Определение динамических характеристик крутильных колебаний многомассовой системы колесного сельскохозяйственного трактора тягового класса 1.4
- Authors: Годжаев З.А.1, Сенькевич С.Е.1, Ильченко Е.Н.1, Алексеев И.С.1
-
Affiliations:
- Научный агроинженерный центр ВИМ
- Issue: No 6 (2024)
- Pages: 3-15
- Section: МЕХАНИКА МАШИН
- URL: https://ogarev-online.ru/0235-7119/article/view/282729
- DOI: https://doi.org/10.31857/S0235711924060011
- EDN: https://elibrary.ru/NPGWBC
- ID: 282729
Cite item
Full Text
Abstract
В статье проведены расчетно-теоретические исследования колебательных процессов в силовой передаче колесного трактора тягового класса 1.4 классической компоновки с двигателем внутреннего сгорания и с конструктивными изменениями: с автономным электроприводом и с применением упругодемпфирующего механизма в силовой передаче. Для проведения исследований разработаны укрупненные расчетные схемы из девяти и одиннадцати масс. Были определены частоты и формы собственных колебаний, а также резонансные частоты. Для нахождения собственных частот ω был применен способ, основанный на решении частотного уравнения в матричном виде. Оснащение трактора упругодемпфирующим механизмом позволяет смещать собственные частоты, а замена силовой установки на электродвигатель позволяет изменять амплитуды собственных частот.
Full Text
В настоящее время появились запросы на экологичность и использование альтернативных источников энергии как для экономичности, так и для эффективности управления. Одним из возможных решений возникших проблем может стать совершенствование силовой передачи и замена двигателя внутреннего сгорания (ДВС) на двигатель с электроприводом (ЭД). Это два доминирующих направления совершенствования развития конструкции мобильных энергосредств (МЭС) по которым ведется много исследований. Процесс активно развивается в США, Европе, Китае и Индии. Рассмотрим в качестве примера несколько исследований, на наш взгляд кажущихся актуальными. В работе [1] рассматривается новый подход к оснащению комплексных систем (бот-тракторов) электроприводами с интеллектуализацией бортовой системы управления, а в статье [2] показывается экономическая и техническая возможность использования электрического трактора для небольших ферм за счет автоматизации путем управления батареями.
В то же время в работах [3, 4] проводятся исследования гибридного электротрактора с помощью моделирования и натурных экспериментов, а также авторы решают проблему недостаточной грузоподъемности и низкой эффективности эксплуатации техники с электроприводом. В работе [3] выполняется анализ конструкции силовой установки трактора методами творческого проектирования Axiomatic Design и Extenics, по результатам которого доказывается, что такая конструкция трактора обладает преимуществами энергосбережения и сокращения выбросов. По результатам их экспериментов [4] с аппаратным обеспечением, эффективность вспашки и ротационной обработки почвы повышается на 11.35 и 11.70% соответственно.
МЭС с электроприводами удобны для автоматизации, их легче совершенствовать с помощью цифровых технологий. Так, статья [5] описывает интеллектуальную систему управления балластом с активной передачей нагрузки. Теоретические исследования в направления совершенствования электропривода ведут разные команды исследователей. В работе [6] авторы приводят методические подходы к анализу параметров функционирования электропривода трактора с электромеханической трансмиссией. Достижение требуемых характеристик МЭС, работающих в составе агрегатов, определяются свойствами силовой передачи, а также взаимодействием связанных с ней систем [7].
Применение упругодемпфирующих механизмов в силовых передачах улучшает работу сельскохозяйственных МЭС [8–12]. Эффективное взаимодействие ходовой части машины с поверхностью земли также помогают увеличить производительность и снизить потребление топлива [8]. Не только приведенные исследования, но и другие работы [13, 14] доказывают актуальность исследований в области применения упругих элементов для снижения вибронагруженности МЭС.
В ходе работы было необходимо узнать о собственных частотах и способах их расчета. В работе [15] предлагается методика расчета собственных частот колебаний ротора с помощью уравнений Лагранжа второго рода для системы с одной степенью свободы. В статье [16] авторы провели исследование интерактивных вибраций, вызванных потоком между несколькими цилиндрическими конструкциями, расположенными перпендикулярно устойчивому потоку, и получили амплитудную и частотную характеристику результатов моделирования для двух различных тандемных шероховатых цилиндров с семью соотношениями собственных частот.
