Структуры магнитного поля звезд HD 94660, HD 75049, HD 154708
- Authors: Глаголевский Ю.В.1
-
Affiliations:
- Специальная астрофизическая обсерватория РАН
- Issue: Vol 50, No 2 (2024)
- Pages: 172-179
- Section: Articles
- URL: https://ogarev-online.ru/0320-0108/article/view/266365
- DOI: https://doi.org/10.31857/S0320010824020041
- EDN: https://elibrary.ru/OJMWBJ
- ID: 266365
Cite item
Full Text
Abstract
На основе литературных данных построены модели магнитных структур трех звезд, имеющих относительно сильное магнитное поле. Все они имеют дипольную структуру и по своим свойствам не отличаются от основной массы магнитных звезд. Однако они, как и некоторые другие объекты с сильным полем, не подчиняются прямой зависимости величины периода вращения от напряженности магнитного поля звезды, которая ожидается исходя из гипотезы потери момента вращения путем передачи его окружающим протозвездным облакам через силовые линии.
Keywords
Full Text
ВВЕДЕНИЕ
Изучая структуры магнитного поля очередных трех химически пекулярных (СР) звезд, мы пытаемся таким образом накапливать сведения об их свойствах для дальнейшего статистического изучения. Опыт исследования таких объектов показывает, что свойства магнитных звезд чрезвычайно разнообразны, практически нет объектов с одинаковыми параметрами. Поэтому исследуемые разные зависимости показывают, скорее, тенденции, а не четкие соотношения. Очевидно, что таким образом проявляется большое разнообразие начальных условий. Тем не менее исследователи пытаются понять свойства магнитных звезд, условия их происхождения и эволюции. Накопление и обсуждение полученных наблюдательных данных необходимо для получения новых закономерностей.
В первую очередь нас интересуют структуры магнитного поля и его параметры. К настоящему времени получены модели и их параметры для около 140 магнитных звезд (Глаголевский, 2019). Поэтому опыт в этом отношении накоплен достаточный. Для построения модели магнитного поля используются зависимости изменения продольной компоненты магнитного поля Bₑ(Ф) или среднего поверхностного поля Bs(Ф) от фазы периода вращения по методике, разработанной Гертом и Глаголевским (2003), в которой предполагается, что структуры магнитного поля СР-звезд соответствуют теоретическому магнитному диполю. Бэбкок уже в самом начале своих фундаментальных работ пришел к выводу, что структура магнитного поля магнитных звезд близка к структуре теоретического магнитного диполя. Эта гипотеза до сих пор поддерживается всеми современными исследованиями, в частности, в работе (Матисс, 1997), а также в Глаголевский (2017). Необходимый для моделирования угол наклона звезды к лучу зрения i определяется, как правило, с помощью vsini. В тех случаях, если имеются обе фазовые зависимости, угол получается автоматически из двух моделей. Такой способ уже успешно применялся нами уже для целого ряда объектов (Глаголевский, Назаренко, 2015, 2017; Глаголевский, 2012, 2013), и он одновременно служит подтверждением правильности предположения о дипольной структуре магнитных полей СР-звезд и правильности оценок магнитного поля. Надо иметь в виду, что величины Bₑ и Bs определяются разными способами.
МОДЕЛЬ HD75049 (SrCrEu)
Основные физические параметры звезды представлены в табл. 1, они взяты из каталога (Глаголевский, 2019). Здесь кроме общепринятых величин приводятся относительные радиусы R/Rz, которые показывают величину радиуса R звезды в настоящее время относительно ее радиуса Rz на ZAMS.
