Характеристики скалярного частотно-волнового спектра пристеночных пульсаций давления в безградиентном турбулентном пограничном слое
- Авторы: Кудашев Е.Б.1, Яблоник Л.Р.2
-
Учреждения:
- Институт космических исследований РАН
- Научно-производственное объединение по исследованию и проектированию энергетического оборудования им. И.И. Ползунова
- Выпуск: Том 70, № 2 (2024)
- Страницы: 244-252
- Раздел: АТМОСФЕРНАЯ И АЭРОАКУСТИКА
- URL: https://ogarev-online.ru/0320-7919/article/view/261608
- DOI: https://doi.org/10.31857/S0320791924020124
- EDN: https://elibrary.ru/YMXTTL
- ID: 261608
Цитировать
Полный текст
Аннотация
Выполнен анализ основных свойств скалярного частотно-волнового спектра турбулентных давлений, представляющего суммарную энергию волновых компонент поля турбулентных давлений с заданным модулем волнового вектора. Рассмотрение скалярного спектра, обладающего самостоятельным прикладным значением, позволяет наглядно представить распределение энергии турбулентных давлений в широком диапазоне частот и волновых чисел. На основании известных моделей векторного волнового поля предложены соотношения для оценки приведенного скалярного спектра. Определены степень и характер параметрического влияния чисел Маха и Рейнольдса.
Полный текст
ВВЕДЕНИЕ
Скалярный частотно-волновой спектр [1] представляет суммарную энергию всех волновых компонент поля турбулентных давлений с заданным модулем волнового вектора. Помимо того, что данная характеристика имеет определенное прикладное значения, ее изучение позволяет относительно наглядно представить структуру пульсационного воздействия ввиду уменьшенного по сравнению с классическим волновым спектром количества переменных.
В данной работе выполнен анализ основных свойств скалярного частотно-волнового спектра турбулентных давлений на гладкой плоской поверхности под безградиентным турбулентным пограничным слоем при небольших дозвуковых скоростях внешнего потока. Анализ основывается на известных моделях частотно-волнового спектра.
Основное внимание уделено моделям, в которых рассматривается приведенный частотно-волновой спектр (отнесенный к частотному спектру), что позволяет уменьшить количество режимных и сторонних факторов, влияющих на исследуемые зависимости. В качестве основных исходных выбраны модифицированная модель Ефимцова [2], в которой данные [2] по продольному и поперечному спектрам распространены на всю волновую плоскость в соответствии со схемой волнового эллиптического окна [1], модель Смольякова–Ткаченко [3], а также относительно недавняя модель Френди–Чжана [4].
Оценки влияния числа Маха на скалярный спектр выполнены на основании моделей Чейза [5]. Влияние числа Рейнольдса оценивается с использованием соответствующих зависимостей для частотного спектра, определяемых моделью Гуди [6].
В качестве основных определяющих кинематических параметров рассматриваемого скалярного спектра приняты скорость внешнего потока U и толщина пограничного слоя δ. При приведении моделей [2–6] к унифицированной форме использованы соотношения между величиной δ и толщинами вытеснения δ* и потери импульса δ**, соответствующие закону степени 1/7 для распределения скоростей, справедливому при умеренно больших числах Рейнольдса [7]:
. (1)
Меняющееся в достаточно узком диапазоне (0.03…0.04) отношение “скорости трения” Uτ к скорости U принято равным 0.035. Отметим, что аналогичный подход принят при сопоставлении различных моделей в работах [3, 4].
КАЧЕСТВЕННЫЙ АНАЛИЗ
Некоторые универсальные свойства скалярного спектра могут быть получены из анализа графических зависимостей, представляющих (векторный) частотно-волновой спектр турбулентных давлений кривыми равного уровня на плоскости компонент k1 (вдоль направления внешнего потока) и k2 (в перпендикулярном направлении) волнового вектора k. Такое представление получило в настоящее время широкое распространение [1, 4, 8]. При всех заметных конкретных различиях, графики, схематически показанные на рис. 1, имеют очевидные общие свойства.
