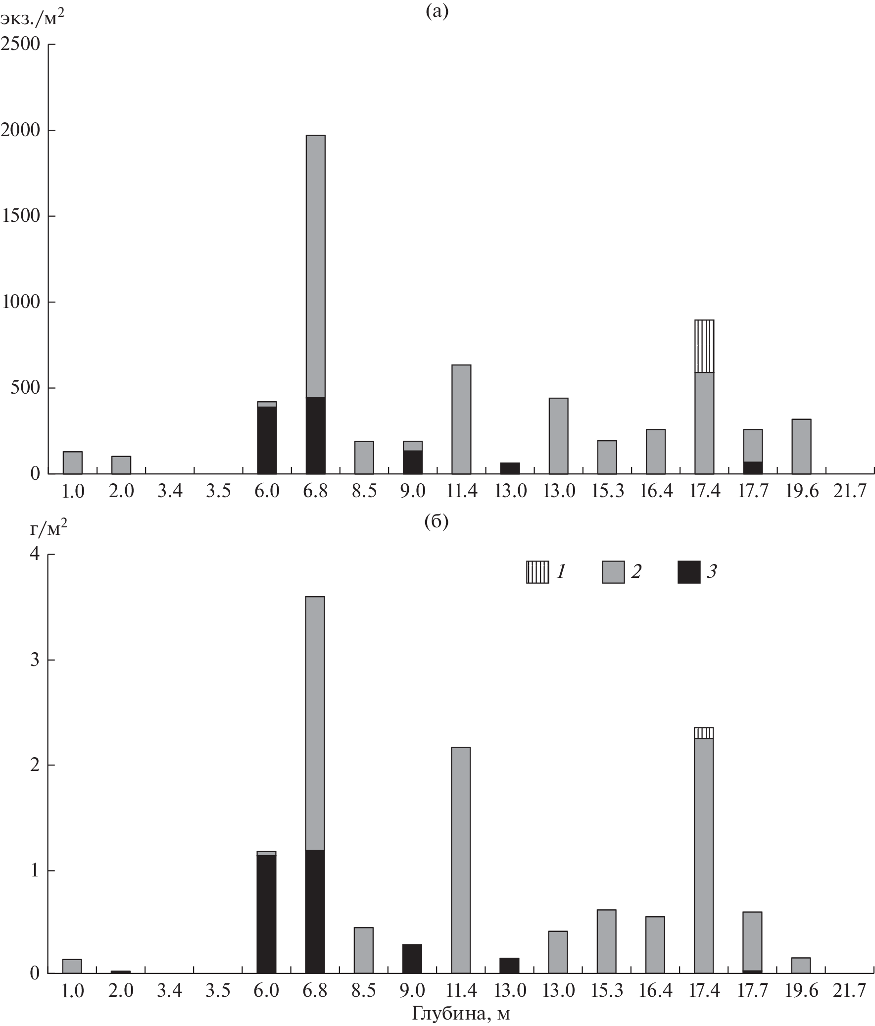
Выявлены видовой состав и распределение пяти видов ракообразных Asellus aquaticus (Linnaeus, 1758), Monoporeia affinis (Lindström, 1855), Pallaseopsis quadrispinosa (G.O. Sars, 1867), Mysis relicta Lovén, 1862 и Gmelinoides fasciatus (Stebbing, 1899) в диапазоне глубин 1–25 м на подводном склоне о. Валаам в Ладожском озере. Ракообразных исследовали с использованием поршневого пробоотборника, подводных видеокамер и драги. Впервые описано горизонтальное распределение натурализовавшейся байкальской амфиподы G. fasciatus, показаны особенности еe совместного существования с аборигенными видами. Распределение этого вселенца связано с воздействием комплексных внешних факторов: достоверно различаются его количественные характеристики на участках с разной интенсивностью волнения, в различных диапазонах глубины и с разными грунтами. Обилие наиболее массового аборигенного вида Pallaseopsis quadrispinosa достоверно выше в сублиторали, где он образует скопления. Влияния грунтов на распределение нативных ракообразных на прибрежном свале не обнаружено. Аборигенные виды образуют с вселенцем сообщества, но у них выше устойчивость к волновому воздействию по сравнению с Gmelinoides fasciatus. Поэтому участки открытых побережий служат естественными убежищами, сохраняющими разнообразие аборигенных видов. Полученные данные о пространственном распределении ракообразных позволяют характеризовать донные сообщества малоисследованных частей литорали и сублиторали и, как следствие, базу питания рыб-бентофагов.
