Validation of a Quadrupol Model of Sound Radiation of a Turbulent Jet Based on Multi-Microphone Acoustic Measurements
- Autores: Kopyev V.F.1, Chernyshev S.A.1, Faranosov G.A.1, Korobov A.A.2
-
Afiliações:
- Central Aerohydrodynamic Institute
- MISIS National University of Science and Technology
- Edição: Volume 70, Nº 5 (2024)
- Páginas: 710-724
- Seção: АТМОСФЕРНАЯ И АЭРОАКУСТИКА
- URL: https://ogarev-online.ru/0320-7919/article/view/272920
- DOI: https://doi.org/10.31857/S0320791924050061
- EDN: https://elibrary.ru/XBQHGA
- ID: 272920
Citar
Texto integral
Resumo
A low-order model of quadrupole sound sources in a turbulent jet has been developed using the acoustic analogy method. Multi-microphone acoustic measurements of jet sound radiation are used to estimate the model parameters and validate it. Based on measurements carried out in different zones of the sound field, estimates of the size of the effective localization region of sound sources are made and the boundaries of the zone of dominance of quadrupole sound radiation over pseudosonic pulsations are determined. The proposed model can be used in practical estimates of the spectral and correlation characteristics of the far and near sound field of the jet.
Palavras-chave
Texto integral
ВВЕДЕНИЕ
В настоящей работе проводится исследование акустического излучения турбулентной струи в рамках концепции мелкомасштабных источников шума. В работах этого направления стандартным подходом является метод акустических аналогий, основанный на разделении механизмов генерации и распространения звуковых возмущений [1]. При этом исходные уравнения движения сплошной среды преобразуются к уравнениям, левая часть которых представляет собой линейный оператор распространения, а правая часть трактуется как случайный звуковой источник, для описания которого можно использовать экспериментальные данные или полуэмпирическое моделирование. Удобство акустических аналогий проявляется при использовании моделей звуковых источников, основанных на физически обоснованных предположениях об их структуре и динамике, что, несмотря на определенную эмпирику, позволяет получать результаты далеко за пределами исходных упрощенных предположений.
В рамках метода акустических аналогий существуют различные модели звукового излучения струи, которые отличаются выбором основных переменных, мультипольностью звукового источника и способом разделения членов уравнений, описывающих генерацию и распространение звука [1–4]. В настоящей работе была выбрана модель, основанная на переносе всех линейных по возмущениям членов в оператор распространения, а всех нелинейных членов — в звуковой источник [5]. Такой же принцип разделения членов уравнений использовался, в частности, в акустических аналогиях Лилли [3] и Голдстейна [6]. Известно, что звуковое излучение струи, описываемое моделями такого рода, содержит в себе две качественно различные составляющие: собственный и сдвиговый шумы [7–8]. При этом собственная составляющая хорошо описывает характеристики излучения, в то время как наличие сдвиговой составляющей в модели противоречит некоторым экспериментам, в частности тем, в которых проводятся измерения азимутальных гармоник в акустическом поле струи [5]. В работах [5, 9] были предложены способы преодоления этой проблемы. Один из этих способов состоит в модификации функции Грина для квадрупольного источника в сдвиговом потоке так, чтобы при моделировании звукового излучения струи учитывалась только собственная компонента шума [5]. Обоснованием для этого является предположение о некорректности приближения среднего поля, на фоне которого моделируются звуковые источники в сдвиговом течении. Другой способ состоит в использовании таких акустических аналогий, которые не имеют вихревых степеней свободы в операторе распространения. В частности, в работе [9] была предложена акустическая аналогия с конвективным волновым уравнением в качестве оператора распространения, в которой вторичное излучение и связанная с ним сдвиговая компонента шума не возникают. Еще один способ исключения сдвиговой компоненты при моделировании генерации шума круглой струи состоит в локализации источников на внутренней границе слоя смешения. Несмотря на определенное упрощение, именно этот подход, в силу его простоты и способности надежно предсказывать звуковое поле струи, используется в настоящей работе для создания практически значимой модели шума струи.
