Study of Wear Resistance of a Radial Bearing Covered by a Polymer Coating with an Axial Groove on a Nonstandard Base Surface
- Authors: Khasyanova D.U.1, Mukutadze M.A.2
-
Affiliations:
- Mechanical Engineering Research Institute of the Russian Academy of Sciences
- Rostov State Transport University
- Issue: No 5 (2023)
- Pages: 25-34
- Section: НАДЕЖНОСТЬ, ПРОЧНОСТЬ, ИЗНОСОСТОЙКОСТЬ МАШИН И КОНСТРУКЦИЙ
- URL: https://ogarev-online.ru/0235-7119/article/view/141774
- DOI: https://doi.org/10.31857/S0235711923050103
- EDN: https://elibrary.ru/XBJJOT
- ID: 141774
Cite item
Full Text
Abstract
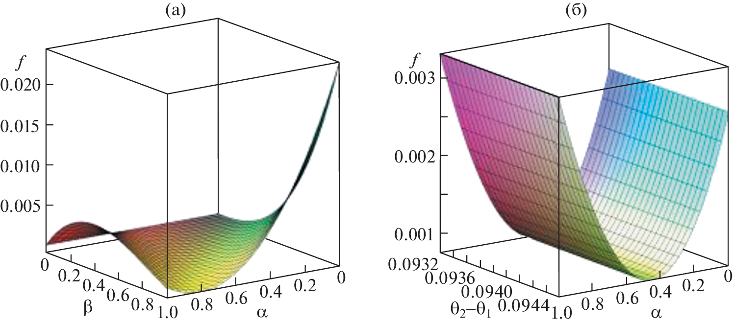
This paper is devoted to study of increasing the wear resistance of a radial plain bearing. The operation of a bearing is considered in the hydrodynamic mode by means of application of an antifriction polymer composite coating with an axial groove and the micropolar properties on a nonstandard bearing surface adapted to the friction conditions of a bearing bush. The effect of pressure and temperature in the turbulent friction mode on the rheological properties of the lubricant is taken into account. Based on the equation for the micropolar fluid flow in a “thin layer” as well as on the dependence of the micropolar lubricant on the pressure and temperature and on the continuity equation, a self-similar solution has been found taking into account the axial groove on the surface of a bearing bush and without taking into account the axial groove. As a result, the velocity and pressure fields in the axial groove and on the surface of a polymer antifriction composite coating have been determined as has the load capacity and friction force, which make it possible to increase the load capacity, reduce the friction coefficient (increase wear resistance), and also increase the duration of the hydrodynamic mode. The results of numerical analysis of theoretical models and experimental evaluation of the suggested design are presented to verify and confirm the efficiency of the models obtained.
About the authors
D. U. Khasyanova
Mechanical Engineering Research Institute of the Russian Academy of Sciences
Email: dinara.khasyanova@mail.ru
Moscow, Russia
M. A. Mukutadze
Rostov State Transport University
Author for correspondence.
Email: murman1963@yandex.ru
Rostov-on-Don, Russia
References
- Буяновский И.А., Татур И.Р., Самусенко В.Д., Соленов В.С. Влияние антифрикционных твердых добавок на температурную стойкость бентонитовых смазок // Трение и износ. 2020. Т. 41. № 6. С. 665. https://doi.org/10.32864/0202-4977-2020-41-6-665-670
- Албагачиев А.Ю., Буяновский И.А., Самусенко В.Д., Чурсин А.А. Температурная стойкость космических смазок российского производства // Вестник машиностроения. 2019. № 9. С. 34.
- Буяновский И.А. Температурная стойкость масел при трении и ее прогнозирование на основе положений химической кинетики // Механизация строительства. 2015. № 6 (852). С. 16.
- Серяков Ю.Д., Глазунов В.А. Моделирование теплового состояния соприкасающихся твердых тел с учетом энерговыделения в зоне контакта // Проблемы прочности и пластичности. 2021. Т. 83. № 3. С. 311. https://doi.org/10.32326/1814-9146-2021-83-3-311-323
- Албагачиев А.Ю., Михеев А.Н., Тананов М.А., Тохметова А.Б. Определение температуры нагрева смазочного слоя при трении // Проблемы машиностроения и надежности машин. 2022. № 5. С. 93. https://doi.org/10.31857/S0235711922050029
- Албагачиев А.Ю., Ставровский М.Е., Сидоров М.И., Рагуткин А.В., Александров И.А. Температурные зависимости скорости реакции в трибохимической кинетике // Проблемы машиностроения и надежности машин. 2022. № 6. С. 37. https://doi.org/10.31857/S0235711922060025
- Тананов М.А., Михеев А.В., Албагачиев А.Ю., Хасьянова Д.У. Трибологические исследования смазок // Проблемы машиностроения и надежности машин. 2018. № 5. С. 91. https://doi.org/10.31857/S023571190001561-8
- Леванов И.Г., Задорожная Е.А., Мухортов И.В., Никитин Д.Н. Моделирование гидродинамических подшипников скольжения с учетом индивидуальных противоизносных свойств смазочных материалов // Вестник Южно-Уральского государственного университета. Серия: Машиностроение. 2021. Т. 21. № 1. С. 14. https://doi.org/10.14529/engin210102
- Леванов И.Г., Задорожная Е.А., Никитин Д.Н. Модернизация машины трения ИИ5018 для проведения исследований гидродинамических подшипников скольжения // Современное машиностроение. Наука и образование. 2020. № 9. С. 207. https://doi.org/10.1872/MMF-2020-16
- Рождественский Ю.В., Задорожная Е.А., Мухортов И.В. Развитие методов исследования трибосопряжений машин и механизмов с учетом реологии смазочных материалов // В сб.: Транспортные и транспортно-технологические системы: материалы Международной научно-технической конференции. Тюменский государственный нефтегазовый университет, Уральское межрегиональное отделение Российской академии транспорта. Тюмень, 2013. С. 226.
- Рождественский Ю.В., Мухортов И.В., Гаврилов К.В. Проблемы выбора смазочных материалов при разработке и эксплуатации двигателей транспортных машин // Модернизация и научные исследования в транспортном комплексе. 2014. Т. 1. С. 184.
- Хасьянова Д.У., Мукутадзе М.А. Повышение износостойкости радиального подшипника скольжения смазываемого микрополярными смазочными материалами и расплавами металлического покрытия // Проблемы машиностроения и надежности машин. 2022. № 4. С. 46. https://doi.org/10.31857/S0235711922040101
Supplementary files







