GRB 231115A – гигантская вспышка магнитара в галактике М82
- Authors: Минаев П.Ю.1,2, Позаненко А.С.1,3, Гребенев С.А.1, Человеков И.В.1, Панков Н.С.1,3, Хабибуллин А.А.3, Инасаридзе Р.Я.4, Новичонок А.О.5
-
Affiliations:
- Институт космических исследований РАН
- Физический институт им. П. Н. Лебедева РАН
- НИУ “Высшая школа экономики”
- Грузинская национальная астрофизическая обсерватория им. Евгения Харадзе
- Петрозаводский государственный ун-т
- Issue: Vol 50, No 1 (2024)
- Pages: 7-28
- Section: Articles
- URL: https://ogarev-online.ru/0320-0108/article/view/266559
- DOI: https://doi.org/10.31857/S0320010824010012
- EDN: https://elibrary.ru/ORDQKU
- ID: 266559
Cite item
Full Text
Abstract
Представлены результаты исследования короткого гамма-всплеска GRB 231115A в рентгеновском и гамма-диапазонах по данным космических обсерваторий INTEGRAL и Fermi. Источник всплеска локализован телескопом IBIS/ISGRI обсерватории INTEGRAL с точностью ≤1.ʹ5, он находится в галактике Сигара (M 82). Проведены оперативные наблюдения области всплеска в оптическом диапазоне на 36-см телескопе в Китабе Международной сети телескопов ИПМ им. М. В. Келдыша РАН и на 70-см телескопе AS-32 Абастуманской астрофизической обсерватории. Оптическое излучение обнаружить не удалось. Близость родительской галактики (DL ~ 3.5 Мпк) существенно ограничивает энергетику события (Eiso ~ 1045 эрг) и позволяет интерпретировать его как гигантскую вспышку ранее неизвестного источника повторных мягких гамма-всплесков (Soft Gamma Repeater или SGR) – экстремального проявления активности нейтронной звезды со сверхсильным магнитным полем (магнитара). Данный вывод подтверждает нетипично жесткий для космологических гамма-всплесков энергетический спектр, а также отсутствие оптического послесвечения и гравитационно-волнового сигнала, который должен был бы быть зарегистрирован антеннами LIGO/Virgo/KAGRA, если бы вcплеск был вызван слиянием нейтронных звезд. Положение всплеска на диаграммах Ep,i – Eiso и T90,i – EH также свидетельствует о том, что GRB 231115A был гигантской вспышкой магнитара. Отметим, что это первая хорошо локализованная гигантская вспышка внегалактического SGR.
Full Text
ВВЕДЕНИЕ
Существование двух разных типов космических гамма-всплесков (GRBs) было впервые обнаружено в эксперименте КОНУС (Мазец и др., 1981) и в дальнейшем подтверждено наблюдениями прибора CGRO/BATSE (Кувелиоту и др., 1993) при анализе распределения всплесков по параметру длительности T90. Короткие всплески (длительностью менее 2 с) характеризуются более жестким спектром (с большей долей высокоэнергичного излучения) и менее выраженной спектральной эволюцией (задержкой низкоэнергичного излучения относительно высокоэнергичного) по сравнению со длинными всплесками (T90 2 с, например, Кувелиоту и др., 1993; Норрис и др., 2005; Минаев и др., 2010а, 2012, 2014). При этом распределения этих двух типов по длительности и спектральной жесткости, традиционно используемые для классификации всплесков, значительно перекрываются, оставляя актуальной вплоть до настоящего времени проблему классификации всплесков в области пересечения распределений (см., например, Дезалай и др., 1997; Минаев и др., 2010б; Минаев, Позаненко, 2017; Тарнопольский, 2019).
Считается, что короткие гамма-всплески (позднее обозначенные как всплески типа I) связаны со слиянием двух нейтронных звезд (Блинников и др., 1984; Пачинский, 1986; Межарос, Рис, 1992), что недавно было подтверждено регистрацией событий GRB/GW 170817 и GRB/GW 190425 гравитационно-волновыми детекторами LIGO/Virgo (Эбботт и др., 2017а, б; Позаненко и др., 2018, 2019). Некоторые всплески типа I сопровождаются дополнительной компонентой излучения с длительностью в десятки секунд и более мягким (по сравнению с основным эпизодом излучения) спектром – продленным излучением, природа которого до сих пор не выяснена (Коннатон, 2002; Джерелс и др., 2006; Россвог, 2007; Метцгер и др., 2008; Минаев и др., 2010а; Норрис и др., 2010; Барков, Позаненко, 2011).
Длинные гамма-всплески (типа II) считаются связанными с коллапсом ядра массивной звезды (Вусли, 1993; Пачинский, 1998; Межарос, 2006), некоторые из них, наиболее близкие к наблюдателю, сопровождаются вспышками сверхновых типа Ic (см., например, Галама и др., 1998; Пачинский, 1998; Кано и др., 2017; Вольнова и др., 2017; Белкин и др., 2020, 2024).
Существуют аномалии в соотнесении длительности гамма-всплесков и их типа, когда короткие гамма-всплески сопровождались вспышками сверхновых (например, GRB 200826A, Росси и др., 2022), или, наоборот, объективно длинный GRB 230307A был ассоциирован с килоновой (Леван и др., 2023). Таким образом, корректная классификация гамма-всплесков, наряду с определением красного смещения их родительских галактик, имеет важное значение для исследования их источников.
Короткие вспышки жесткого гамма-излучения характерны также для некоторых источников повторных мягких гамма-всплесков (SGR, Голенецкий и др., 1979; Мазец и др., 1979а) во время их экстремальной активности (так называемые гигантские вспышки, например, Мазец и др., 1979б, 2008; Томпсон, Дункан, 2001; Фредерикс и др., 2007). Кривая блеска гигантской вспышки состоит из короткого (доли секунды), жесткого и очень яркого основного эпизода, за которым может следовать длительное (сотни секунд) и значительно более слабое продленное излучение, характеризующееся периодичностью, связанной с вращением нейтронной звезды, в магнитосфере которой произошла гигантская вспышка. Все подтвержденные длительными наблюдениями источники мягких повторных гамма-всплесков находятся в Галактике, до сих пор гигантские вспышки были зарегистрированы от четырех из них. Однако основной короткий эпизод гигантской вспышки может быть зарегистрирован и из ближайших к нам галактик. Например, гигантская вспышка от SGR 1806-20 могла бы быть зарегистрирована на расстоянии 30–50 Мпк (Орли и др., 2005; Накар и др., 2005). Несколько кандидатов в гигантские вспышки SGR, возможно, произошедших в близких галактиках, были предложены на основе результатов триангуляции IPN (см., например, Фредерикс и др., 2007; Мазец и др., 2008).
Наблюдаемые свойства гигантских вспышек (временной профиль, жесткость и спектральная эволюция излучения) и их частота (до сих пор не было зарегистрировано повторных гигантских вспышек ни от одного известного SGR) во многом аналогичны свойствам космических гамма-всплесков типа I. Это вносит определенную сложность при классификации транзиентных гамма-событий (Мазец и др., 2008; Минаев, Позаненко, 2020б). Самым надежным методом выявления источников SGR является обнаружение периодичностей в хвосте их кривых блеска. Периодичность была найдена для многих галактических SGR, например: SGR 0520–66 (Мазец и др., 1979б), SGR 1806–20 (Мазец и др., 2005; Палмер и др., 2005), SGR 1900+14 (Мазец и др., 1999; Ферочи и др., 1999). Были найдены пульсации после нескольких коротких гамма-всплесков, зарегистрированных в эксперименте BATSE/CGRO, например, GRB 930905 (Позаненко и др., 2005) и GRB 970110 ( Крайдер, 2006), и эти гамма-всплески также могут рассматриваться как кандидаты в гигантские вспышки неотождествленных SGR. Источники мягких повторных гамма-всплесков, наиболее вероятно, связаны с магнитарами – одиночными нейтронными звездами со сверхсильными магнитными полями (B ≥ 1014 Гс). Невероятная мощность и физическая причина их гигантских вспышек остаются невыясненными (Дункан, Томпсон, 1992; Томпсон, Дункан, 1995; Кувелиоту и др., 1999).
Локализация короткого гамма-всплеска GRB 231115A с точностью лучше 2ʹ, выполненная в рамках оперативного (Quick Look) анализа телеметрических данных гамма-телескопа IBIS/ISGRI обсерватории INTEGRAL, надежно связывает его с близкой галактикой Сигара (М82) с активным звездообразованием (Бернс, 2023), что позволяет предположить это событие вызванным не слиянием пары нейтронных звезд, а гигантской вспышкой ранее неизвестного источника мягких повторных гамма-всплесков, находящегося в этой галактике (см., например, Д’Авансо и др., 2023а; Минаев, Позаненко, 2023б).
В работе представлены результаты наблюдений и анализа GRB 231115A в гамма-диапазоне по данным обсерваторий INTEGRAL и Fermi и собственных ранних оптических наблюдений области локализации с целью выяснения природы источника всплеска, в том числе с использованием классификации, основанной на корреляции параметров полной энергии Eiso, спектральной жесткости Ep,i (Амати и др., 2002) и длительности гамма-всплесков в системе источника T90,i, предложенной Минаевым, Позаненко (2020а, б).
РЕГИСТРАЦИЯ GRB 231115A И РАННИЕ НАБЛЮДЕНИЯ
Всплеск GRB 231115A длительностью около 0.1 с и жестким спектром изучения, что характерно как для гамма-всплесков типа I (коротких), так и для гигантских вспышек магнитаров (SGRs), был зарегистрирован 15 ноября 2023 г. в 15h36m21.s20 UT космическими гамма-детекторами: Fermi/GBM (Далесси и др., 2023), INTEGRAL/IBIS/ISGRI (Мерегетти и др., 2023), KONUS-Wind (Фредерикс и др., 2023), Glowbug (Чеунг и др., 2023), Insight-HXMT/HE (Ксю и др., 2023), Swift/BAT (Рончини и др., 2023).
Всплеск был зарегистрирован в поле зрения телескопа IBIS/ISGRI, благодаря этому его положение было определено с точностью лучше 2ʹ, что позволило установить родительскую галактику – M82 (Д’Авансо и др., 2023а; Бернс, 2023; Мерегетти и др., 2023). Высокая точность локализации инициировала поиск возможного излучения в других диапазонах энергии. Попытки наблюдения оптического послесвечения, предпринятые множеством научных групп на разных телескопах, не увенчались успехом (Липунов и др., 2023а, б; Балануца и др., 2023; Искандар и др., 2023; Чен и др., 2023; Жианг и др., 2023; Хаяцу и др., 2023; Перли и др., 2023; Д’Авансо и др., 2023; Турпин и др., 2023; Ан и др., 2023; Ху и др., 2023). Оптический кандидат, обнаруженный на 0.7-м телескопе GROWTH-India (Кумар и др., 2023а), после более глубокого анализа оказался артефактом (Кумар и др., 2023б).
Рентгеновские телескопы Swift/XRT и NuSTAR не обнаружили следов рентгеновского послесвечения спустя соответственно 2.5 и 4 часа после триггера (Осборн и др., 2023; Грефенстетте, Брайтман, 2023). В эксперименте MAGIC получен верхний предел на поток гамма-излучения в диапазоне выше 250 ГэВ спустя 8 часов после всплеска (Коллаборация MAGIC, 2023). Радиотелескоп CHIME/FRB также не смог обнаружить от источника какой-либо активности, например, вспышки, похожей на быстрый радиовсплеск (FRB) в диапазоне 400–800 МГц (Картин, 2023).
Наконец, гравитационно-волновые детекторы LIGO/Virgo/KAGRA не зарегистрировали сигнал, который должен был бы сопровождать слияние двух нейтронных звезд, если бы зарегистрированный всплеск действительно относился к коротким гамма-всплескам, вызванным такими слияниями (Коллаборация LIGO и др., 2023). Не обнаружен и нейтринный сигнал в эксперименте IceCube (Коллаборация IceCube, 2023).