Однако для настоящей статьи наибольший интерес представляют исследования, посвященные непосредственно МЭС. В работе [17] описан метод расчета собственных частот передней и задней подвесок грузового автомобиля с учетом веса груза. Особое внимание в исследовании уделяется опасным смещениям закрепленного груза на грузовой платформе. Исследование [18] показывает легко алгоритмизируемый способ определения собственных частот сельскохозяйственного МЭС, который можно применить для трансмиссий со сложной разветвленной структурой.
Цель статьи. Определение динамических характеристик, учитывающих частоты и формы собственных крутильных колебаний трактора тягового класса 1.4 как многомассовой системы с различными силовыми установками и дополнительным устройством для изменения динамических свойств системы.
Материалы и методы проведенных исследований. Каждая система имеет большое количество собственных частот свободных колебаний, которые образуют спектр. Каждой частоте собственных колебаний соответствует своя форма колебаний. Форма колебаний определяется картиной знакопеременных смещений или прогибов и положением узловых линий. По разные стороны узловых линий смещения колеблющихся участков находятся в противофазе. Совокупность форм колебаний системы образуют спектр форм. Существуют различные методы расчёта частот и форм собственных колебаний [19, 20]. Изменение спектра частоты собственных колебаний системы может служить в качестве признака появления и развития дефекта.
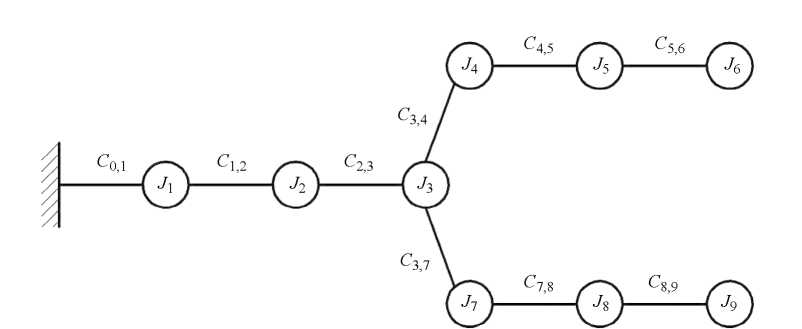
В настоящей статье сравниваются две укрупненные схемы силовой передачи трактора тягового класса 1.4 (за прототип взят трактор МТЗ-80). Первая схема состоит из девяти масс (рис. 1). Эта схема включает в себя элементы, которые описывают систему с ДВС. Первая схема также подходит и для расчета системы с ЭД.
Рис. 1. Динамическая схема крутильно-колеблющейся системы, состоящей из 9 масс.
На рис. 1: J1 — момент инерции двигателя, кг·м2; J2 — момент инерции коробки передач (КПП), кг·м2; J3 — момент инерции главной передачи и дифференциала, кг·м2; J4 и J5 — моменты инерции бортовых редукторов (БР) и дисков, кг·м2; J5 и J8 — моменты инерции шин, кг·м2; J6 и J9 — моменты инерции поступательных масс (ПМ), кг·м2; C0,1 — жесткость условного участка между креплением двигателя, Н‧м/рад; C1,2 — жесткость участка между двигателем и КПП, Н‧м/рад; C2,3 — жесткость участка между КПП и главной передачей с дифференциалом, Н‧м/рад; C3,4 и C3,7 — жесткости участков между главной передачей с дифференциалом и бортовыми редукторами с дисками (правым и левым соответственно), Н‧м/рад; C4,5 и C7,8 — жесткости участков между бортовыми редукторами с дисками и шинами (правым и левым соответственно), Н‧м/рад; C5,6 и C8,9 — жесткости участков между шинами и ПМ, Н‧м/рад.
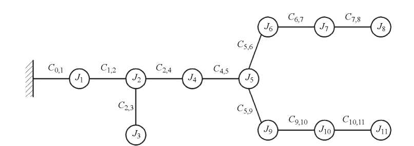
Вторая схема состоит из одиннадцати масс (рис. 2): J1 — момент инерции двигателя, кг·м2; J2 — момент инерции водила планетарного редуктора (ПР), сателлита и вала в сборе, кг·м2; J3 — момент инерции солнечной шестерни планетарного редуктора, кг·м2; J4 — момент инерции коробки передач (КПП), кг·м2; J5 — момент инерции главной передачи и дифференциала, кг·м2; J6 и J9 — моменты инерции бортовых редукторов (БР) и дисков, кг·м2; J7 и J10 — моменты инерции шин, кг·м2; J8 и J11 — моменты инерции поступательных масс (ПМ), кг·м2; C0,1 — жесткость условного участка между креплением двигателя, Н‧м/рад; C1,2 — жесткость демпфера муфты сцепления, Н‧м/рад; C2,3 — жесткость зубчатого зацепление сателлитов с валом водила ПР, Н‧м/рад; C2,4 — жесткость зубчатого зацепления солнечной шестерни ПР с приводом масляного насоса, Н‧м/рад; C4,5 — жесткость участка между ПР и КПП, Н‧м/рад; C5,6 и C5,9 — жесткости участков между главной передачей с дифференциалом и бортовыми редукторами с дисками (правым и левым соответственно), Н‧м/рад; C6,7 и C9,10 — жесткости участков между бортовыми редукторами с дисками и шинами (правым и левым соответственно), Н‧м/рад; C7,8 и C10,11 — жесткости участков между шинами и ПМ, Н‧м/рад.