Основные теоретические подходы, используемые в предлагаемой модели, описаны в работе [5]. В настоящей работе проводится определение параметров модели и ее валидация на основе обширной базы данных многомикрофонных акустических измерений, проведенных в акустической камере ЦАГИ. Использованы данные нескольких серий измерений, полученные на решетках микрофонов, расположенных в дальнем и ближнем поле струи, синхронных измерений на двух решетках, а также данные многомикрофонных измерений на границе акустического и псевдозвукового поля. При обработке сигналов был использован метод азимутальной декомпозиции (ADT — Azimuthal Decomposition Technique) [10, 11], который позволяет определить характеристики отдельных азимутальных гармоник в акустическом поле струи. Этот набор данных обеспечивает богатую экспериментальную базу для анализа процессов генерации шума, валидации обсуждаемой модели излучения и определения параметров поля звуковых источников, включая амплитудные и фазовые характеристики излучения струи в дальнем и ближнем поле.
ИЗМЕРЕНИЯ АЗИМУТАЛЬНЫХ ГАРМОНИК В ЗВУКОВОМ ПОЛЕ СТРУИ
Используемые в настоящей работе данные акустических измерений были получены методом ADT. Этот экспериментальный метод был впервые предложен в [10] специально для измерения азимутальных компонент звукового излучения аэродинамических источников шума. Схема эксперимента в заглушенной камере АК-2 ЦАГИ представлена на рис. 1.
Рис. 1. Схема испытательного стенда в АК-2 с 6-микрофонной решеткой (положения микрофонов на фотографии отмечены маркерами)
Метод ADT основан на предварительном модальном разложении акустических сигналов, синхронно измеренных в плоскости, перпендикулярной оси струи несколькими микрофонами. Акустические сигналы на круговой решетке микрофонов представляются в виде ряда Фурье
, (1)
где интегралы , , аппроксимируются суммой по точкам расположения микрофонов. С использованием результатов этих измерений оцениваются статистические характеристики коэффициентов ряда (1), т.е. определяются характеристики отдельных азимутальных гармоник в акустическом поле источника.
В настоящей работе рассматривались струи, истекающие из сопла диаметром D = 0.04 м. Для анализа были использованы измерения шума струй разных скоростей на 6-микрофонных решетках разного размера как в классической схеме (рис. 1, микрофоны расположены в углах правильного шестиугольника), так и в более сложных схемах. В частности, были проведены серии измерений на решетках радиуса R = 0.75 м и R = 0.285 м (рис. 2, [12]). Эти измерения позволили определить направленности отдельных азимутальных гармоник в дальнем и ближнем поле.
Рис. 2. Эксперимент с микрофонными решетками двух радиусов (положения микрофонов на фотографии отмечены маркерами)
Другая серия экспериментов состояла в синхронных измерениях на двух решетках радиуса R = 0.75 м, расположенных на расстоянии Δz = 0.75 м друг от друга (рис. 3) [13]. В этих измерениях определялись пространственные (по осевой координате) корреляции азимутальных гармоник звукового поля струи. Важность измерений этих величин в том, что они оказались достаточно чувствительным инструментом для оценки распределения звуковых источников вдоль оси струи.
Рис. 3. Схема эксперимента с синхронным измерением звукового поля на двух решетках микрофонов
Еще одна серия измерений была проведена на границе акустического и псевдозвукового поля струи [14]. Для этого была использована система из пяти 6-микрофонных подвижных решеток, заметающих область ближнего поля от границы слоя смешения до расстояний от оси струи ρ / D ~ 2.5 в пределах начального участка 0.5 ≤ z/D ≤ 7.5 (рис. 4). С помощью этих измерений может быть проведена оценка границы применимости модели квадрупольных источников для моделирования пульсаций давления в ближнем поле. Кроме этого, измерения в непосредственной близости от струи дают наиболее детальную информацию о распределении источников в струе.