Таблица 1. Параметры звезды HD 75049 (Глаголевский, 2019)
HD | Tип | Te, К | Mb | logg | R/R⊙ | logt | M/M⊙ | Bs, Гc | R/Rz |
75049 | SrCrEu | 9350 | +1.6 | 4.19 | 1.58 | 8.23 | 1.73 | 28160 | 1.10 |
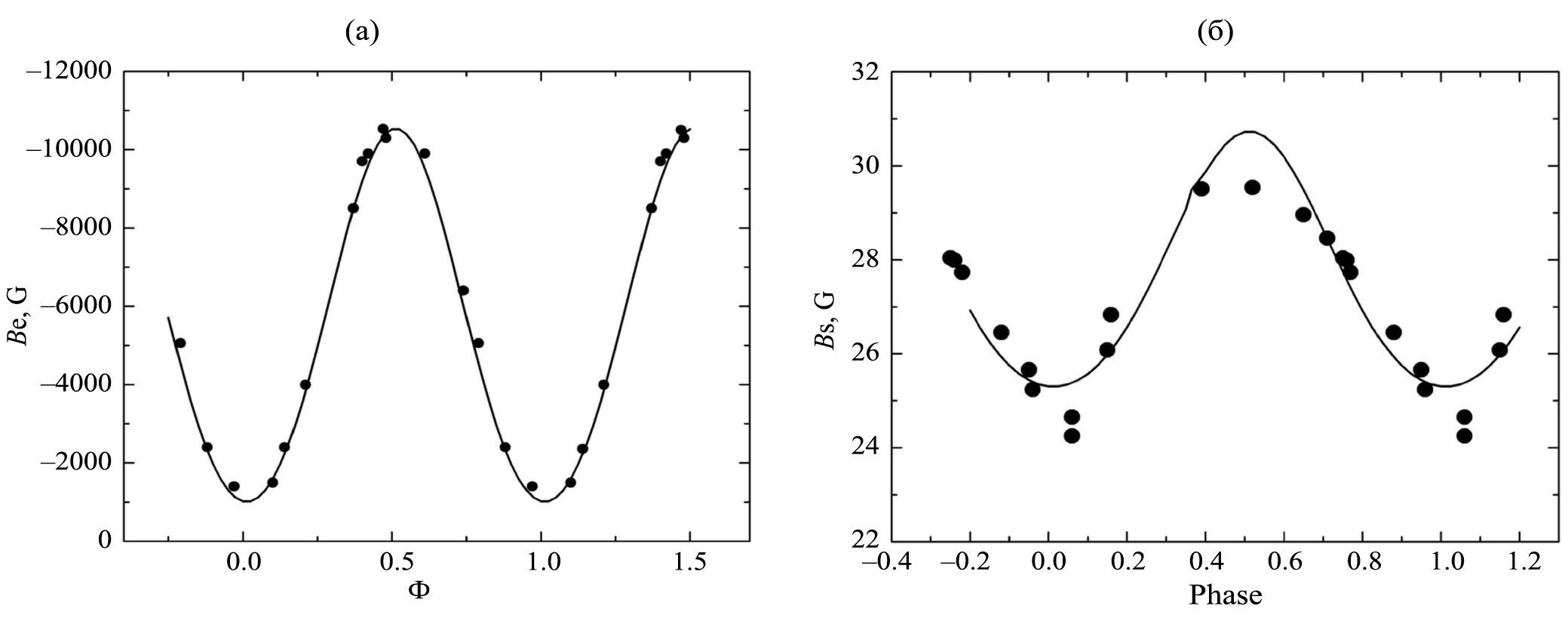
Рис. 1. Фазовые зависимости изменения магнитного поля звезды HD 75049: (а) — зависимость Be(Ф), (б) — зависимость Bs(Ф).
Магнитное поле звезды измерено в работе Елькин и др. (2010), предварительный вариант структуры магнитного поля по этим данным был получен Глаголевским (2012). Звезда относится к экстремальным по величине магнитного поля объектам, поэтому особенно интересна. Наша задача в данном исследовании заключается в уточнении структуры звезды с помощью нашей единой методики. В случае HD 75049 известны фазовые зависимости Bе(Ф) и Bs(Ф), поэтому нет необходимости вычислять угол наклона звезды i из параметра vsini, обычно недостаточно надежного. Если модели, полученные по Bе(Ф) и Bs (Ф) правильные, то угол i в обоих случаях должен оказаться одинаковым. В настоящей работе используются измерения Bₑ по линиям водорода, которые мы обычно применяем в первую очередь, и величины Bs, которые оцениваются по линиям металлов. К сожалению, в отличие от “водородных” измерений, использование линий металлов приводит к некоторым неопределенностям величины магнитного поля вследствие неравномерного распределения химических элементов по поверхности звезды (см. рис. 2 и табл. 7 в работе Елькина и др., 2010).
