Design of Sound Absorbing Honeycomb Materials with Geometry of Triply Periodic Minimal Surfaces (TPMS)
- Authors: Sysoev E.I.1,2, Sychov M.M.1,3, Shafigullin L.N.4, Dyachenko S.V.1,3
-
Affiliations:
- I.V. Grebenshchikov Institute of Silicate Chemistry of the Russian Academy of Sciences
- LETI Saint Petersburg State Electrotechnical University
- Saint Petersburg State Institute of Technology (Technical University)
- Kazan Federal University
- Issue: Vol 70, No 5 (2024)
- Pages: 765-777
- Section: АКУСТИЧЕСКАЯ ЭКОЛОГИЯ. ШУМЫ И ВИБРАЦИИ
- URL: https://ogarev-online.ru/0320-7919/article/view/273022
- DOI: https://doi.org/10.31857/S0320791924050111
- EDN: https://elibrary.ru/XBBTRE
- ID: 273022
Cite item
Full Text
Abstract
The use of cellular materials with the geometry of triply periodic minimum energy surfaces (TPMES) is proposed for the creation of durable cellular materials with controlled acoustic characteristics. Homogeneous unit cells with the Primitive, Diamond, FRD and Gyroid topologies of different porosity were developed and their acoustic parameters were determined. Using the semi-phenomenological Johnson-Champoux-Allard-Lafarge-Pride model, the sound absorption capacity of materials with this geometry was estimated. It was shown that by varying the size of the unit cell and the thickness of the sample, it is possible to control the acoustic characteristics and the average sound absorption coefficient in the range from 0.2 to 0.8. The reliability of the calculations was confirmed experimentally using additively manufactured samples. The results demonstrate the potential of using TPMES for creating materials with controlled pore geometry to achieve predictable sound absorption characteristics.
Full Text
ВВЕДЕНИЕ
С ростом населения в городах и развитием транспортной инфраструктуры шумовое загрязнение становится всё более актуальной проблемой, которая требует инженерных решений. Для борьбы с шумом в строительстве, автомобильной и аэрокосмической технике, судостроении широко используются пенистые материалы, благодаря своим высоким звукопоглощающим характеристикам и малому весу [1]. Они также применяются в других областях, таких как теплоизоляция, поглощение энергии, упаковка и фильтрация [2]. Известно, что эффективность звукопоглощения зависит от характера пористости структуры и наличия открытых пор. Для повышения звукопоглощения на низких частотах следует создавать в материале крупные поры, в то время как на высоких частотах мелкие поры становятся более эффективными. Следовательно, для достижения широкого диапазона звукопоглощения в материале необходимо регулировать процесс формирования пор таким образом, чтобы в его структуре присутствовали как крупные, так и мелкие поры. Однако сложности в управлении процессом вспенивания затрудняют контроль микроструктуры и, следовательно, характеристики звукопоглощения. Кроме того, неоднородное строение материала приводит к непостоянству прочности по сечению материала. Для получения желаемых физико-механических характеристик необходимо использовать периодические ячеистые материалы, геометрию которых легко оптимизировать за счет изменения формы и размера пор [3].
Двумерные ячеистые материалы, такие как сотовые структуры, обладают высокой энергопоглощающей способностью и прочностью. Однако из-за своей полой, не извилистой геометрии, при больших размерах ячеек и малой толщине материала они практически прозрачны для шума, так как внутри них нет ничего, что могло бы отражать или поглощать звук [4]. Для увеличения звукопоглощения такие структуры могут быть наполнены другим пористым материалом [5] или представлены в виде композитного материала с микроперфорацией [6]. Тем не менее, основным недостатком двумерных материалов является анизотропия свойств, из-за чего максимальная прочность и поглощение звуковой энергии у таких структур наблюдается только в одном направлении.
На данный момент в различных областях инженерной деятельности активно исследуются трехмерные периодические ячеистые материалы [7], обладающие повышенной изотропией физико-механических свойств. Такие материалы включают решетчатые структуры на основе стоек [8], структуры, полученные вычитанием сфер из кубических ячеек [9], структуры на основе трижды периодических поверхностей минимальной энергии (ТППМЭ) [10] и другие [11–13]. Наиболее перспективными является использование конструкций с топологией ТППМЭ, поскольку в работах В.Я. Шевченко с соавторами было показано, что данные изделия демонстрируют повышенные физико-механические свойства за счет низкой средней кривизны поверхности [14–16]. Кроме того, с использованием геометрии ТППМЭ возможно создание разнообразных градиентных и гибридных структур, что позволит управлять акустическими характеристиками в более широких пределах [17]. Прикладной интерес со стороны инженеров и материаловедов к таким поверхностям появился совсем недавно, так как изготовление объектов и материалов с геометрией ТППМЭ возможно только с использованием аддитивных технологий. Последние достижения в области аддитивных технологий позволяют создавать звукопоглощающие метаматериалы сложной формы, способные наилучшим образом поглощать или рассеивать звуковую энергию [18]. Например, в работе [19] изучались свойства 3D напечатанной акустической черной дыры, основная идея которой заключается в поглощении падающей энергии без отражения за счет бесконечного времени распространения волны. В работе [20] рассмотрены звукопоглощающие характеристики 3D напечатанных ячеистых конструкций резонансного типа для авиационных двигателей. Следует отметить, что хотя аддитивное изготовление может снижать механические характеристики изделия [21], в то же время оно способно улучшить его звукопоглощающие свойства за счет формирования шероховатой поверхности и микропористости [22, 23]. Тем не менее, звукопоглощающие свойства структур с геометрией ТППМЭ до сих пор остаются малоизученными [7, 24]. Поэтому представляет интерес исследовать взаимосвязь геометрических и акустических характеристик, что позволит проектировать материалы с заданными свойствами.