Рис. 1. К качественному анализу свойств скалярного волнового спектра; 1 – кривые равных значений частотно-волнового спектра; 2 – конвективный гребень (максимальные значения); 3 – контур интегрирования, соответствующий максимальному значению скалярного волнового спектра
Так, линии равных уровней частотно-волнового спектра представляют собой замкнутые контуры, вытянутые поперек направления потока. При этом вытянутая зона максимальных значений (зона конвективного гребня) концентрируется, как правило, вокруг единственной точки максимума, координаты которой оцениваются значениями , где ω – угловая частота, Uc – конвективная скорость, несколько меньшая скорости U внешнего потока. Скорость снижения уровней частотно-волнового спектра уменьшается по мере удаления от конвективного гребня. Собственно контуры постоянных значений волнового спектра симметричны относительно оси k2 = 0, их конфигурация для приведенных спектров зависит лишь от одного параметра – безразмерной частоты . Такая зависимость существенна лишь в диапазоне относительно небольших значений , в котором крутизна гребня возрастает с увеличением частоты . При значениях параметра выше граничного значения приведенный частотно-волновой спектр может быть оценен универсальной зависимостью от безразмерного вектора . В этой автомодельной области частот двукратное отклонение продольной компоненты волнового вектора от точки максимума влечет за собой снижение значений спектра более чем на порядок. Собственно конвективный гребень в данном случае расположен в коротковолновой области , в которой продольные масштабы меньше толщины пограничного слоя.
Практически все модели предполагают ненулевое значение частотно-волнового спектра при .
Отмеченные основные свойства модельных частотно-волновых спектров в целом подтверждаются результатами относительно недавних прямых измерений [9–12]. Некоторое отличие состоит в фактическом существовании дополнительной составляющей в акустической зоне (c – скорость звука), в значительной мере связанной со сторонними источниками шума.
Из представленных свойств можно сделать некоторые общие выводы о характеристиках скалярного волнового спектра Ф(ω, kS), представляющего собой интеграл от волнового спектра E(ω, k1, k2) по окружности радиуса kS [1]. При этом естественно сравнивать скалярный спектр
(2)
с достаточно изученными продольным E1(k1, ω) и поперечным E2(k2, ω) волновыми спектрами, являющимися интегралами
(3)
от E(k1, k2, ω) по всему диапазону значений соответственно k2 и k1.
Рассмотрение приведенных на рис. 1 графических зависимостей приводит к следующим достаточно общим выводам:
