Оценка фактора влияния оснастки на результат эксперимента при определении параметров звукоизоляции конструкции панели
- Authors: Попов П.A.1, Иголкин A.A.1, Шахматов E.В.1
-
Affiliations:
- Самарский национальный исследовательский университет им. С. П. Королева
- Issue: No 3 (2024)
- Pages: 85-94
- Section: ЭКСПЕРИМЕНТАЛЬНАЯ МЕХАНИКА. ДИАГНОСТИКА ИСПЫТАНИЯ
- URL: https://ogarev-online.ru/0235-7119/article/view/273517
- DOI: https://doi.org/10.31857/S0235711924030111
- EDN: https://elibrary.ru/PGLKIF
- ID: 273517
Cite item
Full Text
Abstract
В статье представлен научный подход, основанный на анализе интенсивности акустического шума, базирующийся на теории математических рядов, позволивший успешно решить задачу оценки погрешности полученных результатов при проведении экспериментов по нахождению параметров звукоизоляции. Выявленные закономерности нашли свое применение в процессе проектирования специальной конструкции для эксперимента.
Full Text
В инженерной практике при подготовке экспериментов, в результате которых оцениваются параметры звукоизоляции и динамики конструкции машин, возникает необходимость выбора испытательного оборудования с точки зрения технических характеристик акустического реверберационного стенда (АРС), его функциональных возможностей, например, энергетики акустических источников, габаритов исследуемой конструкции [1]. Кроме этого, существует проблема, решение которой важно при планировании эксперимента, в котором бы учитывалась не только исследуемая звукоизолирующая поверхность объекта, но и влияние параметров оснастки для проведения акустических испытаний с исследуемым образцом, имеющим кривизну, например, сегмент цилиндрического элемента самолетной или ракетной конструкции. Актуальность задачи объясняется тем, что во время нагружения конструкции акустической энергией, элементы оснастки также подвержены воздействию, негативно влияющему на точность проведения эксперимента. Ведь оснастка сама становится фактором передачи акустических волн под исследуемую конструкцию. Пример решения такой проблемы представлен в работах, в которых предлагалось проводить контроль качества испытаний путем эксперимента с контрольным образцом или образцовой моделью, установленной в экспериментальное окно между камерой высокого уровня (КВУ) и камерой низкого уровня (КНУ) [2]. Моделью может являться эталонная пластина, для которой механизм передачи акустической энергии обусловлен только массовыми свойствами. Полученные для этой пластины звукоизолирующие свойства сопоставляются с “законом массы” [3, 4]. При этом точность эксперимента регламентируется заранее, например, в предложенных работах предполагалось, что отклонение расчетных и экспериментальных параметров для образцовой модели не должно превышать ±1 дБ. Такая проверка является обязательным условием проведения эксперимента и в случае отклонения характеристик от расчетных значений на большую по модулю величину, возникает необходимость в дополнительной изоляции пространства между исследуемой панелью и экспериментальным окном, например, с помощью звукопоглощающего материала (ЗПМ), т. е. в увеличении звукоизоляции оснастки. При использовании в этих целях однокамерного акустического реверберационного стенда, которые в настоящее время имеются на некоторых предприятиях ракетно-космической отрасли, камеру низкого уровня можно заменить специальной звукоизолирующей конструкцией в виде замкнутого короба, позволяющего учесть интерференционную картину между исследуемой конструкцией и поверхностью, защищаемой от шума. При этом так же является актуальной оценка точности испытаний. Однако, вследствие больших пространственных масштабов оснастки-короба и замкнутости исследуемой конструкции «панель–оснастка» ее практически нельзя проверить при эксперименте, ведь для таких объектов «закон масс», полученный для бесконечного тонкого слоя, перестает выполняться. Кроме этого, коррекция звукоизоляционных характеристик такого рода объектов при помощи дополнительных ЗПМ становится практически невозможной во время эксперимента, поэтому акустическое проектирование оснастки до проведения экспериментальных работ является важной, актуальной задачей.
