Анализ колебательного процесса внутри акустической интерференционной антенны с помощью метода реверберационной матрицы
- Autores: Субботкин А.О.1,2
-
Afiliações:
- Институт общей физики им. А.М. Прохорова Российской академии наук
- Научно-исследовательский институт строительной физики Российской академии архитектурно-строительных наук
- Edição: Volume 70, Nº 1 (2024)
- Páginas: 126-140
- Seção: ФИЗИЧЕСКИЕ ОСНОВЫ ТЕХНИЧЕСКОЙ АКУСТИКИ
- URL: https://ogarev-online.ru/0320-7919/article/view/259323
- DOI: https://doi.org/10.31857/S0320791924010152
- EDN: https://elibrary.ru/ZNNKFI
- ID: 259323
Citar
Texto integral
Resumo
Представленное в настоящей статье теоретическое исследование процесса формирования звукового поля в акустической интерференционной антенне мотивировано анализом физического принципа работы остронаправленного интерференционного микрофона. Одной из задач работы является определение звукового давления, воздействующего на мембрану микрофона внутри антенны. Анализ звукового поля внутри интерференционной антенны проводится с помощью матричного метода, схожего с методом реверберационной матрицы. Решение формально представляется в виде ряда Шварцшильда. Результат расчета по представленному методу хорошо совпадает с экспериментальными данными.
Texto integral
ВВЕДЕНИЕ
Интерференционная антенна – узкая трубка постоянного сечения с перфорациями (отверстиями) на боковой поверхности по всей своей длине. Такие антенны используются в остронаправленных микрофонах интерференционного типа. Одним концом антенну подсоединяют к микрофонному капсюлю (направленному или ненаправленному), а другой конец остается открыт. Центры боковых отверстий обычно расположены на одинаковом расстоянии друг от друга, но их диаметр может уменьшаться по мере приближения к микрофонному капсюлю. Отверстия также затягиваются тканью (как правило, шелком). Остронаправленные интерференционные микрофоны (т. н. микрофон-пушка от англ. shotgun microphone) в основном применяются для звукозаписи преимущественно в сфере телевидения, также в [1] указывается о применении при акустических измерениях в области архитектурно-строительной акустики для измерения направления прихода звуковых отражений в концертных залах (т. н. характеристика “ежик”). Интерференционный микрофон также называют микрофоном бегущей волны. Технический анализ интерференционных микрофонов, историю развития их конструкции и обзор современных промышленных образцов можно найти в работе [2].
В обобщенном виде интерференционную антенну можно представить, как волновод специфической конфигурации – узкая цилиндрическая труба конечной длины с абсолютно жесткими стенками, нагруженная с двух сторон на некоторые импедансы. По всей своей длине волновод имеет импедансные включения, реализованные в виде отверстий, которые также могут быть нагружены дополнительным импедансом. Помимо интерференционных микрофонов, волноводы с импедансными включениями применяются в разных областях техники, в частности, при решении задач шумоглушения. Поэтому распространение волн в подобных волноводах различной конфигурации изучается давно и достаточно подробно. В работах [3–6] рассматривается распространение звука в волноводах, имеющих ответвления или присоединенные к стенкам резонаторы Гельмгольца. В работах [7–9] рассматривается излучение звука из волноводов с отверстиями и перфорациями. Несмотря на широкое применение таких волноводов и большой исследовательский интерес к ним, работ, посвященных изучению звукового поля в волноводах типа “интерференционная антенна”, найти так и не удалось.
Первый теоретический анализ похожих интерференционных микрофонов был предпринят около 80 лет назад [10] и без особых изменений дошел до наших дней через работы отечественных и зарубежных авторов [11–18]. С современной теорией остронаправленных микрофонов можно ознакомиться в [19, 20]. Теория дает простейшее качественное описание физического принципа работы микрофона, представляя результирующее звуковое давление на мембране микрофона как сумму давлений на каждом боковом отверстии с дополнительной задержкой на геометрическую разность хода от этого отверстия до мембраны микрофона. Такое представление подобно линейной акустической интерференционной антенне, состоящей из отдельных приемников, в сигнал которых вносится временная задержка. Описанная в теории математическая модель интерференционной антенны получила название “delay-and-sum model” [21]. В этой модели не учитываются процесс переотражений звуковых волн внутри антенны, дополнительный вносимый акустический импеданс отверстий, волновые свойства антенны. Все это не дает возможности рассчитать амплитудно-частотную характеристику интерференционной антенны и получить следующие из нее уравнения основных электроакустических характеристик микрофона. Тем не менее, известное уравнение характеристики направленности для интерференционного микрофона с ненаправленным капсюлем хорошо совпадает с экспериментальными данными. В работах [20, 22] получено уравнение для характеристики направленности интерференционного микрофона с однонаправленным капсюлем. Здесь стоит отметить, что рассчитанная по существующей теории [19, 20, 22] характеристика направленности интерференционного микрофона совпадает с измеренной только в случае, если боковым отверстиям антенны дано дополнительное акустическое сопротивление определенной величины (они закрыты тканью или сеткой), хотя никаких дополнительных указаний на это нет. Эта особенность выявлена в процессе работы над статьей, и объяснение этому явлению будет дано в Заключении статьи. При этом утверждение, представленное в [23], о том, что применение дополнительного акустического сопротивления направлено на сглаживание резонансной структуры амплитудно-частотной характеристики микрофона, не дает представления о физическом явлении, которым обусловлено такое инженерное решение.