Ключевые слова
Об авторах
Ю. А. Зуев
Санкт-Петербургский филиал Всероссийского научно-исследовательского института рыбного хозяйстваи океанографии
Автор, ответственный за переписку.
Email: yzuyev@yandex.ru
Россия, Санкт-Петербург
Список литературы
- Барбашова М.А., Слепухина Т.Д. 2002. Макрозообентос литоральной зоны заливов шхерного района озера // Ладожское озеро – прошлое, настоящее, будущее. Санкт-Петербург: Наука.
- Барбашова М.А., Курашов Е.А. 2011. Макрофауна литоральной зоны Ладожского озера // Литоральная зона Ладожского озера. Санкт-Петербург: Наука.
- Барков Д.В. 2006. Экология и биология байкальского вселенца Gmelinoides fasciatus (Stebbing, 1899) и его роль в экосистеме Ладожского озера: Автореф. дис. … канд. биол. наук. Санкт-Петербург.
- Барков Д.В., Курашов Е.А. 2005. Значение байкальской амфиподы Gmelinoides fasciatus (Stebb.) в структуре макрозообентоса литорали о. Валаам (Ладожское озеро) // Эл. науч. журн. “Исследовано в России”. 79. С. 820.
- Барышев И.А., Сидорова А.И., Георгиев А.П., Калинкина Н.М. 2021. Биомасса популяции, продукция за вегетационный период и биоресурсное значение инвазивного Gmelinoides fasciatus (Сrustacea: Amphipoda) в Онежском озере // Биология внутр. вод. № 4. С. 433. https://doi.org/10.31857/S0320965221040057
- Бекман М.Ю. 1962. Экология и продукция Micruropus possolskii Sow и Gmelinoides fasciatus Stebb. // Систематика и экология ракообразных Байкала. Труды Лимнол. ин-та СО АН СССР. Т. 2. Ч. 1. С. 141.
- Березина Н.А., Панов В.Е. 2004. Популяции амфипод в прибрежных зонах эстуария р. Невы и крупных озер бассейна Балтийского моря // Закономерности гидробиологического режима водоемов разного типа. Москва: Научный мир. С. 179.
- Георгиев А.П., Сидорова А.И., Шустов Ю.А., Лесонен М.А. 2019. Байкальская амфипода Gmelinoides fasciatus (Amphipoda, Crustacea) в питании окуня литоральной зоны Онежского озера (возрастной и сезонный аспекты) // Зоол. журн. Т. 98. № 7(98). С. 749. https://doi.org/10.1134/S0044513419070055
- Голиков А.Н., Скарлато О.А. 1965. Гидробиологические исследования в заливе Посьет с применением водолазной техники // Исследования фауны морей СССР. № 3(9). С. 5.
- Дудакова Д.С., Родионова Н.В., Протопопова Е.В. и др. 2015. Состав и динамика гидробионтов литорали бухты Петрокрепость Ладожского озера // Тр. Карельск. науч. центра РАН. № 2. Сер. Экологические исследования. С. 53. https://doi.org/10.17076/eco42
- Зуев Ю.А., Зуева Н.В. 2013. Опыт исследования макрозообентоса каменистой литорали Ладожского озера // Уч. зап. Российского гос. гидрометеорол. ун-та. № 30. С. 134.
- Калинкина Н.М., Сидорова А.И., Полякова Т.Н. и др. 2016. Снижение численности глубоководного макрозообентоса Онежского озера в условиях многофакторного воздействия // Принципы экологии. № 2. С. 43. https://doi.org/10.15393/j1.art.2016.5182
- Карнаухов Д.Ю., Курашов Е.А. 2020. К вопросу о ночных вертикальных миграциях амфипод в Ладожском озере // Тр. Карельск. науч. центра РАН. № 4. С. 115. https://doi.org/10.17076/lim1140
- Курашов Е.А., Барбашова М.А., Барков Д.В. и др. 2011. Виды-вселенцы в литоральной зоне Ладожского озера. Литоральная зона Ладожского озера. Санкт-Петербург: Наука. С. 279.
