Новый морфологический каталог кратеров Меркурия
- Authors: Феоктистова Е.А.1, Родионова Ж.Ф.1, Майкл Г.Г.2, Завьялов И.Ю.3, Козлова Н.А.3
-
Affiliations:
- Государственный астрономический институт им. П.К. Штернберга Московского государственного университета им. М.В. Ломоносова
- Center for Lunar and Planetary Sciences, CAS Institute of Geochemistry
- Московский государственный университет геодезии и картографии
- Issue: Vol 59, No 1 (2025)
- Pages: 27-38
- Section: Articles
- URL: https://ogarev-online.ru/0320-930X/article/view/289440
- DOI: https://doi.org/10.31857/S0320930X25010021
- EDN: https://elibrary.ru/LQGAXI
- ID: 289440
Cite item
Abstract
Новый Морфологический каталог кратеров Меркурия был создан в ГАИШ МГУ совместно с МИИГАиК по данным КА MESSENGER. Этот каталог включает информацию о координатах, диаметрах и морфологии 12365 кратеров с диаметрами ≥10 км. Для создания каталога использовались данные Каталога кратеров Меркурия, подготовленного в Университете Брауна (США) и глобальная мозаика изображений поверхности Меркурия по данным КА MESSENGER. Анализ нового Морфологического каталога показал, что большинство кратеров Меркурия диаметром ≥10 км имеют сглаженный или частично разрушенный гребень вала и плоское дно. В статье приведено подробное описание морфологических признаков кратеров Меркурия. В табл. 1 указано процентное отношение количества кратеров с теми или иными признаками на Меркурии и Луне. Оказалось, что хорошо сохранившихся кратеров на Луне значительно больше, чем на Меркурии. Большинство кратеров Меркурия имеют террасы и обрушения на внутренних склонах (65%, в отличие от 7% лунных кратеров). Подробно представлено соотношение кратеров разной степени сохранности вала, кратеров с террасами и обрушениями в зависимости от диаметров.
Keywords
Full Text
ВВЕДЕНИЕ
Изображения поверхности Меркурия были получены в результате работы двух КА: Mariner-10, который три раза сближался с планетой в период 1974–1975 гг., и MESSENGER, который работал на орбите Меркурия с 2011 по 2015 гг. В результате полета КА Mariner-10 было получено более 2800 фотоизображений планеты, построены карты 45% ее поверхности (западного полушария). Более ранние исследования, сравнивавшие морфологию и форму кратеров на Меркурии и Луне, фокусировались в основном на характеристиках внутренней структуры, таких как центральное поднятие, глубина кратера, высота его вала, террасы на склонах (Head III, 1976; Oberbeck и др., 1977; Pike, 1988). Один из первых каталогов кратеров западного полушария Меркурия, по данным Mariner-10, вышел в 1977 г. (Липский и др., 1977). В 2011 г. были изданы каталоги кратеров всей поверхности Меркурия (Fassett и др., 2011; Herrick и др., 2011). В каждом каталоге авторы обычно использовали собственную систему морфологических параметров. В каталоге, созданном в Геофизическом институте Университета Аляски (Herrick и др., 2011; 2018) помимо координат и размеров кратеров были указаны следующие морфологические характеристики.
- Степень сохранности: свежие, стандартные и разрушенные.
- Строение вала и склонов: круговое, фестончатое, наличие террас.
- Внутренняя форма: простая, с плоским дном, присутствие центрального пика, центрального хребта, много пиков, кольцевое скопление пиков, протобассейн и кольцо пиков.
- Выбросы: яркая лучевая система, выбросы в форме крыльев бабочки, темные выбросы.
- Дополнительные особенности: эллиптическая форма, ямки на дне, впадины, яркие отложения внутри кратера, темные отложения внутри кратера, затененная часть внутренней поверхности кратера, ямки на центральном поднятии, ямки в центре дна и другие особенности.
СИСТЕМА ОПИСАНИЯ МОРФОЛОГИИ КРАТЕРОВ
Новый Морфологический каталог кратеров Меркурия (Каталог кратеров Меркурия по данным КА MESSENGER для сайта.xlsx (live.com), доступ открытый) содержит описание морфологии 12365 кратеров с диаметром ≥10 км (рис. 1). Данные о координатах и диаметрах 8775 кратеров с диаметрами >20 км были получены из Каталога кратеров Меркурия, созданного в Университете Брауна, США (Fassett и др., 2011). Координаты и диаметры остальных 3590 кратеров были получены с помощью глобальной мозаики изображений поверхности Меркурия по данным КА MESSESNGER: https://astrogeology.usgs.gov/search/map/Mercury/Messenger/Global/Mercury_MESSENGER_MDIS_Basemap_LOI_Mosaic_Global_166 m с разрешением 665 м/пиксель и первой глобальной цифровой модели рельефа Меркурия с разрешением ~222 м/ пиксель (Johnson, Hauck, 2016). Положение и диаметры кратеров определялись автоматически с помощью пакета ArcGIS. Точность определения координат этих кратеров составила 0.1°.