В работах [21, 27–31] звуковое поле в интерференционной антенне анализируется с помощью метода электроакустических аналогий (в отечественной литературе чаще используется метод электромеханических аналогий [18]). Интерференционная антенна разделяется на сегменты между отверстиями, представляющими собой цилиндрическую трубку. Сегменты замещаются электрическим четырехполюсником (П- или Т-образным). Отверстия представляются в виде комплексного импеданса, состоящего из активного сопротивления излучению и реактивного инерционного сопротивления. Воздействующее на отверстия звуковое давление представляется в виде источников электродвижущей силы.
Предложенное в настоящей статье теоретическое исследование процесса формирования звукового поля в интерференционной антенне мотивировано анализом физического принципа работы остронаправленного интерференционного микрофона. Одной из задач работы является определение звукового давления, воздействующего на мембрану микрофона внутри антенны. Анализ звукового поля внутри интерференционной антенны проводится с помощью матричного метода, схожего с методом реверберационной матрицы, изложенным в [24]. Решение содержит в себе элементы метода [25] и формально представляется в виде ряда Шварцшильда [26]. В сравнении с вышеперечисленными методами анализа звукового поля предложенный метод является более содержательным с физической точки зрения, дает более удобное описание переходных процессов в интерференционной антенне и является оптимальным для решения некоторых задач, например, для исследования распространения импульсов в антенне. Отметим, что расчет звукового давления на мембране интерференционного микрофона с ненаправленным капсюлем по предложенному в работе методу совпадает с расчетом по методу электроакустических аналогий.
1. ПОСТАНОВКА ЗАДАЧИ
Рассмотрим интерференционную антенну длиной L с n боковыми отверстиями. Слева антенна открыта, а справа закрыта мембраной микрофона. Боковые отверстия пронумеруем слева направо – ближайшее отверстие к открытому торцу будет иметь номер i = 1, а ближайшее к концу, закрытому мембраной микрофона, i = n. Пусть центрам боковых отверстий соответствуют координаты x1, …, xi, …, xn. Открытый торец антенны мы обозначим i = 0, он расположен в x0, а закрытый торец – i = = (n + 1), он расположен в x(n+1). Внутренний радиус антенны обозначим r0, а толщину стенки антенны – ∆. Каждое боковое отверстие имеет радиус ri, а центры отверстий находятся на расстоянии d друг от друга. Открытый торец и боковое отверстие находятся на расстоянии d друг от друга, так же, как и боковое отверстие i = n от мембраны микрофона. На рис. 1 показано модельное представление интерференционной антенны. Требуется получить аналитическую запись результирующего звукового поля внутри интерференционной антенны на поршневой (нулевой) моде.
Рис. 1. Модельное представление интерференционной антенны.
Пусть антенна находится в поле плоской гармонической волны, падающей под углом θ к оси антенны, тогда на торцевое и каждое боковое отверстие антенны i действует звуковое давление pi, которое можно записать в виде:
(1)
где pm – амплитуда звукового давления, Па; ω – круговая частота, рад/с; t – время, с; k = ω/c0 – волновое число, рад/м; c0 – скорость звука в среде, м/с; i – номер бокового отверстия; d – расстояние между боковыми отверстиями, м; θ – угол падения звуковой волны, рад. В дальнейших математических выкладках множитель ejωt будем опускать. Антенна находится в газообразной (или жидкой) среде, внутри антенна заполнена той же средой.
Волна звукового давления pi частично рассеивается на отверстии i (в виде волны pi) и возбуждает в антенне колебательный процесс. От отверстия в двух противоположных направлениях начинают распространяться две волны – волна прямого хода которая распространяется в сторону отверстия (i + 1), и волна обратного хода которая распространяется в сторону отверстия (i – 1). Будем называть эти волны элементарной прямой и обратной волнами нулевого дифракционного порядка. Сечение центров боковых отверстий делят антенну на (n + 1) сегментов. В записи волны нижний индекс показывает сегмент, в котором распространяется данная волна (это индексы координат левой и правой границы сегмента), а верхний индекс показывает дифракционный порядок.
Таким образом, вследствие воздействия на антенну звуковой волны в каждом сегменте трубы образуется пара элементарных прямых и обратных волн нулевого дифракционного порядка. Исключением является сегмент, ограниченный координатами xn и x(n+1), в котором действующая на боковое отверстие in волна образует только прямую волну . В этом сегменте будут существовать элементарные обратные волны только более высоких дифракционных порядков, начиная с порядка 1.
Прямую и обратную волны нулевого дифракционного порядка, распространяющиеся по антенне от бокового отверстия i, можно записать в виде:
(2)
где ai и bi – некоторые начальные амплитудно-фазовые коэффициенты элементарной прямой и обратной волны нулевого дифракционного порядка; γ – постоянная распространения; и – функции Хэвисайда, ограничивающие границы существования элементарной прямой и обратной волны данного дифракционного порядка, распространяющейся от входа с номером i. Они имеют следующий вид:
(3)
Элементарные волны нулевого дифракционного порядка и рассеиваются, проходя через границы своих сегментов (сечение центров боковых отверстий (i + 1) и (i – 1) соответственно), – волны частично проходят в следующий сегмент, частично отражаются от сечения и распространяются в обратную сторону, а также частично уходят из антенны в отверстие (т. е. в каждом сечении для звукового давления и потока среды справедливы условия Кирхгофа). Прошедшие и отраженные от сечения волны образуют прямые и обратные элементарные волны следующего дифракционного порядка m = 1. Прохождение волны через сечение внутри антенны описывается коэффициентом прохождения Ti, а отражение от сечения – коэффициентом отражения Ri.