Настоящее исследование направлено на изучение акустических характеристик структур с геометрией ТППМЭ и оценки их звукопоглощающей способности. Предполагается, что структура не будет участвовать в диссипации звуковой энергии, поэтому рассматриваются модели неподвижного скелета. Для проведения численного исследования была выбрана полуфеноменологическая модель Джонсона-Шампу-Алларда-Лафаржа-Прайда (JCALP), поскольку она эффективно прогнозирует звукопоглощение в пористых материалах с жестким каркасом и открытой пористостью [25]. Данный подход использует 8 параметров, которые описывают микрогеометрию пористого материала на макроскопическом уровне. Существуют также базовые представления, использующие 5 и 6 параметров: модели Джонсона-Шампу-Аллара (JCA) и Джонсона-Шампу-Аллара-Лафаржа (JCAL), соответственно. Несмотря на то, что они требуют меньше времени и вычислительных ресурсов на определение акустических параметров, которых часто достаточно для правильной оценки звукопоглощения объектов без резких изменений пористой среды [26], модель JCALP позволяет наиболее точно описать акустическое поведение материала на низких частотах за счет ввода дополнительных параметров. Поскольку в данном исследовании изучаются материалы со сложной геометрией пор, целесообразно использовать самую совершенную JCALP модель. С другой стороны, в отличие от эмпирических моделей (например, Делани-Базли и Мики), которые часто ограничены простыми геометриями пор, JCALP модель учитывает неоднородность воздушных каналов, что обеспечивает адекватную корреляцию результатов с экспериментом [27].
В соответствии с поставленной целью были: 1) разработаны 3D модели изделий c различной геометрией ТППМЭ и разной степенью пористости; 2) определены их акустические параметры с использованием модели JCALP; 3) расчетным путем изучено влияние геометрии, пористости, толщины образца и размера элементарной ячейки на коэффициент звукопоглощения; 4) экспериментально исследовано акустическое поглощение аддитивно изготовленных образцов; 5) проведено сравнение результатов определения коэффициента звукопоглощения расчетным и эмпирическим методами.
МАТЕРИАЛЫ И МЕТОДЫ
2.1. МОДЕЛИРОВАНИЕ ПОРИСТОЙ СРЕДЫ C ГЕОМЕТРЕЙ ТППМЭ
Для оценки коэффициента звукопоглощения были смоделированы элементарные ячейки ТППМЭ типа Primitive, Diamond, FRD и Gyroid с использованием неявных уравнений (1)–(4), уникальные для каждого типа, для создания образующей поверхности.
; (1)
(2)
(3)
(4)
где t — параметр, характеризующий изоуровень поверхности.
Для изучения влияния параметра t на коэффициент звукопоглощения были смоделированы 4 поверхности каждого типа с t = –0.6 .. +0.6 и размером 1 × 1 × 1 мм. Полученные поверхности разделяют конечный ограничивающий объем на два лабиринтных пространства. Функциональные конструкции с ТППМЭ геометрией обычно формируются путем заполнения одного лабиринтного подпространства материалом или путем утолщения стенок [28]. В данном исследовании был выбран первый вариант формирования ячейки ТППМЭ, где каркас является твердым материалом, а поры заполнены воздухом (рис. 1а). На рис. 1б представлены 3D модели элементарных ячеек ТППМЭ каждого типа с разным значением t. Можно заметить, что параметр t не меняет структуру, но влияет на то, сколько пространства она заполняет, что позволяет управлять пористостью и, следовательно, акустическими параметрами.
Рис. 1. (а) — Процесс моделирования элементарной ячейки ТППМЭ с геометрией Primitive; (б) — 3D модели пор с разной геометрией ТППМЭ и параметром t
2.2. ОПРЕДЕЛЕНИЕ АКУСТИЧЕСКИХ ПАРАМЕТРОВ МОДЕЛИ JCALP
Для предсказания характеристического импеданса и комплексного волнового числа периодической элементарной ячейки пористой среды используются восемь параметров модели JCALP. Эти параметры управляют рассеиванием звуковой энергии в пористой среде на низких и высоких частотах, включая вязкую и тепловую энергию [27].
- Пористость (φ) была оценена как отношение воздушной области (Vв) к суммарному объёму воздушной и твердой фазы (Vсум) пористой среды на основе геометрической модели с использованием средств САПР по следующей формуле:
. (5)
- Для оценки статической вязкой проницаемости (k0) пористой среды решалась краевая задача Стокса. На низких частотах вязкие силы преобладают над инерционными, поэтому можно их не учитывать и переписать уравнение Навье-Стокса к следующему виду:
. (6)
Здесь μΔv соответствует силам вязкости, ∇p характеризует гидравлический градиент, а ΔP — разность давлений, прикладываемых извне к границам элементарной ячейки в направлении потока воздуха (в данном исследовании соответствует направлению [1, 0, 0]). Задача была сформулирована для вязкого потока с граничными условиями непрерывности и отсутствием скольжения на стенках. При такой постановке вязкая проницаемость может быть определена с использованием закона Дарси по следующей формуле:
, (7)
где vx — скорость воздуха в направлении потока; d — толщина элементарной ячейки; <>f — символ среднего значения по объему поры.
