Исследование динамической эволюции компактной планетной системы KEPLER-51
- Authors: Кузнецов Э.Д.1, Перминов А.С.1
-
Affiliations:
- Уральский федеральный университет
- Issue: Vol 58, No 5 (2024)
- Pages: 608-626
- Section: Articles
- URL: https://ogarev-online.ru/0320-930X/article/view/273489
- DOI: https://doi.org/10.31857/S0320930X24050089
- EDN: https://elibrary.ru/LTHVPC
- ID: 273489
Cite item
Full Text
Abstract
В работе исследуется динамическая эволюция компактной трехпланетной системы Kepler-51. Анализируются возможные резонансные состояния системы и проводится поиск потенциальных цепочек резонансов средних движений. С помощью программного комплекса Posidonius исследуется динамическая эволюция системы на интервале времени 100 млн лет с учетом приливного взаимодействия. Также для различных начальных значений эксцентриситетов, наклонов, аргументов перицентров и долгот восходящих узлов орбит проводится моделирование динамической эволюции планетной системы в рамках численно-аналитической теории движения. Показано, что компактная планетная система Kepler-51 не является резонансной. При начальных условиях, соответствующих массам и элементам орбит планет, определенным из наблюдений с учетом их погрешностей, эволюция системы является устойчивой и регулярной на исследуемом интервале 100 млн лет.
Full Text
Введение
В настоящее время известно несколько десятков планетных систем, состоящих из двух и более планет с массами порядка массы Земли (см., например, онлайн-каталог http://exoplanet.eu/catalog/). Среди этих систем выделяются компактные системы с плотно упакованными внутренними планетами STIPs (Systems with Tightly packed Inner Planets) типа суперземель (см., например, Charalambous и др., 2023). В ходе миграции соседние планеты могут проходить через резонансы средних движений, а при попадании в резонансы средних движений трех и более планет, могут формироваться цепочки резонансов. Цепочки резонансов играют важную роль в обеспечении устойчивой эволюции компактных планетных систем, препятствуя тесным сближениям планет, движущихся на соседних орбитах. В настоящее время существование цепочек резонансов подтверждено для шести компактных систем: GJ-876 (Rivera и др., 2010), Kepler-223 (Mills и др., 2016), Kepler-80 (Lissauer и др., 2014; Rowe и др., 2014), K2-138 (Christiansen и др., 2018), TOI-178 (Leleu и др., 2019) и TRAPPIST-1 (Gillon и др., 2016; 2017). Самая длинная цепочка резонансов, известная в настоящее время, реализуется в системе TRAPPIST-1: 8/5 – 5/3 – 3/2 – 3/2 – 4/3 – 3/2 (Murphy, Armitage, 2022). В системе K2-138 пять планет формируют цепочку резонансов, состоящую из одинаковых резонансов 3/2 (MacDonald и др., 2022). С другой стороны, моделирование показывает, что в широких системах с массивными планетами цепочки резонансов высоких порядков могут приводить к разрушению планетных систем (Murphy, Armitage, 2022).
Одним из кандидатов в компактные планетные системы, в которых реализуются резонансы и, возможно, цепочки резонансов, является система Kepler-51. В работе (Antoniadou, Voyatzis, 2022) показаны три возможных сценария устойчивой эволюции планетной системы Kepler-51, каждый из которых соответствует возможному наличию в системе определенных резонансов. Во-первых, это двухтельные резонансы средних движений 2/1 и 3/2, в которых значение эксцентриситета орбиты внутренней планеты eb < 0.02, что позволяет этим резонансам сохраняться на длительных интервалах времени. Во-вторых, это трехтельный резонанс типа Лапласа 1/2/3, необходимым условием существования которого является ограничение на значения эксцентриситетов орбит двух внешних планет: ec< 0.016 и ed < 0.006. В-третьих, существует комбинация, включающая вторичный резонанс 1/1 внутри резонанса средних движений 2/1 для внутренней пары планет и колебание угла между линиями апсид внешней пары планет, в которой наблюдаемые значения эксцентриситетов eb и ec сохраняются до тех пор, пока эксцентриситет ed ≈ 0.
В настоящей работе рассматривается компактная планетная система Kepler-51, проводится поиск резонансов средних движений и цепочек резонансов в пределах погрешностей определения орбитальных периодов планет по наблюдениям. Поскольку для компактных планетных систем важным фактором, влияющим на орбитальную эволюцию, является приливное взаимодействие, при анализе возможности наличия цепочек резонансов динамическая эволюция моделируется с учетом приливов.
Резонансные аргументы
При анализе резонансных свойств планетных систем необходимо изучить поведение резонансных аргументов. Для двух планет i и i + 1, находящихся в резонансе средних движений ki/(ki–li), резонансный аргумент может быть задан следующим образом (Huang, Ormel, 2022):
(1)
где li – порядок резонанса, λi, λi+1 – средние долготы планет i и i+1 соответственно , долгота перицентра орбиты планеты i (s = 0) или i + 1 (s = 1). Для следующей пары планет i + 1 и i + 2, которые находятся в резонансе ki + 1/(ki + 1– li + 1), резонансный аргумент определяется следующим образом:
(2)
Вместо двух резонансов между двумя соседними парами планет можно рассмотреть трехтельные резонансы. В этом случае трехтельный резонанс является цепочкой двух двухтельных резонансов ki/(ki– li) и ki + 1/(ki + 1– li + 1) с резонансным аргументом, который не зависит от долготы перицентра (Huang, Ormel, 2022),
, (3)
где p = li + 1(ki–li), q = liki + 1. Для трехтельных резонансов мы будем использовать следующее обозначение: (p, –(p+q), q).
