Облачная аккреция как возможная причина продолжительных затмений звезд типа UX Оri
- Authors: Гринин В.П.1,2, Демидова Т.В.3
-
Affiliations:
- Главная (Пулковская) астрономическая обсерватория РАН
- Санкт-Петербургский государственный университет
- Крымская астрофизическая обсерватория
- Issue: Vol 50, No 3 (2024)
- Pages: 223-232
- Section: Articles
- URL: https://ogarev-online.ru/0320-0108/article/view/266591
- DOI: https://doi.org/10.31857/S0320010824030045
- EDN: https://elibrary.ru/NSBGIY
- ID: 266591
Cite item
Full Text
Abstract
Предложена модель глубоких и продолжительных затмений молодых звезд типа UX Ori. Некоторые из этих событий продолжаются десятилетиями, и существующие модели не могут их объяснить. Показано, что такие затмения могут быть вызваны падением на протопланетный диск газопылевых облаков из остатков протозвездного облака. Возмущение в диске, вызванное падением облака, приводит к всплеску аккреционной активности звезды и, как следствие, к усилению дискового ветра. Если околозвездный диск наклонен под небольшим углом к лучу зрения, то пыль, поднятая ветром с поверхности диска, может вызвать сильное уменьшение блеска звезды, которое может продолжаться десятилетиями.
Full Text
ВВЕДЕНИЕ
Звезды типа UX Ori относятся к числу фотометрически наиболее активных молодых объектов. Причина их активности – небольшой наклон околозвездных дисков относительно направления на наблюдателя (Гринин и др., 1991; Натта и др., 1997). В результате яркость этих звезд изменяется вслед за изменением околозвездной экстинкции на луче зрения. Амплитуда ослабления блеска в оптической области спектра достигает 2–3m. Уменьшению блеска звезды ниже этого уровня препятствует рассеянное излучение ее околозвездного диска, которое доминирует в глубоких минимумах (Гринин, 1988). Продолжительность минимумов обычно находится в интервале от нескольких дней до двух-трех недель. Такие события могут быть вызваны флуктуациями плотности газопылевой атмосферы диска в зоне испарения пыли (Натта и др., 2001; Дуллемонд и др., 2001), неоднородной структурой дискового ветра (Винкович, Юркич, 2007; Тамбовцева, Гринин, 2008) или облаками заряженных частиц, поднимающихся над плоскостью диска вдоль силовых линий магнитного поля (Тернер и др., 2014). Однако в некоторых случаях наблюдаются очень длительные затмения, продолжающиеся десять и более лет (см., например, Семков и др, 2015; Гринин и др., 2023). Подобные события не имеют до сих пор приемлемого объяснения. В нашей статье предлагается полуэмпирическая модель таких событий. Предполагается, что они могут быть следствием падения на диск массивных газопылевых сгустков из остатков протозвездного облака или из околозвездного пространства.
Теория предсказывает формирование таких сгустков в окрестностях протозвезд на ранних этапах их эволюции (Куффмайер и др., 2018). При этом аккреция таких сгустков может происходить на внутренние части диска (~ а.е). Также сгустки массой в несколько десятков масс Юпитера могут сформироваться вследствие развития гравитационной неустойчивости на периферии массивных протопланетных дисков (Воробъев, Басу, 2005). Некоторые из таких сгустков теряют угловой момент, взаимодействуя с окружающим газом, и мигрируют к центру диска, вызывая вспышки аккреции. Кроме того, сгустки могут покидать родительский диск в процессе бурной релаксации системы (Басу, Воробъев, 2012; Воробъев и др., 2017). Выброс сгустков будет способствовать стабилизации системы по аналогии с процессами, происходящими в молодых звездных скоплениях (например, Гудвин, 1998).
Такие газовые сгустки могут наблюдаться в виде компактных темных пятен на фоне ярких отражательных туманностей и областей HII (Гам и др.,2007; Грэнман и др., 2018). При сближении компактного облака с протопланетным диском оно будет вытягиваться в струю конечного размера. Асимметричные струеподобные газовые структуры обнаружены на высококонтрастных изображениях ряда протопланетных дисков, полученных с помощью интерферометра ALMA (Пинеда и др., 2023). Наиболее яркие примеры таких структур наблюдались у молодых объектов SU Aur (Гински и др., 2021) и DG Tau (Гаруфи и др., 2022). Это позволяет предполагать, что аккреция газовых сгустков на протопланетный диск из окружающего пространства не является исключительно редким событием.
