On the Prospects for Estimating the Properties of Particles in an Active Asteroid Exosphere by Features in the UV and Visible Reflectance Spectra
- Authors: Petrova E.V.1, Busarev V.V.2
-
Affiliations:
- Space Research Institute, Russian Academy of Sciences, Moscow, Russia
- Sternberg Astronomical Institute, Moscow State University, Moscow, Russia
- Issue: Vol 57, No 2 (2023)
- Pages: 166-180
- Section: Articles
- URL: https://ogarev-online.ru/0320-930X/article/view/134991
- DOI: https://doi.org/10.31857/S0320930X23020068
- EDN: https://elibrary.ru/NVVFFB
- ID: 134991
Cite item
Full Text
Abstract
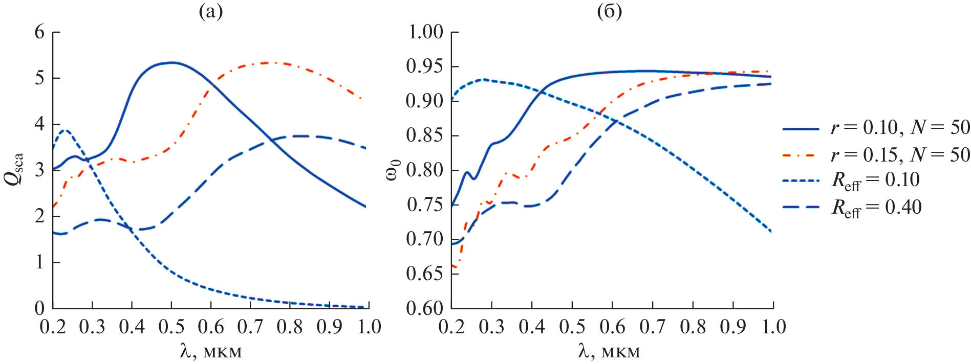
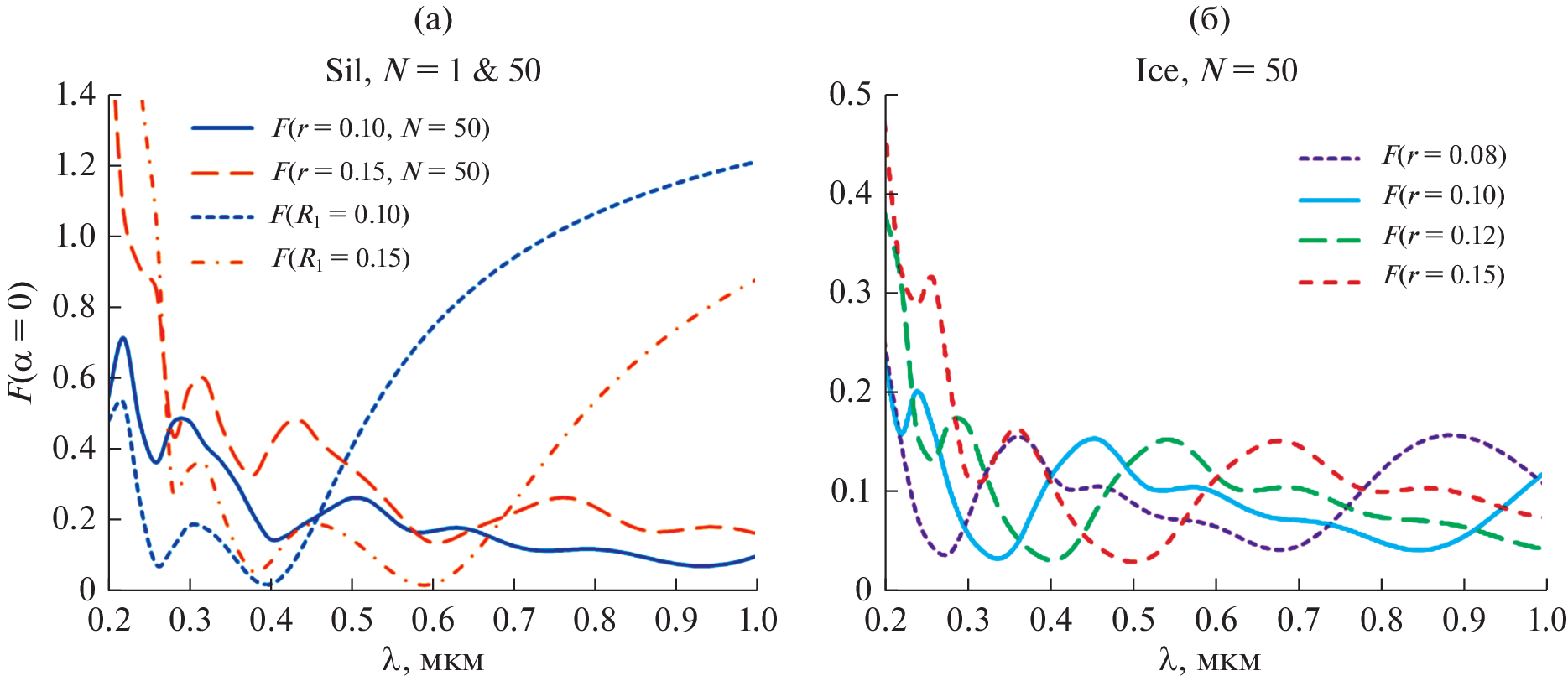
The reflectance spectra of active asteroids (AAs) measured in the visible and near-UV ranges exhibit unusual features, which are apparently caused by the light scattering in an exosphere formed under active processes on an asteroid. To estimate the prospects for a quantitative interpretation of these features, we numerically simulated reflectance spectra of an AA enveloped by an exosphere composed of aggregate submicron particles of various composition and morphology, as well as homogeneous submicron particles. We assumed that the sizes of aggregates’ constituents correspond to those of grains in agglomerates of come tary and interplanetary dust. It has been shown that the scattering on aggregates of submicron grains produces interference features at wavelengths shorter than 0.6 μm, and the positions of these features are determined by both the sizes of these grains (rather than the aggregates themselves) and the real part of their refractive index. The structure of an aggregate and variations (up to ±20%) in the sizes of constituents weakly influence the position of these features. The shape of the spectrum at longer wavelengths also depends on the sizes of grains in the aggregates and serve as an additional criterion for estimating this parameter. Calculations per formed for aggregate