Поиск возможных цепочек резонансов
Поиск цепочек резонансов выполнялся для значений больших полуосей орбит планет, которые варьируются в пределах стандартного отклонения ai = a0i + σai. Здесь a0i – номинальное значение большой полуоси орбиты, σai – стандартное отклонение определения большой полуоси. Для определения резонансных комбинаций больших полуосей орбит отношение средних движений ni и ni + 1 представлено как отрезок последовательности подходящих дробей
bj < bmax, (4)
где bmax – максимальное значение числителя. Получена рациональная аппроксимация действительного отношения средних движений
. (5)
После того, как для всех пар соседних планет получены наборы соотношений вида (5), формируются возможные цепочки резонансов (если резонансные значения больших полуосей внешней и внутренней орбит в соседних парах совпадают). Окончательный выбор возможных цепочек резонансов основан на оценке частоты резонансного аргумента
, (6)
где в качестве критерия выбраны значения ε~ 10–4–10–5 сут–1. Используемое значение ε соответствует характерной точности определения периодов планет из наблюдений транзитов.
Алгоритм показал высокую эффективность в поиске цепочек резонансов в компактной планетной системе K2-72 (Kuznetsov, Perminov, 2022).
Резонансные свойства компактной планетной системы KEPLER-51
В работе (Jontof-Hutter и др., 2022) по данным космического телескопа TESS были получены уточненные параметры планетной системы Kepler-51, приведенные в табл. 1. Масса звезды MS и ее радиус RS даны в массах Солнца радиусах Солнца Массы планет mpl и их радиусы Rpl выражены в массах Земли ее радиусах P – периоды обращения планет, е – эксцентриситеты, g – аргументы перицентров. Моменты времени Tconj соответствуют соединению планеты со звездой. Значения эксцентриситетов e и аргументов перицентров g, приведенные в табл. 1, были вычислены на основе значений e cos g и e sin g.
Таблица 1. Параметры компактной трехпланетной системы Kepler-51
Параметр | Kepler-51 | Kepler-51 b | Kepler-51 c | Kepler-51 d |
MS, | ||||
mpl, | ||||
RS, | ||||
Rpl, | ||||
T, сут | ||||
e cos g | ||||
e sin g | ||||
Tconj, BJD–2457000 | ||||
e | ||||
g, град |
На основе номинальных периодов были получены оценки резонансных отступов
.
текущих отношений периодов планет Pi и Pj относительно точных резонансных соотношений ki /(ki – li). В табл. 2 указаны резонансные отступы для пар планет b–c, c–d и соответствующие цепочкам резонансов средних движений потенциальные трехтельные резонансы. Движение пар планет происходит вне областей резонансов средних движений низких порядков. Следуя (Charalambous и др., 2023), мы приняли, что для резонансов низких порядков резонансным состояниям соответствуют значения резонансного отступа Δ < 0.01. С ростом порядка резонанса предельное значение резонансного отступа Δ, соответствующего резонансному состоянию, должно уменьшаться. Из табл. 2 следует, что номинальное отношение периодов планет внутренней пары b–c может соответствовать резонансам пятого и более высоких порядков. Несмотря на то, что внешняя пара c–d находится вблизи резонанса 3/2, отношение периодов соответству ет резонансу средних движений не ниже восьмого порядка.
Таблица 2. Резонансные отступы для пар планет и потенциальные трехтельные резонансы
b–c | c–d | b–c–d | ||
Резонанс средних движений | Δ | Резонанс средних движений | Δ | Трехтельный резонанс |
2 / 1 | 0.111 | 3 / 2 | 0.0259 | (1,–4,3) |
9 / 5 | 0.0894 | 3 / 2 | 0.0259 | (5,–17,12) |
11 / 6 | 0.0056 | 3 / 2 | 0.0259 | (6,–21,15) |
13 / 7 | 0.0032 | 3 / 2 | 0.0259 | (7,–25,18) |
15 / 8 | 0.0014 | 3 / 2 | 0.0259 | (8,–29,21) |
17 / 9 | 0.00056 | 17 / 11 | 0.0196 | (54,–190,136) |
17 / 9 | 0.00056 | 20 / 13 | 0.0126 | (63,–223,160) |
17 / 9 | 0.00056 | 23 / 15 | 0.0074 | (72,–256,184) |
17 / 9 | 0.00056 | 26 / 17 | 0.0035 | (81,–289,208) |
17 / 9 | 0.00056 | 29 / 19 | 0.00043 | (90,–322,232) |
На рис. 1 показано расположение областей резонансов низких порядков (до четвертого порядка включительно) с учетом ошибок определения масс планет и эксцентриситетов их орбит. Для построения рис. 1 использовался скрипт analytical-resonance-widths (https://github.com/katvolk/analytical-resonance-widths) (Volk, Malhotra, 2020). На рис. 1 по оси абсцисс отложены значения эксцентриситетов, по оси ординат – значения периодов. Центры полуокружностей соответствуют значениям периодов, а радиусы полуокружностей пропорциональны номинальным значениям масс планет. Сплошные линии указывают максимально возможное значение эксцентриситета, при котором возможно пересечение соседних орбит. Значения периодов, соответствующие резонансам средних движений, даны пунктирной линией. Закрашенная область в окрестности пунктирной линии показывает ширину резонансной зоны в зависимости от эксцентриситета орбиты. Более темная заливка соответствует минимальным значениям масс планет, более светлая – максимальным. Применена следующая система обозначения резонансов. Например, для планеты d указан резонанс 3-с:2. Это соответствует резонансу 3/2 между средними движениями планет c и d.
Из рис. 1 следует, что для обновленных значений масс планет и эксцентриситетов их орбит (максимальные значения эксцентриситетов орбит планет b, c и d составляют 0.086, 0.074 и 0.059 соответственно) в системе Kepler-51 резонансы низких порядков отсутствуют.