В наших предыдущих работах Демидовой и Гринина (2022, 2023) методом SPH были рассчитаны трехмерные газодинамические модели, на основе которых исследовались наблюдательные проявления последствий столкновения газового сгустка с протопланетным диском. Было показано, что при наблюдениях диска с полярных направлений, падение облака приводит к формированию крупномасштабных структур, которые могут наблюдаться на изображениях в субмиллиметровом диапазоне. При этом падение массивного облака вблизи звезды может спровоцировать вспышку типа FU Ori, а также наклонить внутреннюю часть диска относительно периферии. В данной работе мы изучаем случай, когда протопланетный диск наблюдается под небольшим углом к лучу зрения (случай звезд типа UX Ori).
МОДЕЛЬ
В статье рассматривается модель системы, состоящей из звезды с массой , радиусом и температурой К, окруженной газовым диском. В начальный момент времени вещество в диске распределено в пределах а.е., а.е. по стандартному закону распределения плотности, описанному в работе Дютри и др. (1994):
(1)
где r – это расстояние от центра звезды в плоскости диска (цилиндрический радиус), а z – расстояние от плоскости диска, – поверхностная плотность на расстоянии (определяется общей массой диска ). Полутолщина диска определяется формулой:
(2)
где – это температура вещества в плоскости диска, G – гравитационная постоянная, – масса водорода, а – средняя молекулярная масса.
Диск предполагается изотермичным по вертикали. Зависимость температуры от расстояния до звезды описывается соотношением, аналогичным принятому в работах Чанга и Голдрейха (1997) и Дуллемонда и Доминика (2004):
(3)
где параметр , и не меняется со временем.
Динамика диска рассчитывалась на протяжении 600 лет, а затем в него порциями добавлялось возмущение плотности (что симулирует падение струи газа) в пределах радиусов , и азимутального угла (рис. 1). Всего было добавлено пять порций газа с интервалом времени 0.2 года (расчеты показали, что за это время точка на расстоянии а.е., находящаяся вблизи апоастра орбиты, проходит Считалось, что в процессе столкновения с диском вещество теряло некоторую часть энергии на нагрев диска. Поэтому предполагалось, что скорость возмущения меньше кеплеровской и составляет долю L от нее на данном расстоянии (кроме того, при ретроградном падении сгустка его скорость будет уменьшаться из-за взаимодействия с веществом диска). Сохранялась и вертикальная составляющая скорости, соответствующая наклонению I, поскольку предполагалось, что орбита облака пересекает плоскость диска под некоторым углом. Варьировалась также масса возмущения m. Подробное описание модели приведено в статье Демидовой и Гринина (2023). После добавления сгустка расчеты продолжались еще 500 лет.
Рис. 1. Вверху показано сечение диска в плоскости после добавления одной порции вещества сгустка. Внизу – проекция положения частиц газа на плоскость для модели , а.е., а.е., , ,
МЕТОД
Газодинамические расчеты проводились с использованием метода SPH с переменной длиной сглаживания, лежащего в основе космологического кода GADGET-2 (https://wwwmpa.mpa-garching.mpg.de/gadget/) (Спрингель и др., 2001; Спрингель, 2005), модифицированного нами для протопланетных дисков (Демидова, 2016). В расчетах принимало участие частиц со свойствами газа. Учитывались вязкость и самогравитация диска.
При расчетах перенос углового момента осуществлялся за счет введения численной вязкости, для которой задавались следующие параметры: , . Турбулентная вязкость в таком случае определяется как (Прайс, 2012), где – это скорость звука, определенная в пределах сферы, ограниченной длинной сглаживания h в методе SPH. Таким образом, параметр вязкости Шакуры-Сюняева (Шакура, Сюняев, 1973) не является постоянным и связан с соотношением: . В невозмущенном диске значение меняется в пределах от до .
