Peculiarities of flexural wave propagation in a notched bar
- Authors: Agafonov A.A.1, Izosimova M.Y.1, Zhostkov R.A.2, Kokshayskiy A.I.1, Korobov A.I.1, Odina N.I.1
-
Affiliations:
- Moscow State University named after M.V. Lomonosov
- Institute of Physics of the Earth named after O.Yu. Schmidt RAS
- Issue: Vol 70, No 3 (2024)
- Pages: 3-12
- Section: КЛАССИЧЕСКИЕ ПРОБЛЕМЫ ЛИНЕЙНОЙ АКУСТИКИ И ТЕОРИИ ВОЛН
- URL: https://ogarev-online.ru/0320-7919/article/view/268252
- DOI: https://doi.org/10.31857/S0320791924030019
- EDN: https://elibrary.ru/ZNMUGZ
- ID: 268252
Cite item
Full Text
Abstract
The results of numerical modeling and experimental studies of the propagation of flexural elastic waves in a metal notched bar approximates the effect of an acoustic black hole are presented. The sample is a bar with notches, the depth of which increases according to the power law with an exponent equal to (4/3). It has been confirmed experimentally and with the simulation results, that such bars slow down the propagation of an elastic wave to the end of the bar. It is shown in such structures flexural waves have dispersion and their localization at the end of the bar is higher for some natural frequencies than that of a solid rod. The natural oscillations of the whole and notched bars are compared, i.e. the shape of the amplitude of the flexural wave along the rods. The dependence of the flexural wave length in a notched bar on the frequency is investigated as a wave propagates to the end of the bar.
Full Text
1. Введение
Большой интерес исследователей в последнее время привлекают структуры, называемые «акустическими черными дырами» (АЧД) [1–3]. Основным свойством таких объектов является то, что вдоль некоторого направления (в зависимости от геометрии структуры) скорость упругих волн уменьшается до нуля, что должно приводить к бесконечному времени распространения волны на конечном участке в пространстве. Это приводит к отсутствию отраженной волны при распространении падающей волны вдоль этого направления. В АЧД такое уменьшение скорости волны связано с уменьшением локальной жесткости, которое обычно достигается с помощью модификации геометрии — например, при уменьшении толщины образца по степенному закону [4].
Одной из первых работ по теме АЧД стала основополагающая работа М.А. Миронова [1]. В этой работе рассматривается структура, представляющая собой пластину, толщина которой медленно меняется до нуля по степенному закону. Получен закон изменения (уменьшения) длины волны и увеличения амплитуды в данной структуре.
В обзорной статье [5] рассмотрены следующие типы АЧД: так называемая одномерная АЧД, представляющая собой пластину со степенным профилем; спиральная АЧД; стержень с вырезанными в нем дисками уменьшающегося диаметра [6]; двумерная АЧД [7]; АЧД в виде пластин с изменяющейся толщиной [8].
АЧД представляют интерес для структурной акустики и звукопоглощения, однако на практике реализованы только приближенно. Экспериментально распространение изгибной волны в образцах из различных материалов с профилем, изменяющимся по степенному закону, рассматривается в работах [8–11]. В этих работах наблюдался эффект замедления изгибной волны Лэмба и увеличения ее амплитуды по мере приближения к ребру клина.
Модификация АЧД в виде стержня со специальным законом изменения поперечного сечения рассмотрена в работах [12, 13]. Там же подробно раскрывается метод и критерии применимости ВКБ-приближения (Вентцеля–Крамерса–Бриллюэна) в задаче о поперечных колебаниях стержня. При использовании полученных точных решений в случае степенной зависимости ширины стержня и квадратичной зависимости толщины стержня от длины осуществлена модификация ВКБ-приближения для стержней с постоянной шириной и произвольно меняющейся толщиной. На основании этих решений получены выражения для матрицы входного импеданса стержня со специальным законом изменения поперечного сечения.
Исследования [5] показали, что структуры, которые играют роль акустических черных дыр, не требуют высокого качества изготовления, что делает их производство доступным. Отмечается [4], что эта область недостаточно исследована и требует более широкого раскрытия возможностей использования акустических черных дыр.