- Статическая вязкая извилистость (α0) была определена исходя из результатов, полученных при решении краевой задачи Стокса как:
. (8)
- Для оценки динамической извилистости (α∞) пористой среды решалась краевая задача Лапласа. На высоких частотах инерционные силы доминируют над вязкими, что позволяет их не учитывать и считать поток невязким. В свою очередь, задача инерционного потока эквивалентна задаче электропроводности, где воздух соответствует проводящей жидкости, а пористая структура — изолирующий материал. Такая аналогия позволяет свести уравнение Навье-Стокса к уравнению Лапласа:
. (9)
Здесь E — локальное электрическое поле, e — внешнее электрическое поле, прикладываемое извне к границам элементарной ячейки в направлении потока воздуха, q — локальное скалярное поле электрического потенциала в проводящей (воздушной) среде. Задача была сформулирована для инерционного потока с граничными условиями непрерывности и изоляцией на стенках. При такой постановке извилистость пористой среды может быть определена по следующей формуле:
. (10)
- Вязкая характеристическая длина (Λ) была определена исходя из результатов, полученных при решении краевой задачи Лапласа как:
. (11)
- Для оценки статической тепловой проницаемости () пористой среды решалась краевая задача Пуассона. На низких частотах колебания давления, вызванные акустическими волнами, порождают тепловой поток из-за температурных колебаний внутри пор. Избыточная температура рассеивается на каркасе из-за его большей теплоемкости и теплопроводности, а явление термодиффузии определяется уравнением Пуассона:
. (12)
Задача термодиффузии была сформулирована с применением граничных условий непрерывности и термоизоляцией на стенках. При такой постановке тепловая проницаемость пористой среды может быть определена по следующей формуле:
. (13)
- Статическая тепловая извилистость () была определена исходя из результатов, полученных при решении краевой задачи Пуассона как:
. (14)
- Тепловая характеристическая длина (Λ') была определена на основе геометрической модели с использованием средств САПР как:
. (15)
Настоящий метод многомасштабного гибридного моделирования подробно представлен в работах Zielinski [29, 30] и перед применением к данным геометриям сравнивался с другими исследованиями.
2.3. ОЦЕНКА ЗВУКОПОГЛОЩЕНИЯ МАТЕРИАЛОВ
Как только восемь внутренних параметров модели JCALP определены, зависимые от частоты эквивалентная объемная плотность ρ(ω) и эквивалентный объемный модуль K(ω) пористой среды могут быть определены по следующим формулам:
, (16)
где ,
, (17)
где ,
где P0 — давление окружающей среды, ρ0 — плотность воздуха, µ — динамическая вязкость воздуха, γ — коэффициент теплоемкости воздуха, Cp — удельная теплоемкость воздуха, κ — теплопроводность воздуха. Все используемые величины соответствуют свойствам воздуха при 20°C и давлении 1 атм.
Далее, частотно-зависимый характеристический импеданс Zc и волновое число kf можно оценить следующим образом:
, (18)
. (19)
Для прогнозирования коэффициента поглощения расчетные значения характеристического импеданса и волнового числа используются для оценки поверхностного импеданса образца толщиной h с жесткой подложкой.
. (20)
В данном исследовании для изучения влияния геометрии и размера элементарной ячейки на звукопоглощение толщина образца составляла 30 мм.
Из уравнения (20) коэффициент поглощения определяется как:
, (21)
где c0 — скорость звука в воздухе.
2.4. ИЗГОТОВЛЕНИЕ И ЭКСПЕРИМЕНТАЛЬНОЕ ИССЛЕДОВАНИЕ ЗВУКОПОГЛОЩЕНИЯ ОБРАЗЦОВ
2.4.1. Изготовление образцов
Для экспериментального исследования нормального коэффициента звукопоглощения α в программной среде MSLattice [31] были смоделированы 2 типа образцов с геометрией Gyroid и Diamond, диаметром 29 мм и высотой 30 мм с размером элементарной ячейки 3 мм и заполнением пространства 50%, что соответствует случаю t = 0. Для точного воспроизведения геометрии моделей была выбрана LCD (liquid crystal display) технология 3D печати с использованием принтера Anycubic Photon M3 Max и фотополимерной смолы марки «Anycubic 3D Printing UV Sensitive Resin Black». В процессе 3D печати УФ-излучение ЖК-матрицы направлено на резервуар с фотополимером. В зависимости от геометрии образца, излучают только пиксели, соответствующие сечению модели для создания текущего слоя. По мере послойной полимеризации смолы формируется образец, соответствующий своей цифровой модели. Условия печати: толщина одного слоя — 50 мкм, время засветки — 3 с.
Все напечатанные образцы очищались от остатков жидкого фотополимера в вихревой ванне Anycubic Wash&Cure Plus с использованием этилового спирта. Для удаления смеси фотополимера и спирта из внутренних пор образцов использовался компрессор со сжатым воздухом. Затем, для завершения полимеризации образцы подвергались дополнительной засветке в УФ-камере. Для контроля и сопоставления характеристик напечатанных образцов с цифровой моделью проводились измерения размеров и массы. На рис. 2 представлены рендеры спроектированных моделей вместе с напечатанными образцами.