РЕЗУЛЬТАТЫ
Затмение звезды дисковым ветром
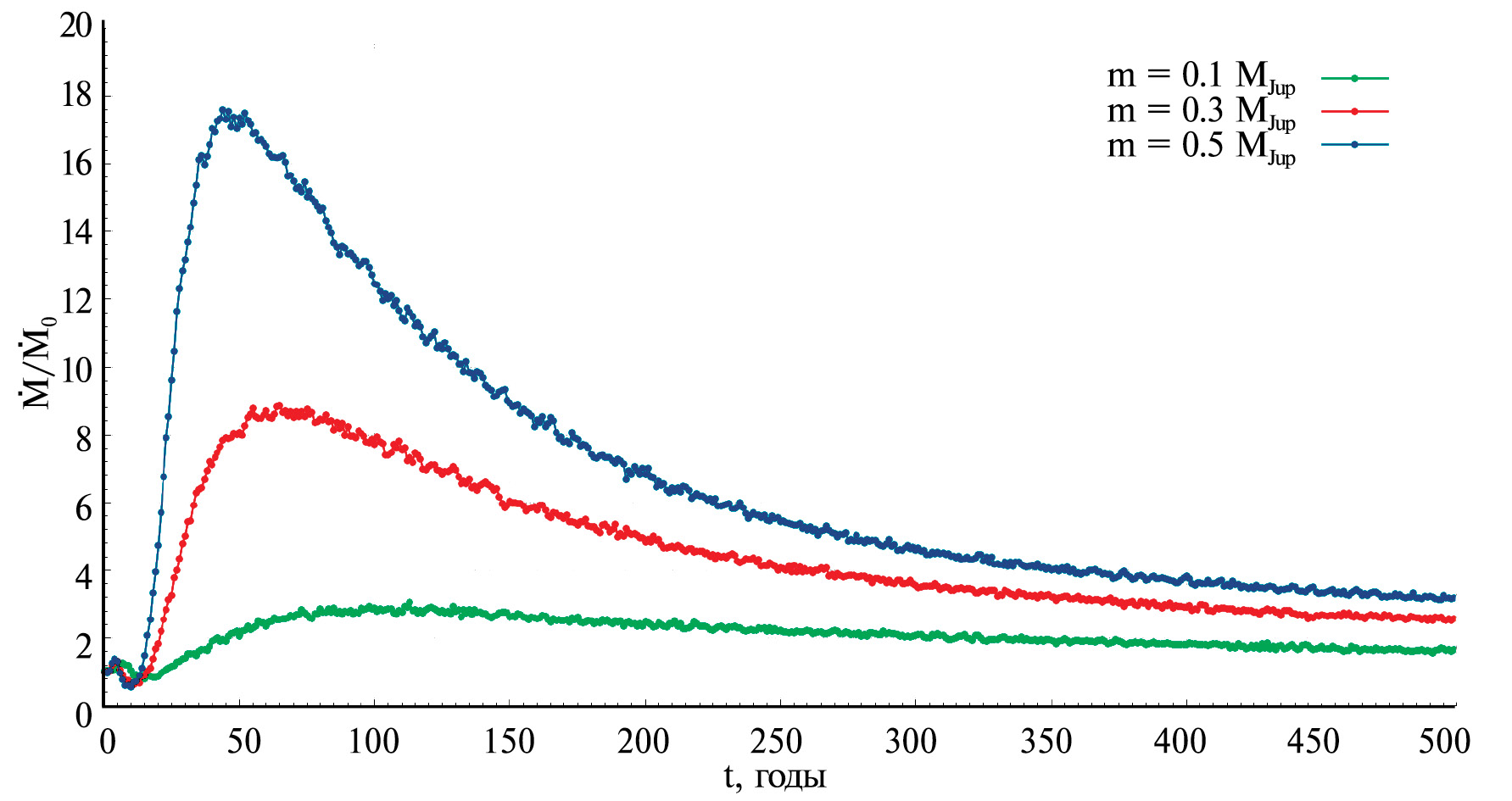
На рис. 2 показан всплеск темпа аккреции, вызванный падением на диск в момент газового сгустка из околозвездного окружения звезды. Место его падения на диск находится на расстоянии а.е. от звезды. Аккреционный всплеск начинается в тот момент, когда волна возмущения в диске, вызванная падением сгустка, достигает ближайших окрестностей звезды. В максимуме вспышки темп аккреции превышает таковой в невозмущенном состоянии диска (/г) примерно в 3 раза в случае ( – масса Юпитера), 9 раз при и в 18 раз при . Кроме того, с увеличением начальной массы сгустка сокращается время между началом роста темпа аккреции и достижением его максимального значения.
Рис. 2. Темп аккреции в зависимости от времени для трех значений начальной массы сгустка: (зеленая линия), (красная линия) и (синяя линия). Значение дано относительно невозмущенного значения . Параметры модели а.е., а.е., , ,
Расчеты показали, что турбулентная вязкость в области а.е. уменьшается до ( – невозмущенное значение) через 10 лет, после добавления возмущения в газовую среду диска, а затем медленно возрастает и через 100 лет составляет . Таким образом, увеличение темпа аккреции в модели связано, в первую очередь, с существенным увеличением количества вещества с субкеплеровыми скоростями в рассматриваемой области, а не с изменением вязкости.