АНАЛИЗ ДАННЫХ ОБСЕРВАТОРИИ INTEGRAL
Международная астрофизическая лаборатория гамма-лучей INTEGRAL (Винклер и др., 2003; Куулкерс и др., 2021) работает на высокоапогейной орбите уже 22-й год. На борту находятся несколько широкоугольных телескопов с кодирующей апертурой, способных строить изображение неба и проводить полноценный анализ энергетических спектров и переменности излучения разнообразных космических источников: гамма-телескоп IBIS с двумя детекторами: ISGRI (Лебран и др., 2003), чувствительным в диапазоне 20–400 кэВ, и PICsIT (Лабанти и др., 2003), чувствительным в диапазоне 200 кэВ – 10 МэВ, гамма-спектрометр SPI (Ведренн и др., 2003) с охлаждаемыми германиевыми детекторами, чувствительный в диапазоне 20 кэВ – 8 МэВ, и два рентгеновских телескопа JEM-X (Лунд и др., 2003), чувствительных в диапазоне 4–30 кэВ. Отметим также антисовпадательную защиту ACS гамма-спектрометра SPI (Рау и др., 2005), работающую как всенаправленный детектор большой площади в диапазоне 85 кэВ – 10 МэВ и записывающую темп счета фотонов с временным разрешением 50 мс.
Всплеск был зарегистрирован во время плановых наблюдений поля галактики M 81, проводимых по заявке AO-20 # 2020020 (рук. И. А. Мереминский). Сразу после обнаружения всплеска данные всех инструментов во временном интервале, начиная с 3 часов до всплеска и вплоть до 24 часов после него, были переданы авторам настоящей работы в рамках заявки AO-20 # 2040014 (рук. П. Ю. Минаев) для детального анализа и всестороннего исследования всплеска.
Временной профиль всплеска
Всплеск GRB 231115А попал в поле зрения основных телескопов обсерватории, что позволило его оперативно обнаружить и исследовать с помощью автоматической системы IBAS, осуществляющей быстрый анализ данных телескопа IBIS/ISGRI и распространяющей оповещения о локализованных гамма-всплесках через систему GRB Coordinate Network (Мерегетти и др., 2023).
На рис. 1 приведены временные профили всплеска, полученные детектором IBIS/ISGRI в четырех разных диапазонах энергий (записи скорости счета с разрешением 5 мс). Время отсчитывается от времени триггера события монитором Fermi/GBM (Далесси и др., 2023), скорректированного на 0.47 с временной задержки из-за большой удаленности спутника INTEGRAL от Земли в момент всплеска. Видно, что всплеск жесткий (отчетливо наблюдается до 500 кэВ), на энергиях >80 кэВ имеет временной профиль по форме близкий к профилю FRED (быстрый подъем – экспонециальный спад) с длительностью менее 120 мс, что позволяет отнести его к всплескам типа I (коротким) или гигантским вспышкам ранее неизвестного магнитара. В то же время видно, что максимальное число фотонов было зарегистрировано в наиболее мягком диапазоне IBIS/ISGRI (≤80 кэВ). Профиль всплеска в этом диапазоне меняется, становится тумбообразным с широкой (∆T ~ 60 мс) вершиной, возможно, из-за суперпозиции последовательности нескольких коротких вспышек.
Рис. 1. Временной профиль всплеска GRB 231115A по данным телескопа IBIS/ISGRI обсерватории INTEGRAL в четырех диапазонах энергий с разрешением 5 мс.
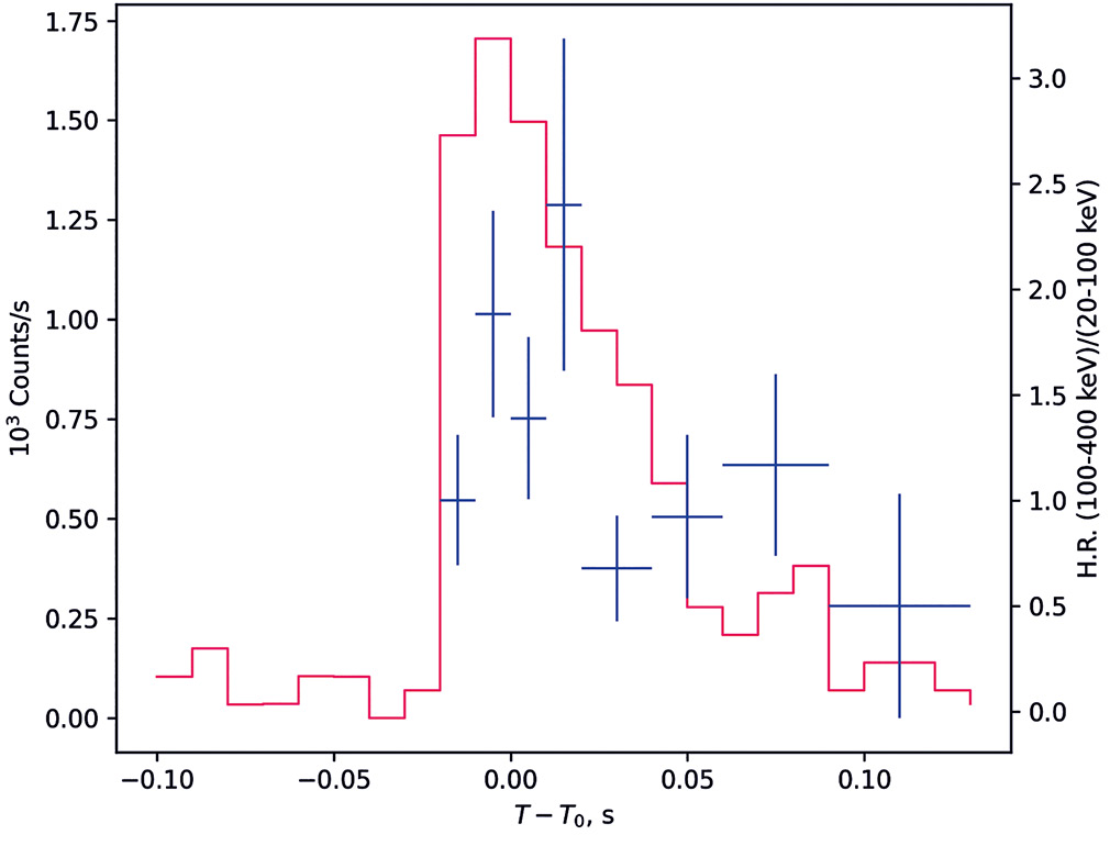
Это подтверждается и эволюцией жесткости излучения GRB 231115A, приведенной на рис. 2. Жесткость излучения (синие кресты, правая шкала) определена как отношение числа фотонов, зарегистрированных телескопом IBIS/ISGRI в диапазонах 100–400 и 20–100 кэВ. Для сравнения красной линией показан временной профиль всплеска в широком 20–400 кэВ диапазоне (учтены только фотоны, вероятность ассоциации которых со всплеском составляет более 20%). Видно, что наиболее жесткое излучение было зарегистрировано в первые ~40 мс длительности всплеска, причем все это время жесткость плавно росла. Ее среднее значение HR = 1.55 ± 0.22. В последующие ~80 мс жесткость излучения значимо (на уровне 3.9σ) уменьшилась в 1.9 раз до значения HR = 0.80 ± 0.17. Падение жесткости излучения к концу события наблюдается у многих гамма-всплесков. У гигантских вспышек магнитаров эволюция жесткости исследована плохо из-за их исключительной яркости, приводящей к переполнению большинства приборов.
Рис. 2. Эволюция жесткости излучения GRB 231115A – отношения числа фотонов, зарегистрированных телескопом IBIS/ISGRI в диапазонах 100–400 и 20–100 кэВ (синие кресты, шкала справа). Красной линией для сравнения показан профиль всплеска с разрешением 10 мс в широком диапазоне энергий 20–400 кэВ (нормировка приведена на левой шкале). Видно, что в первые ~40 мс всплеска жесткость его излучения нарастала и была в среднем в 1.5–2 раза выше, чем в последующие ~80 мс.
Всплеск был зарегистрирован и другими приборами на борту обсерватории INTEGRAL. На рис. 3 приведены его временные профили, полученные по данным гамма-телескопов SPI, IBIS/PICsIT, SPI-ACS в сравнении с интегральным (в диапазоне 25–400 кэВ) профилем, полученным телескопом IBIS/ISGRI. Видно, что всплеск уверенно регистрируется до 500 кэВ и выше. Профили во многом (с точностью до статистических ошибок) повторяют друг друга. Отметим, что слегка перекошенная форма профиля всплеска, измеренная детектором SPI/ACS, может быть объяснена тем, что первый временной бин в записи скорости счета фотонов во время всплеска начался заметно раньше всплеска, что понизило измеренное в бине суммарное число фотонов. Источник не был зарегистрирован рентгеновскими телескопами JEM-X, хотя находился всего в 3.°8 от центра поля зрения этих телескопов, в области их достаточно высокой чувствительности. Верхний предел на рентгеновский поток от всплеска в диапазоне 3–20 кэВ (на уровне 1σ), полученный по данным двух телескопов JEM-X в предположении длительности события в этом диапазоне энергий 50 мс, составляет 1.9 Краб, что соответствует потоку излучения 4.7 × 10–8 эрг с–1 см–2.
Рис. 3. Временной профиль всплеска GRB 231115A по данным четырех приборов обсерватории INTEGRAL: телескопов IBIS/ISGRI (25–400 кэВ) и IBIS/PICsIT (0.2–10 МэВ), гамма-спектрометра SPI (20–500 кэВ) и его защиты SPI-ACS (>85 кэВ). Временное разрешение 5 мс, кроме профиля, полученного детектором SPI-ACS с предельным разрешением 50 мс.
Локализация
Важнейшим результатом стала локализация GRB 231115A. Первое сообщение о координатах нового всплеска было оперативно распространено автоматической системой IBAS (Д’Авансо и др., 2023а; Бернс, 2023; Мерегетти и др., 2023), что позволило быстро начать его наблюдения оптическими и радио телескопами по всему миру. На рис. 4 показано изображение неба в поле зрения телескопа IBIS/ISGRI размером 29° × 29°, накопленное нами в течение 120 мс длительности всплеска в диапазоне энергий 20–400 кэВ. За столь короткое время в поле на значимом уровне (отношения сигнала к шуму S/N ~ 10.5) был зарегистрирован лишь сам всплеск. Но главное – рисунок ясно показывает, что всплеск произошел в близкой, хорошо известной галактике М82 (Сигара), расположенной на расстоянии DL = 3.5 Мпк. Координаты источника R.A. = 09h55m59.s82, Decl. = +69° 41ʹ02.ʺ40 (148.997°, +69.684°; эпоха 2000.0, неопределенность 1.ʹ5). На рис. 5 показаны контуры, соответствующие разным уровням отношения S/N для источника всплеска на этом изображении, наложенные на оптическое (в фильтре R) изображение галактики M82, полученное нами на 70-см телескопе AS-32 Абастуманской астрофизической обсерватории (через 10.7 часов после всплеска). Видно, что центр локализации попадает на диск галактики, не оставляя никаких сомнений в том, что она является родительской для GRB 231115A. В поле зрения телескопа находилось еще несколько известных внегалактических рентгеновских источников, в том числе ультраяркие источники в галактиках M81 и M82, ни один из них за столь короткую экспозицию на изображении не проявился и, очевидно, не мог внести вклада во временной профиль всплеска.
Рис. 4. Рентгеновское изображение неба (карта отношения S/N) в поле зрения телескопа IBIS/ISGRI обсерватории INTEGRAL, полученное во время гамма-всплеска GRB 231115A. Размер 29° × 29°, экспозиция 120 мс, диапазон энергий 20–400 кэВ. Обозначены известные в поле источники постоянного излучения. GRB 231115A – единственный, достоверно зарегистрированный источник (S/N ~ 10.5), совпадает по положению с галактикой M82 (на карте – с положением ультраяркого рентгеновского источника M82 X-1, расположенного в ее центральной области).
