Study of the Features of Natural Mortality Iin Muksun and Peladi of the Ob River by Constructing Dependences of the Number of Their Generations
- Authors: Matkovskiy A.K.1
-
Affiliations:
- Tyumen Branch of the All-Russian Research Institute of Fisheries and Oceanography (“Gosrybtsentr”)
- Issue: No 3 (2023)
- Pages: 407-419
- Section: МЕТОДЫ ИССЛЕДОВАНИЯ
- URL: https://ogarev-online.ru/0320-9652/article/view/134942
- DOI: https://doi.org/10.31857/S0320965223030154
- EDN: https://elibrary.ru/POEWTT
- ID: 134942
Cite item
Full Text
Abstract
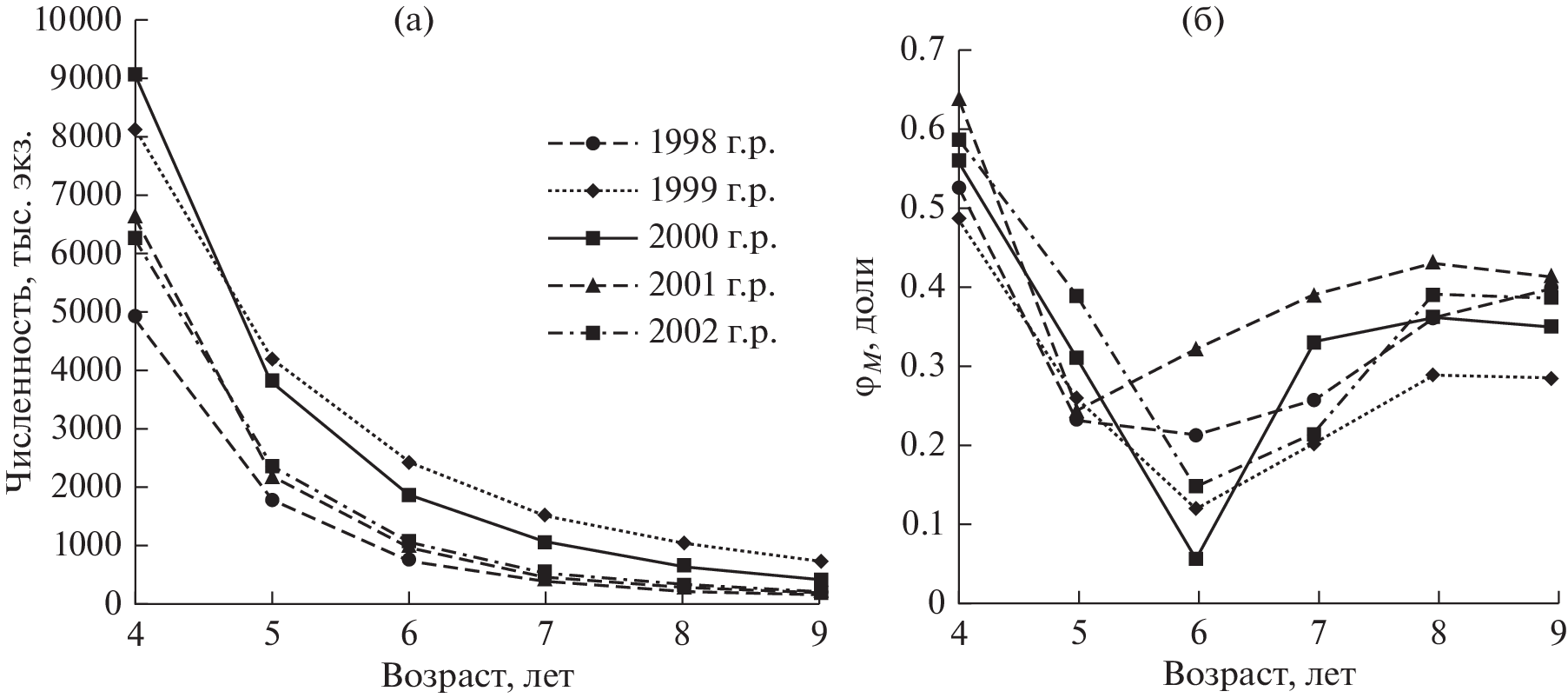
It is shown that it is possible to determine the natural mortality of fish, using the example of muksun (Coregonus muksun) and peled (Coregonus peled) of the Ob River, by constructing dependences of the decrease in the number of generations. It is established that the dynamics of mortality has a U-shaped form. The minimum mortality rates are at the age when sexual maturity reaches more than 70% of individuals. The influence of various natural and anthropogenic factors on natural mortality is shown. It is noted that periodically occurring deficiency of dissolved oxygen has a significant impact on the wintering fish in the southern part of the Gulf of Ob. There was an increase in mortality during fish migrations and this fact can serve as one of the criteria for the periodicity of whitefish spawning. It is established that numerous generations of favorable years of feeding and reproduction are characterized by a higher survival rate of individuals. The presence of genera-tions with different degrees of survival is an important adaptive property of populations.
