The Genus Hydrocharis L. (Hydrocharitaceae): Community Ecology, and Tolerance to Abiotic Factors
- Autores: Efremov A.N.1, Sviridenko B.F.2, Li Z.Z.3, Mesterhazy A.4, Chatchuangh E.N.5, Toma C.6, Grishina V.S.2, Murashko Y.A.7
-
Afiliações:
- Research Center for Fundamental and Applied Problems of Bioeсology and Biotechnology, Ulyanovsk State Pedagogical University
- Omsk State Pedagogical University
- Key Laboratory of Aquatic Botany and Watershed Ecology, Wuhan Botanical Garden, Chinese Academy of Sciences
- Directorate of Hortobagy National Park
- National Herbarium of Cameroon, Agricultural Research Institute
- Independent researcher
- Surgut State University
- Edição: Nº 3 (2023)
- Páginas: 325-336
- Seção: ВЫСШАЯ ВОДНАЯ РАСТИТЕЛЬНОСТЬ
- URL: https://ogarev-online.ru/0320-9652/article/view/134921
- DOI: https://doi.org/10.31857/S0320965223030051
- EDN: https://elibrary.ru/PHAWZY
- ID: 134921
Citar
Texto integral
Resumo
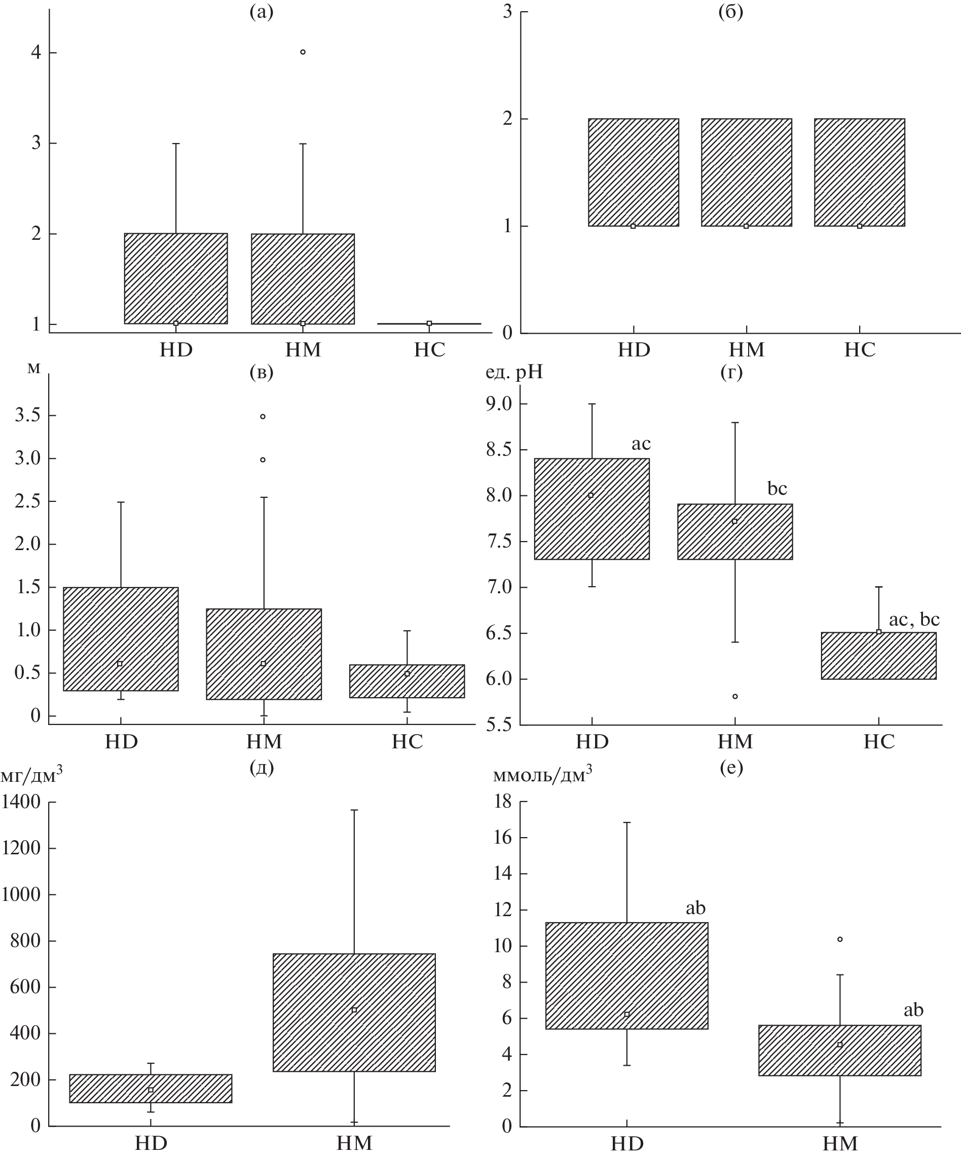
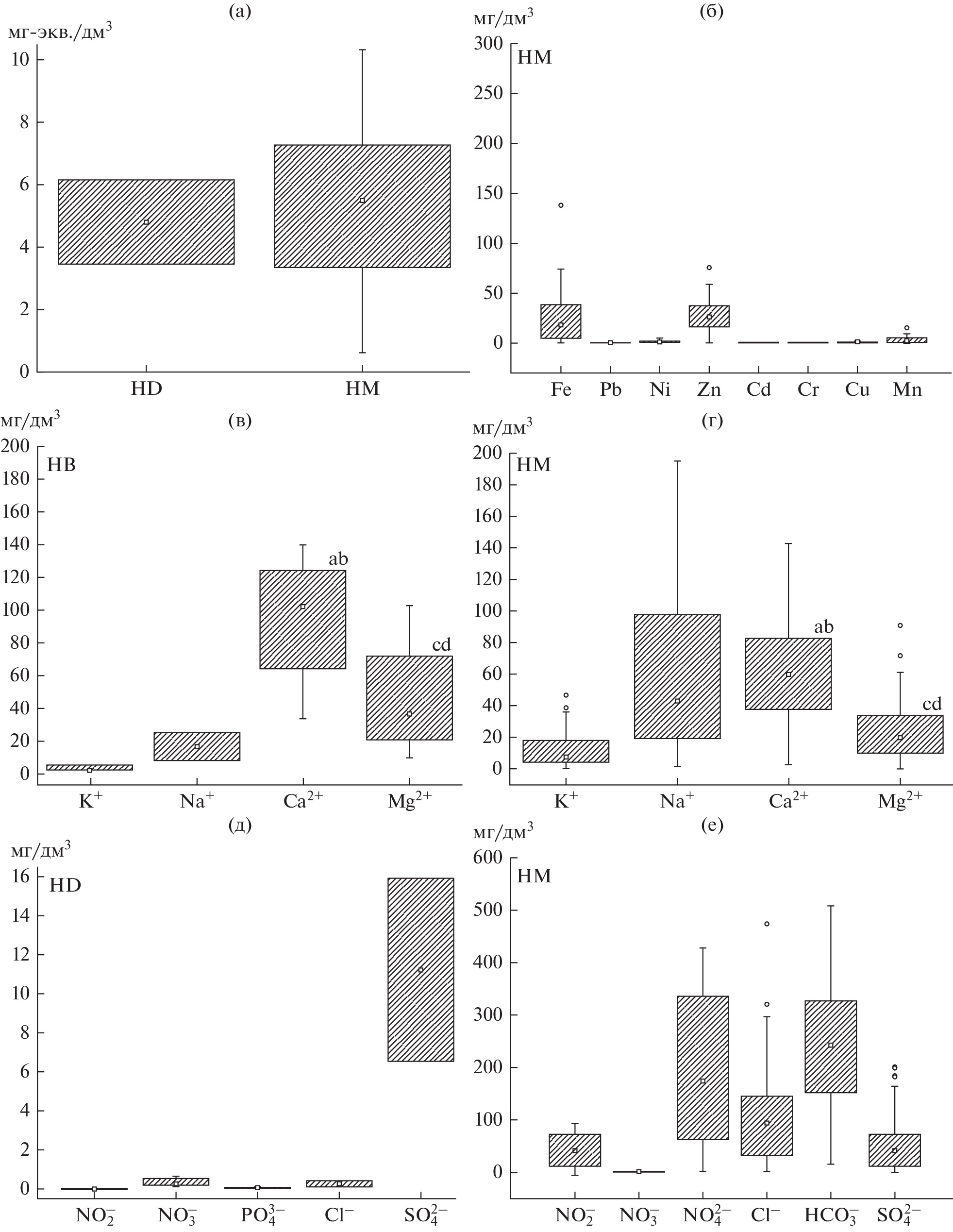
The genus Hydrocharis L. combines free-floating, occasionally rooting obligate pleistophytes and rooting hydrohelophyte, which are edificators and subedificators in freshwater vegetation communities. How ecologically similar are these closely related species? It has been found that Hydrocharis dubia (Blume) Backer. and H. morsus-ranae L. are conditionally freshwater alkaliphilic mesoeutrophic, ortho-, mesoalluviophilic detrito-, psammopelophiles. Ecologically H. chevalieri (De Wild.) is isolated, it is a freshwater acidoneutrophilic meso-, mesoeutrophic, ortho-mesoalluvialophilic species indifferent to the mechanical composition of bottom sediments. The coenocomplex of H. chevalieri is characterized by abundance of helophyte communities; in the composition of the coenocomplex of two other species hydatophyte and pleistophyte communities play a key role. Communities with species of the genus Hydrocharis are characterized by simple synmorphology, relatively high species richness, and a high proportion of low-abundance species.
