Applying specialized software packages to automate engineering equipment calculation
- Authors: Osipov E.V.1, Khomenko A.A.1, Osipova L.E.2
-
Affiliations:
- Kazan National Research Technological University
- Kazan State University of Architecture and Engineering
- Issue: Vol 38, No 1 (2025)
- Pages: 134-142
- Section: Articles
- URL: https://ogarev-online.ru/0236-235X/article/view/290532
- DOI: https://doi.org/10.15827/0236-235X.149.134-142
- ID: 290532
Cite item
Full Text
Abstract
The purpose of this paper is to develop an approach in order for engineering methods of equipment calculation to form as separate programs integrated with simulation-based CAD systems, and the results to be input data for a CAD-system. The research focuses on toluene settling from water-methanol mixture, the particular emphasis is on non-standard technological equipment of the settling process (settler). The authors present technological calculations for material and energy balances in a universal simulation program. They determine the geometric dimensions of non-standard equipment using the developed program. A 3D model of the equipment is formed in a graphical CAD-system. The approach is implemented in the form of a program in VBA language, which is connected with the model of a settling process. VBA language is basic within the software used and widespread in automating calculations within the system. Since the program database does not contain a settler calculation module, the authors have developed this module using the Import User Model tool. A parametric analysis was conducted using the Case Study add-on. The authors identified the maximum allowable methanol content in the initial mixture (up to 0.3 mass fraction), at which the density of the water-methanol mixture exceeds the density of the toluene phase. The authors calculated the main dimensions of the equipment using engineering methods, which are implemented as a separate program linked to the model in the simulation CAD system. The authors have developed a 3D model of the equipment body in a graphical CAD system using variables. It is the basis of the assembly of the settler, supplemented with standard elements from the program database. As a result, the developed program determines settler dimensions; it links modeling and graphical CAD system. It allows automating engineering methods of energy efficient equipment calculation.
Full Text
Введение. Подбор, определение геометрических размеров технологического оборудования и разработка конструкторской документации являются важными задачами проектирования, без решения которых затруднительно создавать энергоэффективные химические технологии. При этом изделие должно быть подобрано и рассчитано таким образом, чтобы при низких материальных затратах и максимальной загрузке обеспечивалось минимально возможное энергопотребление. Для этого используются различные инженерные методики, успешное применение которых зависит от точности расчета теплофизических свойств (ТФС) входных и выходных потоков.
Анализ литературных источников показывает, что автоматизация инженерных методик в основном связана с написанием программ, в которые включаются расчетные формулы [1–3]. При этом отмечено, что первым этапом проектирования изделия или технологического оборудования является первичное проектирование [4], результаты которого приблизительные, а эффективность их использования зависит от интуиции и опыта проектировщика. Как правило, при проектировании химико-технологических процессов (ХТП) с применением моделирующих САПР составляют материальный и энергетический балансы, на основе которых производится подбор оборудования или его расчет (при использовании нестандартного изделия).
Сегодня на рынке немало программных решений для моделирования технологического процесса и расчета оборудования, например, Aspen HYSYS, ChemCad и Unisim Design. Их БД включают утилиты для определения геометрических размеров колонн, емкостей, сепараторов и теплообменников [5, 6]. Отечественным аналогом указанных программ является AEROSYM, который показывает результаты расчета, близкие к выполненным в Aspen HYSYS [7].
Подготовка конструкторской документации (КД) – одна из важных и наиболее трудоемких задач в САПР. Ее реализуют посредством графических программных средств по автоматизации разработки и выполнения конструкторской документации. Примерами таких программ являются Autocad, КОМПАС-3D, nanoCADPro и т.д.
Моделировать физические процессы и решать различные инженерные задачи позволяют CAE-системы [8]. К ним можно отнести, например, ANSYS и FlowVision.
Обзор существующих подходов
Программное обеспечение фирмы «Aspen» активно применяют для построения цифровых двойников на базе нейросети AI Model Builder, используя пользовательский код MS Excel-VBA [9]. Возможности программы Aspen HYSYS позволяют также разрабатывать пользовательский модуль внутри программы [10]. Несмотря на то, что программы Aspen HYSYS и Aspen Plus предназначены для моделирования процессов химической технологии, в некоторых исследованиях их применяли для расчета теплотехнических процессов. Например, в [11] предложено использовать Aspen Plus для моделирования конденсационной установки, а в [12] Aspen HYSYS применяется для расчета парогазовой установки нефтедобывающей компании.