Рис. 1. Распределение областей резонансов низких порядков (до четвертого порядка включительно) в системе Kepler-51 с учетом ошибок определения масс планет и эксцентриситетов их орбит.
Моделирование орбитальной эволюции системы KEPLER-51 с учетом приливного взаимодействия
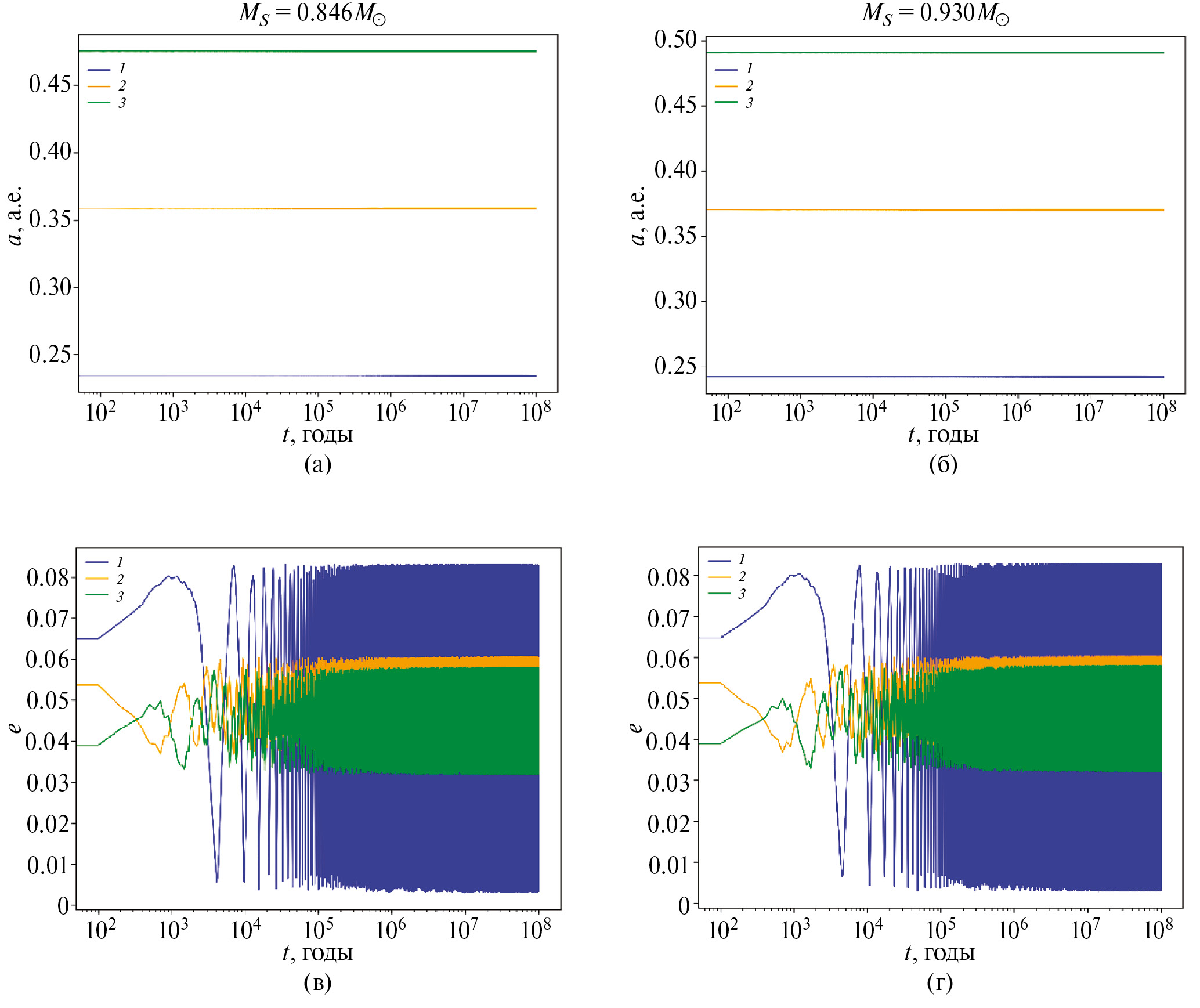
Поскольку для компактных систем важным фактором, влияющим на орбитальную эволюцию, является приливное взаимодействие, было проведено моделирование эволюции системы Kepler-51 на интервале времени 100 млн лет с помощью программы Posidonius (Blanco-Cuaresma, Bolmont, 2017), которая учитывает приливное взаимодействие. Варьирование массы звезды и масс планет в пределах ошибок определения для номинальных значений элементов орбит на интервале 100 млн лет показало, что система сохраняет регулярный характер эволюции. Варьирование элементов орбит выполнялось для номинальных значений масс звезды и планет. Варьировались значения периода и эксцентриситета в пределах ошибок определения, наклоны орбит и долготы восходящих узлов полагались равными нулю, аргументы перицентров принимались равными номинальным значениям. Для всех рассмотренных вариантов на интервале 100 млн лет система сохраняла регулярный характер эволюции. На рис. 2 показана эволюция больших полуосей a и эксцентриситетов e орбит для минимального и максимального значений массы звезды. Значения большой полуоси определяются массой звезды и слабо меняются на рассматриваемом интервале. Эволюция эксцентриситетов орбит слабо зависит от массы звезды.
Рис. 2. Эволюция элементов орбит планет (1 – Kepler-51 b, 2 – Kepler-51 c, 3 – Kepler-51 d) на интервале 100 млн лет при различных значения массы звезды M: (а) – больших полуосей при , (б) – больших полуосей при , (в) – эксцентриситетов при , (г) – эксцентриситетов при .
