О вариациях времени распространения звуковых сигналов при стационарном ледовом покрове
- Авторы: Петников В.Г.1, Шатравин А.В.2, Луньков А.А.1,3
-
Учреждения:
- Институт общей физики им. А.М. Прохорова РАН
- Институт океанологии им. П.П. Ширшова РАН
- Московский государственный технический университет им. Н.Э. Баумана
- Выпуск: Том 69, № 5 (2023)
- Страницы: 569-575
- Раздел: АКУСТИКА ОКЕАНА. ГИДРОАКУСТИКА
- URL: https://ogarev-online.ru/0320-7919/article/view/134470
- DOI: https://doi.org/10.31857/S032079192360021X
- EDN: https://elibrary.ru/TNYSDM
- ID: 134470
Цитировать
Полный текст
Аннотация
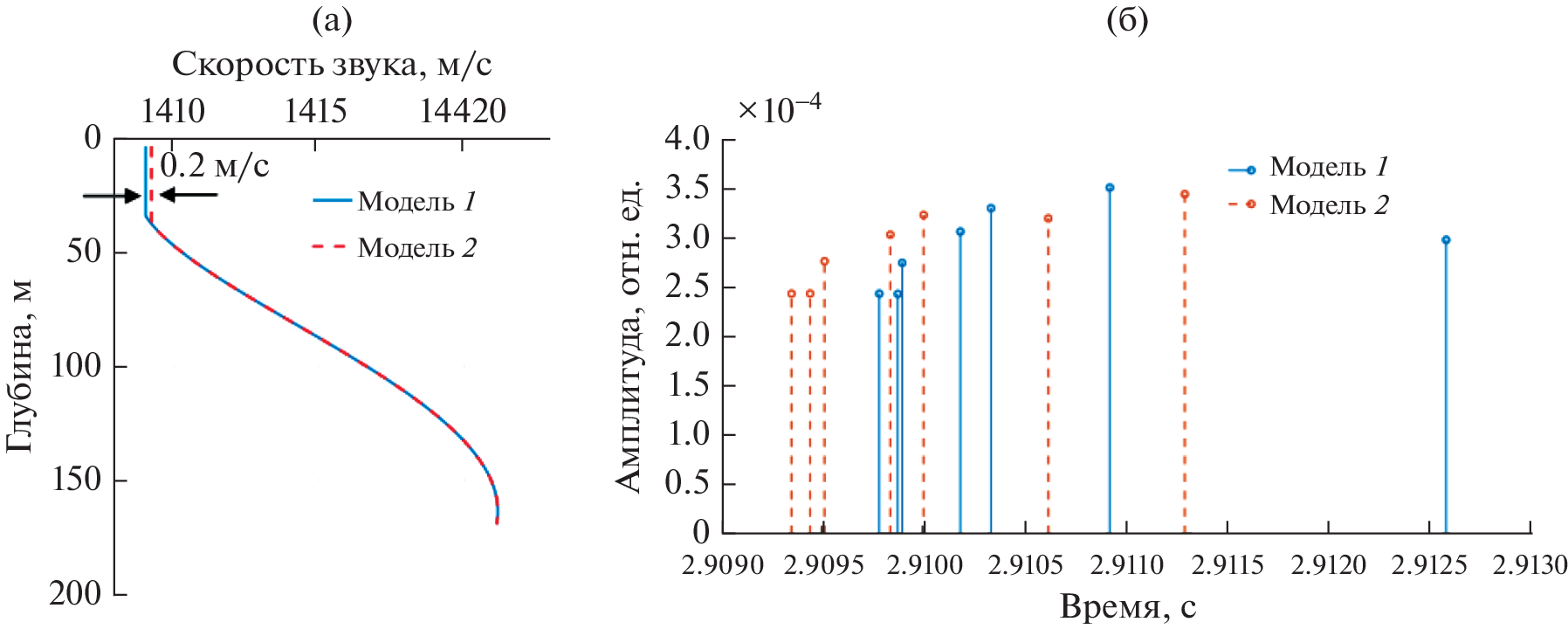
В экспериментах на стационарной акустической трассе под сплошным ледовым покровом получены оценки возможных значений вариаций времен распространения звуковых сигналов на расстояниях в ≈4 км с периодом более 100 с. Эксперименты выполнены на оз. Байкал в весенний период, когда вертикальный профиль скорости звука имеет два характерных для пресноводных акваторий участка: верхний слой с близкой к постоянной скоростью звука и нижний с линейным ростом скорости звука. В этих условиях вариации времени распространения не превышали ~10–4 с. Численное моделирование показало, что вариации времен распространения, обусловленные изменчивостью среды, минимальны для случая нахождения источника и приемника звука в верхнем слое. Продемонстрировано, что в этом случае в качестве эффективного значения скорости звука, определяющего время распространения, допустимо брать скорость звука в верхнем квазиоднородном слое. Полученные результаты позволили сформулировать рекомендации по подледному акустическому позиционированию автономных необитаемых подводных аппаратов.