Рис. 1. Распределение кратеров с D ≥ 10 км, входящих в новый Морфологический каталог по поверхности Меркурия. Средняя плотность кратеров с диаметрами ≥10 км на поверхности Меркурия 165 кратеров на 1 млн км2.
При создании нового Морфологического каталога кратеров Меркурия по данным КА MESSENGER была использована система описания морфологии кратеров, разработанная в ГАИШ МГУ. Эта система c некоторыми вариациями ранее использовалась для создания морфологических каталогов кратеров Луны (Родионова и др., 1987), Марса (Rodionova и др., 2000) и Меркурия (Sitnikov и др., 2004). Для описания морфологии кратеров использовались 10 морфологических признаков: 1) четкость или степень сохранности вала; 2) наличие террас и обрушений на внутренних склонах кратеров; 3) наличие и характер вала кратера; 4) наличие горок, пиков, центральных и кольцевых хребтов на дне кратера; 5) наличие цепочек мелких кратеров и трещин на дне; 6) характер дна кратера; 7) наличие лавы на дне; 8) наличие лучевой системы; 9) характер подстилающей поверхности; 10) особенности кратеров. Каждый из признаков включал в себя ряд подпризнаков (табл. 1).
Таблица 1. Система морфологического описания кратеров
Морфологические признаки | Обозначение | Семантическое значение | % кратеров | |
Меркурий | Луна | |||
Класс сохранности | 1 | очень четкий вал | 2.3 | 19.1 |
2 | четкий вал | 15 | 27.3 | |
3 | сглаженный вал | 37.3 | 26.9 | |
4 | разрушенный вал | 31.2 | 20.9 | |
5 | полностью разрушенный вал | 14.2 | 5.8 | |
Террасы и обрушения | 0 | нет террас и обрушений | 3.8 | 90.3 |
1 | неясно | 31.3 | 2.3 | |
2 | терраса | 22 | 3.2 | |
3 | обрушение | 14.4 | 2.7 | |
4 | терраса и обрушение | 2.3 | 1.3 | |
5 | много террас | 24.5 | 0.2 | |
6 | много террас и обрушение | 1.7 | 0 | |
Характер вала | 0 | нет вала | 4.1 | 0.1 |
1 | неясно | 7.3 | 0 | |
2 | вал | 78 | 95.4 | |
3 | массивный вал | 10.6 | 4.5 | |
Центральное поднятие (горки, пики, хребты) | 0 | нет | 14 | 54.2 |
1 | неясно | 46.4 | 24.6 | |
2 | горка | 5.3 | 4.6 | |
3 | много горок | 21.1 | 8.3 | |
4 | пик | 1.9 | 3.2 | |
5 | пик и горка | 0.9 | 0.1 | |
6 | пик и много горок | 4.4 | 0.6 | |
7 | много пиков | 0.7 | 1.5 | |
8 | много пиков и горка | 0.04 | 0 | |
9 | много пиков и горок | 3 | 0.1 | |
10 | хребет | 0.4 | 2.4 | |
11 | хребет и горка | 0.1 | 0.1 | |
12 | хребет и много горок | 0.6 | 0.3 | |
13 | хребет и пик | 0.02 | 0.1 | |
14 | хребет и много пиков | 0.1 | 0.1 | |
Цепочки и трещины | 0 | нет цепочек и трещин | 5.8 | 60.1 |
1 | неясно | 52.2 | 26.1 | |
2 | цепочка кратеров | 18.7 | 11.9 | |
3 | много цепочек | 22.9 | 0.1 | |
4 | трещина | 0.2 | 1.1 | |
5 | цепочка и трещина | 0.2 | 0.6 | |
6 | много цепочек | 0.1 | 0.1 | |
7 | много цепочек и трещина | 0.01 | 0 | |
Характер дна | 1 | неясно | 10.4 | 21.5 |
2 | ровное дно | 26.4 | 7.5 | |
3 | неровное дно | 63.1 | 71.5 | |
Лава на дне | 0 | нет лавы | 1.1 | 68.7 |
1 | неясно | 49.8 | 20.4 | |
2 | лава на дне | 37.1 | 10.8 | |
3 | все дно залито лавой | 12 | 0.1 | |
Лучевая система | 0 | нет лучевой системы | 98.7 | 99.7 |
1 | неясно | 0.1 | 0 | |
2 | лучевая система | 0.8 | 0.3 | |
Характер подстилающей поверхности | 1 | равнина | 18.2 | 3.2 |
2 | материк | 36.5 | 94.2 | |
3 | переходная зона | 45.5 | 2.6 | |
Особенности | 0 | без особенностей | 98.4 | |
1 | ямка или ямки на дне | 0.2 | ||
2 | эскарп | 1 | ||
3 | темное гало | 0.2 | ||
4 | кольцевой хребет | 0.7 | ||
5 | эллиптическая форма кратера | 0.2 | ||
На рис. 2. представлена схема расположения хорошо сохранившихся кратеров Меркурия 1-го и 2-го классов сохранности. Плотность распределения этих кратеров меньше, чем кратеров 3-го и 4-го классов сохранности, представленных на рис. 3. Плотность кратеров 1-го и 2-го классов сохранности – 28.8 кратеров на 1 млн км2. Плотность кратеров 3-го и 4-го классов сохранности 113 кратеров на 1 млн км2.