particles absorbing in a short-wavelength range (which is typical of many materials that one may expect to find on AAs) show that the absorption significantly weakens the interference details appeared in this range. Hence, the attempts to detect strongly absorbing particles in the exosphere and to esti mate their properties by these spectral features cannot yield reliable results, as opposed to the simulations for weakly absorbing particles. The presence of homogeneous weakly absorbing submicron particles in the exo sphere of an AA results in a steady growth of the intensity at wavelengths shorter than 0.4−0.5 μm. Spectral measurements at the wavelengths shorter than 0.35 μm may help to estimate more reliably the properties of weakly absorbing particles, both aggregate and homogeneous, in the exospheres of AAs.
About the authors
E. V. Petrova
Space Research Institute, Russian Academy of Sciences, Moscow, Russia
Email: epetrova@iki.rssi.ru
Россия, Москва
V. V. Busarev
Sternberg Astronomical Institute, Moscow State University, Moscow, Russia
Author for correspondence.
Email: epetrova@iki.rssi.ru
Россия, Москва
References
- Бусарев В.В., Щербина М.П., Барабанов С.И., Ирсмамбетова Т.Р., Кохирова Г.И., Хамроев У.Х., Хамитов И.М., Бикмаев И.Ф., Гумеров Р.И., Иртуганов Э.Н., Мельников С.С. Подтверждение сублимационной активности примитивных астероидов Главного пояса 779 Нины, 704 Интерамнии и 145 Адеоны и ее вероятные спектральные признаки у 51 Немаузы и 65 Цибелы // Астрон. вестн. 2019. Т. 53. С. 273−290. https://doi.org/10.1134/S0038094619040014. (Busarev V.V., Shcherbina M.P., Barabanov S.I., Irsmambetova T.R., Kokhirova G.I., Khamroev U.Kh., Khamitov I.M., Bikmaev I.F., Gumerov R.I., Irtuganov E.N.,Mel’nikov S.S. Confirmation of the sublimation activity of the primitive Main-Belt asteroids 779 Nina, 704 Interamnia, and 145 Adeona, as well as its probable spectral signs on 51 Nemausa and 65 Cybele // Sol. Syst. Res. 2019. V. 53. P. 261–277. 10.1134/S0038094619040014.)