Рис. 4. Схема расположения микрофонов на ближней границе акустического поля (положения микрофонов в данной плоскости отмечены на схеме кружками)
МОДЕЛЬ ИСТОЧНИКОВ ШУМА В СТРУЕ
Детальное описание модели источников звука, используемой в этой работе, приводится в статье [5]. Здесь мы приведем лишь основные шаги в построении модели.
Используются линеаризованные уравнения Эйлера с правой частью:
(2а)
, (2б)
, (2в)
где v0, ρ0, p0 — средние поля скорости, плотности и давления, v', ρ', p' — нестационарные возмущения этих переменных, c0 — скорость звука среднего течения, — нестационарная часть тензора напряжений Рейнольдса, в которой собраны нелинейные члены исходных уравнений, М — число Маха течения струи. Предполагается изэнтропичность течения, т. е. рассматриваются только холодные струи.
В рамках метода акустических аналогий правая часть уравнений трактуется как случайное поле источников шума, характеристики которых определяются независимо от создаваемых ими возмущений. Для определения этих характеристик может использоваться как прямой метод (измерения или численные расчеты пульсаций в струе с последующим определением звукового поля), так и обратный метод (определение возможных параметров источника по измерениям звукового поля струи). В настоящей работе используется второй метод — определение источников по излучаемому полю. При этом источники звука моделируются квадрупольным случайным полем с модельной пространственно-временной корреляционной функцией, параметры которой находятся из данных измерений азимутальных гармоник звукового поля струи.
В соответствии с квадрупольным характером звукового излучения турбулентной струи плотность источников описывается симметричным тензором второго ранга Tij(r, t) c нулевым следом, который в общем случае записывается в виде
, (3)
где амплитуды ξ(n)(r, t) представляют собой случайные поля, а — набор линейно-независимых базисных квадрупольных полей вида
, ,
, , (4)
.
Набор базисных квадруполей выбран таким образом, что каждый из них создает излучение на одной азимутальной гармонике. При этом коэффициенты выбраны так, что при некоррелированости и одинаковой амплитуде случайных полей ξ(n)(r, t) суммарный источник будет изотропным. Предположение об изотропности существенно упрощает моделирование, накладывая связи на квадрупольные составляющие источников звука.
При построении функций Грина используется локально-однородное приближение. Это означает, что при вычислении звукового поля от точечного квадрупольного источника мы пренебрегаем неоднородностью течения струи в осевом направлении, принимая локальные характеристики среднего поля в том сечении, где расположен источник. Однако, при расчете суммарного звукового поля от всей струи интеграл вычисляется по всей области источников, при этом в каждом поперечном сечении струи берется функция Грина, вычисленная именно для этого сечения. В этом приближении уравнения (2) сводятся к уравнению для Фурье-компонент возмущений давления [5]
(5)
где цилиндрические координаты ρ, φ, z имеют ось z, совпадающую с осью струи, ω = 2πf, f — частота, , V0(ρ) — z-компонента средней скорости, α — волновое число. Моделируемый источник q(r, ω) определяется компонентами плотности квадрупольного источника (3).
Функции Грина этой задачи, которые мы определяем как решение задачи для точечного квадрупольного источника вида , были получены в работе [5] для квадрупольного источника внутри слоя смешения при условии тонкости этого слоя. В настоящей работе мы сносим источники на внешнюю границу потенциального ядра струи, где скорость постоянна. Несмотря на то, что мы пренебрегаем распределением источников по радиальной координате, снося их из области сдвигового слоя на его внутреннюю границу, в этом случае удается исключить сдвиговую составляющую в функции Грина, что лучше соответствует физической картине излучения. Мы пренебрегаем также временной корреляцией источников, полагая масштаб корреляции малым. Это компенсирует избыточную рефракцию источников за счет их смещения на внутреннюю границу слоя смешения меньшим влиянием конвекции.
