Application of spectral proper orthogonal decomposition to the analysis of sound field of aeroacoustic sources
- Авторлар: Bychkov O.P.1, Faranosov G.A.1
-
Мекемелер:
- FAU TsAGI
- Шығарылым: Том 70, № 6 (2024)
- Беттер: 878-890
- Бөлім: АТМОСФЕРНАЯ И АЭРОАКУСТИКА
- URL: https://ogarev-online.ru/0320-7919/article/view/277528
- DOI: https://doi.org/10.31857/S0320791924060075
- EDN: https://elibrary.ru/JTMLQG
- ID: 277528
Дәйексөз келтіру
Аннотация
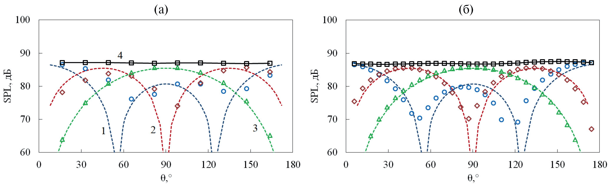
Spectral proper orthogonal decomposition (SPOD) is proposed for the identification of the multipole structure of aeroacoustic noise sources from far-field measurements. The method is verified via tests with point multipoles and validated using experimental data on flow-induced cylinder noise and turbulent jet noise.
Негізгі сөздер
Толық мәтін
Авторлар туралы
O. Bychkov
FAU TsAGI
Email: georgefalt@rambler.ru
Ресей, Moscow
G. Faranosov
FAU TsAGI
Хат алмасуға жауапты Автор.
Email: georgefalt@rambler.ru
Ресей, Moscow
Әдебиет тізімі
- Curle N. The Influence of Solid Boundaries on Aerodynamic Sound // Proc. Roy. Soc. (London) Ser. A. 1955. V. 231. № 1187. P. 505–514.
- Kopiev V.F., Zaitsev M. Yu., Chernyshev S.A., Ostrikov N.N. Vortex ring input in subsonic jet noise // Int. J. Aeroacoust. 2007. V. 6. N. 4. P. 375–405.
- Myнин А.Г., Кузнецов И.М., Леонтьев E.A. Аэродинамические источники шума. М.: Машиностроение, 1981. С. 248.
- Rienstra S.W., Hirschberg A. An Introduction to Acoustics // Eindhoven University of Technology, 2004.
- Демьянов М.А. Корреляционный метод идентификации акустических источников с помощью многомикрофонных измерений // Акуст. журн. 2022. Т. 68. № 6. С. 638–646.
- Kopiev V.F., Chernyshev, S.A. Vortex ring eigen-oscillations as a source of sound // J. Fluid Mech. 1997. V. 341. P. 19–57.
- Зайцев М.Ю., Копьев В.Ф., Котова А.Н. Представление звукового поля турбулентного вихревого кольца суперпозицией квадруполей // Акуст. журн. 2001. Т. 47. № 6. С. 793–801.
- Блохинцев Д.И. Акустика неоднородной движущейся среды. М.: Наука, 1981.
- Зайцев М.Ю., Копьев В.Ф. Механизм генерации звука турбулентностью вблизи твердого тела // Изв. РАН МЖГ. 2008. № 1. С. 98–109.
- Баженова Л.А., Семенов А.Г. О влиянии числа Рейнольдса на интенсивность вихревого звука при обтекании цилиндрического профиля // Акуст. журн. 2013. Т. 59. № 5. С. 586–595.
- Kopiev V.F. Azimuthal decomposition of turbulent jet noise and its role for diagnostics of noise sources // VKI Lecture Series 2004–05. Advances in Aeroacoustics and Applications, 2004. P. 1–23.
- Бычков О.П., Зайцев М.Ю., Копьев В.Ф., Фараносов Г.А., Чернышев С.А. О двух подходах к моделированию шума низкоскоростных дозвуковых струй // Докл. Росс. Акад. наук. Физика, Техн. Науки. 2022. Т. 506. № 1. С. 16–25.
- Копьев В.Ф., Зайцев М.Ю., Копьев В.А., Остриков Н.Н., Фараносов Г.А. Использование акустических характеристик коронного разряда для диагностики его свойств // Акуст. журн. 2016. Т. 62. № 4. С. 424–430.
- Sergeev S., Lissek H., Howling A., Furno I., Plyushchev G., Leyland P. Development of a plasma electroacoustic actuator for active noise control applications // J. Physics D: Applied Physics. 2020. V. 53. N. 49. P. 495202.
- Скучик Е. Основы акустики. Т. 2. М.: Мир, 1976. С. 544.
- Бобровницкий Ю.И. Физическая модель и характеристики ближнего поля мультиполя // Акуст. журн. 1998. Т. 44. № 1. C. 11–20.
- Остриков Н.Н. Излучение звука распределенными квадрупольными источниками вблизи твердых тел // Акуст. журн. 2012. Т. 58. № 4. C. 525–534.
- Faranosov G., Belyaev I., Kopiev V., Bychkov O. Azimuthal structure of low-frequency noise of installed jet // AIAA Journal. 2019. V.57. N. 5. P. 1885–1898.