Рис. 2. Динамическая схема крутильно-колеблющейся системы, состоящей из 11 масс.
Следует отметить, что 11-массовую схему получили путем добавления в 9-массовую дополнительных элементов — упругодемпфирующий механизм (УДМ). Таким образом, в настоящей статье рассматривается три системы: первая это классическая — ДВС с серийной силовой передачей; вторая — ЭД с серийной силовой передачей; третья — ДВС с силовой передачей, в которую установлен УДМ (ДВС с УДМ).
В качестве упрощения можно считать, что трение в системе отсутствует, а все нелинейные элементы системы линеаризованы, колебания масс происходят с малыми амплитудами [19, 20]. Численные значения моментов инерции Ji элементов крутильно-колеблющейся системы представлены в табл. 1. Численные значения жесткости Ci, i+1 крутильно-колеблющейся системы представлены в табл. 2.
Таблица 1. Значения моментов инерции элементов системы
9 масс | 11 масс | Наименование узла | Ji, кг·м2 |
№ узла | № узла | ||
1 | 1 | Двигатель | 2.8 |
– | 2 | Водило планетарного редуктора, сателлиты, вал в сборе | 0.0023 |
– | 3 | Солнечная шестерня планетарного редуктора (включая привод масляного насоса) | 0.0027 |
2 | 4 | Валы коробки перемены передач | 0.23 |
3 | 5 | Главная передача и дифференциал | 0.079 |
4 | 6 | Бортовой редуктор и диск колеса | 30.238 |
5 | 7 | Шина вместе с воздухом | 10.59 |
6 | 8 | Поступательно движущаяся масса трактора правого борта | 1033 |
7 | 9 | Бортовой редуктор и диск колеса | 30.238 |
8 | 10 | Шина вместе с воздухом | 10.59 |
9 | 11 | Поступательно движущаяся масса трактора левого борта | 1033 |
Таблица 2. Значения коэффициентов жесткости системы
9 масс | 11 масс | Наименование участка | Ci, i+1, Н‧м/рад | |
1–2 | 1–2 | Демпфер муфты сцепления | 7.08 ‧ 103 | 7.08 ‧ 103 |
– | 2–3 | Зубчатое зацепление сателлитов с валом водило в сборе (планетарного редуктора) | – | 40.4–17690 |
– | 2–4 | Зубчатое зацепление солнечной шестерни планетарного редуктора с приводом масляного насоса | – | 1.291 ‧ 105 |
2–3 | 4–5 | Валы коробки перемены передач | 6.57 ‧ 105 | 6.57 ‧ 105 |
3–4 | 5–6 | Вал полуоси | 2.839 ‧ 106 | 2.839 ‧ 106 |
4–5 | 6–7 | Зубчатое зацепление бортового редуктора | 3.781 ‧ 106 | 3.781 ‧ 106 |
5–6 | 7–8 | Шина вместе с воздухом | 1.014 ‧ 106 | 1.014 ‧ 106 |
3–7 | 5–9 | Вал полуоси | 2.839 ‧ 106 | 2.839 ‧ 106 |
7–8 | 9–10 | Зубчатое зацепление бортового редуктора | 3.781 ‧ 106 | 3.781 ‧ 106 |
8–9 | 10–11 | Шина вместе с воздухом | 1.014 ‧ 106 | 1.014 ‧ 106 |
Для проведения расчетов необходимо все массы привести к коленчатому валу двигателя. Для 9 масс полное передаточное отношение силовой передачи от коленчатого вала двигателя до бортового редуктора составляет isp = 77.57. Оно состоит из элементов передаточных отношений: понижающего редуктора: iпон. pед. = 1.35; коробки перемены передач на шестой передаче iк. п. п. = 3.165; главной передачи и дифференциала iгл. диф. = 3.42; бортового редуктора iборт. ред = 5.308.