Например, в сегменте между отверстием i и отверстием (i + 1) (ограниченным координатами xi ≤ x ≤ x(i+1)) элементарная прямая волна образуется вследствие прохождения через сечение отверстия i прямой волны и отражения от сечения отверстия i обратной волны . Аналогично обратная волна образуется вследствие отражения от сечения отверстия (i + 1) прямой волны и прохождения через сечение отверстия (i + 1) обратной волны . Таким образом, волны и записываются с помощью рекуррентных выражений:
(4)
где и – коэффициенты прохождения и отражения волны внутри антенны при прохождении через сечение бокового отверстия i и (i + 1). Раскрывая волны нулевого дифракционного порядка по формуле (2), уравнение (4) можно записать в следующем виде:
(5)
Такой процесс переотражений продолжается бесконечно. Каждая из волн дифракционного порядка m образует по две волны дифракционного порядка (m + 1). Результирующее поле в каждом сегменте интерференционной антенны можно представить следующей суммой
(6)
результирующей прямой и обратной волн, каждая из которых состоит из сумм элементарных волн всех дифракционных порядков. Уравнение (6) является дифракционным рядом Шварцшильда [26]. Решение этого уравнения будет показано в разделе 2.
Теперь определим начальные амплитудно-фазовые коэффициенты ai и bi элементарной прямой и обратной волн нулевого дифракционного порядка и , коэффициенты прохождения Ti и отражения Ri при прохождении звуковой волны через сечение бокового отверстия i, а также коэффициент отражения R0 обратной элементарной волны от открытого конца антенны.
Коэффициенты ai и bi будут равны между собой в силу равенства площади сечений сегментов трубы и будут определяться как ai = bi = piT'i. В этом соотношении записано, что звуковая волна с давлением pi, воздействуя на приемные отверстия антенны i, проходит в интерференционную антенну только частично с некоторым коэффициентом прохождения T'i. Коэффициенты прохождения для торцевого отверстия i = 0 и боковых отверстий i имеют вид:
(7)
где S0 – площадь сечения антенны, м2; Si – площадь сечения i-го бокового отверстия, м2; Z0 – выходной импеданс торцевого отверстия, рад кг/с; Zi – выходной импеданс бокового отверстия, рад кг/с; ρ – объемная плотность среды, кг/м3; с – скорость звука в среде, м/с. Выражения (7) легко получить с помощью метода электроакустических аналогий (представив эквивалентную электрическую схему полубесконечной трубы с открытым концом с сопротивлением излучению Z0 для T'0 и участок бесконечной трубы с боковым отверстием с сопротивлением излучению Zi для T'i) как отношение напряжения на элементе, замещающем полубесконечную трубу, к ЭДС.
Коэффициенты прохождения Ti и отражения Ri при прохождении звуковой волны через сечение бокового отверстия i, согласно работам [5, 32], определяются формулами:
(8)
где обозначения величин совпадает с обозначениями для выражения (7).
Коэффициент отражения R0 обратной элементарной волны от открытого конца антенны определяется соотношением
(9)
При этом величина концевой поправки открытого торца антенны, т. е. выходной импеданс Z0, определялся согласно работам [33, 34] по формуле, полученной Коссе и его соавторами:
для ka < 1,5, где
(10)
Во многих отечественных работах выходной импеданс открытого торца определяется по формуле
(11)
согласно работе Л.Я. Гутина [35], однако формула (10) дает более точный результат. Величина Zi в формулах (7)–(8) определялась аналогично величине Z0 с поправкой на форму бокового отверстия.
Возвращаясь к выражению (2), раскроем значение постоянной распространения γ = β + jα. Постоянная γ состоит из коэффициента затухания β, характеризующего ослабление амплитуды волны на единицу длины пути, и фазовой постоянной jα, имеющей смысл волнового числа при некоторой скорости c1, отличной от скорости звука в свободной среде. Величины определялись по следующим формулам согласно [32]:
(12)
где φ = rтр / 2ωρ; – коэффициент трения; µ = 2 × 10–4 – коэффициент вязкости, пуаз; r0 – внутренний радиус антенны.
В завершение раздела стоит отметить, что поршневая мода может существовать не на всей протяженности антенны, а значит, строго говоря, предлагаемая математическая модель описывает звуковое поле не в каждой точке антенны. В частности, мы не можем представлять фронт волны плоским на участке антенны с боковым отверстием i, т. е. в координатах x(i–ri) ≥ x ≥ x(i+ri). Описать звуковое поле в этой зоне мы не можем, поэтому ограничиваемся только описанием прохода звуковой волны через эту зону с помощью коэффициентов прохождения Ti и отражения Ri. Кроме того, при прохождении через зону отверстия фронт волны деформируется и перестает быть плоским. Возвращение к плоскому фронту (выпрямление фронта) происходит только на некотором расстоянии от отверстия. Однако результаты акустических измерений (раздел 3 и 4) показывают, что для реальной геометрии интерференционной антенны результаты измерений хорошо совпадают с результатами расчета.
2. МАТРИЧНЫЙ ФОРМАЛИЗМ
Для описания звукового поля в интерференционной антенне требуется определить сумму всех элементарных прямых и сумму всех элементарных обратных волн любого заданного порядка дифракции m на каждом участке антенны. Известно, что подобные задачи можно решить с помощью системы матричных уравнений [25]. В частности, похожая задача прохождения волн через многослойную среду была решена в [24] методом, который получил название метода реверберационной матрицы. Решим поставленную нами задачу в терминах, предложенных для метода реверберационной матрицы, и представим ответ в виде матричного уравнения.