В принятых предположениях функция Грина квадрупольного источника имеет вид:
(6)
где — функция Ганкеля порядка m, Vjet(zs) — скорость струи, , k = ω / c0, n — номер базисного квадруполя, F(n)m — функции, определяющие направленность излучения n-ого квадруполя:
(7)
где , , , .
Для определения спектральных характеристик звукового поля используется двойная свертка функций Грина с пространственно-временными корреляционными функциями поля источников. В частности, в дальнем поле интегралы по волновому числу вычисляются методом перевала, и окончательное выражение для спектральной плотности звукового излучения приобретает вид:
(8)
где , , , — спектральная плотность мощности n-ого квадрупольного источника
НАПРАВЛЕННОСТЬ АЗИМУТАЛЬНЫХ ГАРМОНИК В ДАЛЬНЕМ ПОЛЕ
Для определения мощности квадрупольных источников в струе и соотношения амплитуд между различными квадрупольными компонентами были использованы данные 6-микрофонной решетки радиуса R = 0.85 м (рис. 1). С помощью метода азимутальной декомпозиции (ADT) получены спектральные характеристики отдельных азимутальных гармоник в дальнем акустическом поле струи.
Сравнение модели с данными измерений представлено на рис. 5–8, где приведены спектральные плотности азимутальных гармоник m = 0, 1, 2 в диапазоне частот 0.04 < St < 1.25, St = fD / Vjet, и скоростей 120 < Vjet < 280 м/с.
Рис. 5. Направленности азимутальных гармоник m = 0,1,2 в зависимости от расстояния от решетки до среза сопла для различных частот в диапазоне 0.10 < St < 1.25, Vjet = 120 м/с: (а) — эксперимент, (б) — модель
Рис. 6. Направленности азимутальных гармоник m = 0,1,2 в зависимости от расстояния от решетки до среза сопла для различных частот в диапазоне 0.07 < St < 0.83, Vjet = 180 м/с: (а) — эксперимент, (б) — модель
Рис. 7. Направленности азимутальных гармоник m = 0,1,2 в зависимости от расстояния от решетки до среза сопла для различных частот в диапазоне 0.05 < St < 0.63, Vjet = 240 м/с: (а) — эксперимент, (б) — модель
Рис. 8. Направленности азимутальных гармоник m = 0,1,2 в зависимости от расстояния от решетки до среза сопла для различных частот в диапазоне 0.04 < St < 0.54, Vjet = 280 м/с: (а) — эксперимент, (б) — модель
Поскольку базисные квадруполи (4) определены таким образом, что каждый из них дает вклад только в одну азимутальную гармонику, сравнение модели с измерениями спектральной плотности азимутальных гармоник позволило определить суммарную мощность A(n) основных квадрупольных составляющих. Полученные результаты показывают, что величина A(n) масштабируется по скорости струи соотношением для квадруполей, ответственных за излучение азимутальных гармоник m = 0, 1, и соотношением для квадруполей, ответственных за излучение азимутальной гармоники m = 2, что говорит о существенном различии в механизме излучения гармоники m = 2 по сравнению с m = 0, 1. При этом соотношение мощностей различных гармоник подтверждает гипотезу об изотропности квадрупольных источников при скоростях M < 0.5, а для больших скоростей эта гипотеза остается справедливой для первых двух гармоник, но нарушается для азимутальной гармоники m = 2. Зависимость суммарной мощности квадрупольных источников от частоты для всего рассмотренного диапазона скоростей удовлетворительно описывается универсальной зависимостью от числа Струхаля
(9)
ОЦЕНКА РАЗБРОСА ИСТОЧНИКОВ ЗВУКА ПО ОСЕВОЙ КООРДИНАТЕ
Для расширения применимости модели источников звука на область ближнего акустического поля необходимо учитывать распределение источников вдоль оси струи. С этой целью были использованы данные синхронных измерений звукового поля на двух 6-микрофонных решетках радиуса R = 0.75 м (рис. 3), расположенных на расстоянии Δz = 0.75 м друг от друга, в зависимости от их расстояния до сопла. Проведена оценка нормированного значения максимума взаимной корреляции азимутальных гармоник на этих решетках
, (10)
где величина взаимной корреляции R12 для m-ой азимутальной гармоники на двух решетках определяется для сигналов, отфильтрованных в заданной полосе частот.
