Local Method for Separating Sound and Pseudosound Pressure Fluctuations
- Authors: Bychkov O.P.1, Faranosov G.A.1
-
Affiliations:
- Central Aerohydrodynamic Research Institute (TsAGI) Moscow Complex, Moscow, Russia
- Issue: Vol 69, No 6 (2023)
- Pages: 722-736
- Section: АТМОСФЕРНАЯ И АЭРОАКУСТИКА
- URL: https://ogarev-online.ru/0320-7919/article/view/233401
- DOI: https://doi.org/10.31857/S0320791923600452
- EDN: https://elibrary.ru/ZUYETE
- ID: 233401
Cite item
Full Text
Abstract
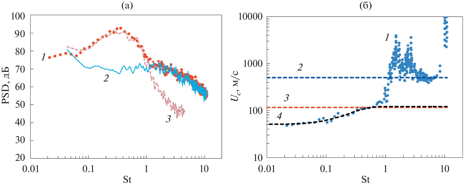
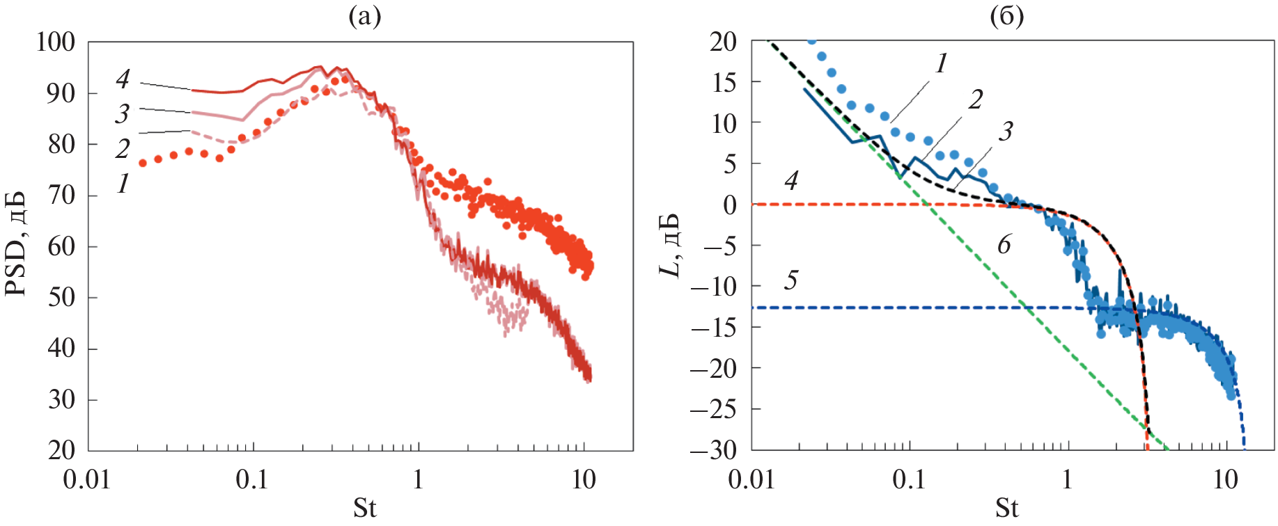
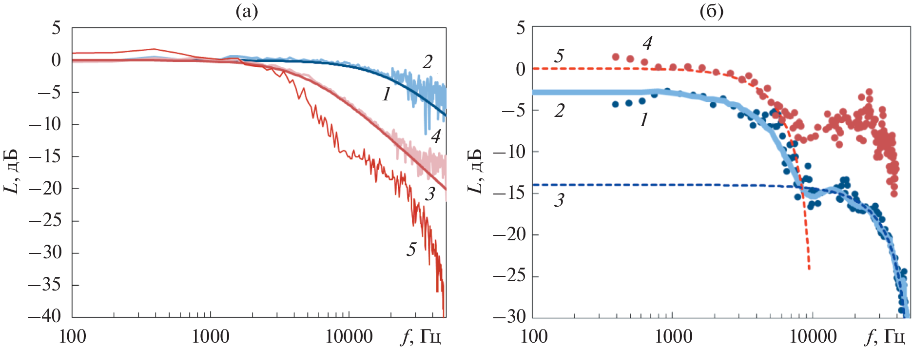
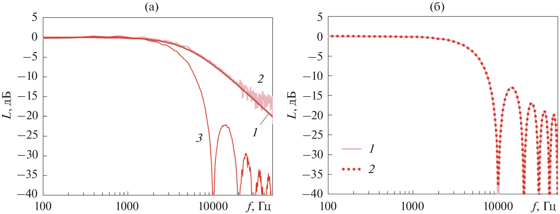
A new method for separating acoustic and pseudosound pressure fluctuations is proposed, based on analysis of signals at a pair of closely located points, so that the total size of the measurement zone is much smaller than the correlation scale of pseudosound perturbations. It is suggested that hydrodynamic fluctuations
propagate at a velocity significantly lower than the sound velocity and obey the “frozen-in” perturbation model, which makes it possible, in real time or during data postprocessing, to convert the spatial derivative of the signal into a temporal derivative, which, after time integration, yields an estimate for pseudosound perturbations
at the measurement point. A theoretical model of the approach and test results using model examples and numerical simulation data are presented.