- Курашов Е.А., Барбашова М.А., Дудакова Д.С. и др. 2018. Экосистема Ладожского озера: современное состояние и тенденции ее изменения в конце XX–начале XXI в. // Биосфера. № 2(10). С. 65. https://https://doi.org/10.24855/BIOSFERA.V10I2.439
- Лаврентьева Г.М., Мицкевич О.И., Огородникова В.А., Терешенкова Т.В. 2009. Сравнительная оценка сообществ планктона и бентоса Онеги и Ладоги в многолетнем аспекте: (90-е гг. ХХ в. и первое десятилетие ХХI в.) // Рыбохозяйственное исследование больших озер Северо-Запада европейской части России: сборник научных трудов. Санкт-Петербург: Изд-во ДЕАН. Вып. 334. С. 228.
- Панов В.Е. 1994. Байкальская эндемичная амфипода Gmelinoides fasciatus Stebb. в Ладожском озере // Докл. Академии наук. Т. 336. № 2. С. 279.
- Панов В.Е., Павлов А.М. 1986. Методика количественного учета водных беспозвоночных в зарослях камыша и тростника // Гидробиол. журн. Т. 22. № 6. С. 87.
- Распопов И.М., Воронцов Ф.Ф., Слепухина Т.Д. и др. 1990. Роль волнения в формировании биоценозов бентоса больших озер. Ленинград: Наука.
- Распопов И.М., Андроникова И.Н., Слепухина Т.Д. и др. 1998. Прибрежно-водные экотоны больших озер. Санкт-Петербург: РТП ИК “Синтез”.
- Сидорова А.И. 2013. Структурно-функциональные характеристики популяции байкальского вселенца Gmelinoides fasciatus Stebbing (Crustacea: Amphipoda) на северной границе ареала (Онежское озеро): Автореф. дис. … канд. биол. наук. Петрозаводск.
- Смирнов А.Ф. 1964. Морфологическая и биологическая характеристика лудной и ямной палии Ладожского озера // Рыбное хозяйство Карелии. Петрозаводск: Карельское книжное издательство. Вып. 8. С. 130.
- Стальмакова Г.А. 1968. Зообентос Ладожского озера // Биологические ресурсы (зоология) Ладожского озера. Ленинград: Наука. С. 4.
- Степанова А.Б., Бабин А.В., Зуева Н.В. и др. 2016. Анализ антропогенного воздействия на водную систему Валаамского архипелага. Экосистемы Валаамского архипелага (Ладожское озеро) на рубеже 20 и 21 веков. Черты уникальности и современное состояние. Атлас. Санкт-Петербург: Рос. гос. гидрометеорол. ун-т. С. 32.
- Степанова А.Б., Воякина Е.Ю., Бабин А.В. и др. 2020. Результаты исследований прибрежной зоны Ладожского озера в районе Валаамского архипелага (1998–2019 гг.) // Гидрометеорология и экология. № 60. С. 325. https://doi.org/10.33933/2074-2762-2020-60-325-350
- Суслопарова О.Н., Мицкевич О.И., Огородникова В.А., Терешенкова Т.В. 2011. Сезонные и межгодовые изменения основных компонентов экосистемы (фито-, зоопланктон, макрозообентос) Южной Ладоги по результатам исследований в 2009–2010 гг. // Исследование экосистем крупных рыбопромысловых водоемов Северо-Запада России: Сб. науч. тр. Вып. 341. Санкт-Петербург: Нестор-История. С. 201.
- Суслопарова О.Н., Терешенкова Т.В., Огородникова В.А. и др. 2014. Изменения летних гидробиоценозов южной Ладоги по материалам многолетних исследований ГосНИОРХ // Рыбохозяйственные исследования на водных объектах Европейской части России: Сб. науч. работ, посвященный 100-летию ГосНИОРХ. Санкт-Петербург. С. 238.