В целях наглядности сначала продемонстрируем решение для частного случая интерференционной антенны с n = 2 боковыми отверстиями, а потом распространим его на произвольно взятое количество отверстий n. Иллюстрацию этого случая легко представить из рис. 1.
Антенна разделена на (n + 1) = 3 сегмента. В каждом сегменте образуется по паре элементарных волн, а в последнем сегменте (в координатах xn–x(n+1)) образуется только прямая волна , обратную волну примем . Теперь запишем все волны первого дифракционного порядка в координатах начала своего распространения в своих сегментах в виде следующей системы уравнений:
(13)
Если в каждое из уравнений записать отсутствующие в нем волны с нулевым множителем, то нетрудно переписать систему (13) в виде матричного уравнения:
(14)
Полученное уравнение (14) можно представить в виде X[1] = SPX[0], где S – матрица рассеяния; P – фазовая матрица; X[0] и X[1] – векторы-столбцы с волнами нулевого и первого дифракционного порядка.
Волны каждого следующего дифракционного порядка X[m+1] записываются аналогичным рекуррентным образом – умножением вектора волн предыдущего дифракционного порядка X[m] на матрицу рассеяния и фазовую матрицу. При этом, как видно из уравнения (14), матрицы S и P не зависят от дифракционного порядка m, а стало быть, волны произвольного порядка X[m+1] будут связаны с X[0] следующим уравнением:
(15)
где R = SP – реверберационная матрица.
Результирующее звуковое поле в каждом сегменте антенны определяется суммой элементарных прямых и обратных волн всех дифракционных порядков при бесконечном процессе переотражений, т. е. при m = ∞. Сумма такого бесконечного ряда (при условии его сходимости) определяется выражением
(16)
где I – единичная матрица. Выражение (16) и является решением поставленной задачи. Вопрос о сходимости ряда по степеням реверберационной матрицы нигде не рассматривался [36], и он является достаточно тонким. Мы будем полагать, что ряд априори сходится, критерием чего для данного случая является сравнение полученных в работе расчетных и экспериментальных данных.
Уравнение (16) описывает прямые и обратные волны в точках центров боковых отверстий и позволяет рассчитать поле звукового давления в любой точке каждого из сегментов антенны. В частности, звуковое давление на мембране микрофона в точке x(n+1), учитывая, что An(n+1)(x(n+1)) = = An(n+1)(xn)e–γd, определяется уравнением
(17)
Полученное решение распространяется на любое произвольно взятое количество боковых отверстий n. Легко видеть, что размер векторов и матриц в уравнении (14) зависит от числа сегментов (n + 1). Размер волновых векторов-столбцов X определяется количеством пар элементарных волн в каждом сегменте антенны и равен 2(n + 1), а размер каждой из матриц соответственно 2(n + 2) × 2(n + 2).
Волновые векторы-столбцы X для произвольного n будут записываться в виде
(18)
а фазовая матрица P в виде
(19)
Из уравнения (14) видно, что матрица рассеяния S состоит из 4-х блоков с диагональной записью коэффициентов отражения и прохождения, причем запись коэффициентов прохождения происходит со смещением. Для произвольного n матрица рассеяния S будет иметь вид
(20)
3. ЭКСПЕРИМЕНТ
Было изготовлено несколько лабораторных образцов интерференционных антенн и проведены акустические измерения в полузаглушенной камере НИИ Строительной Физики РААСН. Цель измерений – определить частотный отклик интерференционных антенн разных конфигураций при разных углах падения звуковой волны.
Были подготовлены три образца: образец цилиндрической трубки без боковых отверстий и образец двух интерференционных антенн. Продольные и поперечные разрезы образцов показаны на рис. 2, а вид – на рис. 3. Образцы напечатаны на 3D-принтере из фотополимера (белый) и стеклонаполненного акрилонитрил бутадиен стирола (черные).
Рис. 2. Продольные и поперечные разрезы: (а, г) – образца цилиндрической трубки без боковых отверстий, (б, д) – образцов интерференционной антенны с двумя боковыми отверстиями, (в, д) – семнадцатью боковыми отверстиями.
Рис. 3. (а) – Вид образцов и (б) – вид образца, надетого на микрофон.
Образец надевается на 1/2 дюймовый измерительный ненаправленный электретный микрофон свободного поля PCB 378B02. Примыкание дифракционной решетки микрофона к стенкам образцов уплотнялось для исключения щелей.
Таким образом, экспериментальный образец представляет собой ненаправленный микрофон с присоединенной к нему трубкой или интерференционной антенной длинной 180 мм. Главным и важным отличием наших образцов от интерференционных микрофонов являются боковые отверстия, которые не закрыты тканью или специальными сеточками. В интерференционных микрофонах боковые отверстия закрывают материалами с активным акустическим сопротивлением. Как покажут результаты эксперимента, это играет определяющую роль в формировании характеристики направленности.
Схема экспериментального стенда показана на рис. 4. Исследуемые образцы устанавливались на штатив с микрофонным держателем, который ставился на поворотный стол таким образом, чтобы мембрана микрофона находилась на линии вертикальной оси поворота стола. В качестве излучателя использовалась 16-сантиметровая электродинамическая головка громкоговорителя Harman REF 6530cx, смонтированная в специальный фанерный измерительный щит (щит соответствует требованиям ГОСТ Р 53575–2009 (IEC 60268–5:2003)).