Альтернативой пластине или стержню со степенным профилем является разрезной стержень [14]. Он представляет собой стержень прямоугольного сечения, в котором перпендикулярно оси стержня сделаны прорези с увеличивающейся по степенному закону глубиной (рис. 1). Локальная жесткость такого стержня уменьшается с увеличением глубины прорезей. В частности, такая конструкция имеет преимущество в том, что не требует высокоточного изготовления торца стержня. Если сравнивать размеры двух аналогичных типов АЧД — стержня со степенным профилем и разрезного стержня одинаковой длины, то еще одно преимущество последнего заключается в понижении его критической частоты в 5 раз, по сравнению с более традиционной АЧД со степенным профилем. Масса соответствующего образца разрезного стержня при этом будет больше массы стержня со степенным профилем. Однако автор [14] уточняет, что вопрос о количестве и расположении прорезей остается открытым.
Для разрезного стержня невозможно получить точное аналитическое решение, поэтому для получения распределения полей смещений необходимо прибегать либо к упрощению задачи, либо к численному моделированию. В статье [14] предлагается пользоваться обычным уравнением изгибных колебаний неоднородного вдоль оси стержня. В результате расчетов получена формула для локальной толщины стержня в месте разрезов:
(1)
где s(x) – ширина зазора между противоположными прорезями, H — толщина стержня, L — длина отрезка стержня, в котором сделаны прорези, α — показатель степени.
Стержень начинает проявлять свойства АЧД при частотах выше критической:
. (2)
Здесь Е – модуль Юнга, а ρ — плотность материала стержня.
Для такого типа АЧД экспериментальных работ и результатов моделирования выполнено недостаточно. В настоящей работе приводятся результаты численного моделирования и экспериментальных исследовании особенностей распространения изгибных упругих волн в стержне прямоугольного сечения с прорезями, глубина которых меняется по степенному закону (1), а расстояние между ними постепенно уменьшается, проводится сравнение с контрольным образцом без прорезей.
ЧИСЛЕННОЕ МОДЕЛИРОВАНИЕ
В работе исследовались два образца стержня с размерами 3.9×6.8×200 мм: контрольный образец без прорезей и образец с 28 прорезями. Расстояние от свободного торца стержня до центра соответствующей прорези задавалось выражением:
, (3)
где i = {1, 2, …N}, N = 28 — количество прорезей, L — длина разрезанной части. Глубина менялась по степенному закону, исходя из (1):
Здесь формула s(x) искусственно ограничена минимальным значением толщины для предотвращения поломки образцов при их физическом воплощении. Общая длина стержня L0 = 200 мм, длина разрезанной части L = 90 мм, H = 6.8 мм, Z = 3.9 мм (ширина стержня) (рис. 1).
Рис. 1. Схема профиля разрезного стержня.
Размеры образца выбраны исходя из рабочего диапазона частот (в настоящей работе от 10 до 100 кГц) и набора условий:
Ширина прорезей равна 0.75 мм (это минимальные размеры, которые реализуемы физически). Координата считается от края стержня до середины прорези. Внутренняя часть прорезей имеет скругленный вид (d = 0.75 мм).
Упругие параметры материала образца соответствуют дюралюминию марки Д16: плотность 2680 кг/м3, скорость распространения продольных волн 6400 м/с, поперечных — 3130 м/с. В качестве источников акустических волн рассматривались пьезокерамические элементы с продольной поляризацией (рис. 2а), закрепленные у торца стержня в неразрезанной области на противоположных поверхностях стержня и работающих в противофазе: плотность 4700 кг/м3, скорость распространения продольных волн 6562 м/с, поперечных — 3582 м/с.
Рис. 2. (а) — Пример задаваемой геометрии образца и (б) — сетка конечных элементов.
Численное моделирование возможных колебательных процессов в модели акустической черной дыры выполнено методом конечных элементов в программном пакете COMSOL Multiphysics 5.3 (лицензия №9600341) с подключенным модулем «Структурная механика». Численное моделирование выполнялось c применением подхода определения собственных частот в трехмерной постановке без использования каких-либо симметрий, поскольку этот вариант позволяет выявить все возможные типы колебаний, которых в исследуемых образцах четыре: продольные моды, крутильные и две изгибные моды в разных проекциях.
Граничные условия модели соответствовали свободным внешним граням образца за исключением внешних границ пьезокерамических элементов, координаты которых были зафиксированы.
Сетка конечных элементов (рис. 2б) строилась отдельно в двух областях: в ближней к пьезокерамическим элементам части образца, где отсутствовали прорези, использовалась структурированная сетка из элементов в форме прямоугольных параллелепипедов, а область с прорезями заполнялась элементами в форме треугольных призм. Размер этих элементов был заведомо намного меньше длин исследуемых волн, поэтому определялся особенностями геометрии и составлял 0.05–0.1 высоты/ширины образца: 0.35–0.39 мм. Общее число элементов составляло около 400 000 (небольшое отклонение от этого числа вызывалось отличиями в структуре прорезей в образцах). Такой выбор сетки конечных элементов позволил получить точность оценки собственных частот до 50 Гц.