Таблица 2. Параметры модели HD 75049, полученной по зависимостям Bₑ (Ф) и Bs(Ф)
Заряд | ΔА, R* | λ, ° | δ, ° | α, ° | i, ° | Bs, Гс | Bp, Гс |
Зависимость Bₑ (Ф) | |||||||
– | +0.02 | 0 | 13 | 13 | 13 | 22240 | –36 590 |
+ | 180 | –13 | 41 291 | ||||
Зависимость Bs(Ф)
| |||||||
– | –0.10 | 0 | 8 | ∼8 | 13 | 27780 | –76 966 |
+ |
| 180 | –8 |
|
|
| 29 432 |
Это обстоятельство, несомненно, некоторым образом влияет как на параметры модели, так и на величину полученного угла i. Очевидно, модель HD 75049, полученная из Bₑ(Ф), более реальна, чем из Bs(Ф). Как обычно, мы подбираем параметры магнитного поля таким образом, чтобы различие между измеренными величинами Bₑ и Bs и модельными данными были в пределах 3σ, и чтобы угол i в обеих моделях оказался бы по возможности одинаковым. Наблюдаемые фазовые зависимости Bₑ(Ф) и Bs(Ф) приведены на рис.1а и 1б (точки), модельные зависимости проведены сплошной линией, причем они получились при одинаковом угле i = 13° в работе (Елькин и др., 2010, i = 25°). В результате в полученных моделях оказалось, что угол между осью диполя и плоскостью экватора вращения α = 13° и 8° (в работе Елькин и др., 2010, α = 19°–27°). Мы не смогли получить модели Bₑ(Ф) и Bs(Ф) с совершенно одинаковыми параметрами, но по порядку величины они оказываются достаточно близкими (табл. 2). В таблице ΔА — это величина смещения диполя в единицах радиуса звезды в сторону плюса или минуса, λ и δ — долгота и широта монополя, α — угол между осью диполя и плоскостью экватора вращения, i — угол наклона оси вращения звезды к лучу зрения, Bs — величина среднего поверхностного магнитного поля, Вр — величина поля на магнитных полюсах. Как уже говорилось во Введении, наш способ моделирования успешно применялся уже для большого числа объектов, и он одновременно подтвердил правильность предположения о дипольной структуре магнитных полей Ар-звезд и правильности измерений магнитного поля.
Различие параметров моделей Bₑ(Ф) и Bs(Ф) может происходить вследствие неравномерного распределения Fe на зависимость Bs(Ф), по линиям которого было измерено магнитное поле. Модель по Bₑ(Ф), повторяем, следует считать более реальной, так как измерения были выполнены по линиям водорода, равномерно распределенного по поверхности звезды. Обычно, если модель получилась при смещении диполя из центра звезды на величину ΔА ≤ 0.1R*, мы относим ее к центральному диполю. В данном случае оказалось, что имеет место лишь слабое смещение в сторону отрицательного полюса диполя ΔА = –0.10R* в случае моделирования по Bs(Ф), и ΔА = +0.02R* в случае моделирования по Bₑ(Ф). Схема модели приведена на рис. 2. Средняя величина магнитного поля на магнитных полюсах Вр = 38 940 Гс, что близко к Вр = = 42 000 Гс, полученной в работе (Елькин и др., 2010).
На магнитных полюсах вдоль силовых линий условия диффузии ионов оказываются наиболее благоприятные, поэтому степень аномальности химсостава там максимальна. Но в случае HD 75049 наблюдатель видит звезду в значительной степени со стороны магнитного экватора, где силовые линии параллельны поверхности и направлены перпендикулярно лучу зрения, поэтому средняя величина Bₑ ≈ 5500 Гс невелика по сравнению с Вр = 38 940 Гс. Штриховыми линиями на схеме рис. 2 ограничена примерно такая область поверхности. Эта конфигурация осложняет и измерения магнитного поля, и процесс моделирования.
Рис. 2. Ориентация магнитного поля в звезде HD 75049.
Звезда HD 75049 имеет малый угол α = 13°, что типично для магнитных звезд, претерпевших потерю момента вращения с участием магнитного поля на стадии протозвезд. Это видно на рис. 3, демонстрирующем распределение величин N/Nmax магнитных звезд по углам α. Области аномального химсостава выглядят для наблюдателя как плоскости в полярных областях, видимые с ребра. Изучение содержания элементов в такой ситуации затруднено.
Рис. 3. Распределение величин N/Nmax магнитных звезд по углу α.