Рис. 4. Схема экспериментального стенда.
Излучатель находился на расстоянии 3.6 м от исследуемого микрофона. На участок пола камеры между излучателем и микрофоном (размерами 3600 на 3600 мм) в несколько рядов были уложены минераловатные плиты толщиной 50 мм и объемной плотностью порядка 40–80 кг/м3. Для снижения влияния на измерения дифрагирующей волны, излученной c тыльной стороны излучателя, обратная сторона щита была закрыта перегородками из минераловатных плит толщиной 150 мм.
Акустические измерения проводились для трех образцов и микрофона PCB 378B02 без образца. Измерения характеристики направленности проводились в диапазоне углов поворота микрофона от 0° до 345° с шагом 15° отдельно для каждого угла поворота микрофона. Штатив с микрофоном был установлен на поворотный стол марки RFT.
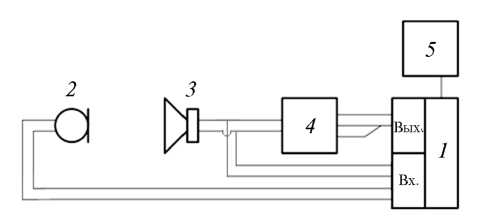
Схема измерительного тракта показана на рис. 5. Акустические измерения проводились с помощью DAQ системы Dewesoft SIRIUSi, работающей под управлением установленного на ноутбук ПО DewesoftX. С помощью функции воспроизведения пользовательских сигналов на выход DAQ системы (1) подавалась ранее сгенерированная последовательность максимальной длины 18-го порядка (maximum-length sequence, MLS). Сигнал подавался на усилитель звуковой мощности (4), а затем на клеммы головки громкоговорителя (ГГ) (3) и дополнительно на аналоговый вход DAQ системы (1) и записывался. Микрофон (2) подключался к аналоговому входу для ICP датчиков DAQ системы (1). Сигнал с микрофона записывался.
Рис. 5. Схема измерительного тракта: 1 – измерительный блок системы сбора данных Dewesoft SIRIUSi, 2 – рабочий измерительный микрофон PCB 378B02, 3 – головка ГГ Harman REF 6530cx, 4 – усилитель звуковой мощности Crown XLi 1500, 5 – компьютер с предустановленным ПО DewesoftX.
С помощью DAQ системы синхронно были записаны сигналы с микрофона и сигналы с клемм излучателя. Последующая обработка сигналов проводилась в Matlab. Схема обработки сигналов показана на рис. 6. Записанные сигналы обрезались по времени таким образом, чтобы длительность записи соответствовала распространению звуковой волны на расстояние 10 м.
Рис. 6. Схема обработки сигналов.
Далее проводилась корреляционная обработка сигналов. Отдельно для микрофона без образца и микрофона с образцом определялась взаимная корреляция сигнала микрофона (давления) и сигнала на клеммах громкоговорителя (напряжения).
Далее проводилась Фурье обработка и фильтрация спектров взаимной корреляции. Для взаимных спектров делалось обратное быстрое преобразование Фурье, затем полученная функция взаимной корреляции для микрофона с образцом делилась на полученную функцию взаимной корреляции микрофона без образца и умножалась на ранее подготовленную фильтрационную маску. Полученное значение являлось частотным откликом образца.
Отметим, что M-последовательность ранее неоднократно применялась для экспериментальных исследований в акустике. В работах [37–43] можно ознакомиться с полученными результатами и техникой экспериментов.
4. РАСЧЕТ МЕТОДОМ РЕВЕРБЕРАЦИОННОЙ МАТРИЦЫ И СРАВНЕНИЕ РЕЗУЛЬТАТОВ С ЭКСПЕРИМЕНТОМ
Проанализируем возможность применения разработанной математической модели для расчета звукового поля в интерференционной антенне к экспериментальным образцам.
Предложенная модель расчета звукового поля применима при распространении звуковых волн на нулевой моде. Как известно (например, [18, 32]), в трубке цилиндрического сечения на нулевой моде волна может распространяться только в некотором диапазоне частот, который зависит от диаметра трубки и определяется соотношением
(21)
где λ = c0 / f – длина волны, м; f – частота, Гц. Внутренний диаметр всех экспериментальных образцов составлял 14 мм, таким образом, одномерное распространение звуковой волны в них может происходить до частоты 14 кГц.
При прохождении звуковой волны внутри антенны через зону бокового отверстия ее фронт деформируется и перестает быть плоским, “выравниваясь” на некотором расстоянии от отверстия, сопоставимом с диаметром отверстия. Для лабораторного образца антенны с n = 2 боковых отверстий длина сегмента значительно превышает диаметр отверстия, а вот для антенны с n = 17 диаметр отверстия составляет половину длины сегмента. Приближенность фронта волны к плоскому внутри антенны в этом случае оценить затруднительно. Таким образом, расчет звукового поля по предложенной модели должен хорошо соотноситься с результатами измерений в большей степени для трубки без боковых отверстий и для антенны с n = 2, и в меньшей степени для антенны с n = 17. Тем не менее, в реальных конструкциях интерференционных антенн расстояние d между боковыми отверстиями стремятся сделать небольшим для расширения верхней границы рабочего частотного диапазона микрофона, а именно – сопоставимым с длиной волны верхней граничной частоты [20].
Именно этими обстоятельствами был обусловлен выбор двух вариантов лабораторных образцов антенны – с большим и маленьким расстоянием d относительно радиуса бокового отверстия. Сопоставление результатов измерений с расчетами позволит оценить как точность метода для одномерного распространения волны в антенне, так и применимость метода к реальным конструкциям антенн с многомодовым распространением.