Следует отметить, что вспышка аккреционной активности звезды, вызванная падением клампа на диск, должна сопровождаться также увеличением инфракрасного (ИК) излучения от возмущенной области диска. Форма и амплитуда ИК-отклика зависят от параметров модели и угла наклона диска к лучу зрения. Кроме того, дополнительным источником ИК-излучения может быть запыленный дисковый ветер (см. ниже).
Предполагается, что всплеск аккреционной активности сопровождается усилением магнито-центробежного дискового ветра. В случае звезд типа FU Ori усиление дискового ветра наблюдалось непосредственно по спектрам звезды (Хартманн, Кеньон, 1996). Из теории известно (см., например, Кенигл, Пудриц, 2000), что скорость потери массы в магнито-центробежном ветре и темп аккреции M тесно связаны: . В процессе ускорения вещество ветра увлекает мелкие частицы пыли и поднимает их над поверхностью диска (Сафье, 1993; Трипати и др., 2017). В результате дисковый ветер может стать источником околозвездной экстинкции. Оптическая толщина ветра в направлении на наблюдателя зависит от типа модели ветра и наклона диска и пропорциональна . Обозначим через значение в максимуме вспышки. Тогда можно написать: где – темп аккреции при t = 0. По смыслу этой формулы полученное из нее значение представляет собой приращение оптической толщины дискового ветра, вызванное усилением темпа аккреции.
С учетом этого теоретическая кривая блеска имеет вид , где – интенсивность излучения звезды во время аккреционной вспышки, а – рассеянный свет. Поскольку мы не знаем точно, как аккреционная вспышка трансформируется в оптическую, для простоты примем и При расчете кривых блеска предполагалось, что
Параметры рассчитанных моделей с различными характеристиками сгустка приведены в табл. 1. В последних двух столбцах выполнены оценки временных интервалов , в течение которых блеск убывает, – интервал времени с начала убывания блеска до возвращения к первоначальному значению.
Таблица. Параметры моделей
, | L | I, | m, | , | , | , |
а.е. | годы | годы | ||||
2–3 | 0.5 | 45 | 0.3 | 6 | 35 | 355 |
3–4 | 0.5 | 45 | 0.3 | 6 | 60 | >500 |
4–5 | 0.5 | 45 | 0.3 | 6 | 112 | >500 |
2–3 | 0.4 | 45 | 0.3 | 6 | 15 | 130 |
2–3 | 0.6 | 45 | 0.3 | 6 | 45 | >500 |
2–3 | 0.5 | 30 | 0.3 | 6 | 55 | >500 |
2–3 | 0.5 | 60 | 0.3 | 6 | 25 | 165 |
2–3 | 0.5 | 45 | 0.3 | 4 | 35 | 360 |
2–3 | 0.5 | 45 | 0.3 | 8 | 35 | 340 |
2–3 | 0.5 | 45 | 0.1 | 6 | 60 | >500 |
2–3 | 0.5 | 45 | 0.5 | 6 | 25 | 127 |
Теоретические кривые блеска показаны на рис. 3–5. Видно, что с уменьшением расстояния между возмущением и звездой блеск убывает быстрее, а фаза минимума становится короче (рис. 3). Похожим образом на кривую блеска влияет уменьшение параметра L (рис. 4) и увеличение угла падения I (рис. 5). Расчеты показали, что вариации параметра в пределах – не оказывают заметного влияния на поведение кривой блеска.
Рис. 3. Теоретические кривые блеска звезды, затмеваемой дисковым ветром, для моделей с параметрами , , и трех диапазонов (указаны в нижнем левом углу).
Рис. 4. То же, что и на рис. 3 для моделей с параметрами а.е., а.е., , и трех значений параметра L (указаны в нижнем левом углу).
Рис. 5. То же, что и на рис. 3 для моделей с параметрами а.е., а.е., , и трех значений наклона I (указаны в нижнем левом углу).