Palavras-chave
Sobre autores
A. Efremov
Research Center for Fundamental and Applied Problems of Bioeсology and Biotechnology,Ulyanovsk State Pedagogical University
Autor responsável pela correspondência
Email: stratiotes@yandex.ru
Russia, Ulyanovsk
B. Sviridenko
Omsk State Pedagogical University
Email: stratiotes@yandex.ru
Russia, Omsk
Zhi Li
Key Laboratory of Aquatic Botany and Watershed Ecology, Wuhan Botanical Garden,Chinese Academy of Sciences
Email: stratiotes@yandex.ru
China, Wuhan
A. Mesterhazy
Directorate of Hortobagy National Park
Email: stratiotes@yandex.ru
Hungary, Debrecen
E. Chatchuangh
National Herbarium of Cameroon, Agricultural Research Institute
Email: stratiotes@yandex.ru
Cameroon, Yaounde
C. Toma
Independent researcher
Email: stratiotes@yandex.ru
Poland, Katowice
V. Grishina
Omsk State Pedagogical University
Email: stratiotes@yandex.ru
Russia, Omsk
Yu. Murashko
Surgut State University
Email: stratiotes@yandex.ru
Russia, Surgut
Bibliografia
- Александрова В.Д. 1969. Классификация растительности: обзор принципов классификации и классификационных схем в разных геоботанических школах. Л.: Наука.
- Бобров А.А., Чемерис Е.В. 2006. Синтаксономический обзор растительных сообществ ручьев, малых и средних рек Верхнего Поволжья // Матер. VI Всерос. шк.-конф. по водным макрофитам “Гидроботаника 2005”. Рыбинск: ОАО Рыбинский Дом печати. С. 116.
- Василевич В.И. 1985. О методах классификации растительности // Ботан. журн. Т. 70(12). С. 1596.
- Вехов Н.В. 1994. Расширение ареалов водных сосудистых растений в связи с антропогенным воздействием в таежной зоне Архангельской области (Россия) // Ботан. журн. Т. 79(5). С. 72.
- Ефремов А.Н., Свириденко Б.Ф. 2012. Ресурсы Stratiotes aloides (Hydrocharitaceae) в долинах рек бассейна Среднего Иртыша // Раст. ресурсы. № 8(2). С. 202.
- Катанская В.М., Распопов И.М. 1983. Методы изучения высшей водной растительности // Руководство по методам гидробиологического анализа поверхностных вод и донных отложений. Л.: Гидрометеоиздат. С. 129.
- Киприянова Л.М. 2019. Водная и прибрежно-водная растительность юго-востока Западной Сибири: синтаксономия и эколого-географические закономерности распространения: Дис. … докт. биол. наук: 03.02.01 – Ботаника. Барнаул.
- Кривохарченко И.С., Жмылев П.Ю., Белякова Г.А. 1995. Водокрас лягушачий // Биологическая флора Московской области. Вып. 11. М.: Аргус. С. 56.
- Лихачева Т.В. 2007. Эколого-фитоценотические закономерности распределения растительного покрова водохранилищ Удмуртской Республики: Дис. … канд. биол. наук: 03.02.16 – Экология. Ижевск.
- Макрофиты – индикаторы изменений природной среды. 1993. Киев: Наук. думка.
- Папченков В.Г. 2001. Растительный покров водоемов и водотоков Среднего Поволжья. Ярославль: ЦМП МУБиНТ.