Как правило, функционал CAD-систем включает в себя дополнительные возможности, которые можно реализовать при помощи пользовательских функций. Так, в работе [8] рассмотрен механизм импорта твердотельной модели из KOMPAS-3D в ANSYS при моделировании напряженно-деформационной задачи несущего корпуса. В работе [13] приведены подходы для анализа проектных решений, выполненных в САПР КОМПАС-3D. При составлении математической модели вакуумной сублимационной сушки [14] в CFD-модель добавлено описание кинетики, сформированное в виде отдельной программы.
Применение специализированного ПО планирования в совокупности с инструментами моделирования производства позволяет получать существенный экономический эффект [15]. Возможно интегрированное решение, которое базируется на трех передовых программах: Aspen HYSYS, Bentley AXSYS и Bentley PlantWise. Расчет технологических схем проведен в Aspen HYSYS, а концептуальную 3Dмодель создает решение Bentley PlantWise [16].
Указанные работы отражают лишь небольшую часть применений CAD- и CAE-систем при выполнении инженерных задач. Однако для решения задачи в CAE-системе необходимо подготовить модель, в которой указаны геометрические параметры изделия, а CAD-системы, как правило, не предназначены для инженерных расчетов технологического оборудования. САПР для моделирования ХТП (Aspen HYSYS, ChemCad, Unisim Design и т.д.) позволяют рассчитать материальный и энергетический балансы процесса, но возможности определения геометрических размеров оборудования (особенно нестандартного) существенно ограничены. При этом такой расчет возможен при использовании инженерных методик, для которых необходимо определить ТФС входных и выходных потоков. Таким образом, возникает задача разработки программы автоматизированного расчета размеров оборудования по инженерным методикам, однако включение в нее блока по расчету ТФС существенно увеличивает трудоемкость. В то же время расчет необходимых ТФС реализован в САПР для моделирования ХТП.
Предлагаемый подход
Цель данного исследования – разработка ПО по расчету размеров оборудования (на примере отстойника смеси «толуол+вода и метанол»), в котором ТФС рассчитаны в программе для моделирования ХТП, а твердотельная модель сформирована в CAD-системе.
Для автоматизации инженерных методик предлагается разработать такое ПО (далее – программа), которое рассчитывает размеры оборудования, но при этом данные по ТФС импортирует из внешней моделирующей программы. Разрабатываемая программа необходима для расчета размеров оборудования, подготовки исходных данных для твердотельной модели и сохранения полученных значений для импорта в отчет. Схема обмена данными между программой, моделирующей САПР и CAD-системой показана на рисунке 1.
Рис. 1. Схема обмена данными
Fig. 1. Data exchange diagram
В универсальной моделирующей программе (УМП) создается модель процесса и рассчитываются ТФС входного, выходных и внутренних потоков. Далее требуемые свойства целевых потоков импортируются в программу для определения размеров оборудования. Рассчитанные размеры экспортируются в CAD-систему, где формируется твердотельная модель, являющаяся основой для подготовки комплекта КД.
В программе также формируются данные, необходимые для оформления отчета (ТФС потоков, таблицы с результатами расчетов и т.д.).
Описание объекта исследования
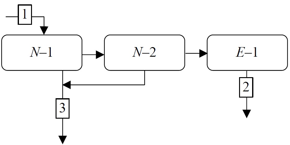
Принципиальная схема процесса приведена на рисунке 2. Разделение смеси толуола и метанольной воды производится в последовательно расположенных емкостях-отстойниках N, готовый продукт собирается в емкость Е-1.
Рис. 2. Принципиальная схема процесса
Fig. 2. Process flow diagram
На рисунке 2 приняты следующие обозначения: N – отстойники; E – емкость толуола; 1, 2 и 3 – потоки смеси легкой и тяжелой фаз соответственно.