Для 11 масс передаточное отношение от коленчатого вала двигателя до бортового редуктора изменится. Изменения связаны с тем, что в схему с УДМ установлен планетарный редуктор, который изменяет общее передаточное отношение силовой передачи. Полное передаточное отношение силовой передачи от коленчатого вала двигателя до бортового редуктора составляет isp = 83.31; передаточное отношение планетарного редуктора при остановленной солнечной шестерне iплан. pед = 1.45; коробки перемены передач на пятой передаче iк. п. п = 3.165; главной передачи и дифференциала iгл. диф = 3.42; бортового редуктора iборт. ред = 5.308.
Для корректного сравнения обе схемы требуется привести к единым условиям. В этом случае 9- и 11-массовую схемы следует редуцировать до 6-массовой схемы. Результат процесса редуцирования показан на рис. 3.
Рис. 3. Результат редуцирования 9- и 11-массовой систем.
В статье приведены расчеты для 6-массовых систем с ДВС, с ЭД, а также — для ДВС с УДМ. Значения моментов инерции Jidпр i-й массы, приведенные к коленчатому валу двигателя в кг·м2, представлены в табл. 3 и 5. Значения крутильных жесткостей Ciкпр обозначающих участки между узлами, приведенные к коленчатому валу двигателя, Н‧м/рад, представлены в табл. 4 и 6. Для трактора с ЭД изменяется только момент инерции двигателя (J1 = 0.2), а в остальном значения остаются такими же, как и у системы с ДВС.
Таблица. 3. Приведенные моменты инерции для 6-массовой системы с ДВС и ЭД
№ | Редуцирование | Jidпр | Jidпр |
1 | 1 | 2.8 | 0.2 |
2 | 2 | 0.013 | 0.013 |
3 | 3 | 0.004 | 0.004 |
4 | 4 + 7 | 0.283 | 0.283 |
5 | 5 + 8 | 0.004 | 0.004 |
6 | 6 + 9 | 0.344 | 0.344 |
Таблица 4. Приведенные коэффициенты жесткости для 6-массовой системы с ДВС и ЭД
№ | Редуцирование | Ciкпр |
1; 2 | 1; 2 | 3885 |
2; 3 | 2; 3 | 35990 |
3; 4 | 3; 4 + 3; 7 | 13300 |
4; 5 | 4; 5 + 7; 8 | 17710 |
5; 6 | 5; 6 + 8; 9 | 168.5 |
Таблица 5. Приведенные моменты инерции для 6-массовой системы с УДМ
№ | Редуцирование | Jidпр |
1 | 1 | 2.8 |
2 | 2 + 3 + 4 | 0.119 |
3 | 5 | 0.004 |
4 | 6 + 9 | 0.245 |
5 | 7 + 10 | 0.003 |
6 | 8 + 11 | 0.298 |
Таблица 6. Приведенные коэффициенты жесткости для 6-массовой системы с УДМ.
№ | Редуцирование | Ciкпр |
1; 2 | 1; 2; 3; 4 | 1334 |
2; 3 | 2; 3; 4; 5 | 13940 |
3; 4 | 5; 6 + 5; 9 | 11520 |
4; 5 | 6; 7 + 9; 10 | 545 |
5; 6 | 7; 8 + 10; 11 | 146.1 |
Параметры собственных и вынужденных частот и форм колебаний, вычисляемых на основе расчета с использованием матриц распределения масс, матриц жесткости и матриц демпфирования, производится согласно [21] по формуле
(1)
где [A] — матрица моментов инерции; [B] — матрица демпфирования; [С] — матрица крутильной жесткости; {φ} — вектор реакций (угловых перемещений); { f } — вектор внешних пар сил.
Для расчета собственных колебаний матрица демпфирования [B] не нужна. Тогда уравнение (1) запишется следующим образом:
(2)
где φ и — обобщенные координаты и обобщенные ускорения крутильно-колебательной системы с n степенями свободы соответственно.
Согласно вышеприведенным зависимостям система дифференциальных уравнений, для определения собственных частот n-массовой системы имеет вид [31–33]
(3)
Каждое из уравнений системы (3) имеет привязку к конкретной i-й сосредоточенной массе расчетной схемы. Согласно системе уравнений, если в момент времени t i-я масса повернулась относительно (i – 1)-й массы на некоторый угол , то на участке валопровода (i – 1) образуется мгновенный крутящий момент от сил упругости, равный и действующий на инерционную массу Ji в сторону, обратную вращению массы.
Если в то же время масса Ji+1 повернулась относительно массы Ji на угол и на участке i, i + 1 образовался упругий крутящий момент , действующий на массу в сторону ее вращения, по принципу Даламбера эти два упругих момента уравновешиваются величиной — моментом .