Рис. 5. Изображение области локализации всплеска GRB 231115A, полученное на 70-см телескопе AS-32 Абастуманской астрофизической обсерватории (спустя 10.7 часов после всплеска). Зеленые ромбы показывают контуры локализации всплеска на рентгеновской карте отношения S/N, полученной телескопом IBIS/ISGRI обсерватории INTEGRAL, третий контур от центра соответствует 90% уровню значимости (неопределенность 1.ʹ5). Кружки – два предложенных оптических кандидата (Ху и др., 2023, см. текст). Видно, что на самом деле источник всплеска с большой вероятностью расположен в ярком диске галактики M82, где его трудно выявить, а предложенные кандидаты выбраны в областях пониженной яркости на краю области локализации.
Спектр излучения
На рис. 6 показан спектр излучения νFν(ν) гамма-всплеска GRB 231115A, полученный по данным телескопа IBIS/ISGRI в диапазоне 20–400 кэВ. Спектр накоплен за все время события. Видно, что он очень жесткий, энергия, содержащаяся в излучении, растет с увеличением энергии фотонов. Попытка аппроксимации спектра с помощью простых однокомпонентных моделей powerlaw (PL), cutoffpl (CPL) или bbodyrad (BBR) оказалась не слишком успешной, что подтверждает визуальное впечатление о наличии в спектре двух компонент – мягкой и жесткой. При аппроксимации использовался пакет XSPEC, разработанный в NASA/HEASARC (Арно и др., 1996). Результаты аппроксимации (значения параметров и потоки излучения) сведены в табл. 1. Чуть лучшую аппроксимацию дает модель CPL:
(1)
где Iν – фотонный спектр излучения, α – фотонный индекс и Ec – характерная энергия завала на высоких энергиях. Отметим, что средний фотонный индекс всплеска (по модели PL) α ~ 0.46, а значит спектральный индекс излучения (= α – 1) отрицательный и спектральная плотность излучения растет с энергией. Отметим также, что экспоненциальный завал в спектре на высоких энергиях по данным телескопа IBIS/ISGRI, на самом деле, не слишком достоверен. В частности, энергия завала E ~ 330 кэВ, полученная при аппроксимации спектра моделью CPL, была определена с большими ошибками, а поэтому затем была зафиксирована и как свободный параметр не использовалась. Благодаря точному знанию родительской галактики всплеска (M 82) и болометрического расстояния до нее (DL = 3.5 Мпк), можно определить среднюю светимость источника всплеска в диапазоне 20–400 кэВ LX ~ 2.9×1045 эрг с–1.
Рис. 6. Усредненный по полной длительности (~120 мс) спектр излучения νFν всплеска GRB 231115A по данным телескопа IBIS/ISGRI обсерватории INTEGRAL (в диапазоне 20–400 кэВ). Сплошной линией показан результат наилучшей аппроксимации моделью BBR+CPL, штриховыми линиями – отдельные компоненты модели.
Таблица 1. Результаты анализа интегрального спектра GRB 231115A в диапазоне 20–400 кэВ по данным телескопа IBIS/ISGRI
Модель | χ2/Nа | A | αб | kTbb, Eсд, кэВ | Потокe, 10–6 эрг с–1 см–2 |
PL | 30.6/29 | 1.97 ± 0.26в | 0.46 ± 0.03 | – | 1.72 ± 0.23 |
BBR | 31.1/29 | 22.2 ± 1.48г | 91 ± 5 | 1.99 ± 0.27 | |
CPL | 29.8/28 | 2.91 ± 0.38в | –0.07 ± 0.03 | 328 | 1.92 ± 0.24 |
BBR | 26.6/27 | 17.6 ± 1.3г | – | 106 ± 7 | 1.92 ± 0.29 |
+ | |||||
BBR | 170 ± 35г | – | 14.1 ± 1.6 | 0.09 ± 0.04 | |
CPL | 24.9/26 | 4.91 ± 0.77в | –2.50 ± 0.03 | 78 ± 5 | 2.01 ± 0.31 |
+ | |||||
BBR | 123 ± 19г | – | 15.2 ± 1.3 | 0.13 ± 0.04 |
а – Минимальное значение χ2 и число степеней свободы N.
б – Фотонный индекс степенной компоненты I100 (E/100 кэВ)–α.
в – Нормировка этой компоненты I100 на 100 кэВ [10–2 фот с–1 см–2 кэВ–1].
г – Радиус излучающей поверхности Rbb [км] на расстоянии DL = 3.5 Мпк.
д – Температура kTbb или энергия экспоненциального завала Ec.
е – Поток излучения в диапазоне 20–400 кэВ.
Более успешно спектр всплеска был аппроксимирован двухкомпонентными моделями BBR+BBR и BBR+CPL. Как видно из табл. 1, в обоих случаях мягкая компонента излучения может быть описана спектром чернотельного излучения с температурой kTbb ~ 15 кэВ и радиусом излучающей поверхности Rbb ~ 170 км. Отметим, что величина Rbb намного превосходит радиус типичной нейтронной звезды Rns ~ 12 км, да и значение температуры kTbb почти на порядок величины превосходит эддингтоновскую температуру для нейтронной звезды (если наблюдалась действительно вспышка магнитара), следовательно чернотельная фотосфера с такой температурой должна интенсивно оттекать. Очевидно, что использование чернотельного спектра для описания мягкой компоненты излучения всплеска физически не оправдано, а применялось нами для простоты и удобства. Если эта компонента действительно связана с раздувшейся фотосферой нейтронной звезды, ее спектр должен был формироваться в результате комптонизации и иметь виновскую форму. Отметим, что спектральный индекс жесткой степенной компоненты излучения (в модели CPL) отрицательный, а следовательно спектр излучения очень круто растет в сторону высоких энергий. В использованной нормировке νFν(ν) из рисунка сразу видно, что основная энергия излучения приходится на самую жесткую часть спектра – содержится в фотонах с энергиями hν >300 кэВ.
АНАЛИЗ ДАННЫХ МОНИТОРА FERMI/GBM
Монитор гамма-всплесков (GBM), размещенный на борту обсерватории {\sl Fermi}, состоит из 12 сцинтилляционных детекторов NaI, чувствительных в диапазоне 8–1000 кэВ, и 2 сцинтилляционных детекторов BGO, чувствительных в диапазоне 0.2–40 МэВ. Он предназначен для регистрации и детального изучения гамма-всплесков (Миган и др., 2009; Пацейсас и др., 2012).
Источником исходных данных монитора Fermi/GBM в работе является общедоступный FTP-архив (legacy.gsfc.nasa.gov/fermi/data/). В качестве нуля на временной шкале используется момент срабатывания триггера прибора Fermi/GBM: 15 ноября 2023 г. в 15h36m21.s20 UT.
Структура кривой блеска
Анализ кривых блеска проведен по пособытийным (TTE) данным наиболее освещенных детекторов NaI_06 – NaI_09, NaI_11, BGO_01 эксперимента Fermi/GBM. Кривая блеска в трех каналах, охватывающих энергетический диапазон 10–850 кэВ, представлена на рис. 7. Параметр длительности T90 – промежуток времени, за который детектор регистрирует 90% полного числа отсчетов (см., например, Кошут и др., 1996), для GRB 231115A составляет T90 = 65 ± 1 мс, что характерно как для гигантских вспышек SGRs, так и для коротких гамма-всплесков.
Рис. 7. Кривые блеска GRB 231115A по данным эксперимента Fermi/GBM с временным разрешением 2 мс, в диапазоне 200–850 кэВ – по данным детекторов NaI_06 – NaI_09, NaI_11, BGO_01, в диапазонах 10–70 и 70–200 кэВ – по данным детекторов NaI_06 – NaI_09, NaI_11. По горизонтальной оси отложено время относительно триггера Fermi/GBM в секундах, по вертикальной – количество отсчетов в бине. Границы энергетических каналов указаны на легенде. Штриховой линией показан уровень фона.
На рис. 7 видно, что форма кривой блеска GRB 231115A меняется в зависимости от энергетического диапазона – всплеск наиболее короткий в мягком диапазоне 10–70 кэВ, а наиболее долгий – в среднем 70–200 кэВ, что нетипично для гамма-всплесков, длительность которых обычно падает с ростом энергии степенным образом (Фенимор и др., 1995) 1. Вероятно, кривая блеска состоит из двух эпизодов излучения: главного (временной интервал от –0.02 до 0.01 с) и второстепенного (интервал от 0.01 до 0.05 с), различающихся формой энергетического спектра (см. следующий раздел).
Минимальный масштаб переменности, определенный как минимальный временной интервал, в течение которого энергетический поток от источника изменяется более чем на 3 стандартных отклонения по сравнению с соседними интервалами, наблюдается в середине основного эпизода (момент времени T = –0.006 с) и составляет ~2 мс. Однако это не может быть индикатором вспышки именно SGR, так как такого рода быстрая переменность наблюдается также и у многих гамма-всплесков (Митрофанов и др., 1990).
Галактические гигантские вспышки SGRs также характеризуются длительным (до нескольких сотен секунд) продленным излучением с детектируемым периодическим сигналом. Относительный вклад продленного излучения в общую энергетику явления варьируется в широких пределах от 1 до 30% (Мазец и др., 2008). В данных монитора Fermi/GBM для события GRB 231115A мы не обнаружили значимого продленного излучения как в широком энергетическом диапазоне 10–850 кэВ, так и в более узких энергетических каналах 10–70, 70–200 и 200–850 кэВ. Верхний предел (на уровне трех стандартных отклонений) на интегральный по времени поток от продленного излучения на шкале 50 с в диапазоне 10–850 кэВ превышает поток от GRB 231115A почти в три раза. Таким образом, отсутствие регистрации продленного излучения не может служить причиной для отказа от ассоциации GRB 231115A с гигантской вспышкой ранее неизвестного SGR.
Спектральная эволюция
Космические гамма-всплески характеризуются спектральной эволюцией, которая может проявляться как относительное смещение (задержка) профилей кривых блеска в разных диапазонах энергии. Задержка считается положительной, если жесткое излучение “опережает” мягкое, и определяется либо с помощью кросс-корреляционного анализа кривых блеска (Минаев и др., 2014), либо как смещение положения максимума кривой блеска (Хаккила, Прис, 2011). Именно положительной задержкой характеризуются элементарные структуры (импульсы) кривой блеска гамма-всплесков, в то время как отрицательная задержка, наблюдающаяся в некоторых случаях, может быть следствием эффекта суперпозиции и возникать при анализе всплесков со сложной, многоимпульсной структурой кривой блеска, поскольку отдельные импульсы обладают уникальными свойствами (Минаев и др., 2014).
В работе для исследования спектральной эволюции мы использовали кросс-корреляционный метод, описанный в работе (Минаев и др., 2014). Для этого сформированы кривые блеска с временным разрешением 1 мс в семи различных энергетических каналах, охватывающих энергетический диапазон 10–1000 кэВ. Кривые блеска по данным детекторов NaI_06 – NaI_09, NaI_11 суммировались, а кривая блеска, построенная по данным детектора BGO_01, исследовалась отдельно. В качестве опорной кривой блеска, относительно которой проводилась кросс-корреляция кривых блеска в остальных каналах, выбрана кривая в канале 120–220 кэВ, сформированная по данным детекторов NaI_06 – NaI_09, NaI_11.
Кросс-корреляционный анализ не выявил значимой спектральной эволюции, в отличие от GRB 200415A, также, по-видимому, гигантской вспышки магнитара (Минаев, Позаненко, 2020б). На первый взгляд полученные результаты противоречат поведению кривых блеска на рис. 7, из которого явно следует эволюция энергетического спектра со временем – профиль импульса на кривой блеска в мягком диапазоне 10–70 кэВ заметно уже и заканчивается раньше импульсов в среднем (70–200 кэВ) и жестком (200–850 кэВ) диапазонах, что подразумевает отрицательную спектральную задержку. Однако кросс-корреляционный анализ выявляет главным образом смещение кривых блеска в области их максимума, которое в данном случае отсутствует. Отсутствие значимой спектральной задержки вероятно связано со сложной структурой кривой блеска и эффектом суперпозиции (Минаев и др., 2014).