На первом этапе расчета определяется количество отстойников в схеме (общее количество обозначено N). Для этого необходимо рассчитать минимальную длину отстойника и время пребывания смеси в аппарате [17]. Эти параметры определяют по следующим формулам:
(1)
(2)
(3)
(4)
(5)
(6)
(7)
(8)
(9)
(10)
Используемые обозначения: Vвх – нагрузка отстойника по смеси, м3/с; Vвых – объемный расход тяжелой фазы, м3/с; ρэм – плотность смеси, кг/м3; μэм – вязкость смеси, Па∙с; g – ускорение свободного падения, м/с2; ρв – плотность водометанольной фазы, кг/м3; ρн – плотность толуольной фазы, кг/м3; μн – вязкость толуольной фазы, Па∙с; В – обводненность смеси; R – радиус отстойника, м.
Исходные данные, предоставленные заказчиком для расчета разделения толуола и метанольной воды: расход потока минимальный – 1 т/ч, максимальный – 7 т/ч; температура на входе – 40 °С; давление – 1.5 атм. Целевое качество толуола на выходе – 99.9 % масс.
Реализация предлагаемого подхода
В качестве УМП выбрано ПО фирмы «Aspen» – Aspen HYSYS V12, БД которого содержит все необходимые вещества, участвующие в процессе. Однако в программе отсутствует модуль по расчету отстойника, но есть возможность создать пользовательский модуль.
Если формировать модель отстойника набором стандартных модулей, то возникает сложность в специфицировании элементов. Согласно [18], написание внешних программ возможно несколькими способами. Например, можно использовать ExceL-VBA, Python, Unity или пакет MATLAB. В случае использования MATLAB, Python и Unity возможна ошибка при введении мольных расходов входных потоков, поэтому целесообразно разработать модель на основе пользовательского модуля Import User Model.
Данный модуль спроектирован на VBA, его общий вид представлен на рисунке 3. Результаты расчета (данные по потокам) приведены в таблице 1.
Рис. 3. Расчетная схема процесса, реализованная в Aspen HYSYS V12
Fig. 3. Process design model in Aspen HYSYS V12
Таблица 1
Результаты расчета
Table 1
Calculation results
Параметр | Поток | ||
mix | Toluene_frac | H2O+Met | |
Температура, °С | 40 | 40 | 40 |
Давление, атм. | 1.5 | 1.5 | 1.5 |
Массовый расход, кг/час | 7 000 | 3 504 | 3 496 |
Плотность, кг/м3 | 863.8 | 850.5 | 873.7 |
На рисунке 4 представлена блок-схема реализации предлагаемого подхода.
Рис. 4. Блок-схема реализации предлагаемого подхода
Fig. 4. Block diagram of implementing the proposed approach
Приведем фрагмент программного кода внутреннего модуля:
Dim CMFs, CMFs1, CMFs2, MF1 As Variant
Dim fM, ProdM, wtrM As Variant
Dim xtol As Double
Dim x1, x2, x3 As Variant
Dim y1, y2, y3 As Variant
CMFs = feed.ComponentMassFlowValue
CMFs1 = prod.ComponentMassFlowValue
CMFs2 = wtr.ComponentMassFlowValue
x=prod.ComponentMassFractionValue
y=wtr.ComponentMassFractionValue
fM=feed.MassFlowValue
xtol=0.999
ProdM=CMFs(tol)/xtol
x(0)=0
x(1)=xtol
x(2)=1-xtol
prod.Pressure.Calculate(feed.PressureValue)
prod.Temperature.Calculate(feed.Tem-
peratureValue)
prod.MassFlow.Calculate(ProdM)
prod.ComponentMassFraction.Calculate(x)
wtrM=fM-ProdM
y(0)=CMFs(Met)/wtrM
y(1)=0
y(2)=1-y(0)
wtr.Pressure.Calculate(feed.PressureValue)
wtr.Temperature.Calculate(feed.TemperatureValue)
wtr.MassFlow.Calculate(wtrM)
wtr.ComponentMassFraction.Calculate(y)
ActiveObject.SolveComplete
В представленном коде переменные feed, prod и wtr соответствуют входному потоку легкой и тяжелой фаз соответственно. WaterPosn, tol и Met относятся к компонентам вода, толуол и метанол.
На первом этапе в Aspen HYSYS вводятся параметры потоков и на базе пользовательского модуля проводится расчет процесса отстаивания. Следующий этап – интеграция уравнений в расчетную среду. Данный шаг реализован при помощи кода VBA, написанного в среде Visual Studio 2022. Общий вид программы представлен на рисунке 5.