Рис. 2. (а) — Спроектированные модели звукопоглощающих материалов с различной геометрией ТППМЭ; (б) — напечатанные образцы по технологии LCD
2.4.2. Методика экспериментального исследования звукопоглощения образцов
Нормальный коэффициент звукопоглощения α определялся по методике ISO 10534–2:1998 «Определение коэффициента звукопоглощения и импеданса в импедансных трубках» [32] на изготовленных образцах в частотном диапазоне от 500 до 6400 Гц на основе усреднения трех результатов измерений. В качестве испытательного оборудования использовали акустическую трубу типа 4206 производства “Brüel & Kjær” (Дания). Обработка данных проводилась в программном продукте LabShop Version 18.1.1.13. На рис. 3 представлена схема импедансной трубы для измерения нормального коэффициента звукопоглощения методом двухмикрофонной передаточной функции.
Рис. 3. Схема импедансной трубы: 1 — источник звука; 2 — микрофоны; 3 — звукопоглощающий материал; 4 — плоская волна; 5 — жесткая заглушка
РЕЗУЛЬТАТЫ И ИХ ОБСУЖДЕНИЕ
3.1. РЕЗУЛЬТАТЫ ЧИСЛЕННЫХ ИССЛЕДОВАНИЙ
3.1.1. Акустические параметры
Краевые задачи, рассматриваемые в разделе 2.2, решались в инженерной среде конечно-элементного анализа COMSOL: модуль Creeping flow для уравнения Стокса, модуль Electrostatics для уравнения Лапласа и модуль PDE для уравнения Пуассона. На рис. 4 представлена элементарная модель поры с геометрией Gyroid вместе с результатами, полученными при решении краевых задач.
Рис. 4. (а) — Контуры поля статической проницаемости, (б) — контуры поля напряженности и (в) — контуры теплового поля внутри поры с геометрией Gyroid
Получаемые из тригонометрических функций топологии имеют различные значения пористости (рис. 5а), которые линейно изменяются с изменением структурного параметра t в уравнениях (1)–(4). Геометрии типа Primitive, Diamond и Gyroid являются балансными, т.е. при t = 0 имеют пористость 0.5. Геометрия типа FRD является небалансной и имеет пористость 0.44 при t = 0. Статическая вязкая и тепловая проницаемость во всех структурах увеличивается с увеличением пористости (рис. 5б, 5в) и хорошо интерполируются степенными функциями. Было обнаружено, что геометрия FRD обладает более низкими значениями проницаемости, что связано с наличием узких воздушных каналов в структуре. Напротив, геометрия Primitive обладает высокой пропускной способностью, что объясняется простой полой структурой. Для определения закономерности изменения извилистости структуры от ее пористости может быть использована как линейная, так и степенная интерполяция значений. Была выбрана линейная интерполяция, поскольку во многих случаях она показала наименьшую дисперсию значений (R2 приблизительно равен 1). Вязкая, тепловая и динамическая извилистость предсказуемо уменьшаются с увеличением пористости (рис. 5г-5е). Стоит отметить, что для геометрий типа Diamond и Gyroid диапазон значений практически одинаковый, что связано с сохранением сечения пор. У геометрий Primitive и FRD сечение поры сильно меняется по толщине элементарной ячейки, что отражается в высоких значениях извилистости при малой пористости. Для вязкой и тепловой характеристических длин были также определены линейные зависимости от пористости (рис. 5ж, 5з) для всех геометрий.
Рис. 5. Зависимость акустических параметров модели JCALP от пористости для каждой структуры ТППМЭ: (а) — зависимость пористости элементарной ячейки от параметра t, зависимость (б) — статической вязкой и (в) — тепловой проницаемости от пористости, зависимость (г) — вязкой, (д) — тепловой и (е) — динамической извилистости от пористости, зависимость (ж) — вязкой и (з) — тепловой характеристических длин от пористости
3.1.2. Влияние геометрии и параметра t на характер звукопоглощения
Для изучения влияния геометрии и параметра t на звукопоглощение с использованием уравнения (21) были оценены коэффициенты звукопоглощения в диапазоне частот от 500 до 6400 Гц (рис. 6а–6г). Было обнаружено, что для геометрии Primitive c увеличением параметра t звукопоглощение усиливается, первая волна поглощения сужается, смещаясь в область низких частот и достигает максимальной амплитуды при t = 0.6. В случае геометрии Gyroid наблюдается обратная зависимость, так как при увеличении параметра t пористость увеличивается. Для геометрии Diamond, обладающей более низкой проницаемостью, максимальная амплитуда поглощения достигается при t ≈ 0. Дальнейшее увеличение t приводит к увеличению волн отражения, что в итоге снижает звукопоглощение. Геометрия FRD, несмотря на то, что пористость увеличивается при увеличении t, демонстрирует максимальную амплитуду поглощения первой волны при t = 0.6. Это наблюдение также указывает на то, что очень низкая проницаемость геометрии приводит к ухудшению звукопоглощающей характеристики при низкой пористости.