В результате научно-информационного поиска открытых источников было обнаружено, что в монографии И.И. Боголепова [3] представлен способ измерения звукоизоляции плоских конструкций реверберационным методом с помощью звукомерных камер, представляющих собой две камеры КВУ и КНУ между которыми устанавливается исследуемый образец. В КВУ создается диффузное реверберационное акустическое поле, после чего проводятся измерения акустического давления в обеих камерах, по разнице уровней шума в каждой камере и поправке на известные характеристики КНУ (площадь отражающих поверхностей, объем, время реверберации) оценивается звукоизоляция конструкции. Недостатком описанного способа является отсутствие возможности учета интерференции акустических волн внутри КНУ, т. к. размер между объектом исследования и стенами камеры, а также акустические свойства стен камеры не соответствуют аналогичным характеристикам изделия.
Наиболее достоверным способом оценки звукоизоляционных характеристик можно назвать использование уменьшенной модели конструкции отсека ракеты или самолета целиком либо их крупного узла, установленной в АРС большого объема [6]. Такой способ позволяет лучше понять физику формирования акустического поля внутри исследуемого объекта, избавиться от несуществующих в реальной конструкции форм колебаний и определить наиболее значимые по энергетике формы.
Представленный в статье подход основан на вычислении акустической энергии внутри испытуемой конструкции и оснастки. Суть подхода заключается в энергетической оценке падающих и отражающихся акустических потоков от различных преград с учетом их рассеяния и поглощения в диапазонах частот выше определенной граничной частоты fгр, рассчитанной исходя из числа собственных частот воздушного объема оснастки N, ее объема V и скорости звука в воздухе с [4].
(1)
В итоге, физическая задача сводится к математической модели суммирования сходящихся математических рядов, сходимость которых предопределяется пространственными масштабами области внутри исследуемого объема и коэффициентами звукопоглощения. Найденная сумма представляет собой полную функцию интенсивности акустической энергии исследуемого объекта.
Объекты испытаний и оснастка. Объект испытания и оснастка, находящиеся на самоходном шасси с электрическим приводом, были помещены в центр АРС объемом 1000 м3. Согласно формуле Маера на частотах от 58 Гц в камере реализуется диффузное звуковое поле [4]. Отношение объема оснастки с объектом испытания к объему реверберационной камеры составляет 0.2%, поэтому это не приводит к существенному изменению степени однородности поля.
Испытаниям подвергался сегмент конструкции цилиндрической части головного обтекателя (ГО) ракеты-носителя (рис. 1).
Рис. 1. Объект испытаний: (а) – экспериментальная панель, усиленная стрингерами и шпангоутами, (б) – звукопоглощающий материал.
Экспериментальная модель имела достаточно высокую поверхностную массу за счет вклада силового набора, тогда как поверхностная масса обшивки составляет 5 кг/м2 или 30% от поверхностной массы образцов со звукопоглощающими материалами (ЗПМ).
Для решения задачи нахождения звукоизоляционных характеристик представленной конструкции ГО предполагалось использование АРС, в которой устанавливается экспериментальная оснастка, представляющая из себя металлический короб, с экспериментальным окном, в которое помещается испытуемый образец (рис. 2).
Глубина оснастки равна среднему расстоянию от обечайки до конструкции солнечных батарей космического аппарата (КА) и составляет 0.5 м, что учитывает процессы интерференции между объектами.
Рис. 2. Экспериментальная оснастка: (а) – сборка, (б) – переходный элемент оснастки.
Для снижения влияния прохождения шума в зоне прилегания конструкции к оснастке, предполагалась установка переходного элемента, изображенного на рис. 2 и представляющего собой конструкцию, разработанную из материала АМГ6 толщиной 30 мм.
На внутренней поверхности оснастки предполагалась установка пакетов ЗПМ в виде двух слоев пенополиуретана эластичного марки Е35 толщиной 30 мм.