Рис. 5. Общий вид программы
Fig. 5. Overview of the program
Фрагмент кода по импорту ТФС:
Public hyApp As HYSYS.Application
Public hyCase As HYSYS.SimulationCase
Public hymix As HYSYS.ProcessStream
Public hyToluene As HYSYS.ProcessStream
Public hyHM As HYSYS.ProcessStream
hyApp = CreateObject("HYSYS.Appli-
cation")
hyCase=hyApp.ActiveDocument
hymix=hyCase.Flowsheet.MaterialStreams.Item("mix")
hyToluene=hyCase.Flowsheet.MaterialStreams.Item("Toluene_frac")
hyHM=hyCase.Flowsheet.MaterialStreams.Item("H2O+Met")
В программу импортируют данные по расходу, плотности и вязкости входного и выходных потоков, далее по уравнениям определяются требуемый внутренний диаметр и минимальная длина отстойника. Расчетные данные экспортируют в файл Excel.
В качестве CAD-системы выбран программный продукт KOMPAS-3D V20, а рассчитанные значения вводят в твердотельную модель через таблицу переменных. Следует учесть, что размеры модели в KOMPAS-3D приняты в миллиметрах, а единица измерения длины и диаметра, рассчитанных программой, – метр. Поэтому необходимо предусмотреть перевод из метров в миллиметры.
Конструктивно отстойник представляет собой горизонтальный/вертикальный цилиндрический аппарат, закрепленный на опорах к фундаменту. В корпусе аппарата необходимо предусмотреть штуцера для ввода/вывода смеси, для предохранительного клапана, уровнемера и сброса шлама. При этом в зависимости от требований заказчика можно рассмотреть другие конструктивные элементы. Корпус является основой отстойника, к нему присоединены остальные элементы (штуцера, крышки, опоры и т.д.).
Размеры, необходимые для формирования корпуса отстойника, целесообразно задать через таблицу переменных.
Таблица значений внешних переменных (таблица переменных) хранится в файле и содержит предопределенные значения внешних переменных этого файла. Если в файле есть внешние переменные, то при создании в нем таблицы переменных можно использовать функцию чтения из внешнего источника. В результате автоматически создаются столбцы, соответствующие файлу внешних переменных. Возможно также чтение таблицы переменных из файла формата Excel.
Общий вид модели корпуса и таблицы переменных представлен на рисунке 6.
Рис. 6. Общий вид модели корпуса и таблицы переменных
Fig. 6. Shell model and variable table
Выбор значений переменных из таблицы не является обязательным. При необходимости пользователь может задать внешние переменные вручную, однако это существенно увеличивает время создания 3D-модели оборудования. Если в файле отсутствует таблица переменных, то ввод значений переменных вручную – единственный способ их изменить.
Следует учитывать, что геометрические размеры связаны между собой, поэтому для сокращения времени проектирования целесообразно связать их параметрически. Кроме того, все параметры в таблице переменных являются внешними, то есть вводятся в модель через программу (специально разработанную для этих целей).
На основе данной модели определяют конструкцию и типоразмер стандартных элементов, при этом целесообразно использовать БД программы KOMPAS-3D V20.
Результаты и обсуждение
Основной движущей силой процесса отстаивания является разность плотностей тяжелой (водо-метанольной) и легкой (толуольной) фаз.
Поэтому необходимо определить предельное содержание метанола в смеси, при котором плотность толуольной фазы меньше плотности водометанольной фазы. На модели (рис. 3) проведен расчет, в ходе которого изменяли содержание метанола в смеси и фиксировали плотности легкой и тяжелой фаз.
Данный расчет проведен с использованием инструмента Case Study. В качестве независимой переменной выбрано содержание воды в смеси, при изменении которого проводился пересчет содержания метанола, при этом доля толуола была закреплена. Результаты расчета представлены на рисунке 7.
Рис. 7. Плотности фаз в зависимости от массовой доли воды в смеси: 1 – плотность водометанольной фазы; 2 – плотность толуольной фазы
Fig. 7. Phase densities depending on water mass fraction in the mixture: 1 – water-methanol phase density; 2 – toluene phase density
На графике видно, что с увеличением содержания метанола в смеси плотность водометанольной фазы падает, а при содержании метанола более 0.3 (следовательно, содержание воды <0.2) плотность фазы 1 меньше плотности фазы 2. Поэтому за расчетный режим принято содержание метанола в исходной смеси 0.25. Результаты расчета приведены в таблице 2.