Мы также исследовали эволюцию жесткости излучения всплеска от времени по данным Fermi/GBM, определив жесткость излучения как отношение потоков, выраженных в инструментальных отсчетах за вычетом фона, в энергетических каналах 200–850 кэВ и 30–200 кэВ. На рис. 8 показана соответствующая зависимость спектральной жесткости от времени. Зависимость в целом повторяет профиль кривой блеска всплеска – быстро нарастает, какое-то время в течение основного яркого эпизода остается высокой, и затем падает. Рисунок подтверждает эволюцию жесткости спектра, найденную по данным телескопа IBIS/ISGRI обсерватории INTEGRAL (рис. 2, отметим, что при расчете жесткости здесь использовались немного отличные энергетические каналы). Подобное поведение иногда наблюдается у гамма-всплесков со сложной структурой кривой блеска (Гупта и др., 2021), поэтому исходя из вида этой зависимости однозначно классифицировать данное событие как гигантскую вспышку магнитара нельзя.
Рис 8. Эволюция жесткости излучения GRB 231115A по данным Fermi/GBM со временем (красные точки). Жесткость определяется как отношение числа отсчетов, зарегистрированных в диапазоне 200–850 кэВ, к отсчетам в диапазоне 30–200 кэВ. Для сравнения черной линией показана кривая блеска GRB 231115A с временным разрешением 1 мс в диапазоне 30–850 кэВ (по данным детекторов NaI_06 – NaI_09, NaI_11, BGO_01 Fermi/GBM). По горизонтальной оси – время относительно триггера GBM/Fermi в секундах, по вертикальной левой оси – количество отсчетов в бине кривой блеска, по вертикальной правой оси – значение спектральной жесткости.
Спектр излучения
Для восстановления и аппроксимации спектров излучения в данной работе использовался программный пакет RMfit v4.3.2, специально разработанный для анализа данных монитора GBM обсерватории Fermi (fermi.gsfc.nasa.gov/ssc/data/analysis/rmfit/). Методика спектрального анализа аналогична предложенной Грубером и др. (2014). Энергетические спектры анализировались по данным детекторов NaI_06, NaI_07, NaI_11 и BGO_01 эксперимента Fermi/GBM.
Мы исследовали энергетический спектр νFν GRB 231115A в трех временных интервалах: интервал (–0.02 с, 0.05 с) соответствует интегральному спектру, (–0.02 с, 0.00 с) – главному эпизоду излучения, (0.00 с, 0.05 с) – второстепенному. Энергетический спектр во всех исследованных временных интервалах неудовлетворительно описывается тепловой моделью чернотельного излучения bbody (BB), оптимальная модель – степенная с экспоненциальным завалом cutoffpl (CPL, см. уравнение (1)).
Хотя чуть лучшее согласие с данными дает комбинация двух тепловых моделей (2 BB), наблюдаемая разница в значении статистического функционала CSTAT не позволяет отвергнуть модель CPL, имеющую на одну степень свободы меньше. Результаты спектрального анализа с использованием моделей BB, CPL, 2 BB представлены в табл. 2.
Таблица 2. Результаты спектрального анализа излучения GRB 231115A по данным Fermi/GBM
∆T,a мс | Модель | CSTAT/dof | A, см–2 с–1 кэВ–1 | αб | Ep, kTbb в кэВ | Поток,г 10–7 эрг см–2 |
(–20, 50) | BB | 485/412 | (3.33)×10–6 | – | 135 ± 8 | 7.50 ± 0.50 |
CPL | 471/411 | (6.27)×10–2 | –0.34 ± 0.20 | 637 | 7.25 ± 0.46 | |
2BB | 466/410 | (4.6)×10–5 | – | 36 | 7.55 ± 0.50 | |
(1.62)×10–6 | – | 162 | ||||
(–20, 0) | BB | 435/412 | (6.3)×10–6 | – | 132 ± 10 | 3.71 ± 0.32 |
CPL | 423/411 | (1.18)×10–1 | –0.20 ± 0.23 | 631 | 3.50 ± 0.30 | |
2BB | 419/410 | (1.56)×10–4 | – | 29 | 3.72 ± 0.32 | |
(3.2)×10–4 | – | 156 | ||||
(0, 50) | BB | 438/412 | (2.22)×10–4 | – | 137 ± 13 | 3.82 ± 0.38 |
CPL | 433/411 | (4.17)×10–2 | –0.47 ± 0.31 | 635 | 3.74 ± 0.35 | |
2BB | 432/410 | (1.7)×10–5 | – | 44 | 3.85 ± 0.38 | |
(9.9)×10–7 | – | 168 |
а – Временной интервал относительно триггера Fermi/GBM.
б – Фотонный индекс жесткой степенной компоненты.
в – Энергия спектрального пика Ep = Ec (2–α), где Ec – энергия экспоненциального завала из уравнения (١) или kTbb для моделей BB и 2BB.
г – Интегральный по времени поток излучения в диапазоне 10–1000 кэВ.
Энергетический спектр излучения νFν во всех случаях имеет значение фотонного индекса α ~ –0.3 с энергией спектрального пика Ep ~ 630 кэВ (табл. 2). Данное значение a нетипично для коротких гамма-всплесков, которые в среднем характеризуются более быстро спадающим спектром со значением α ~ 0.7 (см., например, Берджес и др., 2019). Подобное значение спектрального индекса наблюдалось ранее и у других гигантских вспышек SGR (Минаев, Позаненко, 2020б). На рис. 9 в качестве примера представлен интегральный спектр излучения всплеска во временном интервале (–0.02 с, 0.05 с), аппроксимированный с помощью моделей CPL и 2 BB.
Рис. 9. Спектр излучения νFν всплеска GRB 231115A по данным Fermi/GBM во временном интервале (–0.02 с, 0.05 с) относительно времени триггера: вверху – аппроксимированный степенной моделью с экспоненциальным завалом (CPL), внизу – аппроксимированный суммой двух моделей чернотельного излучения (2 BB). На верхних панелях – спектр, полученный по данным детекторов NaI_06, NaI_07, NaI_11, BGO_01 эксперимента Fermi/GBM. На нижних панелях – отклонение спектральной модели от экспериментальных данных, выраженное в единицах стандартных отклонений.
Спектральный анализ двух эпизодов GRB 231115A, выделенных при анализе кривых блеска, не выявил существенных различий в параметрах спектральных моделей. В рамках CPL модели фотонный индекс a второстепенного эпизода незначительно больше при неизменном положении экспоненциального завала (Ep ~ 630 кэВ), что может объяснять относительный недостаток мягкого излучения во второстепенном эпизоде.
Мы оценили изотропный эквивалент полной энергии Eiso в предположении ассоциации источника с галактикой M82 (DL = 3.5 Мпк) в энергетическом диапазоне 1–10 000 кэВ, проведя экстраполяцию модельного спектра CPL, полученного в диапазоне 7–3000 кэВ. Он составляет Eiso = (1.28 ± 0.14) × 1045 эрг. Аналогичным образом вычисленная пиковая светимость во временном интервале (–0.02 с, 0.0 с) составляет Liso = (3.09 ± 0.44) × 1046 эрг с–1.
Для тепловой модели чернотельного излучения (BB) можно оценить радиус излучающей области, используя значение пиковой светимости Liso = 3.09 × 1046 эрг с–1 и закон Стефана–Больцмана для излучения с температурой kTbb = 132 кэВ. Полученный радиус Rbb ~ 27 км по порядку величины соответствует размерам магнитосферы нейтронной звезды.
ПОПУЛЯЦИОННЫЙ АНАЛИЗ ВСПЛЕСКА
Интересно сравнить полученные значения длительности и энергетики всплеска GRB 231115A с параметрами других транзиентных гамма-явлений.
Корреляция Ep,i – Eiso
В работе (Минаев, Позаненко, 2020а) было показано, что корреляция между изотропным эквивалентом полной энергии, излученной в гамма-диапазоне, Eiso и положением экстремума в энергетическом спектре νFν в системе источника всплеска, Ep,i (формула (2), Голенецкий и др., 1983; Амати и др., 2002), может быть эффективно использована для классификации гамма-всплесков.
Этому способствует тот наблюдательный факт, что данная корреляция для различных типов гамма-всплесков описывается степенным законом с единым показателем степени a ~ 0.4, при этом область корреляции гамма-всплесков типа I находится выше области корреляции всплесков типа II. В дальнейшем, в работе (Минаев, Позаненко, 2020б) были дополнительно рассмотрены известные гигантские вспышки источников SGR, и оказалось, что они также подчиняются аналогичной корреляции с показателем степени a ~ 0.3 и занимают изолированное положение на диаграмме Ep,i – Eiso. Это дало возможность включить их в систему классификации, предложенную Минаевым, Позаненко (2020а).
(2)
Для исследования положения GRB 231115A на диаграмме Ep,i – Eiso использовалась выборка из 316 гамма-всплесков и 7 гигантских вспышек магнитаров, а также результаты анализа корреляции Ep,i – Eiso для этой выборки, опубликованные в работах (Минаев, Позаненко, 2020а, б, 2021). Соответствующая диаграмма Ep,i – Eiso представлена на рис. 10. Очевидно, что положение GRB 231115A на диаграмме позволяет однозначно классифицировать его как гигантскую вспышку магнитара. На рисунке также показана траектория источника на диаграмме в зависимости от его красного смещения. Событие может быть классифицировано как короткий гамма-всплеск, начиная с красного смещения z = 0.12 (точка пересечения траектории с границей области корреляции коротких гамма-всплесков).
Рис. 10. Корреляция Ep,i – Eiso для гамма-всплесков типа I (синие квадраты), типа II (красные кружки) и гигантских вспышек SGR (розовые незаполненные квадраты) с соответствующими результатами аппроксимации, в том числе 2σcor областями корреляции, показанных соответствующими цветами. Черной кривой показана траектория GRB 231115A в зависимости от красного смещения, положение для DL = 3.5 Мпк и z = 0.12 отмечено незаполненными черными кружками.
Диаграмма T90,i – EH
Для решения задачи классификации гамма-всплесков в работе (Минаев, Позаненко, 2020а) был предложен еще один метод, использующий помимо особенностей корреляции Ep,i – Eiso бимодальность распределения гамма-всплесков по длительности в системе отсчета источника T90,i. Для этой цели был введен параметр EH (формула (3)), характеризующий положение гамма-всплеска на диаграмме Ep,i – Eiso:
(3)
На рис. 11 представлена диаграмма T90,i – EH для 316 гамма-всплесков и 7 гигантских вспышек магнитаров из работ (Минаев, Позаненко, 2020а, б, 2021). Гамма-всплески типа I по сравнению с гамма-всплесками типа II обладают большей жесткостью спектра Ep,i при меньшем значении полной энергии Eiso и, как следствие, большим значением параметра EH, и при этом имеют меньшую длительность T90,i. Гигантские вспышки SGR имеют ту же длительность, что и гамма-всплески типа I, но гораздо меньшую энергетику при сходной жесткости спектра, что проявляется в большом значении параметра EH. Таким образом, диаграмму T90,i – EH также можно использовать не только для классификации гамма-всплесков, но и для отделения гигантских вспышек SGR от гамма-всплесков типа I. Всплеск GRB 231115A однозначно классифицируется как гигантская вспышка SGR, находясь в непосредственной близости от соответствующего кластера событий (параметр EH = 1450). На рисунке также показана траектория на диаграмме в зависимости от красного смещения источника. Событие может быть классифицировано как короткий гамма-всплеск в интервале красных смещений от z = 0.11 до z = 1.8 (точки пересечения траектории с границами области кластера коротких гамма-всплесков).