Звезда HD 75049, имеющая экстремальное значение Bs, недалеко отошла от ZAMS, в каталоге (Глаголевский, 2019) ее относительный радиус R/Rz = 1.10 (logt = 8.23), как и другая, имеющая максимальное поле HD 215441, имеющая R/Rz = 1.25 (logt = 8.00). Но экстремальное магнитное поле вряд ли что-то определяет в физике магнитных звезд, кроме усиления диффузии химических элементов и повышения степени аномальности химсостава вследствие этого (Глаголевский, 2007). Дальнейший эволюционный рост радиуса HD 75049 приведет к постепенному уменьшению величины Bs на величину, примерно пропорциональную (R/Rz)–2, т.е. в ∼6 раз к моменту ухода звезды с Главной последовательности.
Как видно из зависимости Bs(Ф) (рис. 1б), средняя величина Bs = 28 157 Гс, такая же величина получается из модели. Но Bs, полученная из модели Bₑ(Ф) оказывается меньше на 20%. Делаем вывод, что первая завышена вследствие того, что она основана на измерениях по линиям металлов, которые концентрируются в магнитных полюсах, где поле сильнее. Модельная средняя величина Bs, полученная из фазовой зависимости Bs(Ф), совершенно совпадает с измерениями. Поскольку Bₑ, измерены по линиям водорода, равномерно распределенного по поверхности, то они не подвержены влиянию неравномерного распределения металлов, и модель оказывается предпочтительней, как и ее параметры. В результате столь сильного влияния неравномерного распределения химических элементов величина угла i тоже в некоторой степени может быть искажена.
Период вращения звезды HD 75049 Р = 4.05d, радиус R = 1.7R¤(Елькин и др., 2010), поэтому получаем из формулы v = 50.6 R / P = 21 км/с. Отсюда vsini = 21sin(13°) = 4.7 км/с, величина, которую трудно измерить спектроскопическими методами.
МОДЕЛЬ HD94660 (Si+)
Основные параметры звезды HD 94660 взяты из каталога (Глаголевский, 2019) и приведены в табл. 3.
Таблица 3. Основные параметры звезды HD 94660
HD | Tип | Teff, K | Mb | logg | R/R⊙ | log t | M/M⊙ | Bs, Гс | R/Rz |
94660 | Si+ | 10 650 | +0.1 | 3.91 | 2.43 | 8.34 | 2.09 | 6175 | 1.50 |
Период вращения звезды Р ≈ 1800d получен в работе (Ландстрит и др., 2014). Как и в предыдущем случае в нашем распоряжении оказываются измерения как Bₑ(Ф), так и Bs(Ф), поэтому угол i получается автоматически. Фазовая зависимость Bₑ(Ф) на рис. 4а составлена на основании измерений Bₑ по линиям водорода в работах (Ландстрит, 2014; Матисс, Хубриг, 1997; Болендер, 1993).
Рис. 4. Фазовые зависимости изменения магнитного поля звезды HD 94660: (а) — зависимость Be(Ф), (b) — зависимость Bs(Ф) (пояснение см. в тексте).
Фазовая зависимость Bs(Ф) на рис. 4б построена по данным работы Матисса и Хубриг (1997), причем ей соответствует средняя величина Bs = 6175 Гc, приведенная в каталоге (Глаголевский, 2019). Модельные зависимости Bₑ(Ф) и Bs (Ф) получились при единственной величине угла i = 4°. Это значит, что таким образом подтверждаются правильность предположения дипольной структуры магнитного поля и правильность измерений (вспомним, что предыдущая звезда HD 75049 имела слегка разные модели Bₑ(Ф) и Bs (Ф)). Параметры полученной модели приведены в табл. 4.
Таблица 4. Параметры модели HD 94660, полученные по Bs и Bₑ
Заряд | ΔА, R* | λ, ° | δ, ° | α, ° | i, ° | Bs, Гc | Bp, Гc |
– | 0 | 10 | ∼10 | 4 | 6149 | –7318 | |
+ | +0.1 | 180 | –10 | +18170 |
Учитывая утверждение, сделанное в предыдущем параграфе, что модель по водородным измерениям Bₑ предпочтительнее, делаем вывод, что иногда результаты моделирования по Bₑ(Ф) и по Bs(Ф) совпадают, в зависимости от условий ориентации звезды. Для сравнения приводим данные из (Ландстрит, Матисс, 2000), где α = 5° и i = 47°. Видно значительное различие в величине угла i, которое происходит в результате, скорее всего, неправильной величины vsini у этих авторов. Амплитуда Bs приводится в этой работе как 6050–6400 Гc, наш результат 6275–6075 Гc, примерно такой же. Следует сделать следующее замечание: первые по времени четыре измерения не укладываются в фазовую зависимость, демонстрируя большой разброс величин Bs, хотя по времени они занимают около 40% полного цикла наблюдений. Эти данные отмечены квадратиками на рис. 4б. Наша модель учитывает остальные 13 измерений.