Рис. 6. Контурный график коэффициента звукопоглощения в зависимости от частоты и параметра t для структур ТППМЭ с геометрией (а) — Primitive, (б) — Diamond, (в) — FRD, (г) — Gyroid, (д) — характер звукопоглощения исследуемых геометрий при t = 0; (е) — зависимость среднего коэффициента звукопоглощения от пористости структуры ТППМЭ
Для всех исследуемых геометрий частота пикового поглощения находится в одинаковом диапазоне (рис. 6д), однако она по-разному изменяется при варьировании параметра t. Для FRD пик смещен в область низких частот, поскольку при t = 0 его пористость отличается от остальных геометрий. На основе величины среднего коэффициента звукопоглощения, среди всех типов ТППМЭ, наибольшее звукопоглощение наблюдается у структуры FRD (рис. 6е). Это достигается благодаря высокой извилистости и низкой проницаемости структуры. Геометрия Primitive также демонстрирует схожие значения извилистости, однако звукопоглощение оказывается наименьшим из-за высокой проницаемости. Пора с геометрией FRD является гидравлически правильной и обеспечивает низкое входное сопротивление, за счет чего материал с данной геометрией показывает более эффективное звукопоглощение. Напротив, форма поры с геометрией Primitive является гидравлически неправильной и имеет высокое входное сопротивление. Исходя из полученных результатов, для достижения максимального звукопоглощения предпочтительно использовать топологии с множеством воздушных каналов, соединенных одной общей порой. На рис. 6е указана зависимость максимального среднего звукопоглощения от пористости, исходя из которой следует, что для достижения большего поглощения необходимо для низкопроницаемых структур (FRD) увеличивать пористость, а для высокопроницаемых, наоборот, уменьшать (Primitive). В соответствии с этим, оптимальным диапазоном пористости для исследуемых геометрий можно считать 40–50%.
3.1.3. Влияние толщины материала и размера элементарной ячейки на звукопоглощение
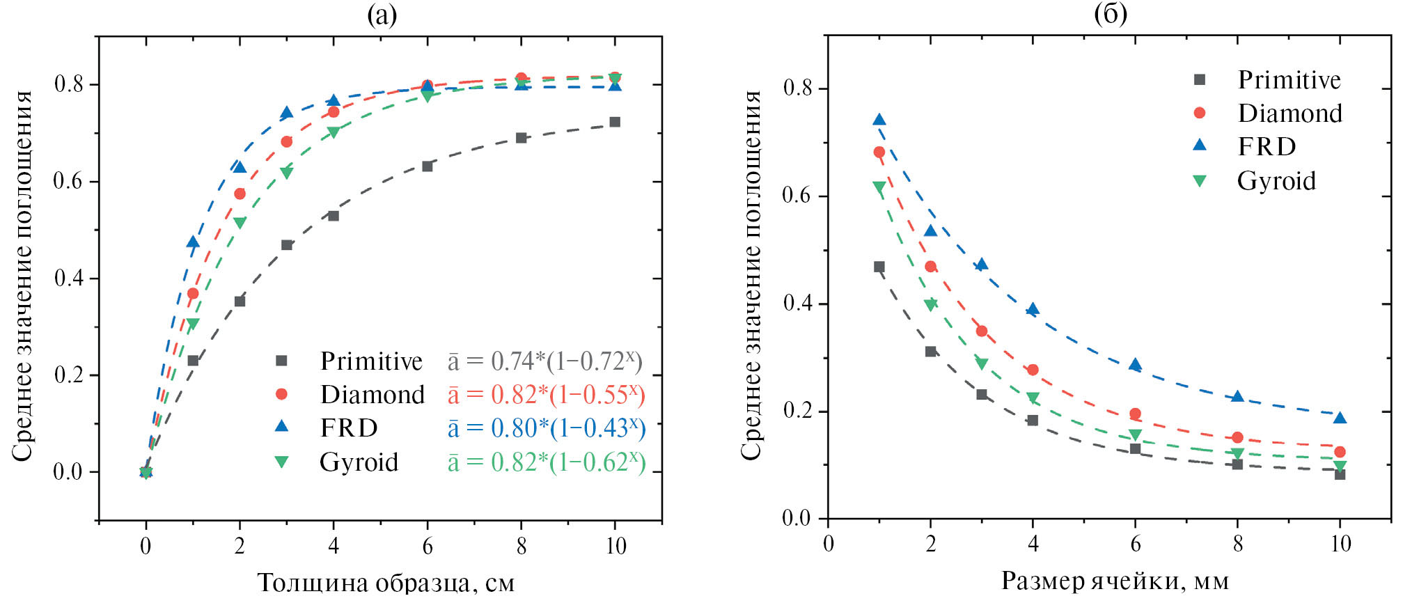
Было изучено влияние толщины материала на звукопоглощение для определения оптимальных размеров, при которых геометрия структуры вносит значительный вклад в акустическое поведение. В этом исследовании использовались все четыре топологии с одинаковой пористостью равной 0.5. Исходя из рис. 7а, в диапазоне толщин 1–4 см геометрия сильнее всего влияет на звукопоглощающую способность, а максимальная разница между FRD и Primitive на участке 2–3 см составляет 0.27. Начиная с 5 см для FRD начинается участок насыщения, звукопоглощение Diamond превалирует вплоть до 10 см, где влияние геометрии уже несущественно. При этой же толщине Gyroid сопоставим по среднему коэффициенту со структурой Diamond, которая вышла в насыщение с 8 см. В то же время, для геометрии Primitive участка насыщения не наблюдается, поэтому можно предположить, что при дальнейшем увеличении толщины материала его звукопоглощение будет преобладать над другими. Полученные значения хорошо интерполируются показательной функцией c коэффициентом детерминации R2 ≈ 1. Варьируя толщину образца, можно получать узко- или широкополосные фильтры с требуемыми полосами пропускания/поглощения.