Рис. 2. Распределение кратеров 1-го и 2-го классов сохранности по поверхности Меркурия.
Рис. 3. Распределение кратеров 3-го и 4-го классов сохранности по поверхности Меркурия.
На Меркурии присутствуют три типа поверхности: равнины, материки и межкратерные равнины. В работе (Leake, 1982) показано сходство межкратерных равнин Меркурия и переходной зоны между материками и морями на Луне. Поэтому в Морфологическом каталоге мы использовали термин “переходная зона” для обозначения межкратерных равнин Меркурия. Переходная зона широко распространена на Меркурии, в отличие от Луны.
При создании каталога использовался модуль CraterTools пакета ArcGIS (Kneissl и др., 2011). Чтобы точнее локализовать кратеры и очертить их края, а также лучше рассмотреть их внутреннюю структуру, использовался дополнительный слой – отмывка рельефа, построенный на основе цифровой модели рельефа (ЦМР). Оцифровка кратеров проводилась по секторам. Количество кратеров варьируется в секторах из-за разной плотности кратеров. Например, на территории листа Н-9 оцифровано более 390 кратеров, а на Н-2 – около 210. В результате, в отличие от каталога (Fassett и др., 2017), в новом Морфологическом каталоге были существенно дополнены кратеры диаметром от 10 до 20 км.
Кратеры нового каталога были разделены на пять классов в зависимости от степени их сохранности. Кратеры с резко очерченным валом были классифицированы как кратеры 1-го класса сохранности (рис. 4); ко 2-му классу были отнесены кратеры с четким валом; кратеры 3-го класса имели сглаженный вал и плоское дно; к 4-му классу были отнесены кратеры с разрушенным валом, а к 5-му – кратеры-руины. Это разделение по классам сохранности во многом аналогично тому, которое было использовано в работе (Wood и др., 1977), в которой рассматривалась морфология 537 кратеров Меркурия с диаметрами ≥30 км. Наиболее свежие хорошо сохранившиеся кратеры были отнесены в работе (Wood и др., 1977) к 1-му классу сохранности, наиболее разрушенные – к 5-му. В морфологическое описание кратеров в новом каталоге был добавлен такой признак как характер вала кратера. Это связано с тем, что многие кратеры на Меркурии имеют мощный внешний вал. Также в описание морфологии кратеров был добавлен десятый признак – “особенности”, – включающий в себя наличие темного материала внутри или темного гало вокруг кратера (рис. 5); присутствие ямок в кратере; пересечение кратера эскарпом; эллиптическая форма кратера; наличие кольцевого хребта. Помимо данных о морфологии кратеров, в каталоге содержится информация об их глубине. Для определения глубины кратеров использовались данные высотного альтиметра MLA КА MESSENGER (Feoktistova и др., 2021).
Рис. 4. Кратер Бальзак (10.6° N; 144.7° W) 1-го класса сохранности (изображение получено КА MESSENGER https://messenger.jhuapl.edu/Explore/Images.html#of-mercury).
Рис. 5. Кратер Сьюз (7.7° N; 33.2° W) с темным гало (изображение получено КА MESSENGER https://messenger.jhuapl.edu/Explore/Images.html#of-mercury).
Пример зашифрованного описания кратера в каталоге показан для кратера Аленкар (рис. 6): 4259 – 63.5 103.5 120 2.4 2 5 3 9 0 3 2 0 3 0. Это означает, что кратер имеет номер 4259 в каталоге, координаты кратера: 63.5°S; 103.5°W, диаметр кратера – 120 км, глубина кратера – 2.4 км, кратер относится к 2-му классу сохранности, на склонах кратера присутствуют много террас, кратер имеет мощный внешний вал, на дне кратера много пиков и горок, цепочек кратеров или трещин на дне нет, кратер имеет неровное дно, есть лава на дне, лучевой системы нет, подстилающая кратер поверхность – переходная зона между материком и равнинами, особенностей у кратера нет.
Рис. 6. Кратер Аленкар (63.5°S; 103.5°W) (изображение получено на КА MESSENGER https://messenger.jhuapl.edu/Explore/Images.html#of-mercury).
РЕЗУЛЬТАТЫ АНАЛИЗА НОВОГО КАТАЛОГА
Площадь поверхности Меркурия достигает 74796748 км2. Средняя плотность кратеров Меркурия по нашим данным – 165 кратеров на 1 млн км2. Статистическая обработка кратеров Меркурия диаметром 10 км и более показала, что на Меркурии преобладают кратеры 3-й и 4-й степени сохранности (со сглаженным или частично разрушенным валом). Доля таких кратеров достигает ~69% от общего числа исследованных кратеров диаметром ≥10 км (табл. 1). Свежие кратеры (1-го и 2-го классов сохранности) составляют лишь ~17%, а самые старые (руины) ~14%. Значительное число кратеров Меркурия имеют террасы и обрушения на склонах (65% кратеров), что является отличительной особенностью этой планеты. Почти 39% кратеров имеют центральное поднятие, и только 11% кратеров имеют центральные пики (в таблице пики входят в центральное поднятие). Центральные хребты встречаются только у 1.2% кратеров, а 0.7% кратеров имеют кольцевые хребты. Значительная часть центральных поднятий представлена горками: они встречаются у 26.5% кратеров (табл. 1). На дне и склонах 40% кратеров можно увидеть цепочки мелких кратеров. Большинство кратеров Меркурия имеют неровное дно, причем около половины всех кратеров полностью или частично заполнены лавой. Несмотря на широкое распространение уступов на поверхности планеты, эти образования пересекают лишь 1% кратеров.