Таблица 2
Результаты расчета
Table 2
Calculation results
Параметр | Обозначение | Значение |
Относительная высота водяной подушки | ε | 0.43 |
Функция относительной высоты водяной подушки в зоне отстоя | f (ε) | 2.49 |
Диаметр капли d, м [17] | d | 0.00035 |
Эквивалентный диаметр, м | Dэкв | 0.395 |
Минимальный диаметр, м | Dmin | 0.443 |
Принятый диаметр, м | D | 2 |
Скорость свободного осаждения, м/с | wо | 0.0033 |
Скорость стесненного осаждения, м/с | wос | 0.00013 |
Высота водной подушки, м | hв | 0.43 |
Высота зоны отстоя, м | hос | 1.57 |
Эквивалентный диаметр, м | Dэкв_эм | 1.78 |
Минимальная длина отстойника, м | Lmin | 8.27 |
Время пребывания эмульсии в аппарате, ч | τ | 3.37 |
При принятом диаметре 2 м минимальная длина отстойника составит 8.27 м. Целесообразно установить последовательно два отстойника, а длину каждого принять 5 м.
Сформирована трехмерная модель отстойника (http://www.swsys.ru/uploaded/image/2025-1/27.jpg). При выбранной скорости входа смеси, равной 0.3 м/с, определены размеры входного и выходных патрубков. С учетом этих размеров в БД программы подобраны стандартные штуцера с условным диаметром 100 мм по АТК 24.218.06-90. Для патрубков слива шлака выбраны штуцера Dу = 50 мм по АТК 24.218.06-90, предохранительный клапан Dу = 40 мм по АТК 24.218.06-90. Днище – 2000-8-400 ГОСТ 6533-78; опора подвижная – П 250-1014-1 ОСТ 26-2091-93 и неподвижная – 250-1014-1 ОСТ 26-2091-93.
В дальнейшем модель может быть дополнена необходимыми элементами с использованием БД программы KOMPAS 3D.
Выводы
Предлагаемый подход позволяет автоматизировать инженерные методики, сокращая тем самым время, требуемое на выполнение расчетов. Одновременно с этим функционал моделирующих программ дает возможность проводить оптимизацию, повышая тем самым энергоэффективность данного решения. Разработанная на основе подхода программа позволяет определить ТФС потоков, рассчитать оптимальные условия проведения процесса и подготовить исходные данные для импорта в CAD-систему при автоматизированной разработке комплекта КД. Недостатком программы является то, что в качестве моделирующей системы используется Aspen HYSYS, однако в дальнейшим его можно заменить на аналогичное по функционалу и возможностям отечественное решение. Предлагаемый подход позволяет связать CAD-систему и моделирующую систему, проводить инженерный расчет нестандартного оборудования с учетом рассчитанных материальных и энергетических балансов.
About the authors
Eduard V. Osipov
Kazan National Research Technological University
Author for correspondence.
Email: evosipov@kstu.ru
Dr.Sci. (Engineering), Associate Professor
Russian Federation, Kazan, 420015Andrey A. Khomenko
Kazan National Research Technological University
Email: xomenko@kstu.ru
Cand. of Sci. (Engineering), Associate Professor
Russian Federation, Kazan, 420015Lilia E. Osipova
Kazan State University of Architecture and Engineering
Email: osipovalilija@mail.ru
Cand. of Sci. (Engineering), Associate Professor
Russian Federation, Kazan, 420043References
- Ipanov, A.S., Oshivalov, M.A., Galyagin, K.S., Selyaninov, Yu.A., Savin, M.A., Vakhrameev, E.I. (2019) ‘Mathematical modeling of multiphase hydrojet pump operation’, Bull. PNRPU. Mechanical Eng., Materials Sci., 21(2), pp. 15–22 (in Russ.). doi: 10.15593/2224-9877/2019.2.02.
- Abacharaev, I., Bulgakov, V., Kushner, G., Mamontov, V. (2019) ‘Automating the method of calculating natural frequency of propeller shaft transverse vibrations’, Vestn. ASTU. Ser.: Marine Eng. and Tech., (1), pp. 63–70 (in Russ.). doi: 10.24143/2073-1574-2019-1-63-70.