С помощью метода реверберационной матрицы были проведены расчеты звукового давления в образце на мембране ненаправленного капсюля при разных углах падения звуковой волны в частотном диапазоне до 10 кГц. Полученные результаты сопоставлялись с результатами измерений для всех образцов. Для двух образцов интерференционной антенны сопоставлялись результаты расчетов и измерений характеристики направленности на двух частотах. Характеристика направленности образца трубки без боковых отверстий близка к ненаправленной, поэтому специальный анализ ее не проводился.
На рис. 7 представлены результаты измерений уровня звукового давления на мембране ненаправленного капсюля для трубки без отверстий (n = 0) при фронтальном падении звуковой волны в сравнении с результатами расчета при учете концевой поправки по формуле Коссе (10) и по формуле Гутина (11). Видно, что оба выражения дают одинаковые значения резонансных частот (соответствующие четвертьволновому резонансу), но начиная с 3–4 кГц с увеличением частоты рассчитанный уровень звукового давления с использованием (11) становится пропорционально меньше результатов измерений. Расчеты с формулой Коссе (10) лучше соотносятся с результатами измерений. Однако все же имеет место расхождение 2–5 дБ в амплитуде. Вероятнее всего, расхождение обусловлено меньшими расчетными значениями активной составляющей импеданса (сопротивления излучению), чем это имело место на экспериментальном стенде, а также меньшими расчетными значениями коэффициента затухания. Такое расхождение будем считать несущественным для задач нашего исследования, т. к. в первую очередь мы стремимся оценить пригодность разработанной модели к расчетам интерференционной антенны, а не уточнить значения сопротивления излучения и затухания в трубах, что является отдельной задачей. Во всех дальнейших расчетах использовалась формула Коссе (10).
Рис. 7. Результаты измерений уровня звукового давления на мембране ненаправленного капсюля для трубки без отверстий (n = 0) при фронтальном падении звуковой волны в сравнении с результатами расчета при учете концевой поправки: (а) – по формуле Коссе (10), (б) – по формуле Гутина (11).
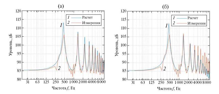
На рис. 8 представлены результаты расчета уровня звукового давления на мембране ненаправленного капсюля для интерференционных антенн с количеством отверстий (а) n = 2 и (б) n = 17 при фронтальном падении звуковой волны в сравнении с результатами измерений. Видно, что для n = 2 результаты расчета хорошо соотносятся с результатами измерений. Причины отклонения 2–5 дБ прежде всего в районе резонансов связаны с отклонением расчетных значений сопротивления излучения боковых отверстий от реального сопротивления, имеющим место на экспериментальном стенде. Для n = 17 форма расчетной кривой уровня звукового давления хорошо повторяет форму огибающей измеренных значений, однако расчетная кривая не повторяет всех “провалов” измеренной кривой. Причиной этого, вероятнее всего, является несоответствие реальной формы фронта звуковой волны плоскому внутри интерференционной антенны, а также отличие между расчетными и реальными значениями сопротивления излучения бокового отверстия. Тем не менее, как и раньше, для целей нашего исследования такое соотношение расчетных и измеренных значений будем считать удовлетворительным.
Рис. 8. Результаты расчета уровня звукового давления на мембране ненаправленного капсюля для интерференционных антенн с количеством отверстий (а) – n = 2 и (б) – n = 17 при фронтальном падении звуковой волны в сравнении с результатами измерений.
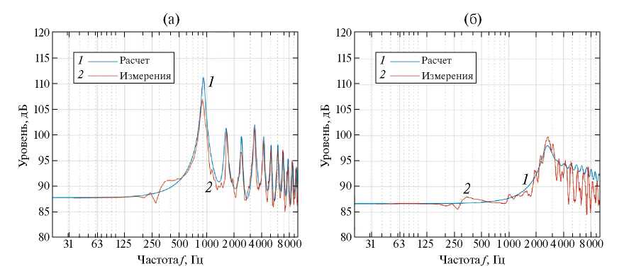
На рис. 9 представлены результаты расчета (а, в) и результаты измерения (б, г) уровня звукового давления на мембране ненаправленного капсюля для интерференционных антенн с количеством отверстий (а, б) n = 2 и (в, г) n = 17 при фронтальном (θ = 0°), боковом (θ = 90°) и тыловом (θ = 180°) падении звуковой волны. Для n = 2 наблюдается хорошее совпадение формы кривых для расчетов и измерений при всех углах падения звуковой волны. Для n = 17 совпадение носит более качественный характер. Для обоих образцов измеренный уровень звукового давления при тыловом падении волны на 2.5 дБ выше расчетного, а на частотах ниже первого резонанса превышает кривую для фронтального падения звуковой волны (эта особенность отмечалась в работе [21]).
Рис. 9. (а, в) – Результаты расчета и (б, г) – результаты измерений уровня звукового давления на мембране ненаправленного капсюля для интерференционных антенн с количеством отверстий (а, б) – n = 2 и (в, г) – n = 17 при фронтальном, боковом и тыловом падении звуковой волны.
Из взаимного расположения кривых при разных углах падения звуковой волны видно, что антенна с n = 2 не будет иметь однонаправленных свойств, а антенна с n = 17 такие свойства имеет.
