Акустические исследования плавления и кристаллизации эвтектических сплавов галлий–серебро в пористых стеклах
- Авторы: Пирозерский А.Л.1, Чарная Е.В.1, Абдуламонов Х.А.1, Недбай А.И.1, Кумзеров Ю.А.2, Фокин А.В.2, Хомутова А.С.1
-
Учреждения:
- Санкт-Петербургский государственный университет, Физический факультет
- Физико-технический институт им. А. Ф. Иоффе РАН
- Выпуск: Том 69, № 4 (2023)
- Страницы: 446-452
- Раздел: ФИЗИЧЕСКАЯ АКУСТИКА
- URL: https://ogarev-online.ru/0320-7919/article/view/134457
- DOI: https://doi.org/10.31857/S0320791923600014
- EDN: https://elibrary.ru/ZGMSPM
- ID: 134457
Цитировать
Полный текст
Аннотация
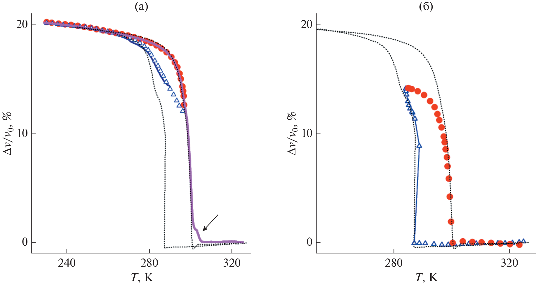
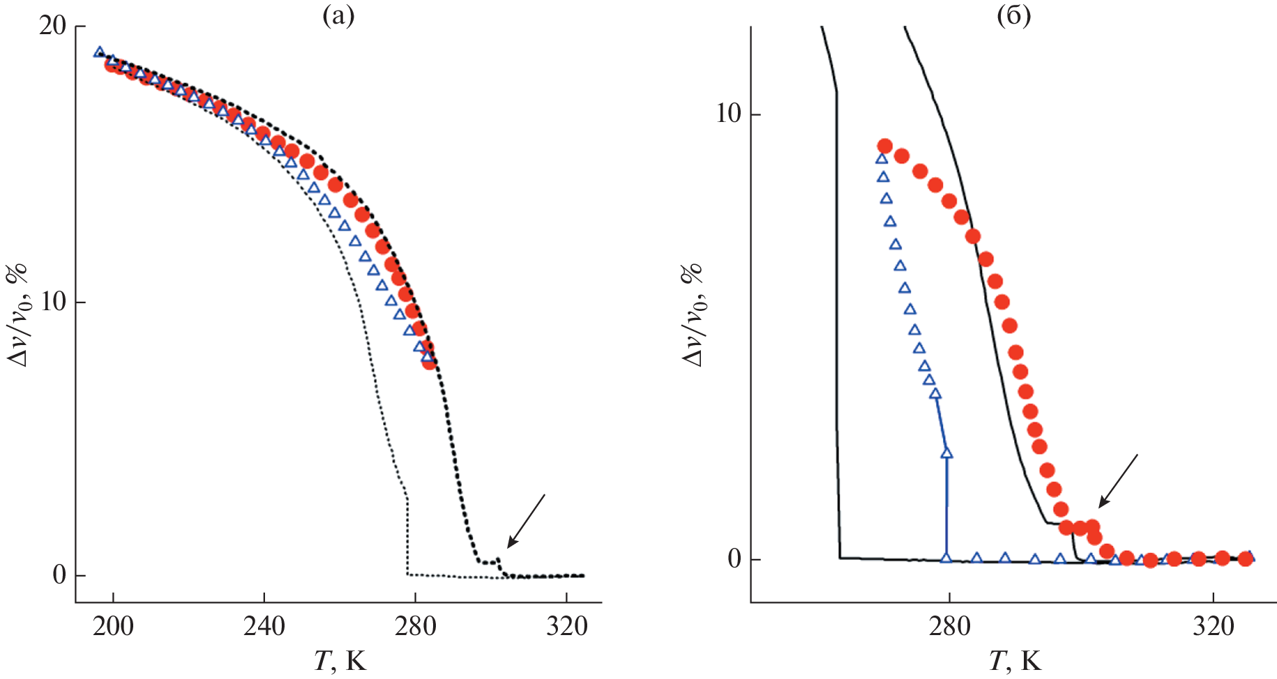
Представлены результаты акустических исследований процессов плавления и кристаллизации сплавов Ag–Ga с содержанием серебра 1.5 и 3 ат. %, внедренных в пористые стекла со средним размером пор 13 нм. Измерены температурные зависимости скорости продольных ультразвуковых волн модифицированным импульсно-фазовым методом на частоте 7 МГц в диапазоне 200–325 К при полных и частичных циклах охлаждение‑нагрев. На температурных зависимостях скорости ультразвука наблюдались области, соответствующие фазовым переходам. Выявлены существенные изменения фазовой диаграммы объемного сплава вследствие наноструктурирования. Показано, что при разных составах сплава в порах формируются сегрегаты с различной кристаллической структурой.