На рис. 3 показана эволюция отношений периодов обращения соседних планет системы Kepler-51 на интервале 100 млн лет. Внутренняя пара b–c эволюционирует в окрестности резонанса восьмого порядка 17/9. Внешняя пара c–d – в окрестности резонанса десятого порядка 29/19. По результатам моделирования не удалось зафиксировать либрации критических аргументов, соответствующих этим резонансам и резонансам, указанным в табл. 1 и на рис. 3. Можно сделать вывод, что система Kepler-51 эволюционирует также и вне резонансов высоких порядков.
Рис. 3. Эволюция отношений периодов обращения планет (синие точки): (а) – Kepler-51 c и Kepler-51 b; (б) – Kepler-51 d и Kepler-51 c. Красные пунктирные линии соответствуют резонансам средних движений.
Этот вывод можно подтвердить, анализируя рис. 4, на котором показаны положения трехтельных резонансов, являющихся цепочками двухтельных резонансов средних движений. В процессе эволюции система перемещается по графику слева направо. В настоящее время система находится в окрестности трехтельного резонанса (90, –322, 232) и постепенно уходит из нее в направлении резонанса (8, –29, 21), являющегося цепочкой резонансов 15/8 – 3/2. Анализ эволюции резонансных углов трехтельных резонансов, приведенных в табл. 2 и на рис. 4, не выявил их либрационного поведения, что указывает на отсутствие цепочек резонансов в системе Kepler-51 на рассматриваемом интервале 100 млн лет.
Рис. 4. Эволюция системы Kepler-51 в области трехтельных резонансов – цепочек двухтельных резонансов средних движений. Красные линии соответствуют положению трехтельных резонансов. Система эволюционирует слева направо.
Численно-аналитическое моделирование орбитальной эволюции системы KEPLER-51
Авторами в работе (Perminov, Kuznetsov, 2020) представлен алгоритм построения численно-аналитической теории движения для четырехпланетной задачи с точностью до второго и третьего порядков по малому параметру μ (отношение суммы масс планет к массе звезды). Гамильтониан четырехпланетной задачи записывается в системе координат Якоби и разлагается в ряд по элементам второй системы Пуанкаре и по степеням μ. Осреднение гамильтониана задачи проводится методом Хори–Депри. Далее строятся уравнения движения в средних элементах, которые затем интегрируются численно, и функции замены переменных, которые реализуют переход от оскулирующих элементов орбит к средним. Поскольку планетная система Kepler-51 эволюционирует вне резонансов средних движений, данная численно-аналитическая теория может быть использована для описания ее динамической эволюции.
В настоящей работе для системы Kepler-51 построены аналитические уравнения движения в средних элементах с точностью до слагаемых с μ2. При этом слагаемые, содержащие первую степень малого параметра μ построены с точностью до 6-й степени по эксцентрическим и облическим элементам орбит второй системы Пуанкаре. Слагаемые с μ2 построены с точностью до 4-й степени по данным элементам орбит. Функции замены переменных построены с точностью до 2-й степени по эксцентрическим и облическим элементам орбит.
Численное интегрирование построенных аналитически уравнений движения в средних элементах проводится методом Грегга–Булирша–Штера 7-го порядка (Press и др., 2007) на интервале времени 100 млн лет с шагом 100 лет для различных начальных значений эксцентриситетов орбит e, наклонов I, долгот восходящих узлов Ω и аргументов перицентров g. Во всех случаях значения масс планет и больших полуосей их орбит соответствуют своим номинальным значениям. Масса звезды принимается равной Номинальные значения оскулирующих больших полуосей орбит трех планет системы получены с помощью третьего закона Кеплера по номинальным значениям периодов обращения и номинальным массам планет (приведены в табл. 1) и равны соответственно a1 = 0.372203 а. е., a2 = 0.603761 а. е., a3 = 0.919204 а. е. Так как функции замены переменных зависят от всех оскулирующих элементов орбит, то для различных начальных условий (НУ) полученные значения средних элементов могут слегка отличаться друг от друга. По этой причине далее, при описании различных начальных условий численного интегрирования, будут приводиться значения для оскулирующих элементов орбит. Результаты численного моделирования будут даны для средних элементов орбит.
Поскольку все планеты в системе Kepler-51 открыты методом транзитов, начальные значения углов наклона плоскостей орбит к плоскости, перпендикулярной к картинной, не превышают 1°, а именно I1 < 0.9347° (Kepler-51 b), I2 < 0.6121° (Kepler-51 c), I3 < 0.4616° (Kepler-51 d), что можно вычислить, исходя из радиуса звезды и значений больших полуосей орбит планет. Исключение составляет случай, когда линия узлов орбиты направлена в сторону наблюдателя (что является маловероятным).
В табл. 3 для рядов, представляющих уравнения движения в средних элементах, приведены оценки теоретических радиусов сходимости для эксцентриситетов и наклонов орбит, R(e) и R(I), вычисленные с использованием подхода, изложенного в работе (Kholshevnikov, 2001). Если значения средних эксцентриситетов и наклонов орбит, полученных по результатам моделирования в рамках численно-аналитической теории движения, меньше соответствующих радиусов R(e) и R(I), то это гарантирует сходимость рядов и применимость теории движения (или, по крайней мере, то, что орбиты планет не пересекаются).
Таблица 3. Теоретические радиусы сходимости для системы Kepler-51
Планета | Kepler-51 b | Kepler-51 c | Kepler-51d |
R(e) | 0.23 | 0.16 | 0.12 |
R(I), град | 26 | 23 | 14 |
Рассмотрим случай плоской планетной системы, когда начальные значения наклонов орбит всех планет равны 0°. Начальные значения долгот восходящих узлов орбит также приняты равными 0°. Эксцентриситеты и аргументы перицентров орбит всех планет принимаются равными своим номинальным значениям.