Keywords
About the authors
A. K. Matkovskiy
Tyumen Branch of the All-Russian Research Institute of Fisheries and Oceanography (“Gosrybtsentr”)
Author for correspondence.
Email: Matkovskiy@gosrc.ru
Russia, Tyumen
References
- Бабаян В.К., Булгакова Т.Н., Бородин Р.Г., Ефимов Ю.Н. 1984. Методические рекомендации. Применение математических методов и моделей для оценки запасов рыб. М.: ВНИРО.
- Баранов Ф.И. 1918. К вопросу о биологических основаниях рыбного хозяйства // Известия отделения рыбоводства и научно-промысловых исследований. Т. 1. Вып. 1. С. 84.
- Бевертон Р.Дж.Х., Холт С.Дж. 1958. Обзор методов определения смертности облавливаемых популяций рыбы. Источники возникновения ошибок при взятии проб из уловов. М.: Мосгорсовнархоз. (Be-verton R.J.H., and Holt S.J. 1956. A review of methods for estimating mortality rates in fish populations, with special references to sources of bias in catch sampling // Rapp. P. V. Reun. Cons. Int. Explor. Mer. 140. P. 67).
- Белянина Т.Н., Макарова Н.П. 1965. Некоторые закономерности распределения жира в организме рыб в связи с созреванием // Теоретические основы рыбоводства. М.: Наука. С. 42.
- Богданов В.Д., Агафонов Л.И. 2001. Влияние гидрологических условий поймы Нижней Оби на воспроизводство сиговых рыб // Экология. № 1. С. 50.
- Борисов В.М. 1976. Результаты применения метода П.В. Тюрина для определения естественной смертности аркто-норвежской трески Gadus morhua morhua L. // Вопр. ихтиологии. Т. 16. Вып. 5. С. 889.
- Борисов В.М. 1985. Естественная смертность как фактор динамики численности промысловых популяций рыб // Теория формирования численности и рациональное использование стад промысловых рыб. М.: Наука. С. 158.
- Булгакова Т.И., Ефимов Ю.Н. 1982. Метод определения величины возможного улова с учетом зависимости естественной смертности рыб от возраста // Вопр. рыболовства. Т. 22. Вып. 2. С. 200.
- Бурмакин Е.В. 1953. Биология и рыбохозяйственное значение пеляди // Тр. Барабинского отделения ВНИОРХ. Новосибирск. Т. 6. Вып. 1. С. 25.
- Венглинский Д.Л. 1966. Эколого-морфологические особенности пеляди субарктических водоемов. Биология промысловых рыб Нижней Оби // Тр. Ин-та биологии Урал. фил. СО АН СССР. Свердловск: УФ СО АН СССР. Вып. 49. С. 17.
- Венглинский Д.Л. 1974. Приспособления сиговых рыб к условиям существования в заморных водоемах Приобского Севера // Зоологические исследования Сибири и Дальнего Востока. Владивосток: Дальневосточ. науч. центр АН СССР. С. 159.
- Венглинский Д.Л., Добринская Л.А., Амстиславский А.З. 1967. Особенности биологии некоторых промысловых рыб Обского Севера // Проблемы Севера. М.: Наука. Вып. 11. С. 194.