На рис. 9 представлен пример модуля взаимной корреляции гармоник на двух решетках. Видно, что корреляция достигает максимума при τ = τ0, что соответствует разнице времени достижения сигнала от источников до каждой из двух решеток. Заметим, что в узкой полосе частот нормированный максимум взаимной корреляции (10) представляет собой нормированный модуль взаимного спектра
. (11)
Рис. 9. Нормированная взаимная корреляция азимутальных гармоник
В модели для распределения спектральной мощности источников по осевой координате z использовалась модельная функция с параметром σ, характеризующим ширину распределения:
(12)
Максимум взаимной корреляции rmax оказался достаточно чувствительной величиной к разбросу источников σ, чтобы использовать ее для оценки этого параметра.
На рис. 10–11 представлено сравнение экспериментальных и модельных значений максимума взаимной корреляции rmax для гармоник m = 0, 1, 2 в зависимости от расстояния между кромкой сопла и ближайшей решеткой в диапазоне частот 0.13 < St < 1.03 и скоростей 100 < Vjet < 240 м/с. В модели произведен выбор оптимальных значений величины разброса σ. Полученные величины σ достаточно хорошо описываются зависимостью от числа Струхаля
(13)
Рис. 10. Взаимная корреляция rmax для азимутальных гармоник m = 0,1,2, скорость струи Vjet = 120 м/с, частоты (а) — St = 0.16, (б) — St = 0.27, (в) — St = 0.40, (г) — St = 0.63, (д) — St = 1.03
Рис. 11. Взаимная корреляция rmax для азимутальных гармоник m = 0,1,2, (а) — Vjet = 100 м/с, St = 0.32, (б) — Vjet = 135 м/с, St = 0.24, (в) — Vjet = 180 м/с, St = 0.18, (г) — Vjet = 240 м/с, St = 0.13
Можно видеть расхождение модели и эксперимента в области z ~ –0.5 м для 1-ой гармоники и области z > 1 м для 2-ой гармоники. Это расхождение связано с малой величиной автокорреляций, используемых для нормировки. Там, где величина сигнала достаточно большая, имеется хорошее совпадение модели с экспериментом.
Таким образом, в этой работе на основе предложенной модели источников впервые удалось объяснить особенности поведения rmax вдоль оси струи [13]. Сравнение модели с данными измерений позволило также дать оценки протяженности области источников в зависимости от частоты и скорости струи. Эти оценки используются далее для моделирования ближнего акустического поля струи.
ВАЛИДАЦИЯ МОДЕЛИ ИСТОЧНИКОВ ЗВУКА ПО ДАННЫМ ИЗМЕРЕНИЙ В БЛИЖНЕМ ПОЛЕ
В этом разделе проверяется возможность использования модели звуковых источников в области ближнего акустического поля струи. В модели используются амплитудные характеристики квадрупольных источников, определенные в разделе 3, и характеристики разброса источников по осевой координате, полученные в разделе 4. В качестве валидационной базы используются измерения на 6-микрофонной решетке радиуса R = 0.275 м. Сравнение модели с данными измерений в диапазоне частот 0.04 < St < 1.25 и скоростей 120 < Vjet < 280 м/с приведено на рис. 12–15.