Рис. 11. Диаграмма T90,i – EH для гамма-всплесков типа I (синие квадраты), типа II (красные кружки) и гигантских вспышек SGR (розовые незаполненные квадраты) с соответствующими результатами кластерного анализа, 1σcor и 2σcor области кластера показаны жирными сплошными и тонкими штриховыми кривыми соответствующих цветов. Черной кривой показана траектория GRB 231115A в зависимости от красного смещения. Положение для DL = 3.5 Мпк, а также положения на траектории для ассоциации источника с короткими гамма-всплесками z = 0.11 и z = 1.8 отмечены незаполненными черными кружками.
НАБЛЮДЕНИЯ В ОПТИЧЕСКОМ ДИАПАЗОНЕ
Среди оптических наблюдательных сетей, первым на оповещение о регистрации GRB 231115A от Fermi/GBM (Далесси и др., 2023) откликнулся обзорный телескоп GROWTH-India, который начал наблюдения области локализации с 2023-11-15 16h47m58.s140 UT. Кумар и др. (2023а) сообщили об обнаружении кандидата AT 2023xvj в оптическое послесвечение GRB 231115A в крыле галактики M82 через 1.19 часа после триггера Fermi/GMB. На момент обнаружения источник имел координаты R.A. = 09h56m00.s2 ± 0.ʺ6, Decl. = 69°40ʹ29.ʺ2 ± 0.ʺ6 (эпоха J2000) и блеском ~19.2 mag в фотометрической полосе rʹ. Независимо от GROWTH-India, оптические наблюдения с целью поиска оптического компонента GRB 231115A проводились и многими другими инструментами (см. раздел Наблюдения). Однако, источник, объявленный в циркуляре Кумара и др. (2023а), так и не был найден. Позднее Кумар и др. (2023б) сообщили об ошибке, допущенной в их предыдущем циркуляре (Кумар и др. 2023а). Ошибка возникла при вычитании изображения-шаблона родительской галактики, полученной обзором PanSTARRS DR1 (Чамберс и др., 2016), на котором присутствуют артефакты.
Две группы исследователей обнаружили несколько кандидатов в транзиентные источники в области локализации всплеска системой IBAS обсерватории INTEGRAL. Так, Перли и др. (2023) обнаружили красный источник с координатами R.A. = 09h55m30.s7, Decl. = +69°40ʹ23.ʺ28, а Ху и др. (2023) – еще один красный источник W231115b с координатами R.A. = 09h55m88.s1, Decl. = 69°41ʹ28.ʺ5, который имел видимый блеск r = 21.26 ± 0.08. Ху и др. (2023) обнаружили также источник, в последствии найденный Перли и др. (2023), который был обозначен как W231115a. Видимая звездная величина данного источника составила r = 20.54 ± 0.04. По-видимому это источники в диске галактики M82, но не связанные с GRB 231115A. Можно указать несколько причин, почему эти источники не были обнаружены ранее: значительный градиент фонового излучения галактики М82, большая плотность источников в диске галактики, значительное поглощение оптического излучения пылью, а также недостаточная предельная звездная величина инструментов наблюдения.
В свою очередь, мы также провели наблюдения, используя сеть телескопов GRB-IKI-FuN (IKI Gamma-Ray Burst Follow-up Network, Вольнова и др., 2021) с целью поиска возможного оптического компонента GRB 231115A. Список используемых телескопов и их основные параметры представлены в табл. 3.
Таблица 3. Телескопы GRB-IKI-FuN, использованные в наблюдениях GRB 231115A
Обсерватория | Телескоп | D, ма | FoV,б | Местонахождение |
АбАО/GENAO | AS-32 | 0.7 | 44.′4 × 44.′4 | Абастумани, Грузия |
МСОТ- Китаб | RC-36 | 0.36 | 43.′7 × 43.′7 | Китаб, Узбекистан |
а – Диаметр зеркала телескопа.
б – Поле зрения телескопа.
Наблюдения телескопом AS-32/АбАО производились в фотометрической полосе R, в то время как наблюдения на RC-36/МСОТ-Китаб выполнены в чистом свете (без фильтров) 2. Журнал оптических наблюдений представлен в табл. 4.
Таблица 4. Журнал оптических наблюдений гамма-всплеска GRB 231115A
t – T0а, сут | ∆T б, с | Предел зв. вел.в | fν мкЯнг | Фильтр | Обсерватория | Телескоп | GCN |
–1.155810 | – | 20.47 | 23.6 | r | ZTF | Palomar 1.2m | 35048 |
–0.452917 | 12 × 60 | 20.1 | 27.9 | Lд | ORM/SSO | GOTO | 35050 |
0.054688 | 180 | 18.8 | 92.5 | clearе | МАСТЕР-Тунка | 0.4m | 35046 |
0.075023 | 600 | 19.5 | 48.6 | Rc | MITSuME | Akeno 0.5m | 35057 |
0.087118 | 1200 | 19.8 | 36.8 | Rc | MITSuME | Akeno 0.5m | 35057 |
0.111250 | 2400 | 20.2 | 25.5 | Rc | MITSuME | Akeno 0.5m | 35057 |
0.144980 | 7380 | 19.9 | 33.6 | Rc | MITSuME | Okayama 0.5m | 35057 |
0.149271 | 19 × 30 + 123 × 60 | 18.6ж | 111 | clearе | ISON-Kitab | RC-36 | Эта работа |
0.418507 | 7200 | 22.0 | 5.75 | r | WO | Fraunhofer 2m | 35092 |
0.500000 | – | 22.0 | 5.75 | r | ORM | TNG | 35077 |
0.447095 | 89 × 60 | 19.3ж | 58.4 | R | AbAO | AS-32 | Эта работа |
0.500000 | 2 × 195 | 21.6 | 8.32 | r | ORM | Liverpool 2m | 35067 |
а – Время начала экспозиции относительно триггера Fermi/GBM.
б – Длительность экспозиции.
в – Верхний предел на уровне 3 стандартных отклонения.
г – Верхний предел на спектральную плотность потока на уровне 3 стандартных отклонений.
д – GOTO широкополосный L фильтр (4000–7000 Å).
е – Чистый свет (без фильтра)
ж – Не исправлено на поглощение в Галактике $E(B − V ) = 0.1326$ (Шлафли, Финкбайнер, 2011).
Данные наблюдений (изображения) обработаны однородным образом с помощью элементов конвейера по поиску оптических транзиентов APEX v2023.11 (Панков и др., 2022). Согласно методике, описанной Панковым и др. (2022), изображения прошли первичный контроль, калибровку, сложение, астрометрию и дифференциальную фотометрию. Поиск переменных источников осуществлен при помощи вычитания изображения-шаблона родительской галактики M82, снятой на том же инструменте, но в более позднюю эпоху. С этой целью был разработан специальный элемент конвейера APEX apex_subtract. Из-за больших угловых размеров M82 на астрономических изображениях (порядка 4×4 угл. мин), вычитание шаблона было необходимой процедурой, чтобы убрать значительный градиент фона галактики M82.
После вычитания мы не обнаружили достоверных кандидатов в оптическое послесвечение GRB 231115A в области локализации, полученной в эксперименте IBIS/ISGRI INTEGRAL (рис. 12). Также не были обнаружены источники из циркуляров GCN Перли и др. (2023) и Ху и др. (2023) – из-за недостаточной проницающей способности, достигнутой в наших наблюдениях.
Рис. 12. То же изображение области локализации всплеска GRB 231115A, что на рис. 5, но после вычитания вклада галактики M 82 в спокойном состоянии (измеренного на телескопе в АS-32 8 декабря 2023 г., когда возможный оптический компонент всплеска уже должен был затухнуть). Как и ранее, зеленые ромбы показывают контуры локализации всплеска в рентгеновском диапазоне третий контур от центра соответствует уровню достоверности 90% (неопределенность 1.ʹ5). Белые кружки – два предложенных оптических кандидата (Ху и др., 2023, см. текст). Белыми тонкими контурами обозначен профиль галактики M 81. Голубыми контурами – то, что осталось на месте галактики после вычитания (добавлено в корректуре).
На рис. 13 красными треугольниками показаны верхние пределы на возможный оптический компонент GRB 231115A, полученные как в наших наблюдениях (отмечены стрелками), так и другими научными группами (табл. 4). Кроме того, на рис. 13 представлены результаты оптических наблюдений других коротких гамма-всплесков с известным красным смещением по данным Фонга и др. (2015) и кривая блеска килоновой GRB 170817A по данным Виллара и др. (2017), приведенные к фотометрическому расстоянию DL = 3.5 Мпк.
Рис. 13. Оптические наблюдения GRB 231115A в сравнении с кривыми блеска других коротких гамма-всплесков, приведенных к фотометрическому расстоянию DL = 3.5 Мпк. По горизонтали отложено время в часах относительно гамма-триггера Fermi/GBM, по вертикали – наблюдаемый поток в мкЯн. Красные незаполненные треугольники – верхние пределы на оптический поток от GRB 231115A по данным табл. 4, черные квадраты – данные оптических наблюдений коротких гамма-всплесков с измеренным красным смещением из работы Фонг и др. (2015), синие заполненные и незаполненные кружки – кривая блеска GRB 170817A в фильтрах r и i, соответственно, по данным Виллара и др. (2017).
Наиболее глубокие верхние пределы на оптическое послесвечение GRB 231115A получены через 10 часов после триггера (22 зв.вел. в фильтре r). Оптические послесвечения других коротких гамма-всплесков (в том числе от килоновой GRB 170817A), наблюдаемые с расстояния DL = 3.5 Мпк, были бы ярче в этот момент времени не менее, чем в 2500 раз (их блеск был бы на уровне 13.5 зв. вел.). Таким образом, полученные верхние пределы на оптический компонент надежно исключают интерпретацию события GRB 231115A как короткого гамма-всплеска. С другой стороны, оптическое излучение могло бы испытать очень сильное поглощение на луче зрения, если источник всплеска находится в дальней от наблюдателя части диска родительской галактики. К сожалению, точности локализации источника недостаточно, чтобы исключить этот вариант.
ЗАКЛЮЧЕНИЕ
Выполнен детальный анализ спектрально-временных свойств короткого всплеска GRB 231115A в жестком рентгеновском и гамма-диапазоне по данным космических обсерваторий INTEGRAL и Fermi с целью установления природы всплеска. Проведены также ранние наблюдения в оптическом диапазоне телескопами сети GRB-IKI-FuN в попытке найти послесвечение всплеска или ассоциированный с всплеском оптический источник.
В частности, получены следующие результаты:
- Подтверждена и уточнена ранняя (выполненная в рамках Quick Look анализа автоматической системой IBAS) локализация всплеска (R.A. = 09h55ms28, Decl. = +69◦41ʹ40.ʺ эпоха 2000.0, неопределенность лучше 1.ʹ5), также как и его ассоциация с близкой галактикой Сигара (M 82), расположенной на расстоянии DL = 3.5 Мпк. Это позволяет рассматривать как в высшей степени вероятную версию магнитарного происхождения всплеска, т. е. того, что 15 ноября 2023 г. в этой галактике произошла гигантская вспышка ранее неизвестного источника мягких повторных всплесков (SGR). Если версия подтвердится, то это будет первая хорошо локализованная и надежно отождествленная с известной галактикой гигантская вспышка внегалактического SGR.
- Жесткие рентгеновские и гамма-кривые блеска GRB 231115A имеют традиционный профиль FRED (быстрый подъем – экспоненциальный спад) во всех приборах и во всех диапазонах, за исключением самого мягкого (25–80 кэВ) диапазона телескопа IBIS/ISGRI обсерватории INTEGRAL, в котором профиль всплеска имел широкую вершину с ∆T ~ 60 мс. Длительное (десятки секунд) продленное излучение, характерное для гигантских вспышек магнетаров, у GRB 231115A обнаружено не было. В то же время полученный верхний предел на интегральный по времени поток продленного излучения не исключает ассоциации всплеска с гигантской вспышкой магнитара.