- Венглинский Д.Л., Шишмарев В.М., Мельниченко С.М., Паракецов И.А. 1979. Экологические аспекты естественного воспроизводства и охраны сиговых рыб // Морфологические особенности рыб Бассейна реки Северной Сосьвы. Свердловск: Уральск. науч. центр АН СССР. С. 3.
- Владимиров В.И., Семенов К.И., Жукинский В.Н. 1965. Качество родителей и жизнестойкость потомства на ранних этапах жизни у некоторых видов рыб // Теоретические основы рыбоводства. М.: Наука. С. 19.
- Вотинов Н.П. 1963. Муксун как объект искусственного разведения и акклиматизации// Искусственное разведение осетровых и сиговых рыб в Обь-Иртышском бассейне // Тр. Обь-Тазовского отд. ГосНИИ озер. и реч. рыб. хоз-ва. Нов. серия. Тюмень: Тюмен. книж. изд-во. Т. 3. С. 115.
- Гулин В.В. 1971. Теоретическое обоснование и практическая разработка методов оценки общей промысловой и естественной смертности рыб во внутренних водоемах // Изв. ГосНИОРХ. Т. 73. С. 33.
- Дехник Т.В., Серебряков В.П., Соин С.Г. 1985. Значение ранних стадий развития рыб в формировании численности поколений // Теория формирования численности и рациональное использование стад промысловых рыб. М.: Наука С. 56.
- Дрягин П.А. 1934. Размеры рыб при наступлении половозрелости // Рыб. хоз-во. № 4. С. 27.
- Дрягин П.А. 1948. Промысловые рыбы Обь-Иртышского бассейна // Изв. НИИ оз. и реч. хоз-ва. Л.: НИИ оз. и реч. хоз-ва. Т. 25. Вып. 2. С. 3.
- Еньшина С.А. 1996. К вопросу о влиянии промысла ценных полупроходных видов рыб в Томской области на их запасы / Биологические ресурсы и проблемы развития аквакультуры на водоемах Урала и Западной Сибири // Тез. докл. Всерос. конф. (17–18 сентября 1996 г., Тюмень). Тюмень: СибрыбНИИпроект. С. 40.
- Желтенкова М.В., Коган А.В., Попова О.А., Шатуновский М.И. 1985. Трофологические аспекты динамики популяций рыб // Теория формирования численности и рациональное использование стад промысловых рыб. М.: Наука. С. 83.
- Замятин В.А. 1977. Влияние гидрологического режима на рыбные запасы р. Оби // Рыбное хозяйство Обь-Иртышского бассейна // Тр. Обь-Тазовского отд. СибрыбНИИпроект. Нов. серия. Свердловск: Средне-Уральское книж. изд-во. Т. 4. С. 76.
- Зыков Л.А. 2005. Биологические и рыбохозяйственные аспекты теории естественной смертности рыб. Астрахань: Изд. дом “Астраханский университет”.
- Зыков Л.А., Слепокуров В.А. 1982. Уравнение для оценки естественной смертности рыб (на примере пеляди оз. Ендырь) // Рыб. хоз-во. № 3. С. 36.
- Зыков Л.А. 1996. Рост и естественная смертность основных промысловых рыб Обь-Иртышского бассейна. Биологические ресурсы и проблемы развития аквакультуры на водоемах Урала и Западной Сибири // Тез. докл. Всерос. конф. (17–18 сентября 1996 г., Тюмень). Тюмень: СибрыбНИИпроект. С. 56.
- Ильин О.И., Трофимов И.К., Золотов А.О. и др. 2013. Оценка естественной смертности тресковых рыб (Gadidae) прикамчатских вод // Матер. отчетной сессии ФГУП “КамчатНИРО” по итогам научно-исследовательских работ в 2012 г. Петропавловск-Камчатский: КамчатНИРО. С. 283.
- Исаков П.В., Селюков А.Г. 2003. Половое созревание и половые циклы обского муксуна Coregonus muksun (Coregonidae, Salmoniformes) // Тр. Междунар. форума по проблемам науки, техники и образования. М. Т. 2. С. 149.