1) В автомодельном диапазоне частот с ярко выраженным конвективным гребнем зона максимальных значений скалярного спектра близка к аналогичной области продольного волнового спектра. При этом собственно уровни максимальных значений скалярного спектра должны быть немного ниже, а пиковая зона несколько смещена в сторону высоких значений волновых чисел. Снижение частотного параметра , сопровождаемое размыванием конвективного гребня, приводит к росту этого смещения и в целом к большему различию между областями максимальных значений продольного и скалярного спектров.
2) В силу вытянутости контуров постоянных значений, интегрирование волнового спектра по контуру при больших волновых числах можно приближенно заменить суммой интегралов по k1 при и при . В этом случае, с учетом фактора симметрии, величины скалярного спектра турбулентных давлений приближаются к удвоенным значениям поперечного спектра:
(4)
3) Поскольку в длинноволновой области ненулевое значение частотно-волнового спектра меняется относительно медленно, то здесь скалярный спектр пристеночных турбулентных давлений практически линейно зависит от волнового числа kS, так что
. (5)
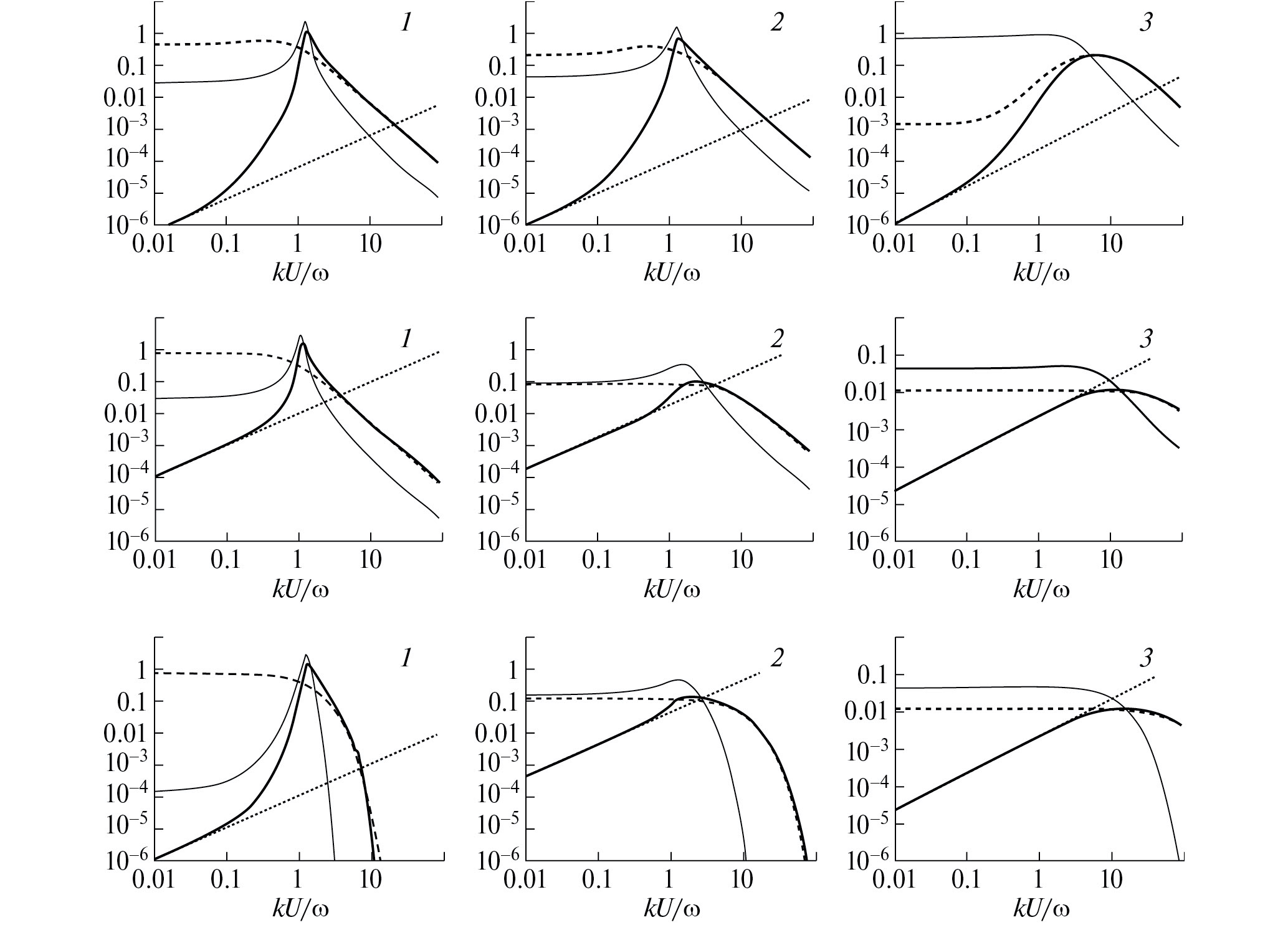
Представленные общие выводы иллюстрируются на рис. 2 конкретными зависимостями в терминах отнесенных к частотному спектру P(ω) безразмерных величин приведенного скалярного спектра
, (6)
Рис. 2. Приведенные спектральные зависимости при различных значениях безразмерной частоты . Модели: (a) – Смольякова–Ткаченко [3]; (б) – модифицированная Ефимцова [2]; (в) – Френди–Чжана [4]. Значения : 1 – 10; 2 – 1.0; 3 – 0.1. Кривые: ; —— ; ---- ; ••••••
продольного e1 и поперечного e2 волновых спектров
(7)
и частотно-волнового спектра
. (8)
Графические зависимости, представленные на рис. 2, показывают, что положения 1)…3) справедливы для всех рассмотренных достаточно различных моделей в широком диапазоне изменения параметра .
КОЛИЧЕСТВЕННЫЕ ОЦЕНКИ
Результаты расчетов приведенных скалярных спектров применительно к моделям [2–4] показаны на рис. 3а–3в.
Рис. 3. Кривые равных уровней приведенного скалярного спектра . Показаны значения 10lgφ. Модели: (а) – Смольякова–Ткаченко [3]; (б) – модифицированная Ефимцова [2]; (в) – Френди–Чжана [4]; (г) – приближение (10)
Несмотря на определенные различия, характеристики модельных спектров имеют очевидные общие свойства. Так, при высоких значениях линии равного уровня стремятся к вертикальным прямым, так что волновая характеристика приобретает универсальный характер с выраженным максимумом (конвективный гребень) в зоне величины немногим больше единицы. При снижении характерной частоты конвективный гребень размывается, в то время как зона максимальных значений несколько смещается в сторону увеличения волновых чисел.