- Кросс-корреляционный анализ кривых блеска в разных энергетических диапазонах по данным монитора Fermi/GBM не выявил значимой спектральной задержки. Такое поведение встречается как у коротких гамма-всплесков, так и у гигантских вспышек магнитаров. В то же время, обнаружена заметная эволюция жесткости излучения (и по данным Fermi/GBM, и по данным телескопа IBIS/ISGRI обсерватории INTEGRAL). Жесткость была в 2–3 раза выше (и даже росла согласно IBIS/ISGRI) в течение первых ~40 мс всплеска, а затем быстро уменьшилась и далее оставалась на примерно одном уровне в течение последующих ~80–100 мс.
- Спектр излучения всплеска содержал две компоненты: жесткую, которая успешно описывалась характерной для гамма-всплесков и магнитаров степенной моделью с экспоненциальным завалом на высоких энергиях (CPL), и мягкую, которую мы аппроксимировали спектром чернотельной фотосферы с температурой kTbb ~ 15 кэВ. На рис. 14 показан широкополосный (3–1500 кэВ) спектр излучения GRB 231115A, реконструированный на основе данных наблюдений телескопов IBIS/ISGRI и JEM–X обсерватории INTEGRAL и монитора гамма-всплесков GBM (его детекторов BGO\_01 и NaI\_06) обсерватории Fermi. В табл. 5 приведены результаты его аппроксимации спектральными моделями 2 BBL и BBL+CPL (последняя модель показана на рисунке сплошной кривой, а ее компоненты – штриховой и пунктирной линией). Из рисунка следует, что модель успешно описывает измеренный спектр излучения всплеска.
Рис. 14. Широкополосный рентгеновский и гамма-спектр излучения (νFν) всплеска GRB 231115A по данным трех приборов: IBIS/ISGRI и JEM–X обсерватории INTEGRAL и GBM (детекторы BGO\_01 и NaI\_06) обсерватории Fermi (диапазон 3–1500 кэВ). Предел JEM–X соответствует одному стандартному отклонению. Спектр накоплен в течение всего всплеска (120 мс). Сплошной линией представлен результат наилучшей аппроксимации спектра моделью BBR+CPL, штриховой и пунктирной линиями – отдельные компоненты модели.
Таблица 5. Результаты анализа широкополосного рентгеновского и гамма-спектра GRB 231115A в диапазоне 3–1500 кэВ по данным обсерваторий INTEGRAL и Fermi
Модель | χ2/Nа | A | αб | kTbb, Ecд кэВ | Потоке, 10–6 эрг с–1 см–2 |
BBR | 112.4/140 | 13.0 ± 0.5г | – | 135 ± 4 | 4.68 ± 0.48 |
+ | |||||
BBR | 152 ± 27г | – | 16.0 ± 1.5 | 0.13 ± 0.04 | |
CPL | 113.3/139 | 2.58 ± 0.67в | –1.08 ± 0.02 | 196 ± 8 | 6.21 ± 0.50 |
+ | |||||
BBR | 160 ± 29г | – | 15.1 ± 1.5 | 0.11 ± 0.04 |
а – Минимальное значение χ2 и число степеней свободы N.
б – Фотонный индекс степенной компоненты I100 (E/100 кэВ)–α.
в – Нормировка этой компоненты I100 на 100 кэВ [10–2 фот с–1 см–2 кэВ–1].
г – Радиус излучающей поверхности Rbb [км] на расстоянии dL = 3.5 Мпк.
д – Температура kTbb или энергия экспоненциального завала Ec.
е – Коэффициент кросс-нормировки спектра GBM относительно спектра IBIS/ISGRI.
– Поток излучения в диапазоне 10–1000 кэВ.
Представление спектра всплеска в виде νFν(ν) явно показывает, что основная энергия его излучения содержится в фотонах с hν ~ 500–600 кэВ. Важно, что фотонный индекс жесткой компоненты излучения имел пекулярное значение α ~ –1.08, обеспечивающее быстрый рост спектральный плотности излучения Fν ~ E2.08 с энергией фотонов. Именно благодаря такому почти релей-джинсовскому спектральному индексу жесткое излучение данного всплеска успешно описывалось чернотельным спектром. Столь жесткие степенные “хвосты” в спектрах излучения более характерны для гигантских вспышек магнитаров, чем для коротких гамма-всплесков.
- Комбинация чернотельных спектров, которая позволяет успешно аппроксимировать спектр излучения GRB 231115A, может возникать в гипотетических моделях испарения первичных черных дыр (см., например, Феган и др., 1978) или падения первичной черной дыры ограниченной массы на сверхмассивную черную дыру (Барко и др., 2021). В этих моделях могут генерироваться очень короткие жесткие гамма-всплески, по-видимому, без послесвечения в рентгеновском и оптическом диапзонах. Однако, полная энергия, излученная в гамма-диапазоне, в этих моделях оказывается существенно меньшей энергии, измеренной от GRB 231115A, что не позволило бы наблюдать такую вспышку в галактике M
- Полученные в работе верхние пределы на поток оптического послесвечения всплеска через 3.6 и 10.7 часов после этого события находятся на несколько порядков величины ниже уровня излучения, которого можно было бы ожидать от коротких гамма-всплесков, связанных со слиянием нейтронных звезд (Канн и др., 2011; Виллар и др., 2017; Пандей и др., 2019). Наши пределы согласуются с результатами оптических наблюдений на других телескопах, а также с отсутствием послесвечения в мягком рентгеновском диапазоне. Все это свидетельствует в пользу магнитарной версии происхождения всплеска GRB 231115A.
- Положение GRB 231115A на диаграммах Ep,i – Eiso и T90,i – EH подтверждает классификацию всплеска как гигантскую вспышку SGR. При типичных для гамма-всплесков типа I длительности (T90,i = 0.06 с) и положении максимума в спектре (Ep,i ~ 640 кэВ), энергия, излученная во время всплеска в гамма-диапазоне Eiso ~ 1045 эрг, характерна только для гигантских вспышек SGR.
- Близость родительской галактики всплеска (M 82) предполагает уверенную регистрацию гравитационно-волнового сигнала от слияния нейтронных звезд (причины коротких гамма-всплесков), который, однако, детекторами LIGO/Virgo/KAGRA обнаружен не был. Это является наиболее сильным доводом в пользу магнитарного происхождения всплеска и против возможности его объяснения слиянием пары нейтронных звезд, произошедшим в этой галактике. Существует, правда, очень маленькая вероятность случайного совпадения положения короткого далекого гамма-всплеска с положением этой галактики. Эту вероятность можно оценить как отношение видимой площади 11.ʹ2 × 4.ʹ3 галактики М 82 к полной площади неба p = 11ʹ × 4ʹ/(4π) = 11ʹ × 4ʹ (π/180/60ʹ)2(4/π) ~ 3 × 10–7 или 3 400 000 к 1 в пользу магнитарной версии всплеска. Более консервативная оценка вероятности в пользу магнитарной гипотезы была приведена Бернсом (2023) – он оценил, как 180 000 к 1.
Все вышесказанное, и особенно последние два пункта, позволяет с уверенностью утверждать, что всплеск GRB 231115A и в самом деле был не коротким гамма-всплеском, связанным со слиянием нейтронных звезд, а гигантской вспышкой ранее неизвестного магнитара в галактике M 82.
ПОТОК ИЗЛУЧЕНИЯ ПО ДАННЫМ SPI-ACS
Детектор INTEGRAL/SPI-ACS записывает скорость счета фотонов только в одном широком энергетическом канале 0.085–10 МэВ с временным разрешением 50 мс. Поскольку исследуемый GRB 231115A имел длительность порядка 100 мс, на рис. 3 его кривая блеска по данным SPI-ACS состоит всего из двух последовательных бинов с общей значимостью около 10 стандартных отклонений. Она заметно проигрывает по информативности кривым блеска, измеренным другими приборами.
В то же время данные детектора SPI-ACS позволяют независимо оценить поток излучения GRB 231115A, используя результаты калибровки детектора SPI-ACS (исследования зависимости его эффективной площади от положения источника относительно ориентации спутника INTEGRAL и жесткости его энергетического спектра), основанной на результатах совместной регистрации большого числа гамма-всплесков в экспериментах INTEGRAL/SPI-ACS и Fermi/GBM (Минаев, Позаненко, 2023а).
GRB 231115A зарегистрирован в поле зрения апертурных телескопов INTEGRAL (угол между направлением на источник и центром поля зрения z = 3.°8), в этом случае эффективная площадь SPI-ACS близка к минимальному значению. Согласно Минаеву, Позаненко (2023а) коэффициент пересчета инструментальных отсчетов SPI-ACS в энергетические единицы эрг см–2 в диапазоне 10–1000 кэВ для гамма-всплеска со спектральной жесткостью Ep = 640 кэВ, источник которого в системе координат детектора имеет координаты (a, z) = (–109.°4, 3.°8), составляет k = 5.1 × 10–10 эрг см–2 отсч–1. Интегральный поток от GRB 231115A по данным детектора SPI-ACS составляет F = = 1117 ± 107 отсч. или S = kF = (5.7)×10–7 эрг см–2 в диапазоне 10–1000 кэВ. В расчете ошибки потока помимо статистической ошибки измерения также учтена систематическая ошибка метода калибровки (см. детали в работе Минаева, Позаненко, 2023а). Полученное значение в пределах ошибки согласуется с измерением потока излучения в рамках спектрального анализа данных монитора Fermi/GBM, S = (7.25 ± 0.46) × 10–7 эрг см–2 (см. соответствующий раздел данной работы).
БЛАГОДАРНОСТИ
Работа основана на данных обсерватории INTEGRAL, полученных через ее Российский и Европейский центры научных данных, и обсерватории Fermi, полученных через NASA/HEASARC. ПМ благодарен Комитету по распределению наблюдательного времени (TAC) обсерватории INTEGRAL за поддержку его заявки в INTEGRAL AO-20 # 2040014, в результате которой получены данные наблюдений GRB 231115A.
ФИНАНСИРОВАНИЕ
Авторы (АП, ИЧ, НП, ПМ и СГ) благодарны Российскому Научному Фонду за финансовую поддержку (грант 23-12-00220).
1 Это также противоречит выводу, сделанному при анализе кривых блеска, полученных телескопом IBIS/ISGRI обсерватории INTEGRAL, о том, что в самом мягком канале профиль всплеска становится шире, чем в жестких каналах. Отметим однако, что чувствительность Fermi/GBM в таких низких энергиях заметно проседает, фоновая скорость счета возрастает.
2 Добавлено в корректуре: После сдачи статьи в печать, 8 и 9 декабря 2023 г. (спустя ~21.5 сут после всплеска) были выполнены наблюдения галактики М 82 в спокойном состоянии (когда возможный оптический компонент уже должен был затухнуть) на телескопах в АбАО и Китабе соответственно. Это позволило более точно вычесть вклад галактики M 82 из изображений, полученных нами сразу после всплеска (см. ниже).
About the authors
П. Ю. Минаев
Институт космических исследований РАН; Физический институт им. П. Н. Лебедева РАН
Author for correspondence.
Email: minaevp@mail.ru
Russian Federation, Москва; Москва
А. С. Позаненко
Институт космических исследований РАН; НИУ “Высшая школа экономики”
Email: minaevp@mail.ru
Russian Federation, Москва; Москва
С. А. Гребенев
Институт космических исследований РАН
Email: minaevp@mail.ru
Russian Federation, Москва
И. В. Человеков
Институт космических исследований РАН
Email: minaevp@mail.ru
Russian Federation, Москва
Н. С. Панков
Институт космических исследований РАН; НИУ “Высшая школа экономики”
Email: minaevp@mail.ru
Russian Federation, Москва; Москва
А. А. Хабибуллин
НИУ “Высшая школа экономики”
Email: minaevp@mail.ru
Russian Federation, Москва
Р. Я. Инасаридзе
Грузинская национальная астрофизическая обсерватория им. Евгения Харадзе
Email: minaevp@mail.ru
Georgia, Абастумани
А. О. Новичонок
Петрозаводский государственный ун-т
Email: minaevp@mail.ru
Russian Federation, Петрозаводск
References
- Д’Авансо и др. (P.D’Avanzo, E. Palazzi, S. Campana, M.G. Bernardini, and D.B. Malesani), GRB Coordinates Network Rep. 35036, 1 (2023а).