- Князев И.В., Крохалевский В.Р. 1995. Ретроспективный анализ изменения темпа роста промысловых рыб Обь-Иртышского бассейна // Гидробионты Обского бассейна в условиях антропогенного воздействия: Cб. науч. тр. ГосНИИ оз. и реч. хоз-ва. СПб: ГосНИИ оз. и реч. хоз-ва. Вып. 327. С. 79.
- Князев И.В. 2014. Биомасса серебряного карася Carassius auratus gibelio (Bloch, 1782) в эвтрофном озере Западной Сибири // Сибирский вестн. сельхоз. науки. № 1(236). С. 76.
- Колесник Ю.А. 1970. Метод определения мгновенного коэффициента естественной смертности минтая залива Петра Великого // Вопр. ихтиологии. Вып. 6(65). С. 1116.
- Крохалевский В.Р. 1983. Половое созревание и периодичность нереста обской пеляди // Биология и экология гидробионтов экосистемы Нижней Оби. Свердловск: УНЦ АН СССР. С. 93.
- Кудерский Л.А. 1986. Типы популяций промысловых рыб // Динамика численности промысловых рыб. М.: Наука. С. 231.
- Матковский А.К. 1995. Питание и пищевые взаимоотношения хищных рыб Средней Оби в осенний период // Сб. науч. тр. ГосНИИ оз. и реч. хоз-ва. СПб: ГосНИИ оз. и реч. хоз-ва. Вып. 327. С. 92.
- Матковский А.К. 2001. Алгоритмы метода “восстановленного запаса рыб” для изучения изменения промыслового запаса и прогнозирования общедопустимых уловов (ОДУ) на примере обского чира (Coregonus nasus). Биология, биотехника разведения и промышленного выращивания сиговых рыб // Матер. шестого Всерос. научно-производственного совещания. Тюмень: СибрыбНИИпроект. С. 95.
- Матковский А.К. 2006. Апробация метода восстановленного запаса рыб по тесту ИКЕС и совершенствование метода для определения численности пополнения // Вопр. рыболовства. Т. 7. № 2(26). С. 332.
- Матковский А.К. 2014. Определение смертности и численности рыб с использованием стандартизированного улова, данных по селективности и интенсивности промысла // Вестн. рыбохоз. науки. Т. 1. № 4(4). С. 35.
- Матковский А.К. 2019а. Причины сокращения запасов полупроходных сиговых рыб Обь-Иртышского бассейна // Вестн. рыбохоз. науки. Т. 6. № 1(21). С. 27.
- Матковский А.К. 2019б. Построение зависимостей для расчета коэффициентов естественной смертности рыб // Современное состояние водных биоресурсов. Матер. V Междунар. конф. (27–29 ноября 2019 г., г. Новосибирск). Новосибирск: Новосибирский гос. аграрный университет. С. 97.
- Матковский А.К. 2019в. Ограничения и возможности использования вероятностной когортной модели для определения численности рыб // Вопр. рыболовства. Т. 20. № 2. С. 253.
- Матковский А.К., Убаськин А.В., Кочетков П.А. 1990. Влияние хищных рыб реки Оби на численность нерестовых стад сиговых рыб // Тез. докл. четвертого Всесоюз. совещ. по биологии и биотехнике разведения сиговых рыб (ноябрь 1990 г., г. Вологда). Л.: ГосНИИ оз. и реч. хоз-ва. С. 53.
- Матковский А.К., Степанов С.И., Вылежинский А.В. 2008. Зимний замор рыбы в Обской губе // Рыбоводство и рыбное хозяйство. № 12. С. 36.
- Матковский А.К., Красноперова Т.А. 2022. Рост муксуна Coregonus muksun в различных условиях водности р. Обь // Биология внутр. вод. № 3. С. 278. https://doi.org/10.31857/S0320965222030147
- Мина М.В. 2015. Эволюционные аспекты рыбохозяйственных исследований // Тр. ВНИРО. Т. 156. С. 106.
- Москаленко Б.К. 1958. Биологические основы эксплуатации и воспроизводства сиговых рыб Обского бассейна // Тр. Обь-Тазовского отд. ВНИОРХ. Нов. серия. Тюмень: Тюмeн. кн. изд-во. Т. 1.
- Никольский Г.В. 1965. Теория динамики стада рыб. М.: Наука.