Рис. 12. Направленности азимутальных гармоник m = 0,1,2 в зависимости от расстояния от решетки до среза сопла для различных частот в диапазоне 0.10 < St < 1.25, Vjet = 120 м/с: (а) — эксперимент, (б) — модель
Рис. 13. Направленности азимутальных гармоник m = 0,1,2 в зависимости от расстояния от решетки до среза сопла для различных частот в диапазоне 0.07 < St < 0.83, Vjet = 180 м/с: (а) — эксперимент, (б) — модель
Рис. 14. Направленности азимутальных гармоник m = 0,1,2 в зависимости от расстояния от решетки до среза сопла для различных частот в диапазоне 0.05 < St < 0.63, Vjet = 240 м/с: (а) — эксперимент, (б) — модель
Рис. 15. Направленности азимутальных гармоник m = 0,1,2 в зависимости от расстояния от решетки до среза сопла для различных частот в диапазоне 0.04 < St < 0.54, Vjet = 280 м/с: (а) — эксперимент, (б) — модель
Сравнение модели и данных измерений ближнего звукового поля показывает хорошее соответствие в части направленности азимутальных гармоник в рассмотренном диапазоне частот и скоростей. Возможность использования модели в ближнем поле, т.е. за пределами той области, где были определены параметры модели, свидетельствует о том, что в модели правильно учтены основные факторы, оказывающие влияние на излучение звука.
СРАВНЕНИЕ МОДЕЛИ С ДАННЫМИ ИЗМЕРЕНИЙ НА ГРАНИЦЕ АКУСТИЧЕСКОГО И ПСЕВДОЗВУКОВОГО ПОЛЯ СТРУИ
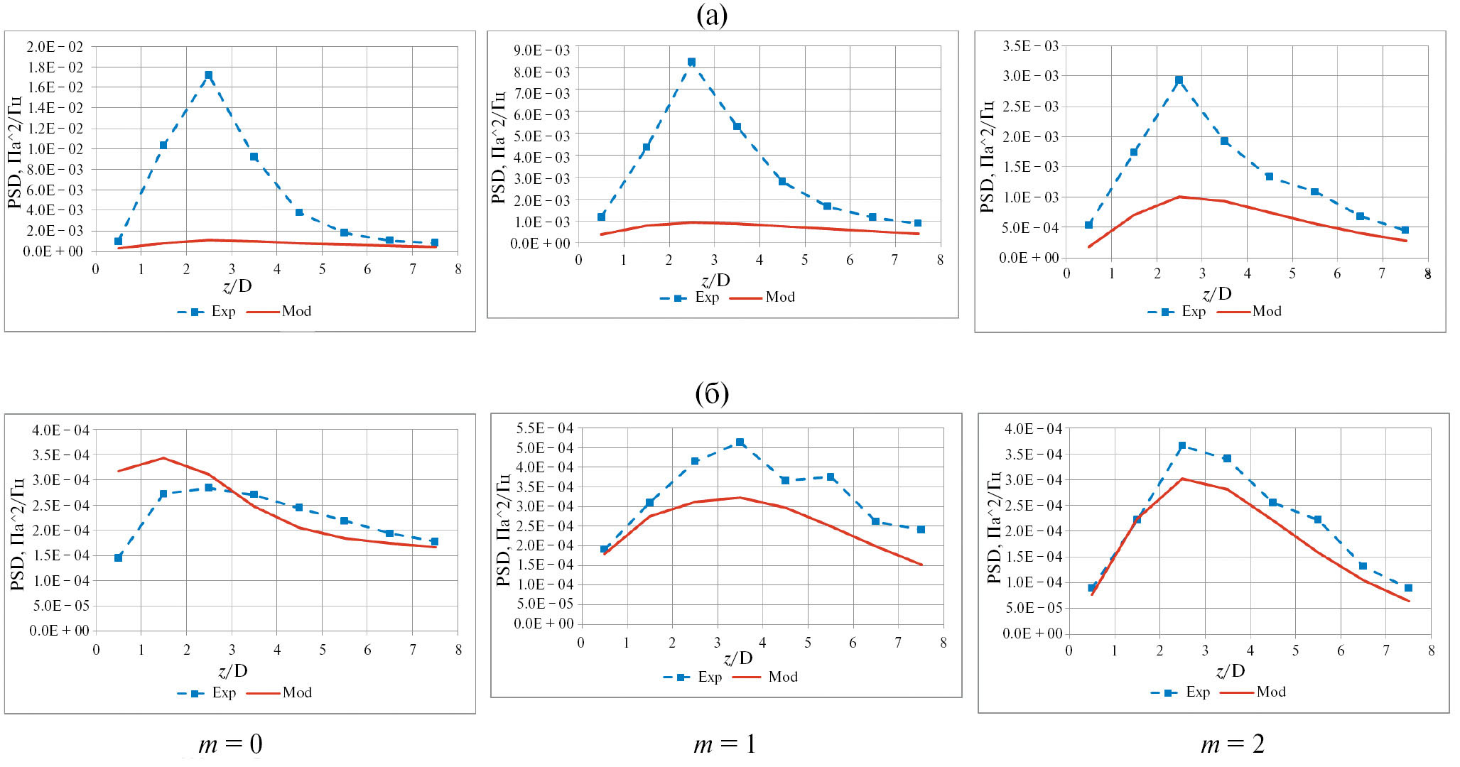
Еще одна серия измерений была проведена на границе акустического и псевдозвукового поля струи со скоростью Vjet = 137 м/с. Для этого были использованы три ряда 6-микрофонных решеток (рис. 4, ряды С1, С2, С3). Микрофоны каждого ряда расположены на конусообразной поверхности. Первый ряд решеток имеет минимальный радиус R = 0.032 м, второй ряд — минимальный радиус R = 0.055 м, и третий ряд — минимальный радиус R = 0.077 м. В этих измерениях была проведена оценка границы применимости модели квадрупольных источников для моделирования пульсаций давления вблизи струи. Кроме того, акустические измерения в непосредственной близости от струи дают важную информацию о распределении источников в струе. При моделировании акустического поля были использованы параметры модели, определенные в разделах 3, 4.
На рис. 16–18 представлены направленности азимутальных гармоник.
Рис. 16. Направленности азимутальных гармоник в зависимости от расстояния от решетки до среза сопла, ряд С1, (а) — St = 0.60, (б) — St = 1.18