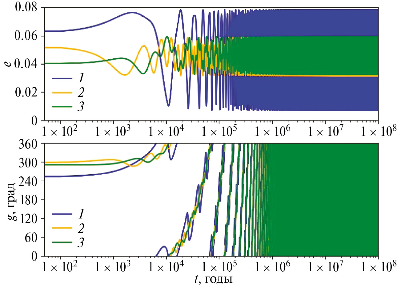
На рис. 5 представлены графики средних эксцентриситетов e и аргументов перицентров g орбит планет системы Kepler-51 на интервале времени 100 млн лет для номинальных начальных значений e и g. На рис. 6 представлены те же графики, но на интервале времени 100 тыс. лет. Наклоны орбит и долготы восходящих узлов сохраняют свои нулевые значения. Эксцентриситет орбиты внутренней планеты e1 изменяется в интервале от 0.00725 до 0.07840 с периодом 15506 лет (Kepler-51 b), эксцентриситет e2 изменяется в интервале от 0.03165 до 0.05912 с периодом 4326 лет (Kepler-51 c), эксцентриситет e3 – от 0.03275 до 0.05961 с тем же периодом 4326 лет (Kepler-51 d). Эксцентриситеты e2 и e3 орбит двух внешних планет Kepler-51 c и Kepler-51 d изменяются в противофазе.
Рис. 5. Эволюция средних элементов орбит планет на интервале 100 млн лет для нулевых начальных значений наклонов орбит и долгот восходящих узлов: 1 – Kepler-51 b, 2 – Kepler-51 c, 3 – Kepler-51 d.
Рис. 6. Эволюция средних элементов орбит планет на интервале 100 тыс. лет для нулевых начальных значений наклонов орбит и долгот восходящих узлов: 1 – Kepler-51 b, 2 – Kepler-51 c, 3 – Kepler-51 d.
Точность численного интегрирования контролируется вычислением на каждом шаге k относительной разности начального E0 и текущего Ek значений энергии системы: ΔE = |Ek – E0|/Ek. На последнем шаге интегрирования для вышеописанных начальных условий (плоская задача) ΔE ≈ 5×10–9.
На рис. 7–10 представлена эволюция средних эксцентриситетов и наклонов орбит планет системы Kepler-51 на интервале времени 100 млн лет для различных начальных условий.
Рис. 7. Эволюция средних эксцентриситетов орбит планет (1 – Kepler-51 b, 2 – Kepler-51 c, 3 – Kepler-51 d) на интервале 100 млн лет для соответствующих им начальных значений оскулирующих элементов орбит: I1 = 0.9°, I2 =I3 = 0°, Ω2 = Ω3 = 0°, аргументы перицентров – номинальные, эксцентриситеты орбит – максимальные, Ω1 – варьируется с шагом 30°.
Рис. 8. Эволюция средних наклонов орбит планет (1 – Kepler-51 b, 2 – Kepler-51 c, 3 – Kepler-51 d) на интервале 100 млн лет для соответствующих им начальных значений оскулирующих элементов орбит: I1 = 0.9°, I2 =I3 = 0°, Ω2 = Ω3 = 0°, аргументы перицентров – номинальные, эксцентриситеты орбит – максимальные, Ω1 – варьируется с шагом 30°.
Рис. 9. Эволюция средних эксцентриситетов орбит планет (1 – Kepler-51 b, 2 – Kepler-51 c, 3 – Kepler-51 d) на интервале 100 млн лет для соответствующих им начальных значений оскулирующих элементов орбит: I2 = 0.6°, I1 =I3 = 0°, Ω1 = Ω3 = 0°, аргументы перицентров – номинальные, эксцентриситеты орбит – максимальные, Ω2 – варьируется с шагом 30°.
Рис. 10. Эволюция средних наклонов орбит планет (1 – Kepler-51 b, 2 – Kepler-51 c, 3 – Kepler-51 d) на интервале 100 млн лет для соответствующих им начальных значений оскулирующих элементов орбит: I2 = 0.6°, I1 =I3 = 0°, Ω1 = Ω3 = 0°, аргументы перицентров – номинальные, эксцентриситеты орбит – максимальные, Ω2 – варьируется с шагом 30°.
На рис. 11–14 представлены карты минимальных и максимальных значений эксцентриситетов и наклонов орбит планет системы Kepler-51, достижимых в процессе эволюции на интервале времени 100 млн лет в зависимости от начальных значений долгот восходящих узлов Ω1 и Ω2 и аргументов перицентров g1, g2, g3. Значения аргументов перицентров выбраны таким образом, чтобы углы между линиями апсид орбит всех планет были наибольшими.
Рис. 11. Карты минимальных (левый столбец) и максимальных (правый столбец) значений эксцентриситетов орбит планет на интервале времени 100 млн лет (НУ: эксцентриситеты орбит – номинальные, I1 = 0.9°, I2 = 0.6°, I3 = 0°, g1 = 252.1, g2 = 322.9°, g3 = 263.5°): (а) – минимально достижимые значения эксцентриситета орбиты планеты Kepler-51 b; (б) – максимально достижимые значения эксцентриситета орбиты планеты Kepler-51 b; (в) – минимально достижимые значения эксцентриситета орбиты планеты Kepler-51 c; (г) – максимально достижимые значения эксцентриситета орбиты планеты Kepler-51 c; (д) – минимально достижимые значения эксцентриситета орбиты планеты Kepler-51 d; (е) – максимально достижимые значения эксцентриситета орбиты планеты Kepler-51 d.