- Сущеня Л.М., Семенченко В.П., Вежновец В.В. 1986. Биология и продукция реликтовых ракообразных. Минск: Наука и техника.
- Тихомирова Л.П. 1975. Питание ладожских сигов // Рыбохозяйственное изучение внутренних водоемов. № 16. С. 14.
- Тихомирова Л.П., Федорова Г.В. 1979. Рационы сигов Ладожского озера // Изв. ГосНИИ озер. и реч. рыб. хоз-ва. Ленинград: ГосНИОРХ. Т. 141. С. 152.
- Федорова Г.В. 1977. Биологическая характеристика и численность ладожского озерного сига. // Изв. ГосНИОРХ. Т. 125. С. 11.
- Федорова Г.В., Приймак Л.Я. 1987. Питание ладожского озерного сига Coregonus lavaretus baeri n. ladoga Pravdin // Сб. науч. тр. ГосНИОРХ. Вып. 266. С. 11.
- Barbashova M.A., Trifonova M.S., Kurashov E.A. 2021. Features of the Spatial Distribution of Invasive Amphipod Species in the Littoral of Lake Ladoga // Rus. J. Biol. Invasions. V. 12. P. 136. https://doi.org/10.1134/S207511172102003X
- Berezina N.A., Zhakova L.V., Zaporozhets N.V., Panov V.E. 2009. Key role of the amphipod Gmelinoides fasciatus in reed beds of Lake Ladoga // Boreal Environ. Res. V. 14. P. 404.
- Cai Y., Xu H., Vilmi A. et al. 2017. Relative roles of spatial processes, natural factors and anthropogenic stressors in structuring a lake macroinvertebrate metacommunity // Science of the Total Environment. P. 601. 1702. https://doi.org/10.1016/j.scitotenv.2017.05.264
- Grönholm L., Hakala I. 1990. Annual and diurnal vertical migrations and the food of Mysis relicta in Lake Pääjärvi, Southern Finland // Ann. zool. fenn. V. 27. P. 265.
- Hill C. 2006. Life cycle and spatial distribution of the amphipod Pallasea quadrispinosa in a lake in northern Sweden // Ecography. V. 89(4). P. 298. https://https://doi.org/10.1111/j.1600-0587.1988.tb00813.x
- Karnaukhov D.Y., Kaus A., Sartoris L. et al. 2016. Behavior of lake Baikal amphipods as a part of the night migratory complex in the Kluevka settlement region (south-eastern Baikal) // Crustaceana. V. 89(4). P. 419. https://doi.org/10.1163/15685403-00003530
- Lobanova A.S., Shustov Y.A., Alaytsev D.P. et al. 2017. The role of invasive amphipod Gmelinoides fasciatus (Stebbing) in the feeding of perch Perca fluviatilis L. in the littoral zone of Lake Onega // Rus. J. Biol. Invasions. V. 8(3). P. 261. https://doi.org/10.1134/S2075111717030092
- Lake Peipsi. Flora and Fauna. Zoobenthos. 2001. Tartu: Sulemees Publ. P. 82.
- O’Malley B.P., Dillon R.A., Paddock R.W. et al. 2018. An underwater video system to assess abundance and behavior of epibenthic Mysis // Limnol., Oceanogr.: Methods. V. 16(12). P. 868. https://doi.org/10.1002/lom3.10289
- Särkkä J., Meriläinen J.J., Hynynen J. 1990. The distribution of relict crustaceans in Finland: new observations and some problems and ideas concerning relicts // Ann. Zool. Fenn. V. 27. P. 221.
- Vitagliano G., Fano E.A., Marchetti E. et al. 1991. Importance of longevity, growth, and diapause in the evolution of Asellus aquaticus // Bolletino di zoologia. V. 3. P. 125.
- Zmudzinski L. 1990. Past and recent occurrence of Malacostraca glacial relicts in Polish lakes // Ann. zool. fenn. V. 27. P. 227.
Дополнительные файлы