Рис. 7. Зависимость среднего коэффициента звукопоглощения от (а) — толщины образца и (б) — параметра элементарной ячейки ТППМЭ
Увеличение или уменьшение размера элементарной ячейки приводит к изменению акустических параметров и, следовательно, амплитуды звукопоглощения. Например, увеличение параметра элементарной ячейки в n раз приводит к увеличению проницаемости (вязкой и тепловой) в n2 раз и увеличению вязкой и тепловой характеристических длин в n раз. Пористость структуры и ее извилистость (статическая и динамическая) при этом сохраняются. На рис. 7б представлена зависимость среднего звукопоглощения от параметра элементарной ячейки. Средний коэффициент поглощения уменьшается по степенному закону для всех рассматриваемых структур, так как при увеличении размеров пор резко возрастает инерционная составляющая воздуха по отношению к его вязкости. Уменьшение поглощающей способности происходит с одинаковой тенденцией для всех геометрий и при большом параметре элементарной ячейки влияние геометрии несущественно.
3.2. РЕЗУЛЬТАТЫ ЭКСПЕРИМЕНТАЛЬНЫХ ИССЛЕДОВАНИЙ
Для сравнения численного и экспериментально полученного коэффициента звукопоглощения образцов акустические параметры, рассчитанные в разделе 3.1.1, были масштабированы в соответствии с размером элементарной ячейки 3 мм. В табл. 1 представлены восемь параметров модели JCALP, полученные для каждой модели. На рис. 8 показана зависимость расчетного и измеренного коэффициента звукопоглощения от частоты звуковой волны. Установлено, что результаты, полученные с использованием модели JCALP, адекватно согласуются с экспериментальными данными для всех образцов. Наибольшее отклонение на частоте максимального поглощения (амплитуды) наблюдается у образца Gyroid и соответствует –12%, отклонение образца Diamond составляет –5%.
Таблица 1. Акустические параметры модели JCALP для напечатанных образцов
Акустические параметры | φS, % | φC, % | k0, 10–8 м2 | , 10–8 м2 | α0 | α∞ | Λ, 10–4 м2 | Λ′, 10–4 м2 | |
Gyroid | 49.6 | 50.0 | 2.022 | 4.427 | 2.057 | 1.254 | 1.433 | 7.076 | 9.692 |
Diamond | 50.7 | 50.5 | 1.260 | 2.930 | 2.050 | 1.262 | 1.437 | 5.613 | 7.792 |
Рис. 8. Сравнение экспериментальных и рассчитанных численно зависимостей коэффициента звукопоглощения напечатанных образцов
Найденные отклонения могут быть связаны с неточностью расчета акустических параметров, особенно статической вязкой проницаемостью, поскольку данный параметр, после пористости, имеет наибольшее влияние на значение пикового звукопоглощения. Так как отклонение звукопоглощения на низких частотах минимально, а периоды кривых можно считать одинаковыми, то все остальные отклонения с увеличением частоты объясняются несоответствием амплитуд первых пиков. С другой стороны, наблюдаемые расхождения в пористости между CAD моделями (φC) и образцами (φS) также могут указывать на возможное присутствие внутренних дефектов (фотополимерные включения и шероховатость), образующихся в процессе 3D печати. Более того, полностью игнорируются упругие свойства структуры, учет которых может улучшить сходимость. Тем не менее, на примере нескольких образцов было показано, что модель JCALP адекватно описывает акустическое поведение материала с геометрией ТППМЭ.
ЗАКЛЮЧЕНИЕ
Произведена оценка акустических свойств изделий с различной геометрией ТППМЭ типа Primitive, Diamond, FRD и Gyroid. С использованием компьютерного моделирования были решены три краевые задачи Стокса, Лапласа и Пуассона и определены акустические параметры модели Джонсона-Шампу-Алларда-Лафаржа-Прайда. Для исследуемых параметров определена зависимость от пористости материала с высоким коэффициентом детерминации. В результате параметрического исследования была установлена зависимость коэффициента звукопоглощения от частоты звука. Полученные результаты демонстрируют перспективы использования структур с ТППМЭ геометрией в качестве звукопоглощающего материала. Наибольшее звукопоглощение демонстрирует материал с геометрией FRD за счет гидравлически правильной формы пор и сети небольших каналов. Было установлено, что наибольшее поглощение звука наблюдается в диапазоне пористости 40–55%. Помимо этого, было изучено влияние размера элементарной ячейки и толщины образца на звукопоглощение.
Для проверки рассчитанного коэффициента звукопоглощения были аддитивно изготовлены и экспериментально исследованы два образца с различной геометрией. В качестве технологии 3D печати использовался метод стереолитографии, обладающий высокой точностью и технологичностью. Было установлено, что результаты, полученные с использованием модели JCALP, согласуются с экспериментальными данными для всех образцов. Наблюдаемые незначительные отклонения не превышают 12% и связаны с неточным определением проницаемости и/или возможными дефектами печати. В целом, проведенное численное исследование и соответствующие результаты можно считать достоверными.