Аппроксимация скалярных спектров на рис. 3а–3в единым аналитическим выражением представляет собой технически непростую задачу, поскольку для всех значений частотного параметра требуется выполнения условия
, (9)
непосредственно следующего из определения приведенного спектра φ. К настоящему времени, исходя из представленных модельных данных и условия (9), можно предложить приближенную формулу для оценки приведенного скалярного спектра поля пристеночных турбулентных давлений применительно к частотам в форме
(10)
Здесь функции φ0, a1, a2 и a3 определены выражениями:
Кривые равных уровней скалярного спектра, посчитанного по формуле (10), приведены на рис. 3г. Несмотря на некоторую громоздкость, использование данных соотношений достаточно удобно при моделировании экспериментов и прикладных оценках. Последние естественно проводить в переменных kSδ и , в которых линейная и временна́я компоненты независимы.
В переменных kSδ и выражение для приведенного скалярного спектра ψ(kSδ, ) связано с рассмотренной характеристикой простым соотношением
. (11)
При этом скалярный волновой спектр (2) представляется посредством произведения
. (12)
На рис. 4 представлены результаты расчетов безразмерного скалярного волнового спектра
(13)
Рис. 4. Кривые равных уровней безразмерного скалярного спектра . Показаны значения 10lg. Модели: (а) – Смольякова–Ткаченко [3]; (б) – модифицированная Ефимцова [2]; (в) – Френди–Чжана [4]; (г) – скалярная модель (10)
(τ – касательное напряжение на стенке) применительно к рассмотренным моделям. Расчеты выполнены в соответствии с (12), где частотный спектр P(ω) определен эмпирическим соотношением Гуди [6, 13], получившим к настоящему времени наибольшее признание, при значении параметра Гуди , равном 100.
Графические зависимости рис. 4 дают исчерпывающую наглядную информацию о скалярном волновом спектре пристеночных турбулентных давлений в рамках рассматриваемых моделей. В частности, из них видно, что наибольшие уровни скалярного спектра наблюдаются в зоне волновых чисел в районе .
О ВЛИЯНИИ ЧИСЕЛ МАХА И РЕЙНОЛЬДСА
Влияние сжимаемости на характеристики скалярного спектра может быть оценено на основании расширенной модели Чейза [5]. Согласно этой модели, обоснованной для значений > 1 [14], волновое поле турбулентных пристеночных давлений может быть представлено в рамках схемы несжимаемой жидкости при условии, что квадраты волновых чисел турбулентных давлений значительно превышают соответствующие значения генерируемого потоком звукового поля, т.е. при
. (14)
В переменных диаграмм рис. 4 данное условие может быть переписано в виде соотношения
, (15)
определяющего зону относительного влияния числа Маха M на форму соответствующего представления скалярного спектра.
Результаты конкретных расчетов скалярного спектра для различных чисел M представлены на рис. 5. Расчеты показывают степень и характер искажения линий постоянного уровня скалярного спектра по мере роста числа Маха. Изменения, как и следовало ожидать, развиваются в левом верхнем углу диаграммы и в рассмотренном диапазоне частот даже в случае M = 0.5 не затрагивают уровни, приближающиеся к максимальным. Безусловно, данный результат относится к случаю отсутствия сторонних акустических источников.
Рис. 5. Влияние числа Маха на безразмерный скалярный спектр . Расширенная модель Чейза [5]. Значения чисел M: (а) – 0.01 (пунктир – 0); (б) – 0.1; (в) – 0.3; (г) – 0.5
Что касается чисел Рейнольдса, то, в рамках рассмотренных моделей [2–4] и прикладного приближения (10), их влияние оказывается независящим от волнового числа и проявляется лишь посредством изменений частотного спектра согласно формуле (12). При этом данные соответствующих оценок, продемонстрированные на рис. 6, показывают, что снижение значений параметра RT (однозначно связанного с числом Рейнольдса Reδ) от 300 до 30 заметно “сплющивает” контуры постоянных значений скалярного спектра при значениях .
Рис. 6. Влияние числа Рейнольдса на безразмерный скалярный спектр . Скалярная модель (10). Значения RT: —— 300; ---- 30
Необходимо отметить, что представленная формальная независимость степени воздействия чисел Рейнольдса от волновых масштабов может быть объяснена лишь ограниченностью использованных здесь моделей приведенного частотно-волнового спектра, в которых фактор вязкости не учитывается.