На рис. 10 представлены результаты расчета характеристики направленности (ХН) лабораторных образцов с количеством отверстий n = 2 и n = 17 в сравнении с результатами измерений на частотах 4220 и 6040 Гц. Характеристика направленности для каждой частоты R(θ) определялась как зависимость от угла падения звуковой волны θ отношения звукового давления p(f, θ) к значению звукового давления p(f, θmax) при угле максимальной чувствительности микрофона θmax и рассчитывалась по формуле
(22)
где p(f, θ) – звуковое давление на мембране микрофона на частоте f при падении звуковой волны под углом θ; θmax – угол падения звуковой волны, при котором на мембране микрофона регистрируется наибольшее звуковое давление на частоте f.
Рис. 10. Результаты расчета характеристики направленности интерференционных антенн с количеством отверстий (а, б) – n = 2 и (в, г) – n = 17 с ненаправленным микрофонным капсюлем в сравнении с результатами измерений на частотах 4220 и 6040 Гц.
Видно, что антенна с n = 2 не имеет однонаправленных свойств, в отличие от антенны с n = 17. Однако у антенны с n = 17 присутствует провал при осевом (фронтальном) падении звуковой волны, а максимумы чувствительности симметрично находятся в углах от ±60° до ±30°, “сходясь” к центру с ростом частоты. Причиной этого является дисперсия в канале интерференционной антенны. Частоты для построения характеристики направленности выбраны из соображений удобства демонстрации выявленного эффекта: внутри частотного диапазона, в котором наблюдается провал осевой чувствительности образца n = 17, были выбраны частоты, соответствующие резонансным для образца n = 2.
ЗАКЛЮЧЕНИЕ
В работе представлен матричный метод расчета амплитудно-частотной характеристики акустической интерференционной антенны, развитый на основе ранее известного метода реверберационной матрицы. Результаты расчета по разработанному методу хорошо сходятся с результатами лабораторных измерений.
На рассчитанной и измеренной характеристике направленности видны провалы чувствительности при фронтальном (осевом) падении звуковой волны. Это нехарактерно для интерференционного микрофона, который, напротив, должен обеспечивать прием в фронтальном направлении с высоким коэффициентом направленности. Причиной этого является отсутствие дополнительного акустического сопротивления на боковых отверстиях, что было предусмотрено специально для демонстрации ранее не обсуждаемой в литературе особенности интерференционной антенны. Интерференционная антенна является волноводом со специфическими граничными условиями в зоне боковых отверстий. На участках антенны с боковыми отверстиями происходит скачок импеданса границы волновода, что является причиной возникновения дисперсии в интерференционной антенне. Внесение дополнительного активного сопротивления (в виде ткани или специальных сеточек) на боковые отверстия позволит снизить влияние дисперсии на характеристику направленности антенны. Таким образом, исследование дисперсии в волноводе такого типа имеет существенное прикладное значение и требует отдельного рассмотрения.
Автор выражает благодарность доценту кафедры акустики физического факультета МГУ д.ф-м.н. Андрею Владимировичу Шанину за проявленный интерес к работе и научную консультацию.
Sobre autores
А. Субботкин
Институт общей физики им. А.М. Прохорова Российской академии наук; Научно-исследовательский институт строительной физики Российской академии архитектурно-строительных наук
Autor responsável pela correspondência
Email: subov-an@yandex.ru
Rússia, Вавилова ул. 38, Москва, 119991; Локомотивный проезд 24, Москва, 127238
Bibliografia
- Вахитов Ш.Я., Фадеев А.А., Ковалгин Ю.А., Щевьев Ю.П. Акустика: учебник для ВУЗов. М.: Горячая линия-Телеком, 2009. 660 с.
- Субботкин А.О., Вахитов Ш.Я. Развитие и технический анализ современных остронаправленных интерференционных микрофонов // Мир техники кино. 2018. Т. 12. № 3. С. 24–31.
- Лапин А.Д. Распространение звука в волноводе, имеющем ответвления и объемные резонаторы на стенках // Акуст. журн. 1961. Т. 7. № 2. С. 218–223.
- Горин С.В., Лесняк А.Н. Распространение звука в волноводе, содержащем импедансные включения // Акуст. журн. 1987. Т. 23. № 5. С. 856–862
- Лапин А.Д. Распространение звука в волноводе с боковым ответвлением при критических частотах мод // Акуст. журн. 1994. Т. 40. № 6. С. 1001–1002.
- Лапин А.Д. Отражение звука решеткой резонаторов в многомодовом цилиндрическом волноводе // Акуст. журн. 2012. Т. 58. № 5. С. 580–582.
- Урусовский И.А. Излучение звука из перфорированной трубы, внутри которой распространяется гармоническая волна // Акуст. журн. 1972. Т. 18. № 3. С. 448–455.
- Батенчук-Туско В.М., Голубицкий Д.Т., Елагин В.В. Излучение звука из плоского волновода с одной перфорированной стенкой // Акуст. журн. 1980. Т. 16. № 2. С. 167–172.
- Dix G.R. Development and Comparison of Highly Directional Loudspeakers. Provo: Brigham Young University Scholars Archive Citation, 2006. 179 p.
- Mason W.P., Marshall R.N. A tabular directional microphone // J. Acoust. Soc. Am. 1939. V. 10. P. 206–2015.
- Beranek L. Acoustic measurements. New York / London: John Wiley & Sonsm Inc. / Chapman & Hall, Limited, 1949. 914 p.
- Беранек Л. Акустические измерения. М.: Изд-во иностранной литературы, 1952. 627 с.
- Иофе В.К. Электроакустика. М.: Связьиздат, 1954. 184 с.