Решение задачи проводилось с помощью исследования на собственные частоты в диапазоне 0−100 кГц. Для дальнейшего анализа использовались компоненты смещения частиц на прорезанной поверхности образца в зависимости от координаты и графическое изображение формы колебаний (например, рис. 3).
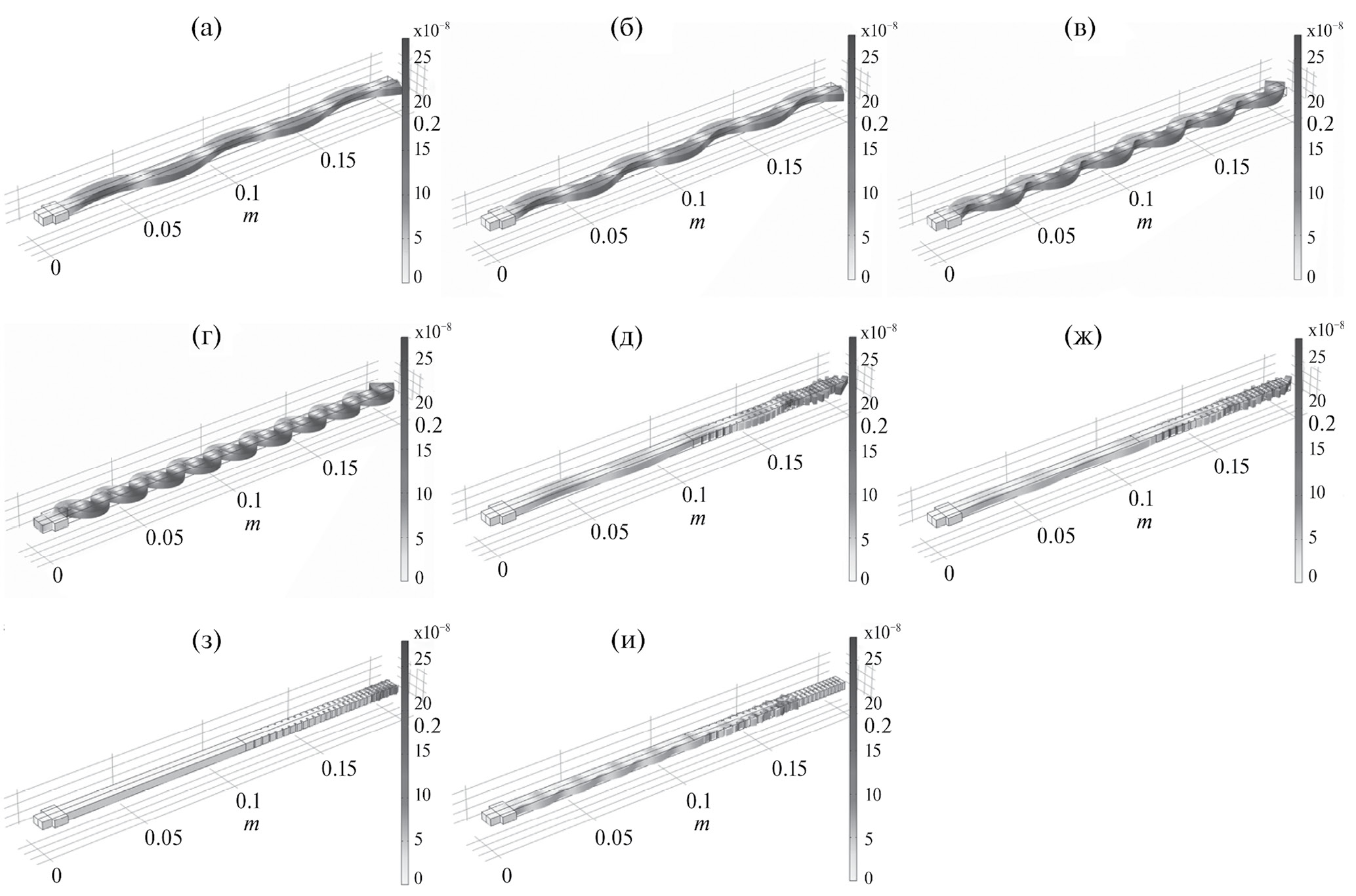
Рис. 3. Примеры форм изгибных колебаний стержней в горизонтальной проекции: в контрольном образце на частоте (а) — 12.8, (б) — 22.7, (в) — 54.6, (г) — 99.9 кГц; и в разрезном стержне на частоте: (д) — 10.4, (е) — 21.8, (ж) — 52.9, (з) — 99.5 кГц.