Кривая блеска CQ Tau
На рис. 6 представлена кривая блеска CQ Tau в полосе В на интервале времени лет. Видно, что фотометрическая активность звезды резко изменилась в середине прошлого века: яркое состояние звезды, сопровождавшееся небольшими колебаниями потока, закончилось резким падением блеска, вызванным сильным увеличением околозвездной экстинкции. Этот глубокий минимум имеет сложную форму и продолжается уже более полувека (Миникулов и др., 1993; Шаховской и др., 2005; Гринин и др., 2023). Выполненный недавно периодограмный анализ фотометрической активности звезды (Гринин и др., 2023) подтвердил наличие заподозренного ранее (Шаховской и др., 2005) периода 10 лет (см. также статью Хаммон и др., 2022). Из рис. 6 следует, что звезда постепенно возвращается к исходному яркому состоянию, претерпевая частые и глубокие ослабления блеска. Они свидетельствуют о том, что звезда до сих пор окружена большим количеством сильно неоднородной околозвездной пыли, которая, несмотря на большой наклон внутреннего диска к лучу зрения (около 40° см. ниже), способна время от времени экранировать звезду от наблюдателя.
Рис. 6. Историческая кривая блеска CQ Tau в полосе B по данным (Гринин и др., 2023).
Рис. 7. Кривая блеска V1184 Tau в полосе I из работы Семкова и др., A&A, A113, 2015, приводится с разрешения ESO.
Примерно такой же формы глубокий минимум длительностью около 10 лет наблюдался (Семков и др., 2015) у звезды типа Т Тельца V1184 Tau, кривая блеска которой представлена на рис. 7. Общее сходство теоретических и наблюдаемых кривых блеска, представленных на рис. 3–5 и 6, 7, позволяет предположить, что в обоих случаях сильное и продолжительное уменьшение блеска этих звезд было инициировано возмущением в их околозвездных дисках, причиной которого могло быть падение массивного облака на диск в окрестности звезды. Следует отметить, что в настоящее время CQ Tau характеризуется довольно высоким темпом аккреции: в год (Донхью, Бриттен, 2011). При таком темпе аккреции запыленный дисковый ветер может быть непрозрачен для оптического излучения звезды даже при наклоне диска к лучу зрения около 40° (Альбрант и др., 2024). Возмущения, вызванные орбитальным движением компаньона1, приводят к периодическим вариациям амплитуды затмений, которые хорошо видны на кривой блеска звезды (см. рис. 6).
Аналогичное резкое падение блеска произошло у звезды AA Tau в 2011 г., и в таком состоянии звезда находится до сих пор (Бувье и др., 2013; Ковей и др., 2021). Еще у одной звезды типа Т Тельца – RW Aur – фотометрическая активность сильно изменилась в последние годы: у звезды стали наблюдаться глубокие и продолжительные минимумы (Шенаврин и др., 2015; Петров и др., 2015; Факкини и др., 2016; Додин и др., 2019). Такие крупномасштабные ослабления блеска молодых звезд свидетельствуют о появлении в их ближайших окрестностях дополнительной порции вещества, стимулировавшей подъем пыли над диском, в том числе за счет усиления дискового ветра.
ОБСУЖДЕНИЕ
Запыленный дисковый ветер может быть не только источником околозвездной экстинкции, вызывающей при малых углах наклона диска к лучу зрения ослабление оптического блеска звезды, но также источником дополнительного ИК-излучения (Банс, Кенигл, 2012). В результате может наблюдаться интересное явление, когда оптический блеск звезды падает, а ИК-излучение усиливается. Такое явление, действительно, наблюдалось у некоторых звезд типа UX Ori. В частности, повышение блеска в полосе К во время оптического минимума наблюдалось у звезды V1184 Tau (Гринин и др., 2009) и было интерпретировано усилением дискового ветра. Аналогичная картина наблюдалась (Шенаврин и др., 2015) у звезды RW Aur и была интерпретирована таким же образом.
Кроме десятилетнего фотометрического периода в изменениях блеска звезды о существовании компаньона в окрестностях CQ Tau свидетельствуют также результаты интерферометрических наблюдений звезды в миллиметровом диапазоне (Убейра Габеллини и др., 2019; Вулфер и др., 2021), которые показали наличие протяженной полости в центральной части околозвездного диска2. По данным интерферометрических наблюдений в ближней ИК-области спектра внутренняя часть диска CQ Tau наклонена на угол (Эйснер и др., 2004) относительно плоскости неба, тогда как по данным наблюдений в миллиметровом диапазоне внешний диск наклонен под углом (Шапийон и др., 2008; Убейра Габеллини и др., 2019). Как известно, похожая картина наблюдается в центральной области околозвездного диска Pic (Бурроуз и др., 1995) и объясняется существованием планеты, орбита которой наклонена относительно плоскости внешнего диска (Лагранж и др., 2009, Шовин и др., 2012). Различный наклон внутреннего и внешнего диска свидетельствует о сильных возмущениях в процессе его формирования и эволюции.