Результаты исследований. В результате исследований были получены круговых частоты ω, величины которых для всех вариантов представлены в табл. 7. Значения амплитуд для каждой системы представлены в табл. 8, 9 и 10.
Таблица 7. Собственные частоты 6-массовой системы с ДВС, ЭД и УДМ
ω, рад/с | |||
№ | ДВС | ЭД | УДМ |
1 | 23 | 28 | 20 |
2 | 104 | 154 | 63 |
3 | 958 | 960 | 295 |
4 | 2128.749 | 2128.748 | 481.610 |
5 | 3809.248 | 3809.256 | 2539.830 |
Таблица 8. Относительные амплитуды для 6-массовой системы с ДВС
№ | a при ω, рад/с | ||||
23 | 104 | 958 | 2128.749 | 3809.248 | |
1 | 1 | 1 | 1 | 1 | 1 |
2 | –0.1167 | –0.0736 | –0.0689 | –0.0563 | –0.0463 |
3 | 2.6403 | –18.1282 | –20.2986 | –26.1052 | –25.9130 |
4 | –0.0018 | 1.1861 | 0.9212 | –0.0497 | –0.0501 |
5 | –7.4·10–5 | 0.2423 | –0.1282 | –0.9560 | 67.6456 |
6 | –7.2·10–6 | 0.0751 | –0.3106 | 0.0010 | –0.0047 |
Таблица 9. Относительные амплитуды для 6-массовой схемы с ЭД
№ | a при ω, рад/с | ||||
28 | 154 | 960 | 2128.748 | 3809.256 | |
1 | 1 | 1 | 1 | 1 | 1 |
2 | –0.7077 | –0.6782 | –0.6748 | –0.6655 | –0.6500 |
3 | –80.6779 | 17.7724 | 28.2476 | 56.3923 | 56.1682 |
4 | –0.0249 | 1.1567 | 0.8988 | –0.0483 | –0.0483 |
5 | –0.0010 | 0.2413 | –0.1275 | –0.9519 | 67.3569 |
6 | –0.0001 | 0.0751 | –0.3102 | 0.0010 | –0.0047 |
Таблица 10. Относительные амплитуды для 6-массовой схемы ДВС с УДМ
№ | a при ω, рад/с | ||||
20 | 63 | 295 | 481.6095 | 2539.83 | |
1 | 1 | 1 | 1 | 1 | 1 |
2 | –0.1056 | –0.0198 | –0.0115 | –0.0015 | 0.2106 |
3 | 2.4492 | –18.2659 | –19.6200 | –21.2310 | –16.8256 |
4 | –0.0045 | 0.8129 | 0.2886 | –0.3546 | –0.1095 |
5 | –0.0008 | 0.3726 | –0.3294 | –1.1524 | 101.6164 |
6 | –8.2·10–7 | 0.0111 | –0.5974 | 0.0044 | –0.0080 |
Значения точек пересечения собственных частот ωi с частотами вращения коленвала на разных гармониках k представляют собой значения резонансных частот ωd, которые представлены в табл. 11–13.
Таблица 11. Значения резонансных частот системы для трактора с ДВС
ωi, рад/с | ωd (рад/с) при k | |||||||
k = 0.5 | k = 1 | k = 1.5 | k = 2 | k = 2.5 | k = 3 | k = 3.5 | k = 4 | |
ω1 = 23 | 45.28 | 22.64 | 15.09 | 11.32 | 9.06 | 7.55 | 6.47 | 5.66 |
ω2 = 104 | 208.94 | 104.47 | 69.65 | 52.23 | 41.79 | 34.82 | 29.85 | 26.12 |
ω3 = 958 | 1915.70 | 957.87 | 638.58 | 478.94 | 383.15 | 319.29 | 273.68 | 239.45 |
ω4 = 2129 | 4257.50 | 2128.7 | 1419.2 | 1064.4 | 851.5 | 709.58 | 608.21 | 532.19 |
ω5 = 3809 | 7618.50 | 3809.2 | 2539.5 | 1904.6 | 1523.7 | 1269.7 | 1088.4 | 952.31 |
– | k = 4.5 | k = 5 | k = 5.5 | k = 6 | k = 6.5 | k = 7 | k = 7.5 | – |
ω1 = 23 | 5.03 | 4.53 | 4.12 | 3.77 | 3.48 | 3.23 | 3.02 | – |
ω2 = 104 | 23.24 | 20.89 | 18.99 | 17.41 | 16.07 | 14.92 | 13.93 | – |
ω3 = 958 | 212.86 | 191.57 | 174.16 | 159.66 | 147.36 | 136.84 | 127.72 | – |
ω4 = 2129 | 473.06 | 425.75 | 387.05 | 354.79 | 327.5 | 304.11 | 283.83 | – |
ω5 = 3809 | 846.50 | 761.85 | 692.59 | 634.87 | 586.04 | 544.18 | 507.9 | – |
Таблица 12. Значения резонансных частот для трактора с ЭД
ωi, рад/с | ωd, рад/с | ||||||
k = 1 | k = 2 | k = 3 | k = 4 | k = 5 | k = 6 | k = 7 | |
ω1 = 28 | 28.43 | 14.21 | 9.48 | 7.11 | 5.69 | 4.74 | 4.06 |