На рис. 7 показано распределение кратеров Меркурия по степени сохранности для всей поверхности и для различных районов планеты: материков, равнин и переходной зоны между материками и равнинами. Как видно из рисунка, на равнинах преобладают кратеры 3-го класса сохранности. Распределение кратеров по степени сохранности для всей поверхности планеты сходно с аналогичным распределением для материков.
Рис. 7. Распределение кратеров по степени сохранности для различных типов подстилающей поверхности на Меркурии. Цифрами обозначены классы сохранности кратеров.
Распределение кратеров по глубине в зависимости от типа подстилающей поверхности показано на рис. 8. Чтобы исключить влияние слоя лавы на конечную глубину кратера, мы рассматривали только те кратеры, которые не имеют лавы на дне. Мы учитывали только хорошо сохранившиеся кратеры (1-го класса сохранности по классификации данного каталога). Всего было исследовано 290 кратеров: 66 кратеров на равнинах, 112 кратеров на материках и 112 в переходной зоне. Диаметр большинства рассмотренных кратеров не превышает 40 км. Значения глубин для трех видов подстилающей поверхности лежат в пределах 0.07 до 3.9 км. Наибольшая глубина кратеров, расположенных в переходной зоне, достигает 3.9 км, наибольшая глубина кратеров, расположенных на материках – 2.7 км, на равнинах – 3 км (рис. 8). Отношение глубины кратера (h) к диаметру (D) для равнин находится в пределах 0.006–0.53, для материков h/D = 0.025–0.17, для переходной зоны h/D = 0.015–0.13. Таким образом, наибольшее значение величины h/D наблюдается у кратеров, расположенных на равнинах. Этот вывод не согласуется с заключением, сделанным в работе (Kalynn и др., 2013), что различия в глубине между кратерами, расположенными на различных типах подстилающей поверхности, обусловлены пористостью вещества поверхности. Согласно (Kalynn и др., 2013), кратеры, расположенные на лунных материках, глубже, чем кратеры, расположенные на морях. В работе (Fassett и др., 2017) был получен аналогичный вывод для кратеров Меркурия диаметром 2.5–5 км: кратеры, расположенные на равнинах Меркурия, оказались менее глубокими, чем кратеры на материках.
Рис. 8. Распределение кратеров Меркурия по глубине в зависимости от типа подстилающей поверхности.
СРАВНЕНИЕ МОРФОЛОГИИ КРАТЕРОВ МЕРКУРИЯ И ЛУНЫ
Мы сравнили морфологию кратеров Луны и Меркурия. Для этого мы использовали данные Нового морфологического каталога кратеров Меркурия и Морфологического каталога кратеров Луны (Родионова и др., 1987). Морфологический каталог кратеров Луны содержит информацию о почти 15000 кратерах с диаметром ≥10 км. Данные этого каталога были уточнены с учетом информации, полученной в результате работы недавних миссий, таких как КА LRO. Морфологические системы обоих каталогов имеют незначительные различия: в Морфологическом каталоге кратеров Луны отсутствует такой признак как “особенности”. При сравнении морфологии кратеров Луны и Меркурия мы использовали интервалы диаметров аналогично тому, как это было сделано в работе (Hartmann, 1968).
