Thermal Interference When Recording Turbulent Pressure Fluctuations on the Surface of a Floating Device
- Autores: Kudashev E.B.1, Yablonik L.R.2
-
Afiliações:
- Space Research Institute, Russian Academy of Sciences, Moscow, 117997 Russia
- Polzunov Scientific and Development Association for Research and Design of Power Equipment, St. Petersburg, 191167 Russia
- Edição: Volume 69, Nº 6 (2023)
- Páginas: 817-822
- Seção: ФИЗИЧЕСКИЕ ОСНОВЫ ТЕХНИЧЕСКОЙ АКУСТИКИ
- URL: https://ogarev-online.ru/0320-7919/article/view/233410
- DOI: https://doi.org/10.31857/S0320791923600713
- EDN: https://elibrary.ru/CQBEBE
- ID: 233410
Citar
Texto integral
Resumo
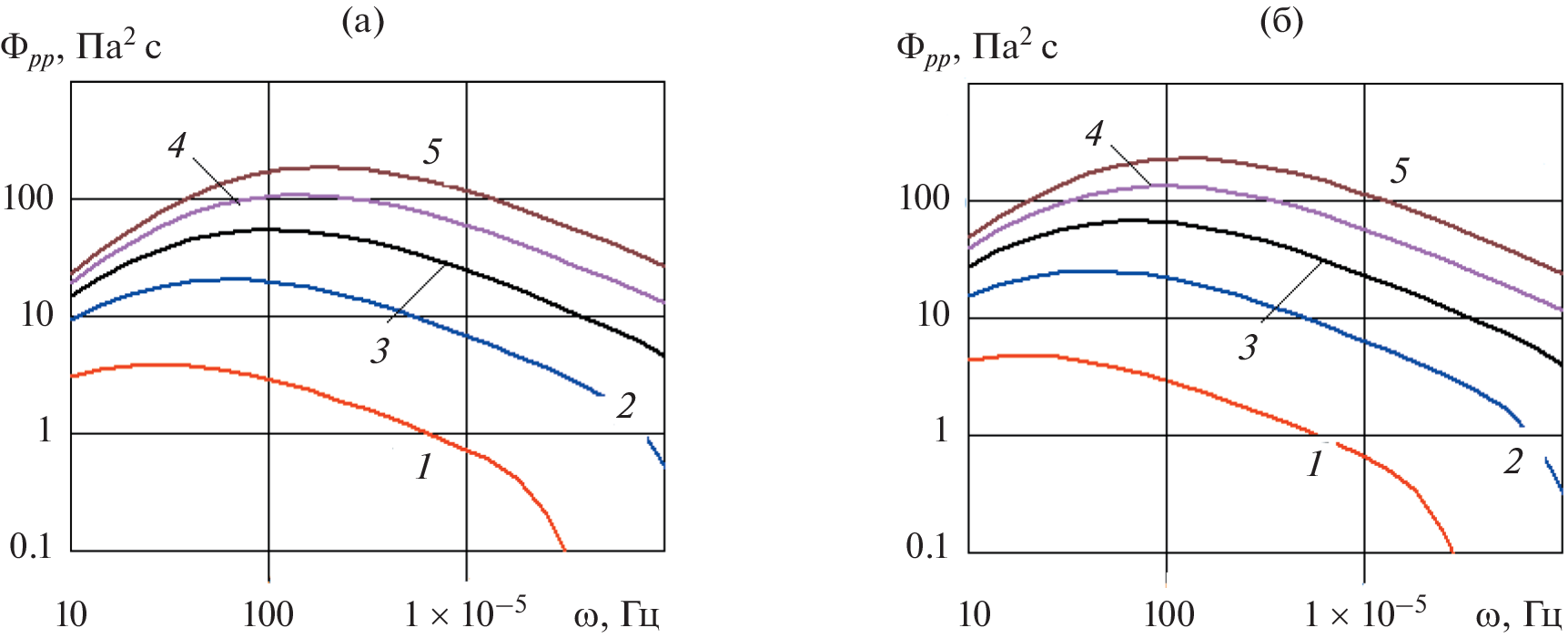
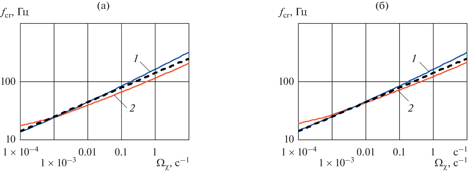
Thermal interference is studied when recording turbulent pressure fluctuations on the surface of a floating device at specified experimental parameters of temperature stratification of an aquatic medium. The effect of distortion of the spectral levels of pressure fluctuations recorded by a sound receiver in the field of temperature inhomogeneities is studied using the example of measurements of turbulent pressure fluctuations in the boundary layer during the vertical ascent of a device from a specified depth. At moderate flow
velocities exceeding 1–2 m/s, the temperature susceptibility of a piezoceramic receiver is shown to be decisively determined by its characteristic “thermal” frequency. The parameters of the threshold critical frequency, below which the temperature signal (thermal interference) prevails over the useful signal generated by pressure fluctuations, are determined. With respect to the receivers used in experiments on a floating device [7], the values of the threshold critical frequency are 130 and 215 Hz.