Использование периодических пористых материалов, обладающих равномерно распределенными ячейками, обеспечивает предсказуемые характеристики по сравнению со стохастической структурой пены. Представленные в настоящем исследовании результаты позволят проектировать акустические ТППМЭ материалы с необходимыми полосами поглощения/пропускания звука.
Расчетное исследование акустических свойств выполнено в рамках государственного задания 1023033000085-7-1.4.3. Изготовление и экспериментальное исследование звукопоглощения образцов выполнено при поддержке Российского научного фонда (грант № 20-73-10171).
About the authors
E. I. Sysoev
I.V. Grebenshchikov Institute of Silicate Chemistry of the Russian Academy of Sciences; LETI Saint Petersburg State Electrotechnical University
Author for correspondence.
Email: jsysev@gmail.com
Russian Federation, Saint Petersburg; Saint Petersburg
M. M. Sychov
I.V. Grebenshchikov Institute of Silicate Chemistry of the Russian Academy of Sciences; Saint Petersburg State Institute of Technology (Technical University)
Email: jsysev@gmail.com
Russian Federation, Saint Petersburg; Saint Petersburg
L. N. Shafigullin
Kazan Federal University
Email: jsysev@gmail.com
Russian Federation, Kazan
S. V. Dyachenko
I.V. Grebenshchikov Institute of Silicate Chemistry of the Russian Academy of Sciences; Saint Petersburg State Institute of Technology (Technical University)
Email: jsysev@gmail.com
Russian Federation, Saint Petersburg; Saint Petersburg
References
- Tao Y., Ren M., Zhang H., Peijs T. Recent progress in acoustic materials and noise control strategies – A review // Appl. Mater. Today. 2021. V. 24. P. 101141. https://doi.org/10.1016/j.apmt.2021.101141
- Ashby M.F., Evans T., Fleck N.A., Hutchinson J.W., Wadley H.N.G., Gibson L.J. Metal foams: a design guide. Boston: Elsevier, 2000. 272 p.
- Costanza G., Solaiyappan D., Tata M.E. Properties, Applications and Recent Developments of Cellular Solid Materials: A Review // Materials. 2023. V. 16. № 22. P. 7076. https://doi.org/10.3390/ma16227076
- Akiwate D.C., Date M.D., Venkatesham B., Suryakumar S. Acoustic properties of additive manufactured narrow tube periodic structures // Appl. Acoust. 2018. V. 136. P. 123–131. https://doi.org/10.1016/j.apacoust.2018.02.022
- Peng X., Ji J., Jing Y. Composite honeycomb metasurface panel for broadband sound absorption // J. Acoust. Soc. Am. 2018. V. 144. № 4. P. EL255–EL261. https://doi.org/10.1121/1.5055847
- Xie S., Yang Sh., Yang Ch., Wang D. Sound absorption performance of a filled honeycomb composite structure // Appl. Acoust. 2020. V. 162. P. 107202. https://doi.org/10.1016/j.apacoust.2019.107202
- Li X., Chua J.W., Yu X., Li Z., Zhao M., Wang Z., Zhai W. 3D‐Printed Lattice Structures for Sound Absorption: Current Progress, Mechanisms and Models, Structural‐Property Relationships, and Future Outlook // Adv. Sci. 2024. V. 11. № 4. P. 2305232. https://doi.org/10.1002/advs.202305232
- Wang Y., Li C., Chen X., Zhang C., Jin Q., Zhou G., Wang C., Zhao W. Sound absorption performance based on auxetic microstructure model: A parametric study // Mater. Des. 2023. V. 232. P. 112130. https://doi.org/10.1016/j.matdes.2023.112130
- Deshmukh S., Ronge H., Ramamoorthy S. Design of periodic foam structures for acoustic applications: Concept, parametric study and experimental validation // Mater. Des. 2019. V. 175. P. 107830. https://doi.org/10.1016/j.matdes.2019.107830
- Yang W., An J., Chua C.K., Zhou K. Acoustic absorptions of multifunctional polymeric cellular structures based on triply periodic minimal surfaces fabricated by stereolithography // Virtual Phys. Prototyp. 2020. V. 15. № 2. P. 242–249. https://doi.org/10.1080/17452759.2020.1740747
- Kushwaha B., Dwivedi K., Ambekar R.S., Pal V., Jena D.P., Mahapatra D.R., Tiwary C.S. Mechanical and Acoustic Behavior of 3D‐Printed Hierarchical Mathematical Fractal Menger Sponge // Adv. Eng. Mater. 2021. V. 23. № 4. P. 2001471. https://doi.org/10.1002/adem.202001471
- Opiela K.C., Zieliński T.G. Microstructural design, manufacturing and dual-scale modelling of an adaptable porous composite sound absorber // Compos. B: Engineering. 2020. V. 187. P. 107833. https://doi.org/10.1016/j.compositesb.2020.107833
- Li Z., Li X., Chua J.W., Lim C.H., Yu X., Wang Z., Zhai W. Architected lightweight, sound-absorbing, and mechanically efficient microlattice metamaterials by digital light processing 3D printing // Virtual Phys. Prototyp. 2023. V. 18. № 1. P. e2166851. https://doi.org/10.1080/17452759.2023.2166851