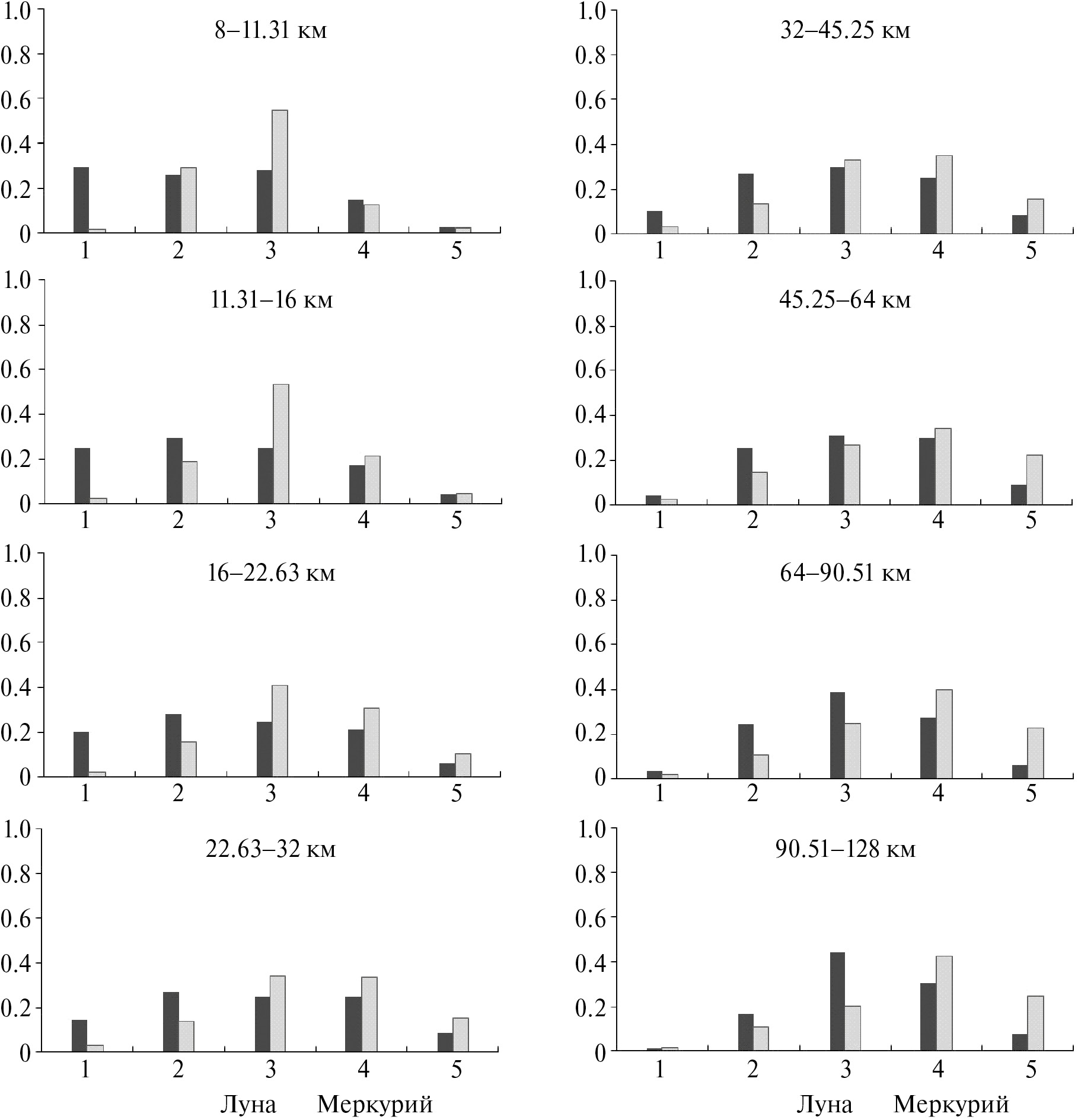
Результаты сравнения представлены в табл. 1 и на рис. 9 и 10. Было получено, что доля хорошо сохранившихся кратеров на Луне значительно больше, чем на Меркурии (рис. 9, табл. 1). На Луне большая часть хорошо сохранившихся кратеров (1-го и 2-го классов сохранности) имеют диаметр в интервале 8–22.63 км. Большая часть кратеров 3-го класса сохранности на Меркурии относятся к интервалу диаметров 8–45.25 км, на Луне такие кратеры относятся к интервалу диаметров 32–128 км. На обоих телах большая часть кратеров 4-го класса имеет диаметры в интервале 22.63–128 км. Доля кратеров-руин (5-го класса сохранности) на Меркурии в два раза больше, чем на Луне. Основной вклад в количество кратеров 5-го класса вносят кратеры, с диаметром в интервале 22.63–128 км. Большая часть лунных кратеров (90.3%) не имеют террас и обрушений на склонах (рис. 10). На Меркурии только 3.8% таких кратеров. Диаметры этих кратеров лежат в интервале 8–32 км. На обоих телах кратеры с террасами и обрушениями на склонах чаще имеют диаметры, которые лежат в интервале 32–128 км.
Рис. 9. Распределение кратеров Меркурия и Луны по степени сохранности. По вертикальной оси отложены доли кратеров. Число кратеров в заданном интервале диаметров принимается за 1.
Рис. 10. Распределение кратеров Меркурия и Луны по наличию террас и обрушений на склонах. По горизонтальной оси отложены номера подпризнаков в соответствии с табл. 1. Число кратеров в заданном интервале диаметров принимается за 1.