Математическая модель оценки влияния оснастки на результат эксперимента. Математическая модель оценки влияния оснастки на результат эксперимента получена исходя из следующих рассуждений. Предположим, что поверхность испытуемой панели площадью S1 излучает во внутреннее пространство акустическую энергию интенсивностью I1, тогда соответствующую акустическую мощность N1 можно представить через поток акустической энергии, проходящей через S1 [4]
Тоже самое справедливо для экспериментальной оснастки, если соответствующим параметрам присвоить индекс 2. Тогда суммарная акустическая мощность NΣ внутри оснастки запишется как
(2)
Предположим, что вследствие диффузности акустического поля, воздействие на все элементы конструкции оснастки и экспериментальной панели с внешней стороны одинаковые по амплитуде (выполняется принцип диффузности в реверберационной камере), поделив получившееся выражение (2) на пороговое значение мощности N0 = 10–12 Вт, раскрывая знаки интегрирования и переходя к логарифмическим величинам, получим для уровня акустической мощности LΣ
Фактор влияния оснастки на результат эксперимента D определим по формуле
, (3)
где – акустическая мощность, излучаемая только экспериментальной панелью.
Для оценки величины Δ рассмотрим процесс распространения потока энергии акустических волн между двумя поверхностями (рис. 3). При этом, одна из поверхностей 1, через которую проходит поток акустической энергии является неоднородной, часть ее площади (в центре) имитирует экспериментальную панель, остальное – переходный элемент оснастки, поверхность 2 – основание экспериментальной оснастки.
Рис. 3. Распространение потока акустической энергии между двумя поверхностями.
Оценим звуковые энергии падающих и отраженных акустических волн сначала для однородной поверхности. Для этого предположим, что поверхность 1 излучает во внутреннее пространство акустическую энергию мощностью N, тогда интенсивность поля в точке на поверхности 1
, (4)
где a1 – размер поверхности 1 в направлении оси z; qr – размер поверхности 1 в радиальном направлении; q – угол сегмента панели; r – радиус ее кривизны.
Акустическая мощность dN1 излучаемая элементарной площадкой ds из (4) представится в виде
. (5)
Поток акустической энергии, прошедшей через ds прошел путь SSʹ
где q, z – координаты, по которым проводят интегрирование; l – расстояние между поверхностями 1 и 2, b1 – линейный размер оснастки (рис. 3).
Интенсивность звука J на поверхности 2 с учетом рассеяния стала равной
(6)
Интегрирование (6) проводится по размеру поверхности 1 (рис. 3) в том случае, если цилиндрическая экспериментальная панель занимает всю поверхность 1. После многократных отражений от поверхности 1 и 2 суммарная интенсивность звука J1 стала равной
(7)
где a1 – коэффициент поглощения плоскостей 1 и 2; i – индекс, по которому проводится суммирование.
Если рассматривать неоднородную поверхность с двумя неоднородностями, и при этом учесть, что внешняя неоднородность с координатами интегрирования x, z является плоской, а внутренняя, имитирующая сегмент исследуемой панели, цилиндрической, то формула (7) преобразуется к виду
(8)
(9)
где a1 коэффициент поглощения плоскостей 1 и 2; a2 коэффициент поглощения экспериментальой панели; N2 мощность акустического потока напротив экспериментальной панели; N1 мощность акустического потока напротив плоскости (1); R1 локальная звукоизоляция плоскости 1; R2 локальная звукоизоляция экспериментальной панели.
Интегрирование проводится по площади излучения панели 1 и экспериментальной панели, исходя из рис. 3. Подобные выражения для интенсивностей других граней оснастки J2 и J3 можно написать аналогично
(10)
(11)
Проведем оценку фактора влияния оснастки на эксперимент D из формулы (3). Для получения величины I2, представляющей собой суммарную акустическую интенсивность внутри оснастки с неоднородными стенками, просуммируем интегралы (8), (10), (11). Интенсивность акустического шума, прошедшего через экспериментальную панель, оценивается по формуле (9). Тогда требование (3) запишется в виде
(12)
Расчетная зависимость представлена на рис. 4.