Рис. 12. Карты минимальных (левый столбец) и максимальных (правый столбец) значений наклонов орбит планет на интервале времени 100 млн лет (НУ: эксцентриситеты орбит – номинальные, I1 = 0.9°, I2 = 0.6°, I3 = 0°, g1 = 252.1, g2 = 322.9°, g3 = 263.5°): (а) – минимально достижимые значения наклона орбиты планеты Kepler-51 b; (б) – максимально достижимые значения наклона орбиты планеты Kepler-51 b; (в) – минимально достижимые значения наклона орбиты планеты Kepler-51 c; (г) – максимально достижимые значения наклона орбиты планеты Kepler-51 c; (д) – минимально достижимые значения наклона орбиты планеты Kepler-51 d; (е) – максимально достижимые значения наклона орбиты планеты Kepler-51 d.
Рис. 13. Карты минимальных (левый столбец) и максимальных (правый столбец) значений эксцентриситетов орбит планет на интервале времени 100 млн лет (НУ: эксцентриситеты орбит – номинальные, I1 = 0.9°, I2 = 0.6°, I3 = 0°, g1 = 252.1, g2 = 269.4°, g3 = 316.9°): (а) – минимально достижимые значения эксцентриситета орбиты планеты Kepler-51 b; (б) – максимально достижимые значения эксцентриситета орбиты планеты Kepler-51 b; (в) – минимально достижимые значения эксцентриситета орбиты планеты Kepler-51 c; (г) – максимально достижимые значения эксцентриситета орбиты планеты Kepler-51 c; (д) – минимально достижимые значения эксцентриситета орбиты планеты Kepler-51 d; (е) – максимально достижимые значения эксцентриситета орбиты планеты Kepler-51 d.
Рис. 14. Карты минимальных (левый столбец) и максимальных (правый столбец) значений наклонов орбит планет на интервале времени 100 млн лет (НУ: эксцентриситеты орбит – номинальные, I1 = 0.9°, I2 = 0.6°, I3 = 0°, g1 = 252.1, g2 = 269.4°, g3 = 316.9°): (а) – минимально достижимые значения наклона орбиты планеты Kepler-51 b; (б) – максимально достижимые значения наклона орбиты планеты Kepler-51 b; (в) – минимально достижимые значения наклона орбиты планеты Kepler-51 c; (г) – максимально достижимые значения наклона орбиты планеты Kepler-51 c; (д) – минимально достижимые значения наклона орбиты планеты Kepler-51 d; (е) – максимально достижимые значения наклона орбиты планеты Kepler-51 d.
Из рис. 11 следует, что максимальные значения эксцентриситета орбиты планеты Kepler-51 b (e1 > 0.09) достигаются при начальных значениях долгот восходящих узлов Kepler-51 c (e2 > 0.08) – при ,.ри этом амплитуды колебаний эксцентриситетов орбит минимальны.
Из рис. 13 следует, что максимальные значения эксцентриситета орбиты планеты Kepler-51 b (e1 > 0.09) достигаются при начальных значениях долгот восходящих узлов Kepler-51 c (e2 > 0.08) – при При этом амплитуды колебаний эксцентриситетов орбит минимальны.
Амплитуда колебаний эксцентриситета орбиты планеты Kepler-51 d изменяется незначительно в зависимости от значений долгот восходящих узлов двух внутренних планет (b и c) и начальных значений аргументов перицентров орбит планет.
Из рис. 12 и 14 видно, что минимальные значения амплитуд изменения наклонов орбит планеты Kepler-51 b, c и d достигаются при условии, что Максимальные значения амплитуд изменения наклонов орбит всех планет достигаются при условии, что В табл. 4 и 5 приведены минимальные и максимальные значения эксцентриситетов (emin, emax) и наклонов (Imin, Imax) орбит планет системы Kepler-51, достижимые на интервале времени 100 млн лет для минимальных (min), номинальных (nom) и максимальных (max) начальных значений эксцентриситетов орбит и аргументов перицентров. Табл. 4 соответствует начальным значениям наклонов I1 = 0.9°, I2 = I3 = 0° (сравни с рис. 7 и 8). Табл. 5 соответствует I2 = 0.6°, I1 = I3 = 0° (сравни с рис. 9 и 10). Значения в каждой ячейке табл. 4 и 5 выбраны из результатов моделирования, соответствующих различным начальным значениям долготы восходящего узла Ω1 или Ω2, которые варьируются с шагом 30°.