Рис. 17. Направленности азимутальных гармоник в зависимости от расстояния от решетки до среза сопла, ряд С2, (а) — St = 0.41, (б) — St = 0.84
Рис. 18. Направленности азимутальных гармоник в зависимости от расстояния от решетки до среза сопла, ряд С3, (а) — St = 0.30, (б) — St = 0.60
Сравнение модели с данными измерений показывает, что на первом ряду микрофонных решеток измеренные значения пульсаций давления существенно превышают пульсации звукового поля, излучаемого квадрупольными источниками, причем скорости переноса этих пульсаций существенно меньше скорости звука и сравнимы со скоростью струи. Это означает, что в этой зоне доминируют псевдозвуковые пульсации, создаваемые другими источниками, например, конвектирующими вихревыми структурами в турбулентной струе или линейными пакетами волн неустойчивости [14]. На втором ряду решеток псевдозвук доминирует на частотах St < 0.85, а на больших частотах данные измерений хорошо моделируются квадрупольным излучением. Подобное соотношение между псевдозвуком и акустическим полем мы видим также на третьем ряду решеток с той разницей, что здесь граничная частота ниже и составляет около St = 0.6. Причина этого в том, что псевдозвук убывает экспоненциально с увеличением расстояния до оси струи с показателем, пропорциональным частоте, в то время как акустическое поле убывает степенным образом. Таким образом, граничная частота будет снижаться при дальнейшем увеличении расстояния от струи, а область применимости квадрупольной модели соответственно будет расширяться по мере затухания псевдозвуквых возмущений.
ЗАКЛЮЧЕНИЕ
В настоящей работе разработана низкоуровневая модель квадрупольных источников звука в турбулентной струе, позволяющая без больших трудозатрат оценивать тонкие характеристики звукового поля турбулентной струи. Для оценки параметров и валидации модели используется база данных акустических измерений турбулентной струи, полученная с использованием многомикрофонных решеток на основе обработки сигналов с помощью метода азимутальной декомпозиции. Определена эффективная область локализации звуковых источников в зависимости от числа Струхаля. Проведена оценка применимости модели квадрупольного звукового излучения на границе акустического и псевдозвукового поля струи. Предложенная модель позволяет эффективно оценивать спектральные и корреляционные характеристики акустического излучения струи в дальнем и ближнем поле в широком диапазоне частот и скоростей струи.