Оценка звукоизоляции и результаты расчетов погрешности влияния оснастки. Для вычисления погрешности, вносимой оснасткой в результат эксперимента, рассчитываемой по формуле (12), необходимо вычисление разности звукоизоляций, представленной в формуле (9). Для математического построения модели, позволяющей провести необходимые расчеты, был использован метод конечно-элементного моделирования [8–10]. Внешнее акустическое нагружение представлялось в виде диффузного акустического поля со спектральной плотностью мощности акустического давления 1 Вт/Гц [11]. Инерционная компонента звукоизоляции рассчитывалась в предположении, что исследуемая конструкция является акустическим барьером между внешней воздушной средой и средой, расположенной под панелью и оснасткой. Резонансная компонента звукоизоляции определялась из оценки способности упругой системы переизлучать энергию акустических волн во внутреннее пространство на резонансных частотах исследуемой панели [12, 13]; гашение акустических волн, проходящих через материал ППУЭ, учитывалось на основе эмпирической модели Делани и Базли [14–16].
Результаты расчета звукоизоляционных характеристик, представленные на рис. 4 показали следующее:
1) наличие ребер жесткости в экспериментальной панели на частотах свыше 625 Гц снизило ее звукоизоляционные свойства за счет конструкционных неоднородностей по сравнению законом масс;
2) на частотах ниже центральной частоты 625 Гц звукоизоляция экспериментальной панели выше звукоизоляции однородного слоя в следствии влияния упругоинерционных свойств ребер;
3) на частотах 80–160 Гц, звукоизоляция растет с уменьшением частоты, что объясняется влиянием жесткости, размеров и кривизны панели, нижняя резонансная частота панели составляет ~160 Гц.
Рис. 4. Результаты расчетов: (а) – звукоизоляционные характеристики: 1 – экспериментальная панель; 2 – закон масс для экспериментальной панели; 3 – оснастка; 4 – закон масс для оснастки; (б) – оценка погрешности: 1 – ограничение в 1 дБ; 2 – погрешность эксперимента; 3 – разность звукоизоляции экспериментальной оснастки и звукоизоляции экспериментальной па
На рис. 4 также представлено сопоставление расчетных значений звукоизоляции конструкции экспериментальной оснастки, имеющей поверхностную массу 79.2 кг/м2, со звукоизоляцией бесконечного однородного слоя, вычисленного по закону масс. Как можно видеть из расчетов, значения оказались довольно близкими особенно в области действия инерционных свойств конструкции оснастки 200–1600 Гц. Вместе с тем, на частотах ниже 200 Гц и выше 1600 Гц наблюдается повышение значений расчетной звукоизоляции панели по сравнению с вычисленным по закону массы, это объясняется влиянием ЗПМ ППУЭ толщиной 60 мм.
Вычисления по формуле (12) показывают (рис. 4), что если предлагаемая конструкция оснастки с переходным элементом будет представлять собой металлический короб, выполненный из материала АМГ6 с толщиной стенок 30 мм с нанесенным на их внутренние поверхности ППУЭ толщиной 60 мм, фактор влияния оснастки на результат эксперимента будет менее 1 дБ на частотах выше центрального значения 125 Гц и менее 2 дБ в полосе частот с центральной частотой 100 Гц.
Рис. 5. Эпюры распространения акустических волн внутри экспериментальной оснастки на различных частотах: (а) – 400 Гц; (б) –1000 Гц; (в) – 1250 Гц; (г) – 3150 Гц.
На рис. 5 представлены эпюры распространения акустических волн на различных частотах, свидетельствующие о том, что доля акустического давления, прошедшего через экспериментальную оснастку, составляет менее 10% по сравнению с испытуемой панелью.