Рис. 5. Ориентация магнитного поля в звезде HD 94660.
Схема модели HD 94660 приведена на рис. 5. Она, как и звезда HD 94660, видна практически с полюса вращения, под углом i = 4° к нему, в результате переменность параметров оказывается минимальной. Фактически наблюдатель видит магнитную структуру со стороны магнитного экватора, где силовые линии расположены перпендикулярно лучу зрения. Постоянно наблюдатель видит область с магнитным полем отрицательного знака. Неудобная ориентация для измерения поля объясняет большой разброс измерений Bₑ и Bs. Магнитный диполь сдвинут вдоль оси в сторону положительного полюса диполя на величину ΔА = +0.1R*, причем он лежит практически в плоскости экватора вращения под малым углом α = 10°. Малый угол α — типичное свойство магнитных звезд. Это можно видеть из распределения N(α) на (рис. 3), построенного по 115 моделям (Глаголевский, 2016), и происходит, скорее всего, в результате передачи момента вращения облакам, окружающим магнитную протозвезду (Моушовиас, Палеологоу, 1979), через силовые линии магнитного поля. Этот механизм более эффективен в случае малых величин α. В результате смещения диполя величина магнитного поля на полюсах HD 94660 различна: Вр = +18170 Гс и –7318 Гс. При этом максимальная величина интегрального поля по видимой полусфере Bs = 6149 Гс. Мы видим звезду со стороны магнитного экватора, в котором химсостав, очевидно, несколько отличается от химсостава на полюсах (Воукле, 1979; Алециан, Воукле, 1980; Межесье, 1984). В отличие от HD 75049 звезда HD 94660 достаточно проэволюционировала, ее R/Rz = 1.50, logt = 8.38 (Глаголевский, 2019). Поскольку величина магнитного поля с возрастом уменьшается примерно пропорционально (R/Rz)–2, это значит, что на ZAMS у нее было Bs 15 кГc.
Теперь, используя правильный угол i = 4°, P = 2800d и R = 2.43R⊙ получаем v = 50.6 R/P = 0.044 км/с, откуда sini = 0.07 и vsini = 0.0031 км/с.
МОДЕЛЬ HD154708 (SrCrEu)
В каталоге (Глаголевский, 2019) отсутствует величина магнитного поля Bs этой звезды, поэтому ее определение особенно интересно. Параметры, характеризующие звезду, приведены в табл. 5.
Таблица 5. Основные параметры звезды HD 154708 из (Глаголевский, 2019)
HD | Tип | Te, K | Mb | logg | R/R⊙ | logt | M/M⊙ | Bs, Гс | R/Rz |
154708 | SrCrEu | 6745 | +2.91+ | 4.20 | 1.55 | 8.60 | 1.73 | 9352 | 1.13 |
Период вращения определен в работе (Хубриг и др., 2014) как P = 5.367d. В случае этой звезды известна только фазовая зависимость Bₑ(Ф), поэтому для построения модели необходимо определить угол наклона i из vsini. В указанной работе найдена очень малая величина vsini = 3.5 ± 0.5 км/с, которая близка 4 км/с, полученной в (Елькин и др., 2008). По формуле v = 50.6 R / P = 14.6 км/с, с учетом vsini = 3.75 км/с находим i = 15°. На рис. 6 точками показана измеренная по линиям водорода фазовая зависимость, построенная по данным (Хубриг и др., 2014), а также модельная кривая. Она соответствует центральному диполю с углом α = 65° (табл. 6).
Рис. 6. Фазовая зависимость Bₑ(Ф) изменения магнитного поля звезды HD 154708.
Таблица 6. Параметры модели HD 154708, полученные по Bₑ(Ф)
Заряд | ΔА, R* | λ, ° | δ, ° | α, ° | i, ° | Bs, Гc | Bp, Гc |
– | 0 | 65 | 65 | 15 | 9352 | ±12 645 | |
+ | 0 | 180 | –65 |
Этот угол нетипичный для магнитных звезд (рис. 3). При такой ориентации диполя магнитная протозвезда не могла потерять момент вращения с участием магнитного поля. Очевидно, что малый момент вращения достался от родительской протозвезды. Среднее модельное поверхностное поле Bs = 9352 Гc, поле на магнитных полюсах равно Bp = ±12 645 Гc. Малый угол i = 15° приводит к тому, что наблюдатель видит преимущественно область с магнитным полем положительной полярности. Схема звезды показана на рис. 7, откуда видно, что при вращении звезда постоянно направлена к наблюдателю областью с положительным магнитным полем. Благодаря более удобной для измерений магнитного поля ориентации диполя разброс точек на фазовой кривой незначителен.