ЗАКЛЮЧЕНИЕ
Таким образом, падение массивного облака на диск может вызвать вспышку светимости типа FU Ori при наблюдениях диска с полярных направлений (Демидова, Гринин, 2023), тогда как при небольшом наклоне диска к лучу зрения такое событие может вызвать глубокое и продолжительное ослабление блеска. Такой дуализм феномена FU Ori подчеркивает важность ориентации околозвездного диска относительно направления на наблюдателя при описании наблюдаемых явлений. В случае звезд типа UX Ori, к семейству которых относится CQ Tau, вывод о небольшом угле наклона диска к лучу зрения был сделан на основании наблюдений высокой линейной поляризации звезд в глубоких минимумах блеска (Гринин и др., 1991). Для самой CQ Tau такие наблюдения были получены Бердюгиным и др. (1990). Интересно, что предположение о принадлежности V1184 Tau к семейству звезд типа UX Ori было сделано в работе Алвес и др. (1997) задолго до того, как у звезды в 2004 г. начался глубокий минимум блеска, представленный на рис. 7. Основанием для такого предположения послужили спектральные наблюдения, которые показали, что эмиссия в линии H в спектре этой звезды имеет двухкомпонентный профиль, расширенный быстрым вращением излучающего газа. Ранее, на основе статистического анализа было показано (Гринин, Ростопчина, 1996), что такие профили линии H характерны именно для звезд типа UX Ori, что недавно было подтверждено в работе (Виоке и др., 2018).
Следует отметить, что в случае звезд типа Т Тельца с интенсивной аккрецией определение угла наклона диска к лучу зрения на основе интерферометрических наблюдений в ближней ИК-области спектра может содержать систематическую ошибку, вызванную тем обстоятельством, что в отличие от диска, являющегося в хорошем приближении двумерной структурой, дисковый ветер, являющийся потенциальным источником ИК-излучения, – объект трехмерный, и в проекции на плоскость неба его изображение может заметно отличаться от изображения диска.
БЛАГОДАРНОСТИ
Авторы благодарят анонимного рецензента за полезные замечания.
Расчеты проводились с использованием ресурсов Межведомственного супер-компьютерного центра РАН Филиал Федерального государственного учреждения “Научно-исследовательский институт системного анализа Российская академия наук” (Савин и др., 2019).
1 Есть основания предполагать, что его орбита имеет большой эксцентриситет (Гринин и др., 2023).
2 Такие полости, как известно, образуются в дисках в результате приливных возмущений, вызванных орбитальным движением компаньонов (Артимович, Любов, 1994).
About the authors
В. П. Гринин
Главная (Пулковская) астрономическая обсерватория РАН; Санкт-Петербургский государственный университет
Author for correspondence.
Email: vgcrao@mail.ru
Russian Federation, Санкт-Петербург; Санкт-Петербург
Т. В. Демидова
Крымская астрофизическая обсерватория
Email: vgcrao@mail.ru
Russian Federation, пгт. Научный
References
- Алвес и др. (J. Alves, L. Hartmann, C. Briceno, and C.J. Lada), Astron. J. 113, 1395 (1997).
- Альбрант М.А., Гринин В.П., Ермолаева Т.А., Письма в Астрон. журн., в печати (2024) [Albrant M.A., Grinin V.P., Ermolaeva T.A. Astron. Lett. 50, 269 (2024)].
- Артимович, Любов (P. Artymowicz and S.H. Lubow), Astrophys. J. 421, 651 (1994).
- Банс, Кенигл (A. Bans and A. Königl), Astrophys. J. 758, 100 (2012).
- Басу, Воробьев (S. Basu and E.I. Vorobyov), Astrophys. J. 750, 30 (2012).
- Бердюгин А.В., Бердюгина С.В., Гринин В.П., Миникулов Н.Х., Астрон. журн. 67, 812 (1990).
- Бувье и др. (J. Bouvier, K. Grankin, L.E. Ellerbroek et al.), Astron. Astrophys. 557, A77 (2013).
- Бурроуз и др. (C.J. Burrows, J.E. Krist, K.R. Stapelfeldt et al.), Am. Astron. Soc. Meet. Abs. 187, 32.05 (1995).
- Винкович, Юркич (D. Vinković and T. Jurkić), Astrophys. J. 658, 462 (2007).