- Д’Авансо и др. (P.D’Avanzo, A. Reguitti, L. Tomasella, E. Cappellaro, M.T. Botticella, F. Onori, L. Tartaglia, F. De Luise, et al.), GRB Coordinates Network Rep. 35077, 1 (2023б).
- Амати и др. (L. Amati, F. Frontera, M. Tavani, J.J.M. in’t Zand, A. Antonelli, E. Costa, M. Feroci, C. Guidorzi, et al.), Astron. Astropys. 390, 81 (2002).
- Ан и др. (J. An, S.Q. Jiang, X. Liu, S.Y. Fu, Z.P. Zhu, T.H. Lu, D. Xu, and J.Z. Liu), GRB Coordinates Network Rep. 35091, 1 (2023).
- Арно и др. (K.A. Arnaud), Astronomical Data Analysis Software and Systems V (Ed.G. Jacoby, J. Barnes), ASP Conf. Ser. 101, 17 (1996).
- Ахумада и др. (T. Ahumada, J. Wise, and M. Coughlin), GCN Coordinates Network Rep. 35046, 1 (2023).
- Балануца и др. (P. Balanutsa, N. Budnev, O. Gress, A. Sankovich, V. Lipunov, E. Gorbovskoy, N. Tiurina, D. Vlasenko, et al.), GRB Coordinates Network Rep. 35046, 1 (2023).
- Барко (O. Barco), MNRAS 506, 806, (2021).
- Барков, Позаненко (M.V. Barkov and A.S. Pozanenko), MNRAS 417, 2161 (2011).
- Белкин С.О., Позаненко А.С., Мазаева Е.Д., Вольнова А.А., Минаев П.Ю., Томинага Н., Гребенев С.А., Человеков И.В. и др.), Письма в Астрон. журн. 46, 839 (2020) [S.O. Belkin, et al., Astron. Lett. 46, 783 (2020)].
- Белкин и др. (S. Belkin, A.S. Pozanenko, P.Y. Minaev, N.S. Pankov, A.A. Volnova, A. Rossi, G. Stratta, S. Benetti, et al.), MNRAS 527, 11507 (2024).
- Берджес и др. (J.M. Burgess, J. Greiner, D. Begue, and F. Berlato), MNRAS 490, 927 (2019).
- Бернс (E. Burns), GRB Coordinates Network Rep. 35038, 1 (2023).
- Блинников С.И, Новиков И.Д., Переводчикова Т.В., Полнарев А.Г., Письма в Астрон. журн. 10, 422 (1984) [S.I. Blinnikov, et al., Sov. Astron. Lett. 10, 177 (1984)].
- Ведренн и др. (G. Vedrenne, J.-P. Roques, V. Schönfelder, et al.), Astron. Astrophys. 411, L63 (2003).
- Виллар и др. (V.A. Villar, J. Guillochon, E. Berger, B.D. Metzger, P.S. Cowperthwaite, M. Nicholl, K.D. Alexander, P.K. Blanchard, et al.), Astrophys. J. Lett. 851, L21 (2017).
- Винклер и др. (C. Winkler, T.J.L. Courvoisier, G. Di Cocco, N. Gehrels, A. Giménez, S. Grebenev, W. Hermsen, J.M. Mas-Hesse, et al.), Astron. Astrophys. 411, L1 (2003).
- Вольнова и др. (A.A. Volnova, M.V. Pruzhinskaya, A.S. Pozanenko, S.I. Blinnikov, P. Yu. Minaev, O.A. Burkhonov, A.M. Chernenko, Sh.A. Ehgamberdiev, et al.), MNRAS 467, 3500 (2017).
- Вольнова и др. (A. Volnova, A. Pozanenko, E. Mazaeva, S. Belkin, I. Molotov, L. Elenin, N. Tungalag, D. Buckley), Anais da Academia Brasileir a de Ciencias. Physical Sciences 93, id. 1 (2021).
- Вусли (S.E. Woosley), Astrophys. J. 405, 273 (1993).
- Галама и др. (T.J. Galama, P.M. Vreeswijk, J. van Paradijs, C. Kouveliotou, T. Augusteijn, O.R. Hainaut, F. Patat, H. Boehnhardt, et al.), Nature 395, 670 (1998).
- Герелс и др. (N. Gehrels, J.P. Norris, S.D. Barthelmy, J. Granot, Y. Kaneko, C. Kouveliotou, C.B. Markwardt, P. Meszaros, et al.), Nature 444, 1044 (2006).
- Голенецкий С.В., Мазец Е.П,, Ильинский В.Н., Гурьян Я.А., Письма в Астрон. журн. 5, 636 (1979) [S.V. Golenetskij, et al., Sov. Astron. Lett. 5, 340 (1979)].
- Голенецкий и др. (S.V. Golenetskii, E.P. Mazets, R.L. Aptekar, V.N. Ilinskii), Nature 306, 451 (1983).
- Грефенстетте, Брайтман (B. Grefenstette and M. Brightman), GRB Coordinates Network Rep. 35066, 1 (2023).
- Грубер и др. (D. Gruber, A. Goldstein, V. Weller von Ahlefeld, N. Bhat, E. Bissaldi, M.S. Briggs, D. Byrne, W.H. Cleveland, et al.), Astrophys. J. Suppl. Ser. 211, 12 (2014).
- Гупта и др. (R. Gupta, S.R. Oates, S.B. Pandey, A.J. Castro-Tirado, J.C. Joshi, Y.-D. Hu, A.F. Valeev, B.B. Zhang, et al.), MNRAS 505, 4086 (2021).
- Далесси и др. (S. Dalessi, O.J. Roberts, P. Veres, and C. Meegan), GRB Coordinates Network Rep. 35044, 1 (2023).
- Дезалай и др. (J.-P. Dezalay, J.-L. Atteia, C. Barat, M. Boer, F. Darracq, P. Goupil, M. Niel, R. Talon, et al.), Astrophys. J. 490, L17 (1997).
- Дункан, Томпсон (R.C. Duncan and C. Thompson), Astrophys. J. Lett. 392, L9 (1992).
- Жианг и др. (S.Q. Jiang, X. Liu, S.Y. Fu, J. An, Z.P. Zhu, T.H. Lu, D. Xu, L.F. Huo, et al.), GRB Coordinates Network Rep. 35056, 1 (2023).
- Израель и др. (G.L. Israel, T. Belloni, L. Stella, Y. Rephaeli, D.E. Gruber, P. Casella, S. Dall’Osso, N. Rea, M. Persic, and R.E. Rothschild), Astrophys. J. Lett. 628, L53 (2005).
- Искандар и др. (A. Iskandar, F. Wang, J. Zhu, L. Wang, X. Zeng, C. Andrade, A. de Ugarte Postigo, D. Akl, et al.), GRB Coordinates Network Rep. 35051, 1 (2023).
- Канн и др. (D.A. Kann, S. Klose, B. Zhang, S. Covino, N.R. Butler, D. Malesani, E. Nakar, A.C. Wilson, et al.), Astrophys. J. 734, 96, (2011).
- Кано и др. (Z. Cano, S.-Q. Wang, Z.-G. Dai, and X.-F. Wu), Adv. Astron. ID 8929054 (2017).
- Картин (A.P. Curtin), GRB Coordinates Network Rep. 35070, 1 (2023).
- Коллаборация IceCube (The IceCube Collaboration), GRB Coordinates Network Rep. 35053, 1 (2023).
- Коллаборация LIGO и др. (the LIGO Scientific Collaboration, the Virgo Collaboration, and the KAGRA Collaboration), GRB Coordinates Network Rep. 35049, 1 (2023).
- Коллаборация MAGIC (the MAGIC collaboration), GRB Coordinates Network Rep. 35068, 1 (2023).
- Коннатон (V. Connaughton), Astrophys. J. 567, 1028 (2002).
- Кошут и др. (T. Koshut, W. Paciesas, C. Kouveliotou, J. van Paradijs, G.N. Pendleton, G.J. Fishman, and C.A. Meegan), Astrophys. J. 463, 570 (1996).
- Крайдер (A. Crider), arXiv: astro-ph/0601019 (2006).
- Ксю и др. (W.C. Xue, S.L. Xiong, X.B. Li, and C.K. Li), GRB Coordinates Network Rep. 35060, 1 (2023).
- Кувелиоту и др. (C. Kouveliotou, C.A. Meegan, G.J. Fishman, N.P. Bhat, M.S. Briggs, T.M. Koshut, W.S. Paciesas, and G.N. Pendleton), Astrophys. J. 413, L101 (1993).
- Кувелиоту и др. (C. Kouveliotou, T. Strohmayer, K. Hurley, J. van Paradijs, M.H. Finger, S. Dieters, P. Woods, C. Thompson, and R.C. Duncan), Astrophys. J. 510, L115 (1999).
- Кумар и др. (R. Kumar, A. Salgundi, V. Swain, Y. Wagh, V. Bhalerao, G.C. Anupama, S. Barway, R. Norboo, et al.), GRB Coordinates Network Rep. 35041, 1 (2023а).
- Кумар и др. (R. Kumar, V. Karambelkar, V. Swain, V. Bhalerao, A. Salgundi, Y. Wagh, G.C. Anupama, S. Barway, et al.), GRB Coordinates Network Rep. 35055, 1 (2023б).
- Куулкерс и др. (E. Kuulkers, C. Ferrigno, P. Kretschmar, J. Alfonso-Garzón, M. Baab, A. Bazzano, G. Bélanger, I. Benson, et al.), New Astron. Rev. 93, 01629 (2021).
- Лабанти и др. (C. Labanti, G. Di Cocco, G. Ferro, F. Gianotti, A. Mauri, E. Rossi, J.B. Stephen, A. Traci, and M. Trifoglio), Astron. Astrophys. 411, L149 (2003).
- Лебран и др. (F. Lebrun, J.P. Leray, P. Lavocat, J. Crétolle, M. Arqués, C. Blondel, C. Bonnin, A. Bouére, et al.), Astron. Astrophys. 411, L141 (2003).
- Леван и др. (A. Levan, B.P. Gompertz, O.S. Salafia, M. Bulla, E. Burns, K. Hotokezaka, L. Izzo, G.P. Lamb, et al.), arXiv:2307.02098 (2023).
- Липунов и др. (V. Lipunov, V. Kornilov, E. Gorbovskoy, K. Zhirkov, N. Tyurina, P. Balanutsa, A. Kuznetsov, V. Senik, et al.), GRB Coordinates Network Rep. 35039, 1 (2023а).
- Липунов и др. (V. Lipunov, V. Kornilov, E. Gorbovskoy, K. Zhirkov, N. Tyurina, P. Balanutsa, A. Kuznetsov, V. Senik, et al.), GRB Coordinates Network Rep. 35042, 1 (2023б).
- Лунд и др. (N. Lund, C. Budtz-Jørgensen, N.J. Westergaard, S. Brandt, I.L Rasmussen, A. Hornstrup, C.A. Oxborrow, J. Chenevez, et al.), Astron. Astrophys. 411, L231 (2003).
- Мазец Е.П., Голенецкий С.В, Гурьян Я.А., Письма в Астрон. журн. 5, 641 (1979а) [E.P. Mazets, et al., Sov. Astron. Lett. 5, 343 (1979а)].
- Мазец и др. (E.P. Mazets, S.V. Golentskii, V.N. Ilinskii, R.L. Aptekar, and Iu.A. Guryan), Nature 282, 587 (1979б).
- Мазец и др. (E.P. Mazets, S.V. Golenetskii, V.N. Ilinskii, V.N. Panov, R.L. Aptekar, I.A. Gurian, M.P. Proskura, I.A. Sokolov, Z.I. Sokolova, and I.V. Kharitonova), Astrophys. Space Sci. 80, 3 (1981).