Исследования выполнены при поддержке Российского научного фонда (проект РНФ № 21-71-30016).
Sobre autores
V. Kopyev
Central Aerohydrodynamic Institute
Autor responsável pela correspondência
Email: aeroacoustics@tsagi.ru
Rússia, Moscow
S. Chernyshev
Central Aerohydrodynamic Institute
Email: aeroacoustics@tsagi.ru
Rússia, Moscow
G. Faranosov
Central Aerohydrodynamic Institute
Email: aeroacoustics@tsagi.ru
Rússia, Moscow
A. Korobov
MISIS National University of Science and Technology
Email: aeroacoustics@tsagi.ru
Rússia, Moscow
Bibliografia
- Lighthill M.J. On sound generated aerodynamically: I. General theory // Proc. Royal Soc. Series A. 1952. V. 211. P. 564–581.
- Phillips O.M. On the generation of sound by supersonic turbulent shear layers // J. Fluid Mechanics. 1960. V. 9. N. 1. P. 1–28.
- Lilley G.M. Theory of turbulence generated jet noise: generation of sound in a mixing region // AGARD CP-131. 1974. V. 13. P. 1–12.
- Howe M.S. Contributions to the theory of aerodynamic sound, with application to excess jet noise and the theory of the flute // J. Fluid Mechanics. 1975. V. 71. N 4. P. 625–673.
- Копьев В.Ф., Чернышев С.А. Анализ вторичного звукового излучения в акустической аналогии с оператором распространения, содержащим вихревые моды // Акуст. журн. 2022. Т. 68. № 6. С. 647–669.
- Goldstein M.E. A Generalized Acoustic Analogy // J. Fluid Mechanics. 2003. V. 488. P. 315–333.
- Mani R. The influence of jet noise. Part 1. The noise of unheated jets // J. Fluid Mechanics. 1976. V. 73. N 4. P. 753–778.
- Ribner H.S. On the role of the shear term in jet noise // J. Sound Vibr. 1977. V. 52. N l. P. 121–132.
- Копьев В.Ф., Чернышев С.А. О разделении акустических и гидродинамических переменных в модели звуковых источников турбулентной струи // Докл. РАН. Физика, технические науки. 2022. Т. 506. № 1. С. 4–15.
- Kopiev V.F., Zaitsev M.Yu. Chernyshev S.A., Kotova A.N. The role of large-scale vortex in a turbulent jet noise // AIAA paper. 1999. AIAA-99–1839
- Зайцев М.Ю., Копьев В.Ф., Котова А.Н. Представление звукового поля турбулентного вихревого кольца суперпозицией квадруполей // Акуст. журн. 2001. Т. 47. № 6. С. 793–801.
- Faranosov G., Belyaev I., Kopiev V., Zaytsev M., Aleksentsev A., Bersenev Y., Chursin V., Viskova T. Adaptation of the Azimuthal Decomposition Technique to Jet Noise Measurements in Full-Scale Tests // AIAA Journal. 2017. V. 55. N 2. P. 572–584.
- Kopiev V.F., Zaitsev M.Yu., Velichko S.A., Kotova A.N., Belyaev I.V. Cross-correlations of far field azimuthal modes in subsonic jet noise // AIAA paper. 2008. AIAA 2008–2887.
- Беляев И.В., Бычков О.П., Зайцев М.Ю., Копьев В.А., Копьев В.Ф., Остриков Н.Н., Фараносов Г.А., Чернышев С.А. Разработка стратегии активного управления волнами неустойчивости в невозбужденных турбулентных струях // Изв. РАН. МЖГ. 2018. № 3. С. 14–27.
Arquivos suplementares



