- Свириденко Б.Ф. 2000. Флора и растительность водоемов Северного Казахстана. Омск: Изд-во ОмГПУ.
- Свириденко Б.Ф., Мамонтов Ю.С., Свириденко Т.В. 2011. Использование гидромакрофитов в комплексной оценке экологического состояния водных объектов Западно-Сибирской равнины. Омск: Амфора.
- Хитун О.В., Ребристая О.В. 1998. Растительность и эколого-топологическая структура флоры окрестностей мыса Хноросале (арктические тундры Гыданского полуострова) // Бот. журн. № 83 (12). С. 21.
- Чепинога В.В. 2015. Флора и растительность водоемов Байкальской Сибири. Иркутск: Ин-т географии СО РАН.
- Ямалов С.М., Голованов Я.М., Бактыбаева З.Б., Петров С.С. 2014. Водная растительность Южного Урала (Республика Башкортостан). I. Классы Lemnetea и Charetea // Раст. России. № 24. С. 124.
- Cao Q.-J., Mei F.-F., Wang L. 2017. Population genetic structure in six sympatric and widespread aquatic plants inhabiting diverse lake environments in China // Ecol. Evol. V. 7(15). P. 1. https://doi.org/10.1002/ece3.3141
- Catling P.M., Dore W.G. 1982. Status and identification of Hydrocharis morsus-ranae and Limnobium spongia (Hydrocharitaceae) in Northeastern North America // Rhodora. V. 84(840). P. 523.
- Catling P.M., Mitrow G., Haber E. et al. 2003. The biology of Canadian weeds. 124. Hydrocharis morsus-ranae L. // Can. J. Plant Sci. V. 83. P. 1001.
- Cook C.D.K., Lüönd R. 1982. A revision of the genus Hydrocharis (Hydrocharitaceae) // Aquat. Bot. V. 14. P. 177. https://doi.org/10.1016/0304-3770(82)90097-3
- Cook C.D.K., Urmi-König K. 1983. A revision of the genus Limnobium including Hydromystria (Hydrocharitaceae) // Aquat. Bot. V. 17. P. 1.
- Efremov A.N., Grishina V.S., Kislov D.E. et al. 2020. The genus Hydrocharis L. (Hydrocharitaceae): distribution features and conservation status // Botanica Pacifica. A Journal of Plant Science and Conservation. V. 9(2). P. 83. https://doi.org/10.17581/bp.2020.09215
- Efremov A.N., Grishina V.S., Toma C. et al. 2021. Comparative morphology of the genus Hydrocharis L. (Hydrocharitaceae) // Inland Water Biol. V. 14 (6). P. 638. https://doi.org/10.1134/S1995082921060031
- Ganie A.H., Bashir A., Khuroo A.A. et al. 2016. A new record of an invasive aquatic plant Hydrocharis morsus-ranae (Hydrocharitaceae), reaching to the Kashmir Himalaya // J. Japanese Bot. V. 91. P. 100.
- Guiry M.D., Guiry G.M. 2022. AlgaeBase. World-wide electronic publication, National University of Ireland, Galway. https://www.algaebase.org (дата обращения: 12.02.2022).
- Haynes R.R. 2001. Hydrocharitaceae // Flora of Thailand. Bangkok. V. 7. P. 365.
- Jacops S.W.L., McColl K.A. 2011. Hydrocharitaceae // A. Wilson (ed.) Flora of Australia. V. 39. Alismatales to Arales. Department of Sustainability, Environment, Water, Population and Communities. ABRS/CSIRO, Melbourne, Australia.
- Kaplan Z., Danihelka J., Chrtek J., Jr. et al. 2018. Distributions of vascular plants in the Czech Republic. Part 7 // Preslia. V. 90. P. 425.