Таблица 4. Максимальные и минимальные значения эксцентриситетов и наклонов орбит для случая I1 = 0.9°
НУ | e | min | nom | max | ||
g | nom | min | nom | max | nom | |
Kepler-51 b | emin | 0.00234 | 0.00246 | 0.00112 | 0.00246 | 0.00565 |
emax | 0.08117 | 0.09506 | 0.11167 | 0.09506 | 0.16327 | |
Imin, град | 0.49123 | 0.48953 | 0.40140 | 0.48953 | 0.45961 | |
Imax, град | 0.91295 | 0.91409 | 0.92559 | 0.91409 | 0.95385 | |
Kepler-51 c | emin | 0.00047 | 0.05648 | 10–5 | 0.02322 | 0.00328 |
emax | 0.04642 | 0.05908 | 0.05977 | 0.05908 | 0.08663 | |
Imin, град | 10–5 | 10–5 | 10–5 | 0.48953 | 10–5 | |
Imax, град | 0.32792 | 0.33051 | 0.43741 | 0.91409 | 0.34378 | |
Kepler-51 d | emin | 10–5 | 0.05648 | 10–5 | 0.02162 | 10–5 |
emax | 0.04611 | 0.05908 | 0.06135 | 0.06118 | 0.08959 | |
Imin, град | 10–5 | 10–5 | 10–5 | 0.48953 | 10–5 | |
Imax, град | 0.43594 | 0.43694 | 0.46840 | 0.91409 | 0.45626 | |
Таблица 5. Максимальные и минимальные значения эксцентриситетов и наклонов орбит для случая I2 = 0.6°
НУ | e | min | nom | max | ||
g | nom | min | nom | max | nom | |
Kepler-51 b | emin | 10–5 | 10–5 | 10–6 | 0.00949 | 10–5 |
emax | 0.05892 | 0.07676 | 0.08302 | 0.09541 | 0.11947 | |
Imin, град | 10–5 | 10–5 | 10–5 | 10–5 | 10–5 | |
Imax, град | 0.37587 | 0.44326 | 0.44847 | 0.44900 | 0.75881 | |
Kepler-51 c | emin | 0.00075 | 10–5 | 10–5 | 0.00157 | 10–5 |
emax | 0.06800 | 0.09085 | 0.09061 | 0.08324 | 0.13341 | |
Imin, град | 0.24588 | 0.22646 | 0.22113 | 0.21355 | 0.00040 | |
Imax, град | 0.61094 | 0.62161 | 0.61870 | 0.60596 | 0.64022 | |
Kepler-51 d | emin | 10–5 | 10–6 | 10–5 | 10–5 | 10–5 |
emax | 0.04897 | 0.06547 | 0.06609 | 0.06564 | 0.09663 | |
Imin, град | 10–5 | 10–5 | 10–5 | 10–5 | 10–5 | |
Imax, град | 0.38142 | 0.40576 | 0.40378 | 0.39854 | 0.43876 | |
В табл. 6 приведены аналогичные данные для номинальных начальных значений эксцентриситетов орбит и для различных начальных значений аргументов перицентров (при этом I1 = 0.9°, I2 = 0.6°, I3 = 0°; сравни с рис. 11–14). Варьируются в данном случае обе долготы узла – и Ω1, и Ω2.
Таблица 6. Максимальные и минимальные значения эксцентриситетов и наклонов орбит для случая I1 = 0.9°, I2 = 0.6°
Начальные значения аргументов перицентров | gb = 249.5° gc = 269.4° gd = 263.5° | gb = 252.1° gc = 322.9° gd = 263.5° | gb = 252.1° gc = 269.4° gd = 316.9° | |
Kepler-51 b | emin | 10–5 | 10–5 | 10–5 |
emax | 0.11173 | 0.11171 | 0.11166 | |
Imin, град | 0.11465 | 0.11425 | 0.11639 | |
Imax, град | 1.13437 | 1.13309 | 1.13348 | |
Kepler-51 c | emin | 10–5 | 10–6 | 10–6 |
emax | 0.09088 | 0.09095 | 0.09155 | |
Imin, град | 10–5 | 10–5 | 10–5 | |
Imax, град | 0.86069 | 0.84349 | 0.85957 | |
Kepler-51 d | emin | 10–6 | 10–6 | 10–6 |
emax | 0.06651 | 0.06647 | 0.06650 | |
Imin, град | 10–5 | 10–5 | 10–5 | |
Imax, град | 0.68072 | 0.67858 | 0.68013 | |
Для всех начальных условий максимальные значения эксцентриситетов и наклонов орбит на интервале времени 100 млн лет не превосходят соответствующие им радиусы сходимости R(e) и R(I), что говорит о применимости численно-аналитической теории движения для исследования планетной системы Kepler-51.
Анализ результатов численного моделирования орбитальной эволюции планетной системы Kepler-51, приведенных в данном разделе, показывает, что в отсутствие резонансов, система является динамически устойчивой на исследуемом интервале времени 100 млн лет. Приливное взаимодействие слабо влияет на орбитальную эволюцию системы.
Заключение
Реализован метод поиска цепочек резонансов в пределах погрешностей определения значений периодов орбит планет. Орбитальная эволюция системы Kepler-51 промоделирована с помощью программного комплекса Posidonius с учетом приливного взаимодействия. Проведено численно-аналитическое моделирование орбитальной эволюции системы на интервале времени 100 млн лет для различных начальных условий.
Выполненное исследование показывает, что компактная планетная система Kepler-51 не является резонансной. При начальных условиях, соответствующих массам и элементам орбит планет, определенным из наблюдений с учетом их погрешностей, эволюция системы Kepler-51 является устойчивой и регулярной на исследуемом интервале 100 млн лет.
Работа выполнена при поддержке Министерства науки и высшего образования Российской Федерации, тема FEUZ-2020-0038.
About the authors
Э. Д. Кузнецов
Уральский федеральный университет
Author for correspondence.
Email: eduard.kuznetsov@urfu.ru
Russian Federation, Екатеринбург
А. С. Перминов
Уральский федеральный университет
Email: perminov12@yandex.ru
Russian Federation, Екатеринбург
References
- Antoniadou K.I., Voyatzis G. Periodic orbits in the 1:2:3 resonant chain and their impact on the orbital dynamics of the Kepler-51 planetary system // Astron. and Astrophys. 2022. V. 661. id. A62 (16 p.).
- Blanco-Cuaresma S., Bolmont E. Studying tidal effects in planetary systems with Posidonius. A N-body simulator written in rust // EWASS Spec. Session 4 (2017): Star-planet interactions (EWASS-SS4-2017). 2017. doi: 10.5281/zenodo.1095095.
- Charalambous C., Teyssandier J., Libert A.-S. Tidal interactions shape period ratios in planetary systems with three-body resonant chains // Astron. and Astrophys. 2023. V. 677. id. A160 (11 p.).