Как и следовало ожидать, распределение амплитуды колебаний вдоль контрольного стержня равномерно по всей его длине независимо от частоты, длина волны также не изменяется с расстоянием до торца стержня (рис. 3а–3г). На основании результатов моделирования для данного стержня были рассчитаны дисперсионные кривые для всех мод в диапазоне частот от 100 Гц до 100 кГц (рис. 4).
Рис. 4. Дисперсионные кривые стержня без разрезов (погрешность экспериментально полученных данных меньше величины маркера и увеличивается от 2% до 9% при уменьшении скорости).
Для разрезного стержня была построена серия распределений нормированной амплитуды смещения изгибной горизонтальной моды вдоль образца в зависимости от расстояния до свободного торца стержня с огибающими, повторяющими профиль разрезного стержня (рис. 5). С помощью преобразования Гильберта были рассчитаны функции, ортогональные исходным модам, и восстановлены формы огибающих для этих мод. По оси ординат отложены частоты, при этом ноль амплитуды колебаний моды соответствует значению ее собственной частоты. Амплитуды нормированы на начальное значение каждой кривой. Под осью абсцисс изображен профиль разрезного стержня.
Рис. 5. Распределение амплитуды изгибной моды в разрезном стержне.
После пересечения границы между неразрезанной и разрезанной частями стержня длина волны уменьшается по мере приближения к свободному концу, т.е. проявляется эффект АЧД. При этом форма ее огибающей повторяет профиль разрезного стержня. Кроме того, на частотах выше 52.9 кГц, когда полудлина волны ближе к торцу стержня сравнивается с расстоянием между прорезями, волна перестает достигать торца стержня. Необходимо отметить, что несмотря на то, что длина изгибной волны ведет себя похоже с длиной волны Лэмба в пластине с параболическим профилем [11], величина амплитуды возрастает незначительно, за исключением граничной моды на частоте 52.9 кГц, когда амплитуда возрастает в 10 раз.
Рис. 6. (а) — Собственные частоты изгибной моды, распространяющейся в разрезном и контрольном образцах. (б) — Зависимость длины изгибной волны в стержне от расстояния до свободного торца в диапазоне частот от 10 до 100 кГц. Под графиком помещен профиль разрезного стержня, соответствующий координатам х графика.
Рис. 6а отображает спектры собственных частот контрольного и разрезного стержней в диапазоне до 100 кГц. Спектр разрезного стержня более насыщен, чем спектр контрольного образца. Это объясняется тем, что по мере приближения изгибной волны к торцу разрезного стержня длина волны уменьшается (рис. 6б), и на участке с прорезями укладывается большее число длин волн для похожей частоты (см. рис. 3).
Подобное уменьшение длины волны в разрезном стержне и ее стремление к фиксированному значению было предсказано в [14] и связано с постепенным уменьшением локальной жесткости стержня. Длина волны и соответственно скорость не достигают нуля на торце клина в силу того, что было принято решение ограничить минимальное значение толщины перемычки между прорезями значением 0.85 мм для возможности дальнейшей физической реализации подобного образца.
ЭКСПЕРИМЕНТАЛЬНЫЕ ИССЛЕДОВАНИЯ
Для экспериментальных исследований из сплава Д16 были изготовлены два образца стержня с размерами 3.9×6.8×200 мм: контрольный без разрезов и с разрезами (рис. 7а).
Рис. 7. (а) — Образцы стержней, (б) — крепление образца и преобразователей.
Экспериментальные исследования проводились с использованием установки, разработанной для исследования клина с параболическим профилем [11]. Образец удерживался специально разработанной крепежной системой за неразрезанный конец (рис. 7б). Два пьезоэлектрических преобразователя прикреплены к образцу с противоположных сторон. В четырех угловых точках струбцины обеспечивается жесткий прижим образца за счет винтового крепления. Преобразователи подпружинены мягким материалом и не участвуют в системе закрепления, но обеспечивают граничные условия. Внутренние площадки преобразователей сдвигаются в поршневом режиме в противофазе, возбуждая таким образом в образце изгибную волну.
