Combination of Shear and Rotational Deformations As an Effective Solution for Obtaining Ultrafine-Grained Semifinished Products from Superalloys
- Authors: Utyashev F.Z.1, Sukhorukov R.Y.2, Galimov A.K.3, Gavrilina L.V.2
-
Affiliations:
- Institute for Problems of Metal Superplasticity, Russian Academy of Sciences, 450001, Ufa, Russia
- Mechanical Engineering Research Institute of the Russian Academy of Sciences, 101990, Moscow, Russia
- Ufa State Aviation Technical University, 45008, Ufa, Russia
- Issue: No 1 (2023)
- Pages: 75-85
- Section: НОВЫЕ ТЕХНОЛОГИИ В МАШИНОСТРОЕНИИ
- URL: https://ogarev-online.ru/0235-7119/article/view/137566
- DOI: https://doi.org/10.31857/S0235711923010133
- EDN: https://elibrary.ru/ASRWIS
- ID: 137566
Cite item
Full Text
Abstract
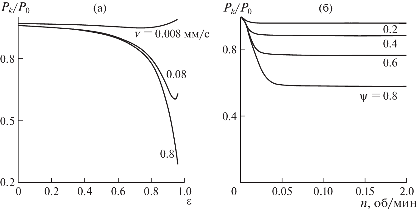
Superplastic deformation of ultrafine-grained semifinished products is used in production of turbine engine disks from heat-resistant superalloys based on nickel, iron, and titanium. This technology is based on gatorizing, which is implemented using powerful horizontal hydraulic presses for the manufacture of ultrafine-grained bars and vacuum-forming complexes for the manufacture of discs from bars in an oxidizing-free atmosphere. This article discusses the theoretical and practical prerequisites for the development of an effective deformation for obtaining an ultrafine-grained structure in superalloys. The technological advantages of using combined methods are shown, combining shear and rotational strain components for the formation of an ultrafine-grained structure in large-sized billets. Using the example of upsetting (or tension) with torsion, the stress–strain state of the material and the energy–power parameters of deformation, as well as the design and technological features of the equipment ensuring the refinement of the bars and disks structure, are determined.
About the authors
F. Z. Utyashev
Institute for Problems of Metal Superplasticity, Russian Academy of Sciences, 450001, Ufa, Russia
Email: labutps@yandex.ru
Россия, Уфа
R. Yu. Sukhorukov
Mechanical Engineering Research Institute of the Russian Academy of Sciences, 101990, Moscow, Russia
Email: labutps@yandex.ru
Россия, Москва
A. K. Galimov
Ufa State Aviation Technical University, 45008, Ufa, Russia
Email: labutps@yandex.ru
Россия, Уфа
L. V. Gavrilina
Mechanical Engineering Research Institute of the Russian Academy of Sciences, 101990, Moscow, Russia
Author for correspondence.
Email: griboedova04@mail.ru
Россия, Москва
References
- Athey R.L., Moore J.B. Progress Report on the GatorisingTM Forging Process // National Aerospase Engineering and Manufacturing meeting. Los Angeles. 1975. P. 1.
- Kaibyshev O.A., Utyashev F.Z. Superplasticity: Microstructural Refinement and Superplastic Roll Forming, Futurepast: Inc., Arlington, Virginia USA, ISTC Science & technology Series. 2005. V. 3. 386 p.
- Tan L., Li Y., Liu F. et al. Superplastic behavior of a powder metallurgy superalloy during isothermal compression // J. of Materials Science & Technology, 2019. V. 35. № 11. P. 2591.
- Смирнов О.М. и др. Влияние комбинированного нагружения на параметры штамповки плоских дисков в состоянии сверхпластичности // Кузнечно-штамповочное производство. Обработка материалов давлением. 1997. № 1. С. 7.
- Pandey K.K., Levitas V.I. In situ quantitative study of plastic strain-induced phase transformations under high pressure: Example for ultra-pure Zr // Acta Materialia. 2020. V. 196. P. 338.
- Utyashev F.Z., Valiev R.Z., Raab G.I., Galimov A.K. Strain Accumulated during Equal-Channel Angular Pressing and Its Components // Russian Metallurgy (Metally). 2019. № 4. P. 281.
- Shuitcev A., Gunderov D.V., Sun B. et al. Nanostructured Ti29.7Ni50.3Hf20 high temperature shape memory alloy processed by high-pressure torsion // J. Materials Science and Technology. 2020. V. 52. № 7–8. P. 218.
- Korznikova G., Kabirov R., Nazarov K. et al. Influence of constrained high-pressure torsion on microstructure and mechanical properties of an aluminum-based metal matrix composite // J. of the Minerals Metals & Materials Society (JOM). 2020. V. 72. № 8. P. 2898.
- Valiev R.Z., Zhilyaev A.P., Langdon T.G. Bulk Nanosructured Materials: Fundamentals and Applications. John Wiley & Sons, Inc., 2013. 456 p.
- Kawasaki M., Han J.K., Jung S.H. et al. Mechanical bonding of aluminum hybrid alloy systems through high-pressure torsion // Advanced Engineering Materials. 2020. V. 22. № 1. P. 1900483.
- Horita Z., Tang Y., Masuda T. et al. Severe plastic deformation under high pressure: Upsizing sample dimensions // Materials Transactions. 2020. V. 61. Iss. 7. P. 1177.
- Lv Sh., Jia Ch., He X. et al. Superplastic Deformation and Dynamic Recrystallization of a Novel Disc Superalloy GH4151 // Materials. 2019. V. 12. Iss. 22. P. 3667.
- Asghari-Rad P., Sathiyamoorthi P., Nguyen N.T.-C. et al. Fine-tuning of mechanical properties in V10Cr15Mn5Fe35Co10Ni25 high-entropy alloy through high-pressure torsion and annealing // Materials Science and Engineering A. 2020. V. 771. P. 138604.
- Утяшев Ф.З., Сухоруков Р.Ю., Валитов В.А. Теоретические основы использования интенсивной пластической деформации для формирования ультрамелкозернистой структуры в суперсплавах // Проблемы машиностроения и автоматизации. 2021. № 3. С. 72.
- Еникеев Ф.У., Рыжков В.Г., Утяшев Ф.З. Аналитическое исследование энергосиловых параметров осадки с кручением цилиндрических заготовок из вязкопластического материала // Проблемы прочности. 1994. № 6. С. 68.
- Утяшев Ф.З., Сухоруков Р.Ю. Механика интенсивной пластической деформации в процессах измельчения зерен в суперсплавах // Доклады Российской академии наук. Физика, технические науки. 2022. Т. 504. С. 66.
- Hughes D.A., Hansen N. Microstructure and strength of nickel at large strains // Acta Materialia. 2000. V. 48. № 11. P. 2985.
- Афонин В.Л. и др. Исследования и разработка инновационных технологических процессов и интеллектуальных систем управления для изготовления деталей газотурбинных двигателей (ГТД). М.: ИМАШ РАН, 2019. 137 с.
Supplementary files