Рис. 7. Ориентация магнитного поля в звезде HD 154708.
Рис. 8. Зависимость периода вращения магнитных звезд звезды от величины магнитного поля. Белые кружки — изучаемые объекты.
Звезда HD154708 является молодым объектом по сравнению с ZAMS, ее относительный радиус R/Rz = 1.13 (logt = 8.94). Особенно интересно то, что она является одной из самых холодных среди магнитных СР-звезд. В нашем каталоге (Глаголевский, 2019) только три звезды имеют температуру такого же порядка величины и магнитное поле в пределах Bs = 2300–5500 Гc. На диаграмме Герцшпрунга–Рессела они находятся на границе с конвективными объектами. К концу жизни HD 154708 на Главной последовательности у нее из-за увеличения радиуса магнитное поле уменьшится на порядок, т.е. окажется около 1 кГс. Тем не менее оно разрушится возникшей нестабильностью верхних слоев либо переходом в стадию конвективных объектов. В заключение все же следует отметить невысокую точность измерений, которая не позволяет получить достаточно уверенную структуру модели. Например, в Ф = 0.6 отклонились два измерения. Если это не случайные отклонения, то при их учете мы должны были бы прийти к модели смещенного поперек оси диполя.
ЗАКЛЮЧЕНИЕ
В настоящей работе изучены структуры трех магнитных звезд с использованием измерений продольного магнитного поля Bₑ, выполненных по линиям водорода, а также средних поверхностных величин Bs, полученных по линиям металлов. Модели строились в предположении дипольной структуры магнитного поля. Результаты данной работы в очередной раз подтверждают правильность такого предположения. Исследованные образцы не демонстрируют каких-либо особенностей. У них типичные однодипольные структуры. (Напомним, что даже если конфигурации магнитного поля сложные, все равно они удовлетворительно описываются двумя-тремя диполями внутри звезды (Глаголевский, 2013).) Результаты данного исследования очередной раз указывают на то, что ориентация диполей внутри звезды может быть любой, но преимущественно под малым углом α к плоскости экватора вращения. В сложных структурах диполи всегда направлены противоположными зарядами друг к другу. Bₑличина среднего поверхностного магнитного поля находится в широких пределах, но не более 34 кГс. Более половины магнитных звезд имеют структуру магнитного поля, близкую к центральному диполю, что может указывать на их происхождение преимущественно из равномерно намагниченных протозвездных облаков.
В данной выборке изучены объекты с большими величинами магнитного поля. Оказалось, что на зависимости logBs–logP, представленной на рис. 8, все они находятся в той ее части, которая представляет собой теоретическую проблему, которая заключается в следующем. В предположении, что потеря момента вращения магнитной протозвезды происходит при участии магнитного поля, следует ожидать, что существует зависимость периода вращения от величины магнитного поля (Моушовиас, Палеологоу, 1979). Действительно, предварительно можно допустить, что левая часть рис. 8 отвечает этому предположению. Но правая часть в таком случае оказывается непонятной — чем сильнее поле, тем быстрее вращается звезда (Глаголевский, 2022). Все три изученных объекта соответствуют этому непонятному свойству. При этом две звезды имеют малый угол α, что является признаком потери момента вращения с участием магнитного поля. Возникновение обратной корреляции для звезд с Bs > 5 кГс показывает, что потеря момента вращения ослабевает в стадии протозвездного облака после некоторого соответствующего максимума. Чем сильнее поле, тем слабее торможение. Можно предположить, что при сильном поле окружающие магнитную протозвезду облака начинают вращаться вместе с протозвездой, и передача момента вращения ее ослабевает. С другой стороны, следует упомянуть об интересной идее, высказанной в (Шнайдер, 2019). Рассчитано слияние двух магнитных звезд в тесных двойных системах, в результате чего может возникнуть новая магнитная звезда с более сильным магнитным полем. В результате действия такого механизма может возникнуть наблюдаемый дефицит магнитных звезд в тесных двойных системах, а также будет возможно объяснить обратную корреляцию на зависимостях “магнитное поле — период вращения”. В данной нашей работе, основанной на гипотезе реликтового магнитного поля и рассматриваемой исключительно для изучения трех конкретных магнитных звезд, нет места для анализа этой идеи. Но очевидно, что это следует сделать с привлечением накопившихся наблюдательных данных. Что касается дефицита магнитных звезд в тесных двойных системах, то, по нашему мнению, это может происходить вследствие недостаточной потери момента вращения компонентами из-за взаимной помехи. Одиночные магнитные звезды теряют момент вращения путем передачи его окружающим облакам (Моушовиас, Палеологоу, 1979).