- Полымский В.Н. 1986. Естественная и промысловая смертность полупроходных сиговых рыб Обского бассейна в период анадромной миграции // Сб. науч. тр. ГосНИИ оз. и реч. хоз-ва. Вып. 243. С. 30.
- Решетников Ю.С. 1966. Особенности роста и созревания сигов в водоемах Севера // Закономерности динамики численности рыб Белого моря и его бассейна. М.: Наука. С. 93.
- Решетников Ю.С. 1967. Периодичность размножения у сигов // Вопр. ихтиологии. Т. 7. Вып. 6(47). С. 1019.
- Решетников Ю.С., Паранюшкина Л.П., Кияшко В.И. 1970. Сезонные изменения белкового состава сыворотки крови и жирности сигов // Вопр. ихтиологии. Т. 10. Вып. 6(65). С. 1065.
- Решетников Ю.С., Белянина Т.Н., Паранюшкина Л.П. 1971. Характер жиронакопления и созревание сигов // Закономерности роста и созревания рыб. М.: Наука. С. 60.
- Решетников Ю.С., Терещенко В.Г., Лукин А.А. 2011. Динамика рыбной части сообщества в изменяющихся условиях среды обитания (на примере оз. Имандра) // Рыб. хоз-во. № 6. С. 48.
- Рихтер В.А., Ефанов В.Н. 1977. Об одном из подходов к оценке естественной смертности рыбных популяций // Тр. АтлантНИРО. Вып. 73. С. 75.
- Селюков А.Г. 2002. Репродуктивная система сиговых рыб (Coregonidae, Salmoniformes) как индикатор состояния экосистемы Оби. 2. Половые циклы муксуна Coregonus muksun // Вопр. ихтиологии. Т. 42. № 2. С. 225.
- Семенченко С.М., Смешливая Н.В. 2017. О причинах летних локальных заморов в старицах Иртыша // Вестн. рыбохоз. науки. Т. 4. № 2(14). С. 14.
- Соколовский А.С. 1973. К методике определения естественной смертности у рыб // Тр. ТИНРО. Вып. 4. С. 142.
- Третьяк В.Л. 1984. Метод оценки коэффициентов естественной смертности рыб в разном возрасте (на примере арктонорвежской трески). Экология биологических ресурсов Северного бассейна и их промысловое использование // Сб. науч. тр. ПИНРО Мурманск: ПИНРО. С. 85.
- Тюрин П.В. 1962. Фактор естественной смертности рыб и его значение при регулировании рыболовства // Вопр. ихтиологии. Т. 2. Вып. 3. С. 403.
- Тюрин П.В. 1972. “Нормальные” кривые переживания и темпов естественной смертности рыб как теоретическая основа регулирования рыболовства // Тр. ГосНИИ оз. и реч. хоз-ва. Т. 71. С. 71.
- Тяптиргянов М.М. 2016. Изменение рыбного населения пресноводных водоемов Якутии в условиях антропогенного загрязнения. М.: Изд-во ООО “Полиграф-плюс”.
- Чаликов Б.Г. 1931. Из биологии муксуна бассейна р. Оби в связи с вопросом его охраны. Томск: Биол. факультет Томск. гос. ун-та. Т. 3. С. 316.
- Шатуновский М.И. 1980. Экологические закономерности обмена веществ морских рыб. М.: Наука.
- Шишмарев В.М. 1979. Морфологическая характеристика некоторых видов рыб бассейна реки Северной Сосьвы // Морфологические особенности рыб Бассейна реки Северной Сосьвы. Свердловск: Уральск. науч. центр АН СССР. С. 38.
- Alverson D., Carney M. 1975. A Graphic Review of the Growth and Decay of Population Cohorts // Journal du Conseil International pour l’Exploration de la Mer. V. 36(2). P. 133. https://doi.org/10.1093/icesjms/36.2.133
- Chen S., Watanabe S. 1989. Age Dependence of Natural Mortality Coefficient in Fish Population Dynamics // Nippon Suisan Gakkaishi. V. 55. P. 205.