- Kim G.-Y., Kim J.Y. 2014. Standing crop distribution of aquatic plants in the west Nakdong River and Riparian Wetlands in the Nakdong River // Korean J. Environ. Ecol. V. 47(1). P. 62. https://doi.org/10.11614/KSL.2014.47.1.062
- Li Zh.-Zh., Gichira A.W., Efremov A. et al. 2022. Plastome phylogenomics and historical biogeography of aquatic plant genus Hydrocharis (Hydrocharitaceae) // BMC Plant Biology. V. 22. P. 106. https://doi.org/10.1186/s12870-022-03483-2
- Lim J.-Ch., An K.-Wh., Lee Ch.-W. et al. 2016. Distribution patterns of hydrophytes by water depth distribution in Mokpo of Upo Wetland // Korean J. Environ. Ecol. V. 30. № 3. P. 308. https://doi.org/10.13047/KJEE.2016.30.3.308
- Lobato‑de Magalhães T., Murphy K., Efremov A. et al. 2022. How on Earth did that get there? Biogeographic and human influences on the global origins and distribution of aquatic macrophytes // Hydrobiologia. https://doi.org/10.1007/s10750-022-05107-0
- Lolu A.J., Shah M.A., Reshi Z.A. et al. 2016. Study on phytosociology and biomass changes (above-ground and below-ground) of emergent macrophytes in Hokersar wetland of Kashmir Himalaya // J. Environ. Sci., Toxicol. Food Technol. V. 10(11). P. 20.
- Lubini A. 1983. Association herbeuse aquatique à Hydrocharis chevalieri dans la région de Kisangani (Haut-Zaïre) // Bulletin van de Nationale Plantentuin van België. V. 53 (3/4). P. 331.
- Murphy K., Efremov A., Davidson T.A. et al. 2019. World distribution, diversity and endemism of aquatic macrophytes // Aquat. Bot. V. 158. P. 103.
- Nowell A.A., Fletcher A.W. 2006. Food transfers in immature wild western lowland gorillas (Gorilla gorilla gorilla) // Primates. V. 47. P. 294.
- Oki Y. 1994. Integrated management of aquatic weeds in Japan // Integrated management of paddy and aquatic weeds in Asia. Proceedings of an international seminar, Tsukuba, Japan, 19–25 October 1992. P. 96.
- Passarge H. 1996. Pflanzengesellschaften Nordostdeutsch-lands. 1. Hydro- und Therophytosa. Berlin: J. Cramer.
- Pindel Z., Wozniak L. 1998. Natural conditions for presence of some ornamental water and peatbog plants. Fol Univ Agric Stetin 187 // Agricultura. V. 70. P. 83.
- Schweingruber F.H., Kucerová A., Adamec L., Doležal Ji. 2020. Anatomic atlas of aquatic and wetland plant stems. Cham: Springer Nature.
- Skwierawski A., Skwierawska M. 2013. The role of Hydrocharitetum morsus-ranae in shaping the chemical composition of Surface Waters // Pol. J. Environ. Stud. 22 (6). P. 1825.
- Siraj S., Yousuf A.R., Parveen M. 2011. Spatio-temporal dynamics of macrophytes in relation to ecology of a Kashmir Himalayan Wetland // Int. Res. J. Biochem. Bioinfor. V. 1(4). P. 084.
- Sosef M.S.M. 2017. Hydrocharitaceae // Flore du Gabon. V. 50: Anacardiaceae, Hydrocharitaceae, Piperaceae. Leiden: Joseph Margraf. P. 52.
- Symoens J.-J. 2015. Hydrocharitaceae // Flore d’Afrique Centrale. Meise: Jardin botanique Meise.
- Temgoua L.F., Momo Solefack M.C., Mevoungou M.-V. et al. 2018. Caractérisation de la végétation des clairières sur sol hydromorphe du Parc National de Lobéké, Est-Cameroun // Int. J. Biol. Chem. Sci. V. 12(3). P. 1364.
- Toivonen H. 1985. Changes in the pleustic macrophyte flora of 54 small Finnish lakes in 30 years // Ann. Bot. Fenn. V. 22(1). P. 37. http://www.jstor.org/stable/23725290
- Tsuchiya T. 1989. Growth and biomass turnover of Hydrocharis dubia L. cultured under different nutrient conditions // Ecol. Res. V. 4. P. 157.
- Vegetace Česke republiky. 3, Vodni a mokřadni vegetace = Vegetation of the Czech Republic. 3, Aquatic and wetland vegetation. 2011. Praha: Academia. Vyd. 1.
- Zhu B., Ottaviani C.C., Naddafi R. et al. 2018. Invasive European frogbit (Hydrocharis morsus-ranae L.) in North America: an updated review 2003–2016 // J. Plant Ecol. V. 11(1). P. 17. https://doi.org/10.1093/jpe/rtx031
- Zutshi D.P., Vass K.K. 1971. Ecology and Production of Salvinia natans Hoffim; in Kashmir // Hydrobiologia. V. 38. № 2. P. 303.
Arquivos suplementares