- Christiansen J.L., Crossfield I.J.M., Barentsen G., Lintott C.J., Barclay T., Simmons B.D., Petigura E., Schlieder J.E., Dressing C.D., Vanderburg A., Allen C., McMaster A., Miller G., Veldthuis M., Allen S., Wolfenbarger Z., Cox B., Zemiro J., Howard A.W., Livingston J., Sinukoff E., Catron T., Grey A., Kusch J.J.E., Terentev I., Vales M., Kristiansen M.H. The K2-138 system: A near-resonant chain of five sub-Neptune planets discovered by citizen scientists // Astron. J. 2018. V. 155. id. 57 (9 p.).
- Gillon M., Jehin E., Lederer S.M., Delrez L., de Wit J., Burdanov A., Van Grootel V., Burgasser A.J., Triaud A.H.M.J., Opitom C., Demory B.-O., Sahu D.K., Bardalez Gagliuffi D., Magain P., Queloz D. Temperate Earth-sized planets transiting a nearby ultracool dwarf star // Nature. 2016. V. 533. P. 221–224.
- Gillon M., Triaud A.H.M.J., Demory B.-O., Jehin E., Agol E., Deck K.M., Lederer S.M., de Wit J., Burdanov A., Ingalls J.G., Bolmont E., Leconte J., Raymond S.N., Selsis F., Turbet M., Barkaoui K., Burgasser A., Burleigh M.R., Carey S.J., Chaushev A., Copperwheat C.M., Delrez L., Fernandes C.S., Holdsworth D.L., Kotze E.J., Van Grootel V., Almleaky Y., Benkhaldoun Z., Magain P., Queloz D. Seven temperate terrestrial planets around the nearby ultracool dwarf star TRAPPIST-1 // Nature. 2017. V. 542. P. 456–460.
- Huang S., Ormel C.W. The dynamics of the TRAPPIST-1 system in the context of its formation // Mon. Notic. Roy. Astron. Soc. 2022. V. 511. P. 3814–3831.
- Jontof-Hutter D., Dalba P.A., Livingston J.H. TESS observations of Kepler systems with transit timing variations // Astron. J. 2022. V. 164. id. 42.
- Kholshevnikov K.V. The Hamiltonian in the planetary or satellite problem as a d’Alembertian function // Astron. Reports. 2001. V. 45. № 7. P. 577–579.
- Kuznetsov E.D., Perminov A.S. Search for chains of resonances in the compact planetary system K2-72 // The Thirteenth Moscow Solar System Symp. 13M-S3, October 10–14, 2022, Space Res. Inst. Russian Acad. Sci., Moscow, Russia. 2022. P. 382–384.
- Leleu A., Lillo-Box J., Sestovic M., Robutel P., Correia A.C.M., Hara N., Angerhausen D., Grimm S.L., Schneider J. Co-orbital exoplanets from close-period candidates: the TOI-178 case // Astron. and Astrophys. 2019. V. 624. id. A46 (9 p.).
- Lissauer J.J., Marcy G.W., Bryson S.T., Rowe J.F., Jontof-Hutter D., Agol E., Borucki W.J., Carter J.A., Ford E.B., Gilliland R.L., Kolbl R., Star K.M., Steffen J.H., Torres G. Validation of Kepler's multiple planet candidates. II. Refined statistical framework and descriptions of systems of special interest // Astrophys. J. 2014. V. 784. id. 44 (21 p.).
- MacDonald M.G., Feil L., Quinn T., Rice D. Confirming the 3:2 resonance chain of K2-138 // Astron. J. 2022. V. 163. id. 162 (12 p.).
- Mills S.M., Fabrycky D.C., Migaszewski C., Ford E.B., Petigura E., Isaacson H. A resonant chain of four transiting, sub-Neptune planets // Nature. 2016. V. 533. P. 509–512.
- Murphy M.M., Armitage P.J. Instability from high-order resonant chains in wide-separation massive planet systems // Mon. Notic. Roy. Astron. Soc. 2022. V. 512. P. 2750–2757.
- Perminov A.S., Kuznetsov E.D. The orbital evolution of the Sun–Jupiter–Saturn–Uranus–Neptune system on long time scales // Astrophys. and Space Sci. 2020. V. 365. id. 144.
- Press W.H., Teukolsky S.A., Vetterling W.T., Flannery B.P. Numerical recipes. The art of scientific computing. New York: Cambridge Univ. Press, 2007. 1235 p.
- Rivera E.J., Laughlin G., Butler R.P., Vogt S.S., Haghighipour N., Meschiari S. The Lick-Carnegie Exoplanet Survey: a Uranus-Mass fourth planet for GJ 876 in an extrasolar Laplace configuration // Astrophys. J. 2010. V. 719. P. 890–899.
- Rowe J.F., Bryson S.T., Marcy G.W., Lissauer J.J., Jontof-Hutter D., Mullally F., Gilliland R.L., Issacson H., Ford E., Howell S.B., Borucki W.J., Haas M., Huber D., Steffen J.H., Thompson S.E., Quintana E., Barclay T., Still M., Fortney J., Gautier T.N. III, Hunter R., Caldwell D.A., Ciardi D.R., Devore E., Cochran W., Jenkins J., Agol E., Carter J.A., Geary J. Validation of Kepler's multiple planet candidates. III. Light curve analysis and announcement of hundreds of new multi-planet systems // Astrophys. J. 2014. V. 784. id. 45 (20 p.).
- Volk K., Malhotra R. Dynamical instabilities in systems of multiple short-period planets are likely driven by secular chaos: A case study of Kepler-102 // Astron. J. 2020. V. 160. id. 98.
Supplementary files
