- Петрова Е.В., Тишковец В.П., Йокерс К. Поляризация света, рассеянного телами Солнечной системы, и агрегатная модель пылевых частиц // Астрон. вестн. 2004. Т. 38. С. 354–371. https://www.elibrary.ru/title_about_new.asp?id=7665. (Petrova E.V., Tishkovets V.P., Jockers K. Polarization of light scattered by Solar System bodies and the aggregate model of dust particles // Sol. Syst. Res. 2004. V. 38. P. 309–324.)https://doi.org/10.1023/B:SOLS.0000037466.32514.fe
- Bockelée-Morvan D., Crovisier J., Erard S., Capaccioni F., Leyrat C., Filacchione G., Drossart P., Encrenaz T., Biver N., de Sanctis M.-C., Schmitt B., Kührt E., Capria M.-T., Combes M., Combi M., Fougere N., Arnold G., Fink U., Ip W., Migliorini A., Piccioni G., Tozzi G. Evolution of CO2, CH4, and OCS abundances relative to H2O in the coma of comet 67P around perihelion from Rosetta/VIRTIS-H observations // Mon. Notic. Roy. Astron. Soc. 2016. V. 462 (Suppl. 1). P. S170–S183. https://doi.org/10.1093/mnras/stw2428
- Bradley J.P., Sandford S.A., Walker R.M. Interplanetary dust particles // Meteorites and the early Solar system / Eds Kerridge J.F., Matthews M.S. Tucson: Univ. Arizona Press, 1988. P. 861–895.
- Bradley J. The astromineralogy of interplanetary dust particles // Astromineralogy / Ed. Henning T. Berlin Heidelberg: Springer, 2003. P. 217–235.
- Busarev V.V., Makalkin A.B., Vilas F., Barabanov S.I., Scherbina M.P. New candidates for active asteroids: Main-belt (145) Adeona, (704) Interamnia, (779) Nina, (1474) Beira, and near-Earth (162,173) Ryugu // Icarus. 2018. V. 304. P. 83–94.
- Busarev V.V., Petrova E.V., Irsmambetova T.R., Shcherbina M.P., Barabanov S.I. Simultaneous sublimation activity of primitive asteroids including (24) Themis and (449) Hamburga: Spectral signs of an exosphere and the solar activity impact // Icarus. 2021a. V. 369. 114634. https://doi.org/10.1016/j.icarus.2021.114634
- Busarev V.V., Petrova E.V., Shcherbina M.P., Burlak M.A., Belinski A.A. Interstellar comet 2I/Borisov: Dust composition from multiband photometry and modelling // Mon. Notic. Roy. Astron. Soc. 2021b. V. 502(1). P. 1882–1894. https://doi.org/10.1093/mnras/staa4022
- Carvano J.M., Lorenz-Martins S. Modeling the effects of a faint dust coma on asteroid spectra // Proc. IAU Symp. № 263. Icy Bodies of the Solar System. 2009. P. 223–226. https://doi.org/10.1017/S1743921310001791.
- Chandler C.O., Curtis A.M., Mommert M., Sheppard S.S., Trujillo C.A. SAFARI: Searching asteroids for activity revealing indicators // Publ. Astron. Soc. Pacif. 2018. V. 130. id. 114502. https://doi.org/10.1088/1538-3873/aad03d
- Dlugach J.M., Mishchenko M.I., Mackowski D.W. Numerical simulations of single and multiple scattering by fractal ice clusters // J. Quant. Spectrosc. Radiat. Transfer. 2011. V. 112. P. 1864–1870. https://doi.org/10.1016/j.jqsrt.2011.01.038
- Dlugach J.M., Ivanova O.V., Mishchenko M.I., Afanasiev V.L. Retrieval of microphysical characteristics of particles in atmospheres of distant comets from ground-based polarimetry // J. Quant. Spectrosc. Radiat. Transfer. 2018. V. 205. P. 80–90. https://doi.org/10.1016/j.jqsrt.2017.10.002
- Dorschner J., Begemann B., Henning T., Jaeger C., Mutschke H. Steps toward interstellar silicate mineralogy. II. Study of Mg-Fe-silicate glasses of variable composition // Astron. and Astrophys. 1995. V. 300. P. 503–520.
- Draine B.T., Lee H.M. Optical properties of interstellar graphite and silicate grains // Astrophys. J. 1984. V. 285. P. 89–108.