- Фурдуев В.В. Акустические основы вещания. М.: Связьиздат, 1960. 319 с.
- Римский-Корсаков А.В. Электроакустика. М.: Связь, 1973. 272 с.
- Скучик Е. Основы акустики. Т. 2. М.: Мир, 1976. 542 с.
- Сапожков М.А. Электроакустика. Учебник для ВУЗов. М.: Связь, 1978. 272 с.
- Вахитов Я.Ш. Теоретические основы электроакустики и электроакустическая аппаратура. М.: Искусство, 1982.
- Kleiner M. Electroacoustics. CRC Press, 2013.
- Вахитов Ш.Я. Современные микрофоны. Теория, проектирование. СПб.: СПбГУКиТ, 2003.
- Ono K., Sugimoto T., Ando A., Hamasaki K., Ishii T., Chiba Y., Imanaga K. Audio Engineering Society 129th Convention // Convention Paper 8216 “Modeling of leaky acoustic tube for narrow-angle directional microphone”. San Francisco, CA, USA. 2010. P. 8.
- Vakhitov S. Audio Engineering Society 21st Conference // Conference Paper “Problems of theory and designing for directional interference microphones”. St. Petersburg, Russia. 2002. P. 3.
- Дрейзен И.Г. Электроакустика и звуковое вещание. М.: Связьиздат, 1961. 544 с.
- Pao Y.H., Su X.Y., Tian J.Y. Reverberation matrix method for propagation of sound in a multilayered liquid // J. Sound Vib. 2000. Т. 230. № 4. С. 743–760.
- Arnold J.M. Discrete Green’s functions and functional determinants // 2017 Int. Conf. on Electromagnetics in Advanced Applications (ICEAA). IEEE, 2017. P. 1072–1075.
- Schwarzschild K. Die beugung und polarisation des lichts durch einen spalt. I // Mathematische Annalen. 1901. Т. 55. № 2. С. 177–247.
- Carnes T.N., Reynolds D.D., Hixson E.L. Analytical modeling of wave interference directional microphones. 1981. P. 361–371.
- Bai M.R., Lo Y.Y. Refined acoustic modeling and analysis of shotgun microphones // J. Acoust. Soc. Am. 2013. Т. 133. № 4. С. 2036–2045.
- Bai M.R., Lo Y.Y., Chen Y.S. Impedance measurement techniques for one-port and two-port networks // J. Acoust. Soc. Am. 2015. Т. 138. № 4. С. 2279–2290.
- Sasaki Y., Nishiguchi T., Ono K., Ishii T., Chiba Y., Morita A. Audio Engineering Society 141st Convention // Convention Paper 9639 “Development of shotgun microphone with extra-long leaky acoustic tube”. Los Angeles, USA. 2016. P. 6.
- Brandão E., Fonseca W.D.A., Mareze P.H. An algorithmic approach to electroacoustical analogies // J. Acoust. Soc. Am. 2022. Т. 152. № 1. С. 667–678.
- Ржевкин С.Н. Курс лекций по теории звука. М.: Изд-во московского университета, 1960. 336 с.
- Causse R., Kergomard J., Lurton X. Input impedance of brass instruments comparison between experiment and numerical models // J. Acoust. Soc. Am. 1984. V. 75. С. 241–254.
- Dalmont J.P., Nederveen C.J., Joly N. Radiation impedance of tubes with different flanges: numerical and experimental investigations // J. Sound Vib. 2001. Т. 244. № 3. С. 505–534.
- Гутин Л.Я. О звуковом поле поршневого излучателя // Журн. техн. физ. Т. 7. № 10. 1937. С. 1096–1106.
- Pao Y.H., Chen W.Q., Su X.Y. The reverberation-ray matrix and transfer matrix analyses of unidirectional wave motion // Wave Motion. 2007. Т. 44. № 6. С. 419–438.
- Шанин А.В., Валяев В.Ю. Метод последовательностей максимальной длины в дифракционном эксперименте // Акуст. журн. 2011. Т. 57. № 3. С. 420–425.
- Валяев В.Ю., Шанин А.В. Экспериментальная оценка параметров пористого дорожного покрытия акустическим методом // Акуст. журн. 2012. Т. 58. № 6. С. 776–776.
- Денисов С.Л., Корольков А.И. Исследование эффективности экранирования шума с помощью метода последовательностей максимальной длины в приложении к задачам авиационной акустики // Акуст. журн. 2017. Т. 63. № 4. C. 419–435.
- Белоус А.А., Корольков А.И., Шанин А.В. Экспериментальная оценка частотной зависимости коэффициента отражения звукопоглощающего материала при наклонном падении // Акуст. журн. 2018. Т. 64. № 2. С. 155–161.
- Корольков А.И., Шанин А.В., Белоус А.А. Дифракция на вытянутом теле вращения с импедансными границами. Метод граничного интегрального параболического уравнения // Акуст. журн. 2019. Т. 65. № 4. С. 440–447.
- Белоус А.А., Корольков А.И., Шанин А.В., Остриков Н.Н. Измерение импульсного отклика акустического MLS-сигнала в среде с потоком // Акуст. журн. 2019. Т. 65. № 1. С. 42–48.
- Денисов С.Л., Остриков Н.Н., Панкратов И.В. Исследование возможности замены планера самолета интегральной компоновки на плоский полигональный экран для оценки эффективности экранирования шума двигателей на основе геометрической теории дифракции // Акуст. журн. 2020. Т. 66. № 6. С. 622–631.
Arquivos suplementares