Значительная часть кратеров Меркурия (24.5%) имеет много террас на внутренних склонах. Большинство этих кратеров встречается в интервале диаметров 22.63–128 км. На Луне кратеры с несколькими террасами встречаются значительно реже: только 0.2%. При этом диаметры таких кратеров на Луне лежат в интервале 64–128 км. Доля кратеров с массивным валом и кратеров совсем без вала на Меркурии намного выше, чем на Луне. Более половины изученных лунных кратеров не имеют центрального поднятия, в то время как на Меркурии таких кратеров только 14% от общего числа кратеров диаметром ≥10 км. Кратеры с горками на дне на Меркурии встречаются чаще, чем на Луне. Доля кратеров с центральным хребтом на Луне выше, чем на Меркурии. Большая часть кратеров Луны не имеют цепочек кратеров и трещин на дне. На Меркурии таких кратеров только 5.8% (табл. 1). Большинство кратеров на Меркурии и Луне имеют неровное дно. При этом на Меркурии кратеры с ровным дном встречаются чаще. Более трети кратеров Меркурия имеют лаву на дне, а у 12% кратеров дно полностью залито лавой. На Луне таких кратеров только 0.1%. Большинство кратеров на обоих телах не имеет лучевой системы. Большая часть лунных кратеров расположена на материках (94.2%). На Меркурии доля кратеров, расположенных на материках, значительно меньше (36.5%, см. табл. 1). На морях и в переходной зоне между морями и материками находятся только 5.8% лунных кратеров. На Меркурии доля кратеров на равнинах в три раза выше (18.2%). При этом 45.5% кратеров Меркурия расположены в переходной зоне.
Различия в морфологии кратеров Меркурия и Луны могут быть объяснены следующими причинами: 1) дефекты изображений поверхности; 2) различия в свойствах поверхности в период формирования кратеров; 3) влияние различных процессов на морфологию кратеров: лунотрясения и аналогичные явления на Меркурии, вулканическая активность, тектоническая активность (следы этого явления хорошо заметны на Меркурии).
Сравнение морфологических характеристик кратеров Меркурия и Луны проводилось ранее в ряде работ (Wood и др., 1977; Cintala и др., 1977). В работе (Cintala и др., 1977) было отмечено, что распределение кратеров Меркурия по наличию и характеру террас и центральных поднятий имеет сходство с аналогичным распределением для лунных кратеров, расположенных на морях, и отличается от аналогичного распределения для лунных кратеров, расположенных на материках. На основании этого наблюдения в работе был сделан вывод о сходстве свойств поверхности межкратерных равнин Меркурия и морей на Луне. В работе (Cintala и др., 1977) было проанализировано влияние гравитации на образование центральных поднятий кратеров. Авторы пришли к выводу, что свойства подстилающей поверхности оказывают большее влияние на формирование центрального поднятия, чем сила тяжести на поверхности небесного тела.
Поверхность Меркурия была изучена в результате полетов только двух КА: Mariner-10 и MESSENGER. В результате были получены изображения поверхности планеты хорошего качества, но для некоторых областей таких изображений еще недостаточно. Предполагается, что недостаток изображений будет заполнен в результате работы КА Bepi-Colombo (https://sci.esa.int/web/bepicolombo/), который уже осуществил три пролета около Меркурия. КА Bepi-Colombo, запущенный 20 октября 2018 г., стал третьей миссией, предназначенной для исследования Меркурия. Это совместный проект ESA и JAXA. КА Bepi-Colombo доставит к Меркурию два самостоятельных аппарата, которые будут обращаться вокруг планеты на разных орбитах: Mercury Planetary Orbiter (MPO), разработанный ESA, и Mercury Magnetospheric Orbiter (MMO), разработанный JAXA. Европейский модуль МРО доставит к Меркурию 11 приборов, в том числе SYMBIO-SYS, являющийся интегрированной системой, состоящей из стереокамеры, камеры высокого разрешения и спектрометра видимого и ближнего инфракрасного диапазона. Полученные в результате работы этого прибора данные позволят исследователям провести картографирование всей поверхности Меркурия в спектральном диапазоне 400–2200 нм. Помимо этого, предполагается, что прибор позволит получить изображения поверхности планеты с разрешением до 400 м/пиксель в перигерме. Данные изображения могут быть использованы в дальнейшем для более точного описания морфологии кратеров Меркурия и уточнения созданного нами каталога. По плану аппарат достигнет цели в 2025–2026 гг. МРО будет летать на низкой полярной орбите на высотах от 480 до 1500 км с периодом ~2.3 ч. КА ММО предстоит обращаться по сильно вытянутой полярной орбите: в ближайшей точке орбиты до Меркурия будет 590 км, в самой далекой – 11640 км. Планируется, что аппараты проработают год, но при удачном стечении обстоятельств возможно продление миссии еще на год. Цели миссии Bepi-Colombo: изучить состав поверхности Меркурия и окружающего его пространства; оценить геологическую историю развития планеты; изучить химический состав поверхности и ее внутреннюю структуру; проанализировать происхождение магнитного поля и исследовать его взаимодействие с солнечным ветром; картировать распространенность водородсодержащих соединений и водяного льда в полярных областях. КА MPO выйдет на окончательную орбиту 14 марта 2026 г.