ЗАКЛЮЧЕНИЕ
Рассмотрены характеристики скалярного частотно-волнового спектра, представляющего в компактной и наглядной форме информацию о волновой структуре поля турбулентных пристеночных пульсаций давления в пограничном слое. Исходя из сложившихся к настоящему времени общих представлений о частотно-волновом спектре турбулентных давлений, сформулированы универсальные свойства его скалярного аналога. Полученные на базе известных моделей конкретные результаты расчетов скалярного спектра позволили установить его характерные особенности и сформулировать степень и характер влияния основных определяющих параметров. В частности, отмечено определенное смещение максимума приведенного скалярного спектра в сторону высоких волновых чисел при уменьшении характерной частоты ниже значения = 1. Предложена приближенная модель собственно скалярного волнового спектра, допускающая использование как при моделировании и отработке экспериментальных методов, так и при решении широкого круга прикладных задач, в которых значимые эффекты воздействия турбулентных пульсаций зависят лишь от модуля волнового вектора.
Работа выполнена при поддержке Министерства науки и высшего образования РФ (тема “Мониторинг” № 122042500031-8).
Об авторах
Е. Б. Кудашев
Институт космических исследований РАН
Автор, ответственный за переписку.
Email: fmkdshv@gmail.com
Россия, Москва
Л. Р. Яблоник
Научно-производственное объединение по исследованию и проектированию энергетического оборудования им. И.И. Ползунова
Email: yablonik@gmail.com
Россия, Санкт-Петербург
Список литературы
- Кудашев Е.Б., Яблоник Л.Р. Модели и методы скалярной волновой фильтрации полей пристеночных турбулентных пульсаций давления // Акуст. журн. 2022. Т. 68. № 6. С. 670–678.
- Ефимцов Б.М. Критерии подобия спектров пристеночных пульсаций давления турбулентного пограничного слоя // Акуст. журн. 1982. Т. 28. № 4. С. 491–497.
- Смольяков А.В., Ткаченко В.М. Модели поля псевдозвуковых турбулентных пристеночных давлений и опытные данные // Акуст. журн. 1991. Т. 37. № 6. С. 1199–1207.
- Frendi A., Zhang M. A New Turbulent Wall-Pressure Fluctuation Model for Fluid-Structure Interaction // J. Vib. Acoust. 2020. V. 142. № 2. P. 021018. https://doi.org/10.1115/1.4045771
- Chase D.M. The character of the turbulent wall pressure spectrum at subconvective wavenumbers and a suggested comprehensive model // J. Sound Vib. 1987. V. 112. № 1. P. 125–147.
- Goody M. An empirical model of surface pressure fluctuations // AIAA J. 2004. V. 42. P. 1788–1794.
- Шлихтинг Г. Теория пограничного слоя. М.: Наука, 1969. 744 с.
- Prigent S.L., Salze É., Bailly C. Deconvolution of wavenumber-frequency spectra of wall pressure fluctuations // AIAA J. 2020. V. 58. № 1. P. 164–173.
- Leclere Q., Dinsenmeyer A., Salze E., Antoni J. A comparison between different wall pressure measurement devices for the separation and analysis of TBL and acoustic contributions // Flinovia–Flow Induced Noise and Vibration Issues and Aspects-III. P. 181–206. Springer Nature Switzerland AG, 2021.
- Arguillat B., Ricot D., Robert G., Bailly C., Robert G. Measured wavenumber: Frequency spectrum associated with acoustic and aerodynamic wall pressure fluctuations // J. Acoust. Soc. Am. 2010. V. 128. P. 1647.
- Robin O., Moreau S., Berry A. Measurement of the wavenumber-frequency spectrum of wall pressure fluctuations: spiral-shaped rotative arrays with pinhole-mounted quarter inch microphone // 19th AI-AA/CEAS Aeroacoustics Conference May 27-29, 2013, Berlin, Germany (AIAA 2013-2058)
- Salze É., Bailly C., Marsden O., Jondeau E., Juvé D. An experimental investigation of wall pressure fluctuations beneath pressure gradients // AIAA AVIATION Forum. 21th AIAA/CEAS Aeroacoustics Conference, June 22-26th 2015, Dallas, Texas.
- Кудашев Е.Б., Яблоник Л.Р. Развитие экспериментальных исследований турбулентных пристеночных пульсаций давления. Критический анализ и обобщение накопленных опытных данных // Акуст. журн. 2021. Т. 67. № 6. С. 639–649.
- Howe M.S. Acoustics of Fluid-Structure Interactions. Cambridge University Press, 1998. 560 p.
Дополнительные файлы