- Güttler C., Mannel T., Rotundi A., Merouane S., Fulle M., Bockelée-Morvan D., Lasue J., Levasseur-Regourd A.C., Blum J., Naletto G., Sierks H., Hilchenbach M., Tubiana C., Capaccioni F., Paquette J.A., Flandes A., Moreno F., Agarwal J., Bodewits D., Bertini I., Tozzi G.P., Hornung K., Langevin Y., Krüger H., Longobardo A., Della Corte V., Tóth I., Filacchione G., Ivanovski S. L., Mottola S., Rinaldi G. Synthesis of the morphological description of cometary dust at comet 67P/Churyumov-Gerasimenko // Astron. and Astrophys. 2019. V. 630. id. A24. https://doi.org/10.1051/0004-6361/201834751
- Hansen J.E., Travis L.D. Light scattering in planetary atmospheres // Space Sci. Rev. 1974. V. 16. P. 527−610.
- Hendrix A.R., Vilas F. C-complex asteroids: UV-visible spectral characteristics and implications for space weathering effects // Geophys. Res. Lett. 2019. V. 46. P. 14307−14317. https://doi.org/10.1029/2019GL085883
- Hsieh H.H., Novaković B., Kim Y., Brasser R. Asteroid family associations of active asteroids // Astron. J. 2018. V. 155. id. 96. https://doi.org/10.3847/1538-3881/aaa5a2
- Jewitt D., Hsieh H.H. The Asteroid-Comet Continuum. Chapter in press for the book Comets III. / Eds Meech K., Combi M. Univ. Arizona Press. arXiv:2203.01397v1 [astro-ph.EP] 2 Mar 2022. https://doi.org/10.48550/arXiv.2203.01397.
- Jovanović L., Gautier T., Protopapa S. Optical constants of Pluto aerosol analogues from UV to near-IR // Icarus. 2021. V. 362. id. 114398. https://doi.org/10.1016/j.icarus.2021.114398
- Kimura H., Kolokolova L., Mann I. Optical properties of cometary dust: Constrains from numerical studies on light scattering by aggregate particles // Astron. and Astrophys. 2003. V. 407. P. L5−L8. https://doi.org/10.1051/0004-6361:20030967
- Kolokolova L., Hanner M.S., Levasseur-Regourd A.-Ch., Gustafson B.Å.S. Physical properties of cometary dust from light scattering and thermal emission // Comets II / Eds Festou M.C., Keller H.U., and Weaver H.A. Tucson: Univ. Arizona Press, 2004. P. 577−604.
- Kolokolova L., Nagdimunov L., Mackowski D. Light scattering by hierarchical aggregates // J. Quant. Spectrosc. Radiat. Transfer. 2018. V. 204. P. 138–143. https://doi.org/10.1016/j.jqsrt.2017.09.019
- Kosaza T., Blum J., Okamoto H., Mukai T. Optical properties of dust aggregates. 2. Angular dependence of scattered light // Astron. and Astrophys. 1993. V. 276. P. 278–288.
- Lasue J., Levasseur-Regourd A.C., Hadamcik E., Alcouffe G. Cometary dust properties retrieved from polarization observations: Application to C/1995 O1 Hale–Bopp and 1P/Halley // Icarus. 2009. V. 199. V. 129–144. https://doi.org/10.1016/j.icarus.2008.09.008
- Li A., Greenberg J.M. A unified model of interstellar dust // Astron. nand Astrophys. 1997. V. 232. P. 566–584.