- Shevchenko V.Y., Sychev M.M., Lapshin A.E., Lebedev L.A., Gruzdkov A.A., Glezer A.M. Polymer Structures with the Topology of Triply Periodic Minimal Surfaces. Glass Phys. Chem. 2017. V. 43. P. 608–610. https://doi.org/10.1134/S1087659617060177
- Shevchenko V.Y., Balabanov S.V., Sychev M.M., Karimova L. Prediction of Cellular Structure Mechanical Properties with the Geometry of Triply Periodic Minimal Surfaces (TPMS) // ACS Omega. 2023. V. 8. № 30. P. 26895–26905. https://doi.org/10.1021/acsomega.3c01631
- Arsentev M.Yu., Sysoev E.I., Makogon A.I., Balabanov S.V., Sychev M.M., Hammouri M.H., Moshnikov V.A. High-Throughput Screening of 3D-Printed Architected Materials Inspired by Crystal Lattices: Procedure, Challenges, and Mechanical Properties // ACS Omega. 2023. V. 8. № 28. P. 24865–24874. https://doi.org/10.1021/acsomega.3c00874
- Zhang M., Liu C., Deng M., Li Y., Li J., Wang D. Graded Minimal Surface Structures with High Specific Strength for Broadband Sound Absorption Produced by Laser Powder Bed Fusion // Coatings. 2023. V. 13. № 11. P. 1950. https://doi.org/10.3390/coatings13111950
- Бобровницкий Ю.И., Томилина Т.М. Поглощение звука и метаматериалы (обзор) // Акуст. журн. 2018. Т. 64. № 5. С. 517–525. https://doi.org/10.1134/S1063771018040024
- Агафонов А.А., Коробов А.И., Изосимова М.Ю., Кокшайский А.И., Одина Н.И. Особенности распространения волн Лэмба в клине из АБС-пластика с параболическим профилем // Акуст. журн. 2022. Т. 68. № 5. С. 467–474. https://doi.org/10.1134/S1063771022050025
- Писарев П.В., Паньков А.А., Аношкин А.Н., Ахунзянова К.А. Моделирование акустических процессов взаимодействия ячеек звукопоглощающих конструкций авиационных двигателей // Акуст. журн. 2023. Т. 69. № 6. С. 745–755. https://doi.org/10.1134/S1063771023600912
- Володарский А.Б., Кокшайский А.И., Одина Н.И., Коробов А.И., Михалев Е.С., Ширгина Н.В. Экспериментальные исследования влияния 3D-печати при 100% заполнении на упругие свойства нитевидных образцов полимера PLA // Акуст. журн. 2023. Т. 69. № 4. С. 410–416. https://doi.org/10.1134/S1063771022600693
- He W., Liu M., Peng X., Xin F., Lu T.J. Sound absorption of petal shaped micro-channel porous materials // Phys. Fluids. 2021. V. 33. № 6. P. 063606. https://doi.org/10.1063/5.0053059
- Zieliński T.G., Dauchez N., Boutin T., Leturia M., Wilkinson A., Chevillotte F., Bécot F., Venegas R. Taking advantage of a 3D printing imperfection in the development of sound-absorbing materials // Appl. Acoust. 2022. V. 197. P. 108941. https://doi.org/10.1016/j.apacoust.2022.108941
- Feng J., Fu J., Yao X., He Y. Triply periodic minimal surface (TPMS) porous structures: From multi-scale design, precise additive manufacturing to multidisciplinary applications // Int. J. Extreme Manuf. 2022. V. 4. № 2. P. 022001. https://doi.org/10.1088/2631-7990/ac5be6
- Allard J.F., Atalla N. Propagation of Sound in Porous Media: Modelling Sound Absorbing Materials, Second Edition. Wiley, 2009. 376 p.
- Opiela K.C., Zieliński T.G., Attenborough K. Limitations on validating slitted sound absorber designs through budget additive manufacturing // Mater. Des. 2022. V. 218. P. 110703. https://doi.org/10.1016/j.matdes.2022.110703
- Levi E., Sgarbi S., Piana E.A. Acoustic Characterization of Some Steel Industry Waste // Materials. Appl. Sci. 2021. V. 11 № 13. P. 5924. https://doi.org/10.3390/app11135924
- Al‐Ketan O., Abu Al‐Rub R.K. Multifunctional mechanical metamaterials based on triply periodic minimal surface lattices // Adv. Eng. Mater. 2019. V. 21. № 10. P. 1900524. https://doi.org/10.1002/adem.201900524
- Zieliński T.G., Venegas R., Perrot C., Cervenka M., Chevillotte F., Attenborough K. Benchmarks for microstructure-based modelling of sound absorbing rigid-frame porous media. // J. Sound Vib. 2020. V. 483 P. 115441. https://doi.org/10.1016/j.jsv.2020.115441
- Zieliński T.G. Microstructure-based calculations and experimental results for sound absorbing porous layers of randomly packed rigid spherical beads // J. Appl. Phys. 2014. V. 116. № 3. P. 034905. https://doi.org/10.1063/1.4890218
- Al‐Ketan O., Abu Al‐Rub R.K. MSLattice: A free software for generating uniform and graded lattices based on triply periodic minimal surfaces // Mater. Des. Process. Commun. 2021. V. 3. № 6. P. e205. https://doi.org/10.1002/mdp2.205
- International Organization for Standardization. ISO 10534-2, Acoustics-Determination of Sound Absorption Coefficient and Impedance in Impedance Tubes-Part 2: Transfer-Function Method // International Organization for Standardization. — 1998.
Supplementary files