ω2 = 154 | 153.96 | 76.98 | 51.32 | 38.49 | 30.79 | 25.66 | 21.99 |
ω3 = 960 | 960.42 | 480.21 | 320.14 | 240.11 | 192.08 | 160.07 | 137.2 |
ω4 = 2129 | 2128.7 | 1064.4 | 709.58 | 532.19 | 425.75 | 354.79 | 304.11 |
ω5 = 3809 | 3809.3 | 1904.6 | 1269.8 | 952.31 | 761.85 | 634.88 | 544.18 |
Таблица 13. Значения резонансных частот системы для трактора с УДМ
ωi, рад/с | ωd, рад/с | |||||||
k = 0.5 | k = 1 | k = 1.5 | k = 2 | k = 2.5 | k = 3 | k = 3.5 | k = 4 | |
ω1 = 20 | 39.35 | 19.68 | 13.12 | 9.84 | 7.87 | 6.56 | 5.62 | 4.92 |
ω2 = 63 | 126.96 | 63.48 | 42.32 | 31.74 | 25.39 | 21.16 | 18.14 | 15.87 |
ω3 = 295 | 589.33 | 294.67 | 196.44 | 147.33 | 117.87 | 98.22 | 84.19 | 73.67 |
ω4 = 481.6 | 963.22 | 481.61 | 321.07 | 240.8 | 192.64 | 160.54 | 137.6 | 120.4 |
ω5 = 2540 | 5079.7 | 2539.8 | 1693.2 | 1269.9 | 1015.9 | 846.61 | 725.67 | 634.96 |
– | k = 4.5 | k = 5 | k = 5.5 | k = 6 | k = 6.5 | k = 7 | k = 7.5 | – |
ω1 = 20 | 4.37 | 3.94 | 3.58 | 3.28 | 3.03 | 2.81 | 2.62 | – |
ω2 = 63 | 14.11 | 12.7 | 11.54 | 10.58 | 9.77 | 9.07 | 8.46 | – |
ω3 = 295 | 65.48 | 58.93 | 53.58 | 49.11 | 45.33 | 42.1 | 39.29 | – |
ω4 = 481.6 | 107.02 | 96.32 | 87.57 | 80.27 | 74.09 | 68.8 | 64.21 | – |
ω5 = 2540 | 564.41 | 507.97 | 461.79 | 423.31 | 390.74 | 362.83 | 338.64 | – |
В этих таблицах полужирным шрифтом выделены значения точек резонанса определенной узловой формы колебаний с заданной.
Частотные диаграммы для трактора с ДВС, трактора с ЭД и трактора с УДМ представлены на рис. 4.
Рис. 4. Частотная диаграмма для: (а) — для 6-массовой схемы с ДВС; (б) — для 6-и массовой схемы с ЭД; (в) — для 6-массовой схемы с УДМ.
Обсуждение результатов исследований. Анализ собственных частот и форм (амплитуд) колебаний показывает, что ЭД и УДМ изменяет частоты и формы колебаний (табл. 7). Смещение первой частоты собственных колебаний для трактора с ЭД происходит с 23 до 28 рад/с, что составляет 22%. Смещение первой частоты собственных колебаний для трактора с УДМ происходит с 23 до 20 рад/с, что составляет 13%.
Сравнение собственных частот с частотами вращения коленчатого вала в точках пересечения, на разных гармониках для трактора серийного, трактора с ЭД и трактора с УДМ (табл. 11–13), показало, что применение ЭД и УДМ ведет к изменению точек резонанса. Для ЭД точки смещаются в область высоких частот. УДМ смещает в область низких частот. Наиболее опасны (табл. 11) для серийного трактора частоты двигателя ωd = 208 рад/с при k = 0.5 и ωd =104.5 рад/с при k = 1.0. Наиболее опасны (табл. 12) для трактора с ЭД частоты двигателя: ωd = 28 и 153.9 рад/с, при k = 1.0; ωd = 14 и 76.9 рад/с, при k = 2.0; ωd = 9.5 и 51.0 рад/с, при k = 3.0. В то же время наиболее опасными для трактора с УДМ (табл. 13) частоты двигателя: ωd = 126 рад/с при k = 0.5; ωd = 196 рад/с при k = 1.5, ωd = 147 и 240 рад/с при k = 2.0; ωd = 118 и 193 рад/с при k = 2.5; ωd = 98 и 160 рад/с при k = 3.0. Следует отметить, что гармоники высоких порядков (k = 3.5–7.5) имеют как правило, малую энергетическую составляющую и легко преодолеваются силами инерции, возникающими от вращения маховика и валов трансмиссии.