Об авторах
А. Л. Пирозерский
Санкт-Петербургский государственный университет, Физический факультет
Email: piroz@yandex.ru
Россия, 198504, Петродворец, ул. Ульяновская 1, Санкт-Петербург
Е. В. Чарная
Санкт-Петербургский государственный университет, Физический факультет
Email: charnaya@mail.ru
Россия, 198504, Петродворец, ул. Ульяновская 1, Санкт-Петербург
Х. А. Абдуламонов
Санкт-Петербургский государственный университет, Физический факультет
Email: charnaya@mail.ru
Россия, 198504, Петродворец, ул. Ульяновская 1, Санкт-Петербург
А. И. Недбай
Санкт-Петербургский государственный университет, Физический факультет
Email: charnaya@mail.ru
Россия, 198504, Петродворец, ул. Ульяновская 1, Санкт-Петербург
Ю. А. Кумзеров
Физико-технический институт им. А. Ф. Иоффе РАН
Email: charnaya@mail.ru
Россия, 194021, Санкт-Петербург, ул. Политехническая 26
А. В. Фокин
Физико-технический институт им. А. Ф. Иоффе РАН
Email: charnaya@mail.ru
Россия, 194021, Санкт-Петербург, ул. Политехническая 26
А. С. Хомутова
Санкт-Петербургский государственный университет, Физический факультет
Автор, ответственный за переписку.
Email: charnaya@mail.ru
Россия, 198504, Петродворец, ул. Ульяновская 1, Санкт-Петербург
Список литературы
- Huber P. Soft matter in hard confinement: phase transition thermodynamics, structure, texture, diffusion and flow in nanoporous media // J. Phys.: Condens. Matter. 2015. V. 27. Art. №. 103102.
- Christenson H.K. Confinement effects on freezing and melting // J. Phys.: Condens. Matter. 2001. V. 13. № 11. P. R95–R133.
- Alba-Simionesco C., Coasne B., Dosseh G., Dudziak G., Gubbins K.E., Radhakrishnan R., Sliwinska-Bartkowiak M. Effects of confinement on freezing and melting // J. Phys.: Condens. Matter. 2006. V. 18. P. R15–R68.
- Jackson C.L., McKenna G.B. The melting behavior of organic materials confined in porous solids // J. Chem. Phys. 1990. V. 93. № 12. P. 9002–9011.
- Molz E., Wong A.P.Y., Chan M.H.W., Beamish J.R. Freezing and melting of liquids in porous glasses // Phys. Rev. B. 1993. V. 48. № 9. P. 5741–5750.
- Dereppe J.M., Борисов Б.Ф., Чарная Е.В., Шеляпин А.В., Нассар М.М., Кумзеров Ю.А. Акустические исследования плавления и затвердевания галлия, введенного в матрицу опала // ФТТ. 2000. Т. 42. № 1. С. 184–187.
- Charnaya E.V., Tien C., Lee M.K., Kumzerov Yu.A. NMR studies of metallic tin confined within porous matrices // Phys. Rev. B. 2007. V. 75. № 14. Art. № 144101.
- Charnaya E.V., Tien C., Lee M.K., Kumzerov Yu.A. Slowdown of self-diffusion induced by partial freezing in confined liquid indium // Phys. Rev. B. 2007. V. 75. № 21. Art. № 212202.
- Charnaya E.V., Plotnikov P.G., Michel D., Tien C., Borisov B.F., Sorina I.G., Martynova E.I. Acoustic studies of melting and freezing for mercury embedded into Vycor glass // Physica B. 2001. V. 299. № 1−2. P. 56–63
- Чарная Е.В. Акустические исследования фазовых переходов в кристаллах и нанокомпозитах // Акуст. журн. 2008. Т. 54. № 6. С. 926−938.
- Kofman R., Cheyssac P., Aouaj A., Lereah Y., Deutscher G., Ben-David T., Penisson J.M., Bourret A. Surface melting enhanced by curvature effects // Surf. Sci. 1994. V. 303. P. 231–246.