Рис. 8. Пример визуализации колебания поверхности разрезного стержня, полученной с помощью сканирующего виброметра.
С помощью лазерного сканирующего виброметра (PSV-300, Polytec) сканировалась поверхность стержня с разрезами, таким образом вертикальное смещение поверхности на визуализации (рис. 8), полученной с помощью лазерного виброметра во время эксперимента, соответствует изгибу стержней в горизонтальной плоскости на рис. 3. Сканирование проводилось только для некоторых частот, чтобы удостоверится в выполнении условия тонкого стержня в данном частотном диапазоне. В дальнейшем значения амплитуды колебательной скорости определялись в выбранных точках на центральной линии поверхности. Количество точек подбиралось таким образом, чтобы разрешение по пространству было достаточным для визуализации волны — не менее пяти точек на полдлины волны.
Рис. 9. Амплитудно-частотная характеристика (а) — контрольного и (б) — разрезного стержней в диапазоне от 10 до 100 кГц.
В начале эксперимента с каждым из образцов измерялась АЧХ в непрерывном свип-режиме измерений в диапазоне от 10 до 100 кГц (рис. 9.).
Рис. 10. Распределение амплитуды изгибной моды (а) — в контрольном образце и (б) — в разрезном стержне.
Распределение собственных частот образцов напоминает характер спектров, полученных в результате моделирования (рис. 6а). В контрольном образце на частотах от 55 кГц и выше происходит более эффективная генерация собственных колебаний, и распределение амплитуды (рис. 10а) вдоль стрежня равномернее с учетом узлов и пучностей стоячих волн, чем на низких частотах, при этом длина волны не зависит от расстояния вдоль стержня, а дисперсионная кривая для данного стержня качественно повторяет форму смоделированной кривой, построенной по данным численного моделирования (рис. 4).
В образце разрезанного стержня происходит «выравнивание спектра» — амплитуды резонансных мод на частотах ниже 55 кГц сравнимы с амплитудой пиков на более высоких частотах. Характер поведения амплитуды колебаний изгибной волны в разрезном стержне (рис. 10б) качественно повторяет результаты моделирования: по мере приближения к торцу стержня длина волны уменьшается, и как только расстояние между прорезями становится равным половине длины волны, волна не распространяется дальше (рис. 5). Наблюдается только небольшое смещение частотного спектра (±3 кГц) по сравнению с промоделированным (рис. 5). Значения длины изгибной волны в моделировании и в проведенном эксперименте для разрезного стержня в зависимости от приближения к торцу стержня для разных частот представлены на рис. 11. Ближе к торцу стержня погрешность определения длины волны увеличивается и возрастает от 1 до 4 мм.
Рис. 11. Зависимость длины изгибной волны в стержне от расстояния до свободного торца в диапазоне частот от 10 до 100 кГц. Линиями представлены результаты моделирования, а точками — экспериментальные данные.
Для всех исследованных частот наблюдается уменьшение длины изгибной волны в стержне в зависимости от пройденного расстояния. Однако, на расстоянии около 30 мм от торца, уменьшение длины волны практически не происходит и даже наблюдается немонотонное поведение длины волны в зависимости расстояния, что связано с тем, что данный образец стержня имеет 5 одинаковых по глубине прорезей на конце. Расхождение результатов моделирования и результатов экспериментальных исследований может быть связано с неточностью изготовления стержня (в том числе выполнения прорезей), неправильного учета места и способа закрепления.
ЗАКЛЮЧЕНИЕ
В настоящей работе представлены результаты моделирования и эксперимента, подтверждающие проявление эффекта акустической черной дыры в диапазоне от 1 до 100 кГц в разрезном стержне, глубина прорезей в котором меняется по степенному закону (1). Проведено также сравнение с контрольным образцом без прорезей. Для этого:
Для всех исследованных мод наблюдается уменьшение длины изгибной волны в стержне в зависимости от пройденного расстояния. Однако, изменение длины волны вблизи торца имеет вид ступени, что связывается как с наличием одинаковых по глубине прорезей у конца стержня, так и с эффектами совпадения или несовпадения длины изгибной волны стержня с размерами разрезанных фрагментов. В этом плане выделяется мода 52.9 кГц (численное моделирование) и 55.7 кГц (эксперимент), у которой на расстоянии 8 мм от торца длина волны резко уменьшается и выходит на среднее значение около 4.8 мм.