Об авторах
В. Г. Петников
Институт общей физики им. А.М. Прохорова РАН
Email: petniko@kapella.gpi.ru
Россия, 119991, Москва, ул. Вавилова, 38
А. В. Шатравин
Институт океанологии им. П.П. Ширшова РАН
Email: ashatravin@ocean.ru
Россия, 117997, Москва, Нахимовский пр-т, 36
А. А. Луньков
Институт общей физики им. А.М. Прохорова РАН; Московский государственный технический университет им. Н.Э. Баумана
Автор, ответственный за переписку.
Email: lunkov@kapella.gpi.ru
Россия, 119991, Москва, ул. Вавилова, 38; Россия, 105005, Москва, ул. 2-я Бауманская, 5
Список литературы
- Bhatt E.C., Viquez O., Schmidt H. Under-ice acoustic navigation using real-time model-aided range estimation // J. Acoust. Soc. Am. 2022. V. 151. № 4. P. 2656–2671.
- Сорокин М.А., Петров П.С., Каплуненко Д.Д., Голов А.А., Моргунов Ю.Н. Прогноз эффективной скорости распространения акустических сигналов на основе модели циркуляции океана // Акуст. журн. 2021. Т. 67. № 5. С. 521–532.
- Шерстянкин П.П., Колотило Л.Г., Тарасюк Ю.Ф., Куимова Л.Н., Иванов В.Г., Блинов В.В. О скорости звука в Байкале // Докл. Акад. наук. 2002. Т. 386. № 1. С. 103–107.
- Porter M.B., Yong-Chun L. Finite-element ray tracing // Theoretical and computational acoustics. 1994. V. 2. P. 947–956.
- Гранин Н.Г. Некоторые результаты измерения внутренних волн на Байкале // В кн. Гидрология Байкала и других водоемов. Под редакцией Верболова В.И. Новосибирск: Наука, 1984. С. 67–71.
- Millero F.J., Poisson A. International one-atmosphere equation of state of seawater // Deep-Sea Res. 1981. V. 28A(6). P. 625–629.
- Першин С.М., Крутянский Л.М., Лукьянченко В.А. Об обнаружении неравновесных фазовых переходов в воде // Письма в ЖЭТФ. 2011. Т. 94. № 2. С. 125–129.
- Волков М.В., Григорьев В.А., Луньков А.А., Петников В.Г. О возможности применения вертикальных приемных антенн для звукоподводной связи на арктическом шельфе // Акуст. журн. 2019. Т. 65. № 3. С. 332–342.
- Волков М.В., Луньков А.А., Петников В.Г., Шатравин А.В. Звукоподводная связь с использованием вертикальных приемных антенн в мелководных акваториях с ледовым покровом // Океанология. 2021. Т. 61. № 4. С. 649–661.
Дополнительные файлы