- Виоке и др. (M. Vioque, R.D. Oudmaijer, D. Baines, I. Mendiguti'a, and R. Pérez-Martnez), Astron. Astrophys. 620, A128 (2018).
- Воробъев, Басу (E.I. Vorobyov and S. Basu), Astrophys. J. 633, L137 (2005).
- Воробъев и др. (E.I. Vorobyov, M.E. Steinrueck, V. Elbakyan, and M. Guedel), Astron. Astrophys. 608, A107 (2017).
- Вулфер и др. (L. Wölfer, S. Facchini, N.T. Kurtovic, R. Teague, E.F. van Dishoeck, M. Benisty, B. Ercolano, G. Lodato, et al.), Astron. Astrophys. 648, A19 (2021).
- Гам и др. (G.F. Gahm, T. Grenman, S. Fredriksson, and H. Kristen), Astron. J. 133, 1795 (2007).
- Гаруфи и др. (A. Garufi, L. Podio, C. Codella, D. Segura-Cox, M. Vander Donckt, S. Mercimek, F Bacciotti, D. Fedele, et al.), Astron. Astrophys. 658, A104 (2022).
- Гински и др. (C. Ginski, S. Facchini, J. Huang, M. Benisty, and D. Vaende) (2021).
- Гринин В.П. (Grinin V.P.), Sov. Astron. Lett. 14, 27 (1988).
- Гринин и др. (V.P. Grinin, N.N. Kiselev, N.Kh. Minikulov, G.P. Chernova, and N.V. Voshchinnikov), Astrophys. Sp. Sci. 186, 283 (1991).
- Гринин В.П., Ростопчина А.Н., Астрон. журн. 73, 194 (1996) [V.P. Grinin and A.N. Rostopchina, Astron. Rep. 40, 171 (1996)].
- Гринин В.П., Архаров А.А., Барсунова О.Ю., Сергеев С.Г., Тамбовцева Л.В., Письма в Астрон. журн. 39, 129 (2009) [V.P. Grinin, A.A. Arkharov, O.Y. Barsunova, S.G. Sergeev, L.V. Tambovtseva, Astron. Lett. 35, 114 (2009)].
- Гринин В.П., Тамбовцева Л.В., Барсунова О.Ю., Шаховской Д.Н., Астрофизика 66, 235 (2023).
- Грэнман и др. (T. Grenman, E. Elfgren, and H. Weber), Astrophys. Sp. Sci. 363, 28 (2018).
- Гудвин (S.P. Goodwin), MNRAS 294, 47 (1998).
- Демидова Т.В., Астрофизика 59, 449 (2016).
- Демидова, Гринин (T.V. Demidova and V.P. Grinin), Astrophys. J. 930, 111 (2022).
- Демидова, Гринин (T.V. Demidova and V.P. Grinin), Astrophys. J. 953, 38 (2023).
- Додин и др. (A. Dodin, K. Grankin, S. Lamzin, A. Nadjip, B. Safonov, D. Shakhovskoi, V. Shenavrin, A. Tatarnikov, et al.), MNRAS 482, 5524 (2019).
- Донхью, Бриттен (B. Donehew and S. Brittain), Astron. J. 141, 46 (2011).
- Дуллемонд и др. (C.P. Dullemond, C. Dominik, and A. Natta), Astrophys. J. 560, 957 (2001).
- Дуллемонд, Доминик (C.P. Dullemond, and C. Dominik), Astron. Astrophys. 421, 1075 (2004).
- Дютри и др. (A. Dutrey, S. Guilloteau, and M. Simon), Astron. Astrophys. 286, 149 (1994).
- Йен и др. (H. Yen, P. Gu, N. Hirano, P.M. Koch, C-F. Lee, H.B. Liu, and S. Takakuwa), Astrophys. J. 880, 69 (2019).
- Ковей и др. (K.R. Covey, K.A. Larson, G.J. Herczeg, and C.F. Manara), Astron. J. 161, 61 (2021).
- Конигль, Пудриц (A. Konigl and R.E. Pudritz), Protostars and Planets IV, p. 759 (2000).
- Куффмайер и др. (M. Kuffmeier, S. Frimann, S.S. Jensen, and T. Haugbølle), MNRAS 475, 2642 (2018).
- Лагранж и др. (A.-M. Lagrange, M. Kasper, A. Boccaletti, G. Chauvin, D. Gratadour, T. Fusco, D. Ehrenreich, D. Apai, et al.), Astron. Astrophys. 506, 927 (2009).