Опыт моделирования показывает, что к моменту выхода магнитных звезд на ZAMS структуры магнитного поля у них оказываются дипольными. Магнитные звезды завершают свою эволюцию на Главной последовательности, имея сильное дипольное магнитное поле, как и у изучаемых здесь объектов. В магнитной протозвезде магнитные силовые линии пронизывают весь ее объем, вплоть до места предполагаемого диполя. В момент формирования молодой звезды и конвективного ядра в области предполагаемого диполя, который мы рисуем на наших схемах, магнитное поле разрушается, но вне ядра начальная дипольная структура сохраняется, ее мы и наблюдаем в настоящее время. Таково наше предположение. Вследствие крайне высокой проводимости звездного вещества омическая диссипация таких структур очень слаба, и они сохраняются до конца жизни звезды на Главной последовательности.
About the authors
Ю. В. Глаголевский
Специальная астрофизическая обсерватория РАН
Author for correspondence.
Email: glagol@sao.ru
Russian Federation, Нижний Архыз
References
- Алециан, Воукле (G. Alecian and S. Vauclair), Astron. Astrophys. 101, 16 (1981).
- Болендер и др. (D.A. Bohlender, J.D. Landstreet, and I.B. Thompson), Astron. Astrophys. 269, 355 (1993).
- Воукле и др. (S. Vauclair, J. Hardorp, and D.M. Peterson), Astrophys. J. 227, 526 (1979).
- Герт и др. (E. Gerth and Yu.V. Glagolevskij), Bull. Spec. Astrophys. Observ. 56, 25 (2003).
- Глаголевский (Yu.V. Glagolevskij), Astrophys. Bull. 74, 66 (2019).
- Глаголевский (Yu.V. Glagolevskij), Astrophysics 55, 169 (2012).
- Глаголевский (Yu.V. Glagolevskij), Astrophys. Bull. 62, 244 (2007).
- Глаголевский (Yu.V. Glagolevskij), Astrophys. Bull. 68, 78 (2013).
- Глаголевский (Yu.V. Glagolevskij), Astrophysics 59, 321 (2016).
- Глаголевский Ю.В., Астрофиз. Бюлл. 72, 305 (2017).
- Глаголевский (Yu.V. Glagolevskij), Astrophys. Bull. 68, 356 (2013).
- Глаголевский (Yu.V. Glagolevskij), Astrophys. Bull. 77, 166 (2022).
- Глаголевский, Назаренко (Yu.V. Glagolevskij and A.F. Nazarenko), Astrophys. Bull. 72, 411 (2017).
- Глаголевский, Назаренко (Yu.V. Glagolevskij and A.F. Nazarenko), Astrophys. Bull. 70, 89 (2015).
- Елькин и др. (V.G. Elkin, G. Mathys, D.W. Kurtz, S. Hubrig, and L.M. Freyhammer), MNRAS 402, 1883 (2010).
- Матисс (G. Mathys, et al.), Astron. Astrophys. Suppl. Ser. 123, 353 (1997).
- Ландстрит и др. (J.D. Landstreet, S. Bagnulo, and L. Fossati), Astron. Astrophys. 572, A1132 (2014).
- Ландстрит, Матисс (J.D. Landstreet and G. Mathys), Astron. Astrophys. 359, 213 (2000).
- Межесье (C. Megessier), Astron. Astrophys. 138, 267 (1984).
- Моушовиас, Палеологоу (T.Ch. Moushovias and E.V. Paleologou), Astrophys. J. 230, 204 (1979).
- Хубриг и др. (S. Hubrig, et al.), Astron. Astrophys. 572, A113 (2014).
- Шнайдер и др. (R.N. Schneider, et al.), Nature 574, 211 (2019).
Supplementary files