- Бычков О.П., Фараносов Г.А. Исследование влияния угла установки крыла на характеристики рассеяния ближнего гидродинамического поля турбулентной струи // Докл. Росс. Акад. наук. Физика, Техн. науки. 2022. Т. 506. № 1. С. 57–67.
- Kopiev V., Chernyshev S. Correlation model of quadrupole noise sources in turbulent jet: effect of refraction // AIAA paper. 2015. 2015–3130.
- Goldstein M.E. The low frequency sound from multipole sources in axisymmetric shear flows, with applications to jet noise // J. Fluid Mech. 1975. V. 70. No 3. P. 595–604.
- Kopiev V.F., Zaitsev M. Yu., Chernyshev S.A., Kotova A.N. The role of large-scale vortex in a turbulent jet noise // AIAA paper. 1999. 99–1839.
- Mani R. The influence of jet flow on jet noise. Part 1. The noise of unheated jets // J. Fluid Mech. 1976. V. 73. No 4. P. 753–778.
- Kopiev V., Chernyshev S.A., Faranosov G. On defining the jet noise source quadrupole structure on the basis of multi-array acoustic data and correlation theory // AIAA paper. 2016. 2016–2806.
- Cavalieri A.V., Jordan P., Colonius T., Gervais Y. Axisymmetric superdirectivity in subsonic jets // J. Fluid Mech. 2012. V. 704. P. 388–420.
- Suzuki T. Identification of multipole noise sources in low Mach number jets near the peak frequency // J. Acoust. Soc. Am.. 2006. V. 119. No 6. P. 3649–3659.
- Копьев В.Ф., Фараносов Г.А. Обобщение метода азимутальной декомпозиции звукового поля компактного источника на случай измерений вблизи жесткой поверхности // Акуст. журн. 2015. Т. 61. № 1. С. 65–75.
- Faranosov G., Belyaev I., Kopiev V., Zaytsev M., Aleksentsev A., Bersenev Y., Chursin V., Viskova T. Adaptation of the azimuthal decomposition technique to jet noise measurements in full-scale tests // AIAA Journal. 2017. V. 55. No 2. P. 572–584.
- Armstrong R.R., Michalke A., Fuchs H.V. Coherent structures in jet turbulence and noise // AIAA Journal. 1977. V. 15. No 7. P. 1011–1017.
- Juve D., Sunyach M., Comte-Bellot G. Filtered azimuthal correlations in the acoustic far field of a subsonic jet // AIAA Journal. 1979. V. 17. No 1. P. 112–114.
- Jordan P., Fitzpatrick J., Valiere J.-Ch. Measurement of an aeroacoustic dipole using a linear microphone array // J. Acoust. Soc. Am. 2002. V. 111. № 3. P. 1267–1273.
- Liu Y., Quayle A., Dowling A., Sijtsma P. Beamforming correction for dipole measurement using two-dimensional microphone arrays // J. Acoust. Soc. Am. 2008. V. 124. No 1. P. 182–191.
- Бычков О.П., Демьянов М.А., Фараносов Г.А. Локализация дипольных источников шума плоскими микрофонными решетками // Акуст. журн. 2019. Т. 65. № 5. С. 675–687.
- Taira K., Brunton S.L., Dawson S., Rowley C.W., Colonius T., McKeon B.J., Schmidt O.T., Gordeyev S., Theofilis V., Ukeiley L.S. Modal Analysis of Fluid Flows: An Overview // AIAA Journal. 2017. V. 55. No 12. P. 4013–4041.
- Towne A., Schmidt O.T., Colonius T. Spectral proper orthogonal decomposition and its relationship to dynamic mode decomposition and resolvent analysis // J. Fluid Mechanics. 2018. V. 847. P. 821–867.
- Lumley J.L. The Structure of Inhomogeneous Turbulent Flows // Atmospheric Turbulence and Radio Propagation, edited by Yaglom A.M., and Tatarski V.I., Nauka, Moscow, 1967, pp. 166–178.
- Pearson K. On lines and planes of closest fit to systems of points in space // The London, Edinburgh, and Dublin philosophical magazine and journal of science. 1901. V. 2. No 11. P. 559–572.
- Nekkanti A., Schmidt O.T. Modal analysis of acoustic directivity in turbulent jets // AIAA Journal. 2021. V. 59. No 1. P. 228–239.
- Fiore M., Parisot-Dupuis H., Etchebarne B., Gojon R. Spectral proper orthogonal decomposition of coupled hydrodynamic and acoustic fields: Application to impinging jet configurations // Computers & Fluids. 2022. V. 241. P. 105484.
- Абрамовиц М., Стиган И. Справочник по специальным функциям. М.: Наука, 1979.
- Welch P. The use of fast Fourier transform for the estimation of power spectra: A method based on time averaging over short, modified periodograms // IEEE Trans. Audio and Electroacoustics. 1967. V. 15. N. 2. P. 70–73.
Қосымша файлдар