- Миникулов Н.Х., Рахимов В.Ю., Волчкова Н.А., Пикхун А.И., Астрофизика 36, 31 (1993).
- Натта и др. (A. Natta, V.P. Grinin, V. Mannings, and H. Ungerechts), Astrophys. J. 491, 885 (1997).
- Натта и др. (A. Natta, T. Prusti, R. Neri, D. Wooden, V.P. Grinin, and V. Mannings), Astron. Astrophys. 371, 186 (2001).
- Петров и др. (P.P. Petrov, G.F. Gahm, A.A. Djupvik, E.V. Babina, S.A. Artemenko, and K.N. Grankin), Astron. Astrophys. 577, A73 (2015).
- Пинеда и др. (J.E. Pineda, D. Arzoumanian, P. Andre, R.K. Friesen, A. Zavagno, S.D. Clarke, T. Inoue, C. Chen, et al.), Protostars and Planets VII 534, 233 (2023).
- Прайс (D.J. Price), J. Comput. Phys. 231, 759 (2012).
- Савин и др. (G.I. Savin, B.M. Shabanov, P.N. Telegin, A.V. Baranov), Lobachevskii Journal of Mathematics 40, 1853 (2019).
- Сафье (P.N. Safier), Astrophys. J. 408, 115 (1993).
- Семков и др. (E.H Semkov, S.P. Peneva, and S.I. Ibryamov), Astron. Astrophys. 582, A113 (2015).
- Спрингель и др. (V. Springel, N. Yoshida, and S.D.M. White), New Astronomy 6, 79 (2001).
- Спрингель (V. Springel), MNRAS 364, 1105 (2005).
- Тамбовцева Л.В., Гринин В.П., Письма в Астрон. журн. 34, 259 (2008) [L.V. Tambovtseva, V.P. Grinin, Astron. Lett. 34, 231 (2008)].
- Тернер и др. (N.J. Turner, M. Benisty, C.P. Dullemond, and S. Hirose), Astrophys. J. 780, 42 (2014).
- Трипати и др. (A. Tripathi, S.M. Andrews, T. Birnstiel, and D.J. Wilner), Astrophys. J. 845, 44 (2017).
- Убейра Габеллини и др. (M.G. Ubeira Gabellini, A. Miotello, S. Facchini, E. Ragusa, G. Lodato, L. Testi, M. Benisty, S. Bruderer, et al.), MNRAS 486, 4638 (2019).
- Факкини и др. (S. Facchini, C.F. Manara, P.C. Schneider, C.J. Clarke, J. Bouvier, G. Rosotti, R. Booth, and T.J. Haworth), Astron. Astrophys. 596, A38 (2016).
- Хаммон и др. (I. Hammond, V. Christiaens, D.J. Price, M.G. Ubeira-Gabellini, J. Baird, J. Calcino, M. Benisty, G. Lodato, et al., MNRAS 515, 6109 (2022).
- Хартманн, Кеньон (L. Hartmann and S.J. Kenyon), Ann. Rev. Astron. Astrophys. 34, 207 (1996).
- Хуанг и др. (J. Huang, C Ginski, M Benisty, B. Ren, A.J. Bohn, É. Choquet, K.I. Öberg, Á. Ribas, et al.), Astrophys. J. 930, 171 (2022).
- Чанг, Голдрейх (E.I. Chiang and P. Goldreich), Astrophys. J. 490, 368 (1997).
- Шакура, Сюняев (N.I. Shakura and R.A. Sunyaev), Astron. Astrophys. 24, 337 (1973).
- Шапийон и др. (E. Chapillon, S. Guilloteau, A. Dutrey & V. Piétu), Astron. Astrophys. 488, 565 (2008).
- Шаховской Д.Н., Гринин В.П, Ростопчина А.Н., Астрофизика 48, 135 (2005).
- Шенаврин и др. (V.I. Shenavrin, P.P. Petrov, and K.N. Grankin), Inf. Bull. on Variable Stars 6143, 1 (2015).
- Шовин и др. (G. Chauvin, A.M. Lagrange, H. Beust, M. Bonnefoy, A. Boccaletti, D. Apai, F. Allard, D. Ehrenreich, et al.), Astron. Astrophys. 542, A41 (2012).
- Эйснер и др. (J.A. Eisner, B.F. Lane, L.A. Hillenbrand, R.L. Akeson, and A.I. Sargent), Astrophys. J. 613, 1049 (2004).
Supplementary files