- Charnaya E.V., Tien C., Lee M.K., Kumzerov Yu.A. Superconductivity and structure of gallium under nanoconfinement // J. Phys.: Condens. Matter. 2009. V. 21. № 45. Art. № 455304.
- Lee M.K., Tien C., Charnaya E.V., Sheu H.-S., Kumzerov Yu.A. Structural variations in nanosized confined gallium // Phys. Lett. A. 2010. V. 374. № 13−14. P. 1570–1573.
- Пирозерский А.Л., Чарная Е.В., Латышева Е.Н., Недбай А.И., Кумзеров Ю.А., Бугаев А.С. Акустические исследования плавления и кристаллизации индий‑галлиевого сплава в пористом стекле // Акуст. журн. 2011. Т. 57. № 5. С. 618–622.
- Латышева Е.Н., Пирозерский А.Л., Чарная Е.В., Кумзеров Ю.А., Фокин А.В., Недбай А.И., Бугаев А.С. Полиморфизм сплавов Ga‑In в условиях наноконфайнмента // ФТТ. 2015. Т. 57. № 1. С. 124–128.
- Пирозерский А.Л., Чарная Е.В., Lee M.K., Chang L.J., Недбай А.И., Кумзеров Ю.А., Фокин А.В., Самойлович М.И., Лебедева Е.Л., Бугаев А.С. Акустические и ЯМР исследования плавления и кристаллизации индий‑галлиевых сплавов в порах синтетических опаловых матриц // Акуст. журн. 2016. Т. 62. № 3. С. 295–301.
- Pirozerskii A.L., Nedbai A.I., Kumzerov Yu.A., Fokin A.V., Lebedeva E.L. Melting and crystallization of a Ga‑In alloy confined in a porous glass // IJAER. 2017. V. 12. № 21. P. 11107–11113.
- Пирозерский А.Л., Чарная Е.В., Недбай А.И. Акустические исследования фазовых переходов плавление и кристаллизация в индий‑галлиевых сплавах, внедренных в поры мезопористых силикатных матриц // Изв. Росс. Акад. наук. Сер. физич. 2020. Т. 84. № 6. С. 803–807.
- Uskov A.V., Charnaya E.V., Kuklin A.I., Lee M.-K., Chang L.-J., Kumzerov Y.A., Fokin A.V. SANS studies of the gallium–indium alloy structure within regular nanopores // Nanomaterials. 2022. V. 12. № 13. Art. № 2245.
- Xiong Y., Lu X. Metallic Nanostructures. From Controlled Synthesis to Applications // Springer International Publishing: Cham, Switzerland. 2015.
- Pirozerski A.L., Charnaya E.V., Baryshnikov S.V., Nedbai A.I., Borisov B.F., Mikushev V.M., Lebedeva E.L., Khomutova A.S., Dolgova M.V. Acoustic studies of the ferroelastic phase transition in LiCsSO4/MCM-41 nanocomposite using longitudinal ultrasonic waves // IJAER. 2016. V. 11. № 5. P. 3309–3313.
- Гитис М.Б., Михайлов И.Г., Шутилов В.А. Измерение температурной зависимости скорости звука в твердых образцах малых размеров // Акуст. журн. 1969. Т. 15. № 1. С. 28–32.
- Сорина И.Г., Tien C., Чарная Е.В., Кумзеров Ю.А., Смирнов Л.А. Структурные особенности твердого галлия в микропористом стекле // ФТТ. 1998. Т. 40. № 8. С. 1552–1553.
- Weibke F., Meisel K., Weigels L. Das Zustandsdiagramm des systems Silber-Gallium // Z. Anorg. Allg. Chem. 1932. V. 226. P. 201–208.
- Predel B., Stein D.W. Bildungsenthalpien binarer verbindungen des galliums mit kupfer, silber und gold sowie analyse der thermodynamischen eigenschaften von 3/2-elektronen-erbindungent // Metallurgica. 1972. V. 20. P. 681–692.
- Baren M.R. The Ag‑Ga (Silver‑Gallium) System // Bulletin of Alloy Phase Diagrams. 1990. V. 11. № 4. P. 334−339.
- Okamoto H. Ag‑Ga (Silver-Gallium) // J. Phase Equilibria. 1992. V. 13 № 3. P. 324–325.
- Zhang Y., Li J.-B., Liang J.K., Liu Q.L., Xiao Y.G., Zhang Q., Rao G.H., Li C.R. Thermodynamic assessment of the Ag–Ga system // Computer Coupling of Phase Diagrams and Thermochemistry. 2006. V. 30. P. 316–322.
Дополнительные файлы