- Liu L., Mishchenko M.I. Scattering and radiative properties of morphologically complex carbonaceous aerosols: A systematic modeling study // Remote Sens. 2018. V. 10. id. 1634. https://doi.org/10.3390/rs10101634
- Lumme K., Penttilä A. Model of light scattering by dust particles in the Solar System: Applications to cometary comae and planetary regoliths // J. Quant. Spectrosc. Radiat. Transfer. 2011. V. 112. P. 1658–1670. https://doi.org/10.1016/j.jqsrt.2011.01.016
- Mackowski D.W. Electrostatics analysis of sphere clusters in the Rayleigh limit: Application to soot particles // Appl. Opt. 1995. V. 34. P. 3535–3545. https://doi.org/10.1364/AO.34.003535
- Mackowski D.W., Mishchenko M.I. Calculation of the T matrix and the scattering matrix for ensembles of spheres // J. Opt. Soc. Am. A. 1996. V. 13. P. 2266−2278. https://doi.org/10.1364/JOSAA.13.002266
- Mackowski D.W., Mishchenko M.I. A multiple sphere T-matrix Fortran code for use on parallel computer clusters // J. Quant. Spectrosc. Radiat. Transfer. 2011. V. 112. P. 2182–2192. https://doi.org/10.1016/j.jqsrt
- Mannel T., Bentley M.S., Schmied R., Jeszenszky H., Levasseur-Regourd A.C., Romstedt J., Torkar K. Fractal cometary dust – a window into the early Solar system // Mon. Notic. Roy. Astron. Soc. 2016. V. 462. P. S304–S311. https://doi.org/10.1093/mnras/stw2898
- Mishchenko M.I., Travis L.D. Satellite retrieval of aerosol properties over ocean using polarization as well as intensity of reflected sunlight // J. Geophys. Res. 1997. V. 102 (D14). P. 16989–17013. https://doi.org/10.1029/96JD02425
- Mishchenko M.I., Travis L.D., Kahn R.A., West R.A. Modeling phase functions for dustlike tropospheric aerosols using a shape mixture of randomly oriented polydisperse spheroids // J. Geophys. Res. 1997. V. 102 (D14). P. 16831–16847. https://doi.org/10.1029/96JD02110
- Mishchenko M.I., Travis L.D., Lacis A.A. Scattering, Absorption, and Emission of Light by Small Particles. Cambridge: Cambridge Univ. Press, 2002. 462 p.
- Petrova E.V., Jockers K., Kiselev N.N. Light scattering by aggregates with sizes comparable to the wavelength: an application to cometary dust // Icarus. 2000. V. 148. P. 526−536. https://doi.org/10.1006/icar.2000.6504
- Protopapa S., Sunshine J.M., Feaga L.M., Kelley M.S.P., A’Hearn M.F., Farnham T.L., Groussin O., Besse S., Merlin F., Li J.-Y. Water ice and dust in the innermost coma of comet 103P/Hartley 2 // Icarus. 2014. V. 238. P. 191–204. https://doi.org/10.1016/j.icarus.2014.04.008
- Ramirez S.I., Coll P., da Silva A., Navarro-González R., Lafait J., Raulin F. Complex refractive index of Titan’s aerosol analogues in the 200–900 nm domain // Icarus. 2002. V. 156 P. 515–529. https://doi.org/10.1006/icar.2001.6783
- Rondón-Briceño E., Carvano J.M., Lorenz-Martins S. A study of the effects of faint dust comae on the spectra of asteroids // Mon. Notic. Roy. Astron. Soc. 2017. V. 468. P. 1556–1566. https://doi.org/10.1093/mnras/stx536
- Rouleau F., Martin P.G. Shape and clustering effects on the optical properties of amorphous carbon // Astrophys. J. 1991. V. 377. P. 526–540.
- Tishkovets V.P., Petrova E.V., Jockers K. Optical properties of aggregate particles comparable in size to the wavelength // J. Quant. Spectrosc. Radiat. Transfer. 2004. V. 86. P. 241−265. https://doi.org/10.1016/j.jqsrt.2003.08.003
- Tishkovets V.P., Petrova E.V., Mishchenko M.I. Scattering of electromagnetic waves by ensembles of particles and discrete random media // J. Quant. Spectrosc. Radiat. Transfer. 2011. V. 112. P. 2095–20127. https://doi.org/10.1016/j.jqsrt.2011.04.010
- Tishkovets V.P., Petrova E.V. Spectra of light reflected by aggregate structures of submicron particles // J. Quant. Spectrosc. Radiat. Transfer. 2020. V. 252. id. 107116. https://doi.org/10.1016/j.jqsrt.2020.107116
- Warren S.G. Optical constants of carbon dioxide ice // Applied Optics. 1986. V. 25. № 16.
- Warren S.G., Brandt R.E. Optical constants of ice from the ultraviolet to the microwave: A revised compilation // J. Geophys. Res. 2008. V. 113. D14220. https://doi.org/10.1029/2007JD009744
- Zubko E., Shkuratov Yu., Videen G. Effect of morphology on light scattering by agglomerates // J. Quant. Spectrosc. Radiat. Transfer. 2015. V. 150. P. 42–54. https://doi.org/10.1016/j.jqsrt.2014.06.023
Supplementary files