Выводы. Проведенные расчетно-теоретические исследования МЭС тягового класса 1.4 на примере МТЗ-80 в сравнении с применением ЭД и с применением УДМ в силовой передаче показали эффективность применения ЭД и УДМ.
Для проведения таких исследований разработаны 9- и 11-массовые расчетные схемы силовой передачи трактора и определены их динамические характеристики. Выявлено, что применение ЭД вызывает изменение собственных частот и форм колебаний: амплитуды снижаются, а частоты смещаются в высокочастотную область. Оснащение трактора УДМ позволяет изменять амплитуды собственных частот в сторону снижения, а частоты смещаются в низкочастотную область.
Значения точек пересечения собственных частот с частотами вращения коленчатого вала на разных гармониках для трактора серийного исполнения и трактора с ЭД и с УДМ показало, что применение ЭД и УДМ изменяет область резонанса, смещая его в область частот, которые трудно достижимы или не являются рабочими для трактора исследуемого типа. Установка ЭД и УДМ позволила осуществить изменение частот собственных колебаний для трактора с ЭД — до 48% в высокочастотную область, для трактора с УДМ — до 61% в низкочастотную область.
Финансирование. Работа выполнена при поддержке Минобрнауки РФ в рамках Государственного задания ФГБНУ «Федеральный научный агроинженерный центр ВИМ» (тема № FGUN-2022-0009).
Конфликт интересов. Авторы декларируют отсутствие явных и потенциальных конфликтов интересов, связанных с проведенным исследованием и публикацией настоящей статьи.
Вклад авторов. З. А. Годжаев — общая систематизация исследований, обзор и анализ литературных источников, корректировка текста статьи; С. Е. Сенькевич — постановка задачи, планирование и проведение расчетно-экспериментальных исследований, сбор и анализ литературных источников, написание текста и редактирование статьи; Е. Н. Ильченко — проведение расчетов, сбор и анализ литературных источников, подготовка и написание текста статьи; И. С. Алексеев — сбор и анализ литературных источников, написание текста и редактирование статьи.
Все авторы подтверждают соответствие своего авторства международным критериям ICMJE (все авторы внесли существенный вклад в разработку концепции, проведение исследования и подготовку статьи, прочли и одобрили финальную версию перед публикацией).
About the authors
З. А. Годжаев
Научный агроинженерный центр ВИМ
Email: il4enkocat@yandex.ru
Russian Federation, Москва
С. Е. Сенькевич
Научный агроинженерный центр ВИМ
Email: il4enkocat@yandex.ru
Russian Federation, Москва
Е. Н. Ильченко
Научный агроинженерный центр ВИМ
Author for correspondence.
Email: il4enkocat@yandex.ru
Russian Federation, Москва
И. С. Алексеев
Научный агроинженерный центр ВИМ
Email: il4enkocat@yandex.ru
Russian Federation, Москва
References
- Алексеев В. А., Колосов С. П. Оснащение бот-тракторов электроприводами с интеллектуализацией бортовой системы управления в целях повышения эффективности сельскохозяйственной отрасли // Технология машиностроения. 2018. № 9. С. 63.
- Vogt H. H., de Melo R. R., Daher S. et al. Electric tractor system for family farming: Increased autonomy and economic feasibility for an energy transition // Journal of Energy Storage. 2021. V. 40. P. 102744. https://doi.org/10.1016/j.est.2021.102744
- Li J., Wu X., Zhang X. et al. Design of distributed hybrid electric tractor based on axiomatic design and Extenics //Advanced Engineering Informatics. 2022. V. 54. P. 101765. https://doi.org/10.1016/j.aei.2022.101765
- Xie B., Wang S., Wu X. et al. Design and hardware-in-the-loop test of a coupled drive system for electric tractor // Biosystems Engineering. 2022. V. 216. P. 165. https://doi.org/10.1016/j.biosystemseng.2022.02.014
- Zhang S., Xie B., Wen C. et al. Intelligent ballast control system with active load-transfer for electric tractors // Biosystems Engineering. 2022. V. 215. P. 143. https://doi.org/10.1016/j.biosystemseng.2022.01.008
- Солдатенко Д. С. Расчет электромеханических параметров тягового электропривода тракторов // Актуальные вопросы машиноведения. 2019. Т. 8. С. 129.