Формула (1) является ограничением для описанного выше энергетического подхода, вычисления по ней для минимального рекомендованного числа собственных частот колебания среды для малых замкнутых объемов (звукоизолирующих капотов, кабин), предложено в работе [4], и составляет N = 5. Поэтому, для воздушной среды со скоростью звука c = 343 м/с, крайняя доверительная частота составляет 288.8 Гц.
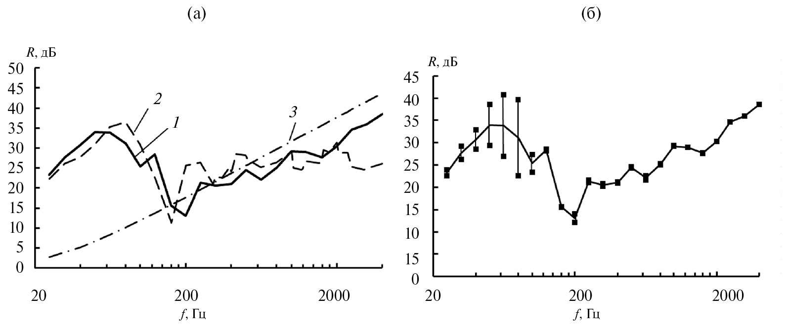
Результаты экспериментов. Верификация. Для получения обобщенных характеристик звукоизоляции образцов для всех временных промежутков, выбранных в процессе испытаний (для данного образца их было 151) было проведено осреднение полученных уровней акустического давления снаружи, и внутри экспериментальной оснастки c образцом в соответствии с подходом, представленным в работе [17]. Данные характеристики ЗИ представлены в сравнении с результатами предварительного расчета на рис. 6.
Рис. 6. Результаты экспериментов: (а) – сравнение с расчетными данными: 1 – эксперимент; 2 – расчет; 3 – закон масс; (б) – осредненные характеристики и разбросы в результатах: ━ – эксперимент; ▎ – разброс.
Отметим, что представленный анализ результатов расчета, во многом оказывается верен и для экспериментальных данных, кроме этого, нужно отметить следующее:
1) падение звукоизоляции в полосе частот с центральной частотой 100 Гц обусловлено поперечным пространственным резонансом, который можно определить по формуле [7]
,
где с = 343 м/с – скорость звука в воздухе при нормальных условиях; l ≈ 2 м – максимальный поперечный размер воздушного пространства под оснасткой;
2) падение звукоизоляции в полосах с центральными частотами 160 Гц, 200 Гц обусловлено нормальными к поверхности экспериментальной панели колебаниями;
3) после структурного резонанса, попадающего в полосы частот 160 Гц и 200 Гц, возрастание звукоизоляции вдоль частотной оси обусловлено массовыми свойствами обечайки. В соответствии с законом масс из рис. 6 можно сделать вывод, что влияние перекрестного силового набора на звукоизоляцию в высокочастотной области снижает звукоизоляционные характеристики.
Заключение. В рамках исследования были получены следующие результаты:
1. Разработана математическая модель оценки влияния оснастки на результат эксперимента, которая связывает основные характеристики экспериментального образца и оснастки (геометрические формы и размеры, коэффициенты звукопоглощения, звукоизоляция) с искомой погрешностью.
2. Проведены расчеты по оценке звукоизоляционных свойств и погрешности влияния оснастки на эксперимент. Сделан вывод, что результаты эксперимента с предложенной оснасткой могут быть верны для диапазона выше частоты 288.8 Гц.
3. Проведены экспериментальные работы по оценке звукоизоляции панели, результат был сравнен с расчетными значениями, дано обоснование полученного результата, разобраны физические причины полученных данных.
В настоящей статье имеется частотное ограничение на применимость выведенных формул, поэтому дальнейшие исследования будут направлены на уточнение искомой погрешности эксперимента в низкочастотной области.