- Khanipov, M.N., Ganiev, B.G., Nasybullin, A.V., Sattarov R.Z. (2020) ‘Development of oil production probabilistic forecasting technique’, Neftyanaya Provintsiya, 22(2), pp. 73–94 (in Russ.). doi: 10.25689/NP.2020.2.73-94.
- Galerkin, Yu.B., Rekstin, A.F., Soldatova, K.V., Drozdov, A.A., Solovyova, O.A., Semenovsky, V.B. (2020) ‘The current state of the engineering method for the optimal gas-dynamic design and calculation of the centrifigal compressors characteristics. Part 3’, CTP, (2), pp. 2–9 (in Russ.).
- Ziyatdinov, N.N. (2017) ‘Modeling and optimization of chemical engineering processes and systems’, TFCE, 51(6), pp. 613–617 (in Russ.). doi: 10.7868/S0040357117060197.
- Valverde, J.L., Ferro, V.R., Giroir-Fendler, A. (2023) ‘Automation in the simulation of processes with Aspen HYSYS: An academic approach’, Comput. Appl. Eng. Educ., (31), pp. 376–388. doi: 10.1002/cae.22589.
- Mukhametzhanov, M.Kh. (2022) ‘The use of devices for in-line treatment of gas-liquid flows to optimize oil and gas gathering systems’, Equipment and Technologies for the Oil and Gas Complex, (6), pp. 79–89 (in Russ.). doi: 10.33285/1999-6934-2022-6(132)-79-89.
- Trukhanov, K.Yu., Shatalov, M.I., Tkachev, D.A. (2017) ‘Import of a solid model from the COMPAS-3D CAD-system to an ANSYS CAE-system’, Electronic J.: Science, Technology, and Education, (4), pp. 12–17 (in Russ.).
- Barbero-Sánchez, J., Megía-Ortega, A., Ferro, V.R., Valverde, J.-L. (2024) ‘Exploring alternatives to create digital twins from and for process simulation’, J. of Computer Sci. Research, 6(1), pp. 16–30. doi: 10.30564/jcsr.v6i1.6168.
- Osipov, E.V., Khomenko, A.A., Lapteva, T.V. (2023) ‘Coupling of elements of chemical-technological system operating under vacuum (on the example of amine mixture rectification unit)’, Herald of Technological University, 26(12), pp. 184–190 (in Russ.).
- Mikhin, A.A., Sergeev, V.V. (2019) ‘Simulation of condensation unit in ASPEN PLUS’, Power Engineering: Research, Equipment, Technology, 21(6), pp. 84–92 (in Russ.). doi: 10.30724/1998-9903-2019-21-6-84-92.
- Umyshev, D.R., Osipov, E.V., Kibarin, A.A. et al. (2023) ‘Techno-economic analysis of the modernization options of a gas turbine power plant using Aspen HYSYS’, Energies, 16(6), art. 2704. doi: 10.3390/en16062704.
- Afanasev, A.N., Brigadnov, S.I. (2017) ‘Development of the experimental computer program "Recommendation system for CAD KOMPAS-3D", Bull. UlSTU, 80(4), pp. 33–36 (in Russ.).
- Mokhova, E.K., Gordienko, M.G. (2021) ‘A mathematical model of vacuum freeze-dryer with uneven vapor distribution over the chamber volume’, Software & Systems, 34(3), pp. 466–476 (in Russ.). doi: 10.15827/0236-235X.135.466-476.
- Fufaev, A.L., Kozlov, P.V., Pisarevsky, D.V. (2018) ‘Efficiency of application of Aspen PIMS in the planning processes of Gazprom neftekhim SALAVAT LLC’, Gas Industry, 767(4), pp. 72–74 (in Russ.).
- Akhmetshina, D.A., Khristodulo, A.N. (2019) ‘Comparison of CAD for designing oil and gas processing objects’, Information Technology, (1), pp. 157–163 (in Russ.).
- Ladenko, A.A., Kunina, P.S. (2019) Calculation of Oilfield Equipment. Moscow, 188 p. (in Russ.).
- Bartolome, P.S., Van Gerven, T. (2022) ‘A comparative study on Aspen Hysys interconnection methodologies’, Comput. and Chemical Eng., 162, art. 107785. doi: 10.1016/j.compchemeng.2022.107785.
Supplementary files