- Годжаев З. А., Сенькевич С. Е., Алексеев И. С., Ильченко Е. Н. Обоснование выбора параметров электромеханической трансмиссии для трактора тягового класса 0.6–0.9 и согласование тяговых характеристик // Агроинженерия. 2023. Т. 25. № 1. С. 63. https://doi.org/10.26897/2687-1149-2023-1-63-70
- Кравченко В. А., Кравченко Л. В., Сенькевич С. Е., и др. Влияние УДМ в силовой передаче энергетического средства класса 1.4 на динамические процессы в звеньях машинно-тракторного агрегата // Политематический сетевой электронный научный журнал Кубанского государственного аграрного университета. 2022. № 177. С. 104. https://doi.org/10.21515/1990-4665-177-010
- Кравченко В. А., Сенькевич А. А., Сенькевич С. Е. Некоторые статистические показатели функционирования посевного МТА с упругодемпфирующим механизмом в трансмиссии трактора // Тракторы и сельхозмашины. 2009. № 9. С. 32.
- Кравченко В. А., Кравченко Л. В., Сенькевич С. Е. и др. Влияние УДМ в силовой передаче энергетического средства класса 1,4 на буксование его движителей при работе в составе МТА // Политематический сетевой электронный научный журнал Кубанского государственного аграрного университета. 2022. № 178. С. 119. https://doi.org/10.21515/1990-4665-178-010
- Кравченко В. А., Кравченко Л. В., Сенькевич С. Е. и др. Влияние на качество выполнения работ машинно-тракторными агрегатами, агрегатируемых мобильными энергетическими средствами тягового класса 1.4 с УДМ в силовой передаче // Политематический сетевой электронный научный журнал Кубанского государственного аграрного университета. 2022. № 180. С. 72. https://doi.org/10.21515/1990-4665-180-008
- Попов И. П. Упругие сцепки составного сельскохозяйственного транспортно-технологического средства // Вестник НГИЭИ. 2021. № 4 (119). С. 21. https://doi.org/10.24412/2227-9407-2021-4-21-30
- Сенькевич С. Е., Крюковская Н. С. Анализ экспериментальных исследований трактора, оснащенного упругодемпфирующим механизмом в трансмиссии, при движении в составе транспортного тракторного агрегата // Тракторы и сельхозмашины. 2020. № 6. С. 59. https://doi.org/10.31992/0321-4443-2020-6-59-66
- Сенькевич С. Е., Ильченко Е. Н., Алексеев И. С. Результаты проведения экспериментальных исследований трактора, оснащенного упругодемпфирующим механизмом при агрегатировании с сеялкой // Тракторы и сельхозмашины. 2021. Т. 88. № 4. С. 33. https://doi.org/10.31992/0321-4443-2021-4-33-44
- Белинис С. М. Определение собственных частот колебаний ротора // Вестник Димитровградского инженерно-технологического института. 2017. № 1 (12). С. 88.
- Ding W., Chai Y., Liu H. et al. Numerical investigation on flow-induced vibrations of two tandem cylinders localized selective roughness with different natural frequencies // Applied Ocean Research. 2023. Т. 135. С. 103540. https://doi.org/10.1016/j.apor.2023.103540
- Айнбиндер Р. М., Гордеев Б. А., Любимов А. К. и др. Определение собственных частот колебаний грузовой платформы автотранспортного средства с целью безопасного крепления груза // Транспорт: наука, техника, управление. Научный информационный сборник. 2018. № 5. С. 28.
- Попов В. Б., Чупрынин Ю. В., Джасов Д. В. Анализ собственных частот и определение динамических коэффициентов трансмиссии сельскохозяйственной машины // Вестник Гомельского государственного технического университета им. П. О. Сухого. 2017. № 2 (69). С. 32.
- Маслов Г. С. Расчеты колебаний валов: Справочник. 2-е изд., перераб. и доп. М.: Машиностроение, 1980.
- Лашко В. А., Лейбович М. В. Матричные методы в расчетах крутильных колебаний силовых установок с ДВС: Учебное пособие. Хабаровск: Изд-во Хабар. гос. техн. ун-та, 2003.
- Тарасик В. П. Математическое моделирование технических систем. М.: Инфра-М, 2019.
Supplementary files