Некоторые морфологические черты кратеров, такие как террасы и обрушения на склонах, могли образоваться в момент формирования кратера и могут быть связаны со свойствами подстилающей поверхности в тот период. Это предположение поддерживается тем фактом, что кратеров с массивными валами и центральными поднятиями (такими как пики, горки) на Меркурии больше, чем на Луне. Эти морфологические черты возникают при формировании кратера и позволяют предположить, что свойства подстилающей поверхности Меркурия при образовании некоторых кратеров отличались от свойств подстилающей поверхности на Луне. Рис. 9 показывает, что небольшие кратеры на Меркурии чаще имеют террасы и обрушения, чем кратеры того же диаметра на Луне. Значительная часть мелких кратеров на обоих телах образовалась позже крупных кратеров. Поэтому наличие террас и обрушений на их склонах может означать, что процессы, приведшие к этим особенностям, длились на Меркурии дольше в геологическом отношении и были более распространены, чем на Луне. Такими процессами могут быть вулканическая деятельность, тектоническая деятельность, в частности, образование эскарпов. Более широкое распространение вулканической активности на Меркурии подтверждается тем, что 49.5% кратеров планеты имеют лаву на дне (на Луне таких кратеров только 31%) и 45.5% кратеров Меркурия расположены в переходной зоне между материками и равнинами.
ВЫВОДЫ
Создан Новый морфологический каталог кратеров Меркурия. Каталог включает в себя информацию о координатах, размерах, глубинах и морфологических характеристиках 12635 кратеров с диаметрами ≥10 км.
Значительная часть кратеров Меркурия демонстрирует следы разрушений: наличие террас и обрушений на склонах, наличие трещин и цепочек кратеров на дне.
Сравнение кратеров Меркурия и кратеров Луны показывает существенные различия в морфологии кратеров. Так, на Луне больше кратеров высокой степени сохранности и меньше кратеров с террасами и обрушениями на склонах и лавой на дне. Кратеров с несколькими террасами и обрушениями на Меркурии гораздо больше, чем на Луне, и они встречаются у кратеров меньшего диаметра. Это обстоятельство, как нам кажется, связано с тектоническими процессами, происходившими на планете. На Меркурии эти процессы были интенсивными и широкомасштабными. По оценкам ряда исследований (Strom и др., 2011; Jozwiak и др., 2018), образование эффузивных вулканических равнин на планете окончилось ~3.5 млрд лет назад, а явления эксплозивного вулканизма происходили в геологически недавние периоды истории планеты: ~1.7 млрд лет назад и даже ~280 млн лет назад. Об этом также свидетельствует значительное количество на Меркурии кратеров с лавой на дне.
Данная работа финансировалась за счет средств бюджета ГАИШ МГУ. Никаких дополнительных грантов на проведение или руководство данным конкретным исследованием получено не было.
About the authors
Е. А. Феоктистова
Государственный астрономический институт им. П.К. Штернберга Московского государственного университета им. М.В. Ломоносова
Author for correspondence.
Email: Hrulis@yandex.ru
Russian Federation, Москва
Ж. Ф. Родионова
Государственный астрономический институт им. П.К. Штернберга Московского государственного университета им. М.В. Ломоносова
Email: Hrulis@yandex.ru
Russian Federation, Москва
Г. Г. Майкл
Center for Lunar and Planetary Sciences, CAS Institute of Geochemistry
Email: Hrulis@yandex.ru
China
И. Ю. Завьялов
Московский государственный университет геодезии и картографии
Email: Hrulis@yandex.ru
Russian Federation, Москва
Н. А. Козлова
Московский государственный университет геодезии и картографии
Email: Hrulis@yandex.ru
Russian Federation, Москва
References
- Липский Ю.Н., Родионова Ж.Ф., Скобелева Т.П., Дехтярева К.И., Казимиров Д.А., Ситников В.Д., Порошкова Г.А., Бубнова Н.В., Шуваева В.А. Каталоги кратеров Меркурия и Луны. М.: ЦСП ВГФ, 1977. 55 с.
- Родионова Ж.Ф., Карлов А.А., Скобелева Т.П., Конотопская Е.В., Шевченко В.В., Козубский К.Э., Дехтярева К.И., Смолякова Т.Ф., Тишик Л.И., Федорова Е.А. Морфологический каталог кратеров Луны. М.: Изд. МГУ, 1987. 173 с.
- Cintala M.J., Wood C.A., Head J.W. The effects of target characteristics on fresh crater morphology-Preliminary results for the Moon and Mercury // Proc. Lunar Sci. Conf. 8th, Houston, Tex., March 14–18. 1977. V.3. (A78-41551 18-91). New York: Pergamon Press, Inc., 1977. P. 3409–3425.
- Davies M.E. Atlas of Mercury // Prepared for the Office of Space Sciences, National Aeronautics and Space Administration. 1976. V. 423. 128 p.
- Fassett C.I., Kadish S.J., Head J.W., Solomon S.C., Strom R.G. The global population of large craters on Mercury and comparison with the Moon // Geophys. Res. Lett. 2011. V. 38. Id. L10202/ https://doi.org/10.1029/2011GL047294
- Fassett C.I., Crowley M.C., Leight C., Dyar M.D., Minton D.A., Hirabayashi M., Thomson B.J., Watters W.A. Evidence for rapid topographic evolution and crater degradation on Mercury from simple crater morphometry // Geophys. Res. Lett. 2017. V. 44. P. 5326–5335. https://doi.org/10.1002/2017GL073769
- Feoktistova E.A., Rodionova Zh.F., Zharkova A.Yu., Kokhanov A.A., Zavyalov I.Yu. Morphological and morphometric features of Mercurian craters // Abstract book of the twelfth Moscow Solar System Symposium. 12MS3-MN-PS-11. M.: Space Research Institute, 2021. P. 428–430.