- Мазец Е.П., Клайн Т.Л., Аптекарь Р.Л. и др., Письма в Астрон. журн. 25, 727 (1999) [E.P. Mazets, T.L. Cline, R.L. Aptekar’, P. Butterworth, S.V. Golenetskii, V.N. Il’inskii, V.D. Pal’shin, and D.D. Frederiks, Astron. Lett. 25, 635 (1999)].
- Мазец и др. (E.P. Mazets, T.L. Cline, R.L. Aptekar, D.D. Frederiks, S.V. Golenetskii, et al.), arXiv: astro-ph/0502541, (2005).
- Мазец и др. (E.P. Mazets, R.L. Aptekar, T.L. Cline, D.D. Frederiks, J.O. Goldsten, S.V. Golenetskii, K. Hurley, A. von Kienlin, and V.D. Pal’shin), Astrophys. J. 680, 545 (2008).
- Межарос, Рис (P. Meszaros and M.J. Rees), Astrophys. J. 397, 570 (1992).
- Межарос (P. Meszaros), Rep. Progress Phys. 69, 2259 (2006).
- Мерегетти и др. (S. Mereghetti, D. Gotz, C. Ferrigno, E. Bozzo, V. Savchenko, L. Ducci, and J. Borkowski), GRB Coordinates Network Rep. 35037, 1 (2023).
- Метцгер и др. (B.D. Metzger, E. Quataert, and T.A. Thompson), MNRAS 385, 1455 (2008).
- Миган и др. (C. Meegan, G. Lichti, P.N. Bhat, E. Bissaldi, M.S. Briggs, V. Connaughton, R. Diehl, G. Fishman, et al.), Astrophys. J. 702, 791 (2009).
- Минаев П.Ю., Позаненко А.С., Лозников В.М., Письма в Астроном. журн. 36, 744 (2010а) [P. Minaev, A. Pozanenko, and V. Loznikov, Astron. Lett. 36, 707 (2010a)].
- Минаев и др. (P. Minaev, A. Pozanenko, and V. Loznikov), Astrophys. Bull. 65, 343 (2010б).
- Минаев П.Ю., Гребенев С.А., Позаненко А.С., Мольков С.В., Фредерикс Д.Д., Голенецкий С.В., Письма в Астрон. журн. 38, 687 (2012) [P.Y. Minaev, et al., Astron. Lett. 38, 613 (2012)].
- Минаев П.Ю., Позаненко А.С., Мольков С.В., Гребенев С.А., Письма в Астрон. журн. 40, 271 (2014) [P. Yu. Minaev, A.S. Pozanenko, S.V. Molkov, and S.A. Grebenev, Astron. Lett. 40, 235 (2014)].
- Минаев П.Ю., Позаненко А.С., Письма в Астрон. журн. 43, 3 (2017) [P. Yu. Minaev, A.S. Pozanenko, Astron. Lett. 43, 1 (2017)].
- Минаев, Позаненко (P. Minaev and A. Pozanenko), MNRAS 492, 1919 (2020а).
- Минаев П.Ю., Позаненко А.С., Письма в Астроном. журн. 46, 611 (2020б) [P. Yu. Minaev, A.S. Pozanenko, Astron. Lett. 46, 573 (2020б)].
- Минаев, Позаненко (P. Minaev and A. Pozanenko), MNRAS 504, 926 (2021).
- Минаев, Позаненко (P. Minaev and A. Pozanenko), MNRAS 525, 2411 (2023а).
- Минаев, Позаненко (P. Minaev and A. Pozanenko), GRB Coordinates Network Rep. 35059, 1 (2023б).
- Митрофанов И.Г., Аттея Ж.Л., Бара К., Ведренн А.Г., Вильчинская А.С., Долидзе В.С., Дьячков А.В., Жордан Е. и др., Письма в Астрон. журн. 16, 302 (1990) [I.G. Mitrofanov, et al., Sov. Astron. Lett. 16, 129 (1990)].
- Накар и др. (E. Nakar, A. Gal-Yam, T. Piran, et al.), astro-ph/05002148 (2005).
- Норрис и др. (J.P. Norris, J.T. Bonnell, D. Kazanas, J.D. Scargle, J. Hakkila, and T.W. Giblin), Astrophys. J. 627, 324 (2005).
- Норрис и др. (J.P. Norris, N. Gehrels, and J.D. Scargle), Astrophys. J. 717, 411 (2010).
- Орли и др. (K. Hurley, S.E. Boggs, D.M. Smith, et al.), Nature 434, 1098 (2005).
- Осборн и др. (J.P. Osborne, B. Sbarufatti, A. D’Ai, A. Melandri, J.D. Gropp, S. Dichiara, J.A. Kennea, K.L. Page, et al.), GRB Coordinates Network Rep. 35064, 1 (2023).
- Палмер и др. (D.M. Palmer, S. Barthelmy, N. Gehrels, R.M. Kippen, T. Cayton, et al.), Nature 434, 1107 (2005).
- Пандей и др. (S.B. Pandey, Y. Hu, A.J. Castro-Tirado, A.S. Pozanenko, R. Sanchez-Ram?rez, J. Gorosabel, S. Guziy, M. Jelinek, et al.), MNRAS 485, 5294, (2019).
- Панков и др. (N. Pankov, A. Pozanenko, V. Kouprianov, and S. Belkin), Proc. of the XXIII Inter. Conf. DAMDID/RCDL-2021 (Ed.A. Pozanenko, S. Stupnikov, B. Thalheim, E. Mendez, N. Kiselyova, Moscow, Russia, October 26–29, 2021), CCIS 1620, 104 (2022).
- Пацейсас и др. (W.S. Paciesas, C.A. Meegan, A. von Kienlin, P.N. Bhat, E. Bissaldi, M.S. Briggs, J.M. Burgess, V. Chaplin, et al.), Astrophys. J. Suppl. Ser. 199, 18 (2012).
- Пачинский(2005) (B. Paczynski), Astrophys. J. 308, L43 (1986).
- Пачинский (B. Paczynski), Astrophys. J. Lett. 494, L45 (1998).
- Перли и др. (D.A. Perley, K.-R. Hinds, J. Wise, V. Karambelkar, T.F. Ahumada, and M.M. Kasliwal), GRB Coordinates Network Rep. 35067, 1 (2023).
- Позаненко и др. (A. Pozanenko, V. Loznikov, and R. Preece), Proceedings of the XLth Rencontres de Moriond (Ed.J. Dumarchez, J.T. Thanh), 253 (2005).
- Позаненко и др. (A.S. Pozanenko, M.V. Barkov, P.Y. Minaev, A.A. Volnova, E.D. Mazaeva, A.S. Moskvitin, M.A. Krugov, V.A. Samodurov, V.M. Loznikov, and M. Lyutikov), Astrophys. J. 852, L30 (2018).
- Позаненко А.С., Минаев П.Ю., Гребенев С.А., Человеков И.В., Письма в Астроном. журн. 45, 768 (2019) [A.S. Pozanenko, et al., Astron. Lett. 45, 710 (2019)].
- Рау и др. (A. Rau, A. von Kienlin, K. Hurley, and G.G. Lichti), Astron. Astrophys. 438, 1175 (2005).
- Рончини и др. (S. Ronchini, A. Tohuvavohu, J. DeLaunay, G. Raman, T. Parsotan, and J.A. Kennea), GRB Coordinates Network Rep. 35065, 1 (2023).
- Россвог (S. Rosswog), MNRAS 376, L48 (2007).
- Росси и др., (A. Rossi, B. Rothberg, E. Palazzi, D.A. Kann, P. D’Avanzo, L. Amati, S. Klose, A. Perego, et al.), Astrophys. J. 932, 1 (2022).
- Тарнопольский (M. Tarnopolski), Astrophys. J. 870, 105 (2019).
- Томпсон, Дункан (C. Thompson and R.C. Duncan), MNRAS 275, 255 (1995).
- Томпсон, Дункан (C. Thompson and R.C. Duncan), Astrophys. J. 561, 980 (2001).
- Турпин и др. (D. Turpin, W. Thuillot, D. Souami, C. Adami, E. Le Floc’h, D. Gotz, F. Schussler, A. de Ugarte Postigo, et al.), GRB Coordinates Network Rep. 35078, 1 (2023).
- Феган и др. (D. Fegan, B. McBreen, D. O’Brien, and C. O’Sullivan), Nature 271, 731 (1978).
- Фенимор и др. (E.E. Fenimore, J.J.M. in’t Zand, J.P. Norris, J.T. Bonnell, and R.J. Nemiroff), Astrophys. J. 448, L101 (1995).
- Ферочи и др. (M. Feroci, F. Frontera, E. Costa, L. Amati, M. Tavani, M. Rapisarda, and M. Orlandini), Astrophys. J. Lett. 515, L9 (1999).
- Фонг и др. (W. Fong, E. Berger, R. Margutti, and B.A. Zauderer), Astrophys. J. 815, 2 (2015).
- Фредерикс Д.Д., Голенецкий С.В., Пальшин В.Д., и др., Письма в Астрон. журн. 33, 3 (2007a) [D.D. Frederiks, S.V. Golenetskii, V.D. Palshin, R.L. Aptekar, V.N. Ilyinskii, F.P. Oleinik, E.P. Mazets, and T.L. Cline, Astron. Lett. 33, 1 (2007а)].
- Фредерикс Д.Д., Голенецкий С.В., Пальшин В.Д., и др., Письма в Астрон. журн. 33, 22 (2007a) [D.D. Frederiks, V.D. Palshin, R.L. Aptekar, S.V. Golenetskii, T.L. Cline, and E.P. Mazets, Astron. Lett. 33, 19 (2007б)].
- Фредерикс и др. (D. Frederiks, D. Svinkin, A. Lysenko, A. Ridnaia, Yu. Temiraev, A. Tsvetkova, M. Ulanov, and T. Cline), GRB Coordinates Network Rep. 35062, 1 (2023).
- Хаккила, Прис (J. Hakkila and R. Preece), Astrophys. J. 740, id. 104 (2011).
- Хаяцу и др. (S. Hayatsu, N. Higuchi, I. Takahashi, M. Sasada, K.L. Murata, M. Niwano, S. Sato, H. Seki, et al.), GRB Coordinates Network Rep. 35057, 1 (2023).
- Ху и др. (L. Hu, M. Busmann, D. Gruen, A. Palmese, B. O’Connor, A. Riffeser, A. Shankar, and R. Zoeller), GRB Coordinates Network Rep. 35092, 1 (2023).
- Чамберс и др. (K.C. Chambers, E.A. Magnier, N. Metcalfe, H.A. Flewelling, M.E. Huber, C.Z. Waters, L. Denneau, P.W. Draper, et al.), arXiv, 1612.05560 (2016).
- Чен и др. (T.-W. Chen, C.-S. Lin, A.J. Levan, S. Schulze, M. Fraser, P. D’Avanzo, J. Lyman (Warwick), Y.-C. Cheng, et al.), GRB Coordinates Network Rep. 35052, 1 (2023).
- Чеунг и др. (C.C. Cheung, M. Kerr, J.E. Grove, R. Woolf, A. Goldstein, C.A. Wilson-Hodge, and M.S. Briggs), GRB Coordinates Network Rep. 35045, 1 (2023).
- Шлафли, Финкбайнер (E.F. Schlafly, D.P. Finkbeiner), Astrophys. J. 737, 103 (2011).
- Эбботт и др. (B.P. Abbott, R. Abbott, T.D. Abbott, F. Acernese, K. Ackley, C. Adams, T. Adams, P. Addesso, R.X. Adhikari, V.B. Adya, et al.), Astrophys. J. 848, L12 (2017а).
- Эбботт и др. (B.P. Abbott, R. Abbott, T.D. Abbott, F. Acernese, K. Ackley, C. Adams, T. Adams, P. Addesso, R.X. Adhikari, V.B. Adya, et al.), Astrophys. J. 848, L13 (2017б).
Supplementary files
