- Charnov E.L., Gislason H., Pope J.G. 2013. Evolutionary assembly rules for fish life histories // Fish and Fishery. V. 14. P. 213. https://doi.org/10.1111/j.1467-2979.2012.00467.x
- Gislason H., Daan N., Rice J.C., Pope J.G. 2010. Size, growth, temperature and the natural mortality of marine fish // Fish and Fisheries. V. 11. № 2. P. 149. https://doi.org/10.1111/j.1467-2979.2009.00350.x
- Gunderson D.R., Dygert P.H. 1988. Reproductive Effort as a Predictor of Natural Mortality Rate // Journal du Conseil International pour l’Exploration de la Mer. V. 44. P. 200. https://doi.org/10.1093/icesjms/44.2.200
- Hamel O.S. 2015. A method for calculating a meta-analytical prior for the natural mortality rate using multiple life history correlates // ICES J. Mar. Sci. V. 72. № 1. P. 62.
- Hewitt D., Hoenig J. 2005. Comparison of two approaches for estimating natural mortality based on longevity // Fish. Bull. V. 103. P. 433.
- Hoenig J. 1983. Empirical Use of Longevity Data to Estimate Mortality Rates // Fish. Bull. V. 81. P. 893.
- Jacobsen N.S., Thorson J.T., Essington T.E. 2019. Detecting mortality variation to enhance forage fish population assessments // ICES J. Mar. Sci. V. 76. № 1. P. 124. https://doi.org/10.1093/icesjms/fsy160
- Jensen A. 1996. Beverton and Holt Life History Invariants Result from Optimal Trade-Off of Reproduction and Survival // Can. J. Fish and Aquat. Sci. V. 53. P. 820. https://doi.org/10.1139/f95-233
- Kenchington T.J. 2014. Natural mortality estimators for information-limited fisheries // Fish and Fisheries. V. 41. № 1. P. 31. https://doi.org/10.1111/faf.12027
- Lee H.H., Maunder M.N., Piner K.R., Methot R.D. 2011. Estimating natural mortality within a fisheries stock assessment model: an evaluation using simulation analysis based on twelve stock assessments // Fisheries Res. V. 109. P. 89. https://doi.org/10.1016/j.fishres.2011.01.021
- Lorenzen K. 1996. The Relationship between Body Weight and Natural Mortality in Juvenile and Adult Fish: A Comparison of Natural Ecosystems and Aquaculture // J. Fish Biol. V. 49. P. 627.
- Matkovskiy A.K. 2014. The influence of the hydrological regime on populations of whitefish in the Ob basin // 12th International Symposium on the Biology and Management of Coregonid fishes (25–30 August, 2014, Irkutsk, Listvyancka, Russia). P. 50.
- Pauly D. 1980. On the Interrelationships between Natural Mortality, Growth Parameters, and Mean Environmental Temperature in 175 Fish Stocks // Journal du Conseil International pour l’Exploration dela Mer. V. 39(2). P. 175. https://doi.org/10.1093/icesjms/39.2.175
- Peterson I., Wroblewski J. 1984. Mortality Rate of Fishes in the Pelagic Ecosystem // Can. J. Fish and Aquat. Sci. V. 41. P. 1117. https://doi.org/10.1139/f84-131
- Pope J.G., Gislason H., Rice J.C., Daan N. 2021. Scrabbling around for understanding of natural mortality // Fishe-ries Res. V. 240. https://doi.org/10.1016/j.fishres.2021.105952
- Punt A.E., Castillo-Jordán C., Hamel O.S. et al. 2021. Consequences of error in natural mortality and its estimation in stock assessment models // Fisheries Res. V. 233. https://doi.org/10.1016/j.fishres.2020.105759
- Then A.Y., Hoenig J.M., Hall N.G., Hewitt D.A. 2015. Evaluating the predictive performance of empirical estimators of natural mortality rate using information on over 200 fish species // ICES J. Mar. Sci. V. 72. № 1. P. 82. https://doi.org/10.1093/icesjms/fsu136
- Thorson J.T., Monnahan C.C., Cope J.M. 2015. The potential impact of time-variation in vital rates on fisheries management targets for marine fishes // Fisheries Res. V. 169. P. 8. https://doi.org/10.1016/j.fishres.2015.04.007
Supplementary files