Sobre autores
E. Kudashev
Space Research Institute, Russian Academy of Sciences, Moscow, 117997 Russia
Email: kudashev@iki.rssi.ru
Россия, 117997, Москва, ул. Профсоюзная 84/32
L. Yablonik
Polzunov Scientific and Development Association for Research and Design of Power Equipment, St. Petersburg, 191167 Russia
Autor responsável pela correspondência
Email: yablonik@gmail.com
Россия, 191167, Санкт-Петербург, ул. Атаманская 3/6
Bibliografia
- Howe M.S. Acoustics of Fluid-Structure Interactions. Cambridge University Press, 1998. 560 p.
- Кудашев Е.Б., Яблоник Л.Р. Турбулентные пристеночные пульсации давления. М.: Научный мир, 2007. 223 с.
- Кудашев Е.Б., Яблоник Л.Р. Развитие экспериментальных исследований турбулентных пристеночных пульсаций давления. Критический анализ и обобщение накопленных опытных данных // Акуст. журн. 2021. Т. 67. № 6. С. 639–649.
- Бычков О.П., Фараносов Г.А. Локальный метод разделения звуковых и псевдозвуковых пульсаций // Акуст. журн. 2023. Т. 69. № 6. С. 722–737.
- Кудашев Е.Б., Яблоник Л.Р. Регистрация частотного спектра пристеночных турбулентных давлений на фоне акустического шума // Акуст. журн. 2020. Т. 66. № 6. С. 632–637.
- Haddle G., Skudrzyk E. The Physics of Flow Noise // J. Acoust. Soc. Am. 1969. V. 46. P. 130–157.
- Кудашев Е.Б., Колышницын В.А., Маршов В.П., Ткаченко В.М., Цветков А.М. Экспериментальное моделирование гидродинамических шумов обтекания на Автономной морской лаборатории // Акуст. журн. 2013. Т. 59. № 2. С. 211–221.
- Монин А.С., Озмидов Р.В. Океанская турбулентность. Л.: Гидрометеоиздат, 1981. 320 с.
- Лозовацкий И.Д. Исследование мелкомасштабных температурных неоднородностей в южной части Балтийского моря // Океанология. 1977. Т. 17. № 2. С. 214–220.
- Кудашев Е.Б., Яблоник Л.Р., Jian-Hua L. Приемник турбулентных пульсаций давления в температурно-стратифицированной среде // Акуст. журн. 2018. Т. 64. № 1. С. 94–99.
- Кудашев Е.Б., Яблоник Л.Р. Температурная помеха при измерении шумов обтекания в глубоком море // Докл. XVII Школы-семинара “Акустика океана” им. акад. Л.М. Бреховских, совмещенной с XXXIII сессией Российского акустического общества. С. 237–242. М.: Институт океанологии РАН, 2020.
- Бугуславская С.Н., Романенко Е.В., Холод Л.И. Использование пироэлектрического эффекта в акустических измерениях // Акуст. журн. 1971. Т. 17. № 2. С. 210–216.
- Паньков А.А. Пироэлектрические свойства пористого титаната бария // Журн. радиоэлектроники. 2014. № 11. С. 1–10.
- Goody M. An empirical model of surface pressure fluctuations // AIAA J. 2004. V. 42. P. 1788–1794.
- Кудашев Е.Б., Яблоник Л.Р. Влияние температурной неоднородности среды на регистрируемые пьезоприемником шумы обтекания // Акуст. журн. 1986. Т. 32. № 1. С. 127–128.
Arquivos suplementares