About the authors
O. P. Bychkov
Central Aerohydrodynamic Research Institute (TsAGI) Moscow Complex, Moscow, Russia
Email: georgefalt@rambler.ru
Россия, Москва
G. A. Faranosov
Central Aerohydrodynamic Research Institute (TsAGI) Moscow Complex, Moscow, Russia
Author for correspondence.
Email: georgefalt@rambler.ru
Россия, Москва
References
- Bull M.K. Wall-pressure fluctuations beneath turbulent boundary layers: some reflections on forty years of research // J. Sound Vib. 1996. V. 190. № 3 P. 299–315.
- Смольяков А.В., Ткаченко B.M. Измерение турбулентных пульсаций. Л.: Энергия, 1980.
- Koop L., Kröber S., Ahlefeldt T., Ehrenfried K., Spehr C. Microphone-array Measurements in wind tunnels: Challenges and Limitations // Berlin Beamforming Conference. 2012. № 18. P. 22–23.
- Голубев А.Ю., Кудашев Е.Б., Яблоник Л.Р. Турбулентные пульсации давления в акустике и аэрогидродинамике. М.: Физматлит, 2019. 424 с.
- Flinovia: Flow Induced Noise and Vibration Issues and Aspects-III. Ciappi E., De Rosa S., Franco F., Hambric S.A., Leung R.C.K., Clair V., Maxit L., Totaro N. (Eds.). Springer Nature, 2021.
- Wilson L.N. Experimental investigation of the noise generated by the turbulent flow around a rotating cylinder // J. Acoust. Soc. Am. 1960. V. 32. № 10. P. 1203–1207.
- Arguillat B., Ricot D., Bailly C., Robert G. Measured wavenumber: Frequency spectrum associated with acoustic and aerodynamic wall pressure fluctuations // J. Acoust. Soc. Am. 2010. V. 128. № 4. P. 1647–1655.
- Кудашев E.Б. Подавление акустических шумов при измерении пристеночных пульсаций давления // Акуст. журн. 2003. Т. 49. № 5. С. 644–649.
- Кудашев Е.Б., Яблоник Л.Р. Регистрация частотного спектра пристеночных турбулентных давлений на фоне акустического шума // Акуст. журн. 2020. Т. 66. № 6. С. 632–637.
- Кудашев Е.Б., Яблоник Л.Р. Развитие экспериментальных исследований турбулентных пристеночных пульсаций давления. Критический анализ и обобщение накопленных опытных данных // Акуст. журн. 2021. Т. 67. № 6. С. 639–649.
- Бычков О.П., Фараносов Г.А. Экспериментальное исследование и теоретическое моделирование шума взаимодействия струи и крыла самолета // Акуст. журн. 2018. Т.64. № 4. С. 437–453.
- Suzuki T., Colonius T. Instability waves in a subsonic round jet detected using a near-field phased microphone array // J. Fluid Mech. 2006. V. 565. P. 197–226.
- Беляев И.В., Бычков О.П., Зайцев М.Ю., Копьев В.А., Копьев В.Ф., Остриков Н.Н., Фараносов Г.А., Чернышев С.А. Разработка стратегии активного управления волнами неустойчивости в невозбужденных турбулентных струях // Изв. Росс. Акад. наук. МЖГ. 2018. № 3. С. 14–27.