Финансирование. Результаты исследования были получены в рамках выполнения государственного задания Минобрнауки России в области научной деятельности (Проект № FSSS‑2023-0008).
Конфликт интересов. Авторы заявляют об отсутствии конфликта интересов.
About the authors
П. A. Попов
Самарский национальный исследовательский университет им. С. П. Королева
Author for correspondence.
Email: banduir@rambler.ru
Russian Federation, Самара
A. A. Иголкин
Самарский национальный исследовательский университет им. С. П. Королева
Email: banduir@rambler.ru
Russian Federation, Самара
E. В. Шахматов
Самарский национальный исследовательский университет им. С. П. Королева
Email: banduir@rambler.ru
Russian Federation, Самара
References
- Лысенко Е. А., Тестоедов Н. А., Мирошниченко О. Г. Факторы, влияющие на акустические характеристики реверберационной камеры // Изв. Вузов. Авиационная техника. 2009. № 2. С. 62.
- Зверев А. Я. Механизмы снижения шума в салоне самолета // Акуст. журн. 2016. Т. 62. № 4. С. 474.
- Боголепов И. И. Промышленная звукоизоляция. Ленинград: Судостроение, 1986. 367 с.
- Иванов Н. И. Инженерная акустика. Теория и практика борьбы с шумом. Москва: Университетская книга, Логос, 2008. 424 с.
- Sims D. Acoustic Simulation of the flight vibration environment // J. Env. Sci., 1979. Т. III. Р. 27.
- Зверев А. Я. Акустическое поле в модельном отсеке фюзеляжа самолёта при его возбуждении диффузным звуковым полем // Издательский отдел ЦАГИ. Труды ЦАГИ. Выпуск 2681 «Авиационная акустика». 2009. С. 94.
- Шендеров Е. Л. Волновые задачи гидроакустики. Ленинград: Судостроение, 1972. 352 с.
- Ansys. User’s Guide. Introduction to Acoustics // Lectures 1–7, 2016. 415 p.
- Actran 19. User’s Guide. Installation, Operations, Theory and Utilities. 2018. V. 1. 862 p.
- Actran 19. User’s Guide. Extended DAT (EDAT) Input File Syntax. 2018. V. 2. 756 p. http://storage.ansys.com/doclinks/ansys.html?code=Acoustic_DiffuseSound Field-ALU-K2a
- Зверев А., Черных В. Оценка эффективности применения вибропоглощающих покрытий с армирующим слоем при различных видах возбуждения подкреплённой панели // Материалы III международной научно-технической конференции. Самара. Самарский университет, 29 июня–01 июля 2016 г., 2016. С. 129.
- Хроматов В. Е. Оценка влияния сверхзвукового потока на акустическое поле внутри фюзеляжных конструкций // II Всероссийская акустическая конференция, совмещенная с XXX сессией Российского акустического общества. Нижний Новгород, 6–9 июня 2017 г., 2017. С. 1442.
- Delany М. А., Bazley E. N. Acoustic properties of fibrous absorbent materials // Appl. Acoust. 1970. V. 3. P. 105.
- Комкин А. И., Львов В. А., Нестеров Н. С. Оценка сопротивления продуванию волокнистных звукопоглощающих материалов // II Всероссийская акустическая конференция, совмещенная с XXX сессией Российского акустического общества. Нижний Новгород, 6–9 июня 2017 г., 2017. С. 1449.
- Кузнецов А. В., Сафин А. И. и др. Экспериментальное исследование акустических характеристик пенополиуретана // Тезисы докладов шестой открытой Всероссийской конференции по аэроакустике. Москва, 22–27 сентября 2019 г., 2019. С. 257.
- Попов П. А., Иголкин А. А., Шахматов Е. В. Оценка изменения звукоизоляционных характеристик силовых панелей при их высокоинтенсивном акустическом нагружении // Проблемы машиностроения и надёжности машин. 2022. № 2. С. 77.
Supplementary files