- Hartmann W.K. Lunar crater counts. VI: The young craters Tycho, Aristarchus, and Copernicus // Comm. Lunar and Planet. Lab. 7. 1968. P. 145–156.
- Head III J.W., Cintala M.J., Mutch T.A. Craters on the Moon, Mars and Mercury: a comparison of depth/diameter characteristics // Proc. Lunar Sci. Conf. 7. 1976. P. 149–151.
- Herrick R.R., Curran L.L., Baer A.T. A Mariner/MESSENGER global catalogue of Mercurian craters // Icarus. 2011. V. 215 № 1. P. 452–454. https://doi.org/10.1016/j.icarus.2011.06.02
- Herrick R.R., Bateman E.M., Crumpacker W.G., Bates D. Observations from a global database of impact craters on Mercury with diameters greater than 5 km // J. Geophys. Res. 2018. V. 123. № 8. P. 2089–2109. https://doi.org/10.1029/2017JE005516
- Johnson C.L., Hauck S.A. A whole new Mercury: MESSENGER reveals a dynamic planet at the last frontier of the inner Solar System // J. Geophys. Res. 2016. V. 121. № 11. P. 2349–2362. https://doi.org/10.1002/2016JE005150
- Jozwiak L.M., Izenberg N.R., Olson C.L., Head J.W. Investigating the age of Mercury's pyroclastic deposits // Proc. Conf Mercury: Current and Future Science of the Innermost Planet. Columbia, Maryland 1–3 May 2018. LPI Contribution № 2047.
- Kalynn J., Johnson C.L., Osinski G.R., Barnouin O. Topographic characterization of lunar complex craters // Geophys. Res. Lett. 2013. V. 40. № 1. P. 38–42. https://doi.org/10.1029/2012GL053608
- Kneissl T., van Gasselt S., Neukum G. Map-projection-independent crater size-frequency determination in GIS environments – New software tool for ArcGIS // Planet. and Space Sci. 2011. V. 59. № 11. P. 1243–1254. https://doi.org/10.1016/j.pss.2010.03.015
- Kozlova E.A., Sitnikov B.D., Rodionova J.F., Shevchenko. V.V. Analysis of Mercurian craters by means of cartographic method // Proc. 22d Int. Cartograph. Conf. (ICC). A Coruña Spain 9–16 July 2005 “Mapping Approaches into a Changing World”. 2005. P. 9–16.
- Leake M.A. The intercrater plains of Mercury and the Moon: Their nature, origin, and role in terrestrial planet evolution // Advances in Planetary Geology. 1982. P. 477–488.
- Oberbeck V.R., Quaide W.L., Arvidson R.E., Aggarwal H.R. Comparative studies of lunar, Martian, and Mercurian craters and plains // J. Geophys. Res. 1977. V. 82. № 11. P. 1681–1698.
- Pike R.J. Geomorhology of impact craters on Mercury // Mercury / Eds: Vilas F., Chapman C.R., Matthews M.S. Tucson: Univ. Arizona Press, 1988. P. 165–273.
- Rodionova J.F., Dekchtyareva K.I., Khramchikhin A.A., Michael G.G., Ajukov S.V., Pugacheva S.G., Shevchenko V.V. Morphological catalogue of the craters of Mars / Eds: Shevchenko V.V., Chicarro A.F. Noordwijk: ESA/ESTEC, 2000. 158 p.
- Sitnikov B.D., Kozlova E.A., Rodionova J.F. A treatment of data bank of Morphological catalogue of Mercurian craters // Abstracts Brown University – Vernadsky Institute. 2004. V. 40. P. 78–79.
- Strom R.G., Banks M.E., Chapman C.R., Fassett C.I., Forde J.A., Head III J.W., Solomon S.C. Mercury crater statistics from MESSENGER flybys: Implications for stratigraphy and resurfacing history // Planet. and Space Sci. 2011. V. 59(15). P. 1960–1967. https://doi.org/10.1016/j.pss.2011.03.018
- Wood C.A., Head J.W., Cintala M.J. Crater degradation on Mercury and the moon-clues to surface evolution // Proc. (A78-41551 18-91) Lunar Sci. Conf. 8th, Houston, Tex., March 14–18, 1977. New York: Pergamon Press, Inc., 1977. V. 3. P. 3503–3520.
- http://selena.sai.msu.ru/Kozl/Publications/Mercury/Hermes.xls
- https://astrogeology.usgs.gov/search/map/Mercury/Messenger/Global/Mercury_MESSENGER_MDIS_Basemap_LOI_Mosaic_Global_166m
- http://messenger.jhuapl.edu/the_mission/mosaics.html
- https://messenger.jhuapl.edu/Explore/Images.html#of-mercury
- https://sci.esa.int/web/bepicolombo/
Supplementary files