- Kerhervé F., Guitton A., Jordan P., Delville J., Fortuné V., Gervais Y., Tinney C. Identifying the dynamics underlying the large-scale and fine-scale jet noise similarity spectra // AIAA Paper. 2008. AIAA-2008-3027.
- Tinney C.E., Jordan P. The near pressure field of co-axial subsonic jets // J. Fluid Mech. 2008. V. 611. P. 175–204.
- Kerhervé F., Jordan P., Cavalieri A.V., Delville J., Bogey C., Juvé D. Educing the source mechanism associated with downstream radiation in subsonic jets // J. Fluid Mech. 2012. V. 710. P. 606–640.
- Grizzi S., Camussi R. Wavelet analysis of near-field pressure fluctuations generated by a subsonic jet // J. Fluid Mech. 2012. V. 698. P. 93–124.
- Camussi R., Meloni S. On the application of wavelet transform in jet aeroacoustics // Fluids. 2021. V. 6. № 8. P. 299.
- Kopiev V., Faranosov G., Bychkov O., Kopiev Vl., Moralev I., Kazansky P. Active control of jet-plate interaction noise for excited jets by plasma actuators // J. Sound Vib. 2020. V. 484. P. 115515.
- Копьев В.Ф., Бычков О.П., Копьев В.А., Фараносов Г.А., Моралев И.А., Казанский П.Н. Управление волнами неустойчивости в невозбужденной турбулентной струе с помощью плазменных актуаторов в узкой полосе частот // Акуст. журн. 2021. Т. 67. № 4. С. 431–439.
- Копьев В.Ф., Бычков О.П., Копьев В.А., Фараносов Г.А., Моралев И.А., Казанский П.Н. Активное управление шумом взаимодействия струи и крыла с помощью плазменных актуаторов в узкой полосе частот // Акуст. журн. 2023. Т. 69. № 2. С. 177–190.
- Karban U., Martini E., Jordan P. Modeling closed-loop control of installation noise using Ginzburg-Landau equation // arXiv preprint. 2023. arXiv:2303.03176. P. 1–30.
- Taylor G.I. The Spectrum of Turbulence // Proc. Royal Soc. A. 1938. V. 164. P. 476–490.
- Kuznetsov V.R., Praskovsky A.A., Sabelnikov V.A. Fine-scale turbulence structure of intermittent hear flows // J. Fluid Mech. 1992. V. 243. P. 595–622.
- Хемминг Р.В. Цифровые фильтры. Пер. с англ. Под ред. Трахтмана А.М. М.: Сов. радио, 1980.
- Faranosov G.A., Goloviznin V.M., Karabasov S.A., Kondakov V.G., Kopiev V.F., Zaitsev M.A. CABARET method on unstructured hexahedral grids for jet noise computation // Computers & Fluids. 2013. V. 88. P. 165–179.
- Markesteijn A.P., Semiletov V.A., Karabasov S.A. CABARET GPU Solver for Fast-Turn-Around Flow and Noise Calculations // AIAA Paper. 2015. AIAA-2015-2223.
- Faranosov G., Bychkov O.P., Kopiev V., Soares L.F., Cavalieri A.V. The Modeling of Jet-Plate Interaction Noise in the Presence of Co-Flow // AIAA Paper. 2019. AIAA-2019-2492.
- Бычков О.П., Зайцев М.Ю., Копьев В.Ф., Фараносов Г.А., Чернышев С.А. О двух подходах к моделированию шума низкоскоростных дозвуковых струй // Докл. Росс. Акад. наук. Физика, Технические Науки. 2022. Т. 506. № 1. С. 16–25.
- Mengle V.G. The Effect of Nozzle-to-Wing Gulley Height on Jet Flow Attachment to the Wing and Jet-Flap Interaction Noise // AIAA Paper. 2011. AIAA-2011-2705.
- Faranosov G.A., Kopiev V.F., Ostrikov N.N., Kopiev V.A. The effect of pylon on the excess jet-flap interaction noise // AIAA Paper. 2016. AIAA-2016-3043.
- Бычков О.П., Фараносов Г.А. Валидация двухточечной модели шума взаимодействия струи и крыла для реалистичной конфигурации // Акуст. журн. 2023. Т. 69. № 2. С. 146–154.
Supplementary files
