Результаты проведенных исследований дают информацию об особенностях распространения изгибных волн в разрезных стержнях и могут быть полезны при разработке шумопоглощающих устройств на их основе.
Исследования выполнены за счет гранта Российского научного фонда (проект № 19–12–00098). Численное моделирование выполнено за счет государственного задания ИФЗ РАН.
About the authors
A. A. Agafonov
Moscow State University named after M.V. Lomonosov
Email: aikor42@mail.ru
Faculty of Physics
Russian Federation, Leninskie Gory, Moscow, 119991M. Yu. Izosimova
Moscow State University named after M.V. Lomonosov
Email: aikor42@mail.ru
Faculty of Physics
Russian Federation, Leninskie Gory, Moscow, 119991R. A. Zhostkov
Institute of Physics of the Earth named after O.Yu. Schmidt RAS
Email: aikor42@mail.ru
Russian Federation, Gruzinskaya st. 10, building 1, Moscow, 123995
A. I. Kokshayskiy
Moscow State University named after M.V. Lomonosov
Email: aikor42@mail.ru
Faculty of Physics
Russian Federation, Leninskie Gory, Moscow, 119991A. I. Korobov
Moscow State University named after M.V. Lomonosov
Author for correspondence.
Email: aikor42@mail.ru
Faculty of Physics
Russian Federation, Leninskie Gory, Moscow, 119991
N. I. Odina
Moscow State University named after M.V. Lomonosov
Email: aikor42@mail.ru
Faculty of Physics
Russian Federation, Leninskie Gory, Moscow, 119991References
- Миронов М.А. Распространение изгибной волны в пластине, толщина которой плавно уменьшается до нуля на конечном интервале // Акуст. журн. 1988. Т. 34. №. 3. C. 546–547.
- Krylov V.V., Shuvalov A.L. Propagation of localised flexural vibrations along plate edges described by a power law // Proc. of the Institute of Acoustics. 2000. V. 22. № 2. P. 263–270.
- Krylov V.V. Localized acoustic modes of a quadratic solid wedge // Moscow University Physics Bulletin. 1990. V. 45. №. 6. P. 65–69.
- Krylov V.V., Tilman F.J.B.S. Acoustic ‘black holes’ for flexural waves as effective vibration dampers // J. Sound Vib. 2004. V. 274. № 3−5. P. 605–619.
- Pelat A., Gautiera F., Conlon S.C., Semperlotti F. The acoustic black hole: A review of theory and applications // J. Sound Vib. 2020. V. 476. P. 115316.
- Guasch O., Arnela M., Sánchez-Martín P. Transfer matrices to characterize linear and quadratic acoustic black holes in duct terminations // J. Sound Vib. 2017. V. 395. P. 65–79.
- Krylov V.V. Acoustic black holes: recent developments in the theory and applications // IEEE Trans. Ultrason. Ferroelectr. Freq. Control. 2014. V. 61. № 8. P. 1296–1306.
- Bayod J.J. Experimental study of vibration damping in a modified elastic wedge of power-law profile // J. Vibr. Acoust. 2011. V. 133. № 6. P. 061003.
- Ji H., Luo J., Qiu J., Cheng L. Investigations on flexural wave propagation and attenuation in a modified one-dimensional acoustic black hole using a laser excitation technique // Mechanical Systems and Signal Processing. V. 104. 2018. P. 19−35.
- O’Boy D.J., Krylov V.V. and Kralovic V. Damping of flexural vibrations in rectangular plates using the acoustic black hole effect // J. Sound Vib. 2010. V. 329. P. 4672–4688.
- Агафонов А.А., Коробов А.И., Изосимова М.Ю., Кокшайский А.И., Одина Н.И. Особенности распространения волн Лэмба в клине из АБС пластика с параболическим профилем // Акуст. журн. 2022. Т. 68. № 5. С. 467–474.
- Миронов М.А. Точные решения уравнения поперечных колебаний стержня со специальным законом изменения поперечного сечения // Акуст. журн. 2017. Т. 63. № 5. С. 3–8.
- Миронов М.А. Точные решения уравнения поперечных колебаний стержня со специальным законом изменения поперечного сечения вдоль его оси // IX Всесоюзная акустическая конференция. 1991. Секция Л. С. 23–26.
- Миронов М.А. Разрезной стержень как вибрационная черная дыра // Акуст. журн. 2019. Т. 65. № 6. C. 736–739.
Supplementary files